Multifractal Applications in Hydro-Climatology: A Comprehensive Review of Modern Methods
Abstract
1. Introduction
2. Materials and Methods
2.1. MFDFA
2.2. Arbitrary Order Hilbert Spectral Analysis
2.3. Complex Network-Based MF (CNMF) Approach
2.3.1. CNMF Implementation for Daily Streamflow Analysis
2.3.2. Summary
2.3.3. Comparison of Modern Algorithms for Multifractal Analysis
3. Multifractal Applications in Hydro-Climatology
3.1. Background
3.2. Algorithmic Contributions
3.3. Multifractal Characterization and Modeling in Hydro-Climatology
3.4. Prospects of Multifractal Theory in Practical Hydro-Climatology
3.5. Cross Cutting Domains: Multifractality, Scaling and Persistence
4. Conclusions
- •
- The study showed that majority of the research (over 75% studies) in the multifractal applications in hydro-climatology reported after 2002 focused on the characterization of the signals using MFDFA. Apart from focusing on the characterization, more studies are required for extending them for real time predictions and forecasting to use it in to operational hydrology. The modeling framework which employs the direct use of MFDFA parameters is still lacking in literature.
- •
- Despite the introduction, the complete potential of AOHSA, CNMF, joint mutifractal analysis, multifractal cross correlation frameworks, predictability assessment considering change points and temporal evolution of persistence is still under-utilized in hydro-climatology.
- •
- The identification of scaling range, minimal data length requirement, physical attribution of multifractality etc some of the open research domains which need in-depth examination.
- •
- Complex network measures, chaos, fractals, persistence etc are linked by common features like scaling and research should be focusing on integration of such cross-cutting domains to capture hydro-complexity in the complete sense.
- •
- The complex network based multifractal analysis (CNMF) is a potential and flexible approach which can work under VG and inverted (upside down VG) schemes. Multiple exponents derived from the approach provide promising pathways for real-time forecasting of time-series signals.
- •
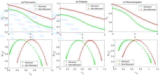
- The case study application of daily streamflows using UDVG based CNMF scheme deciphered more complexity and multifractality and shift in the peak of singularity spectra than VG schemes. This implied the influence of temporal order in streamflow dynamics of selected stations. The non-monsoon data consistently exhibits higher multifractal characteristics compared to the monsoonal data irrespective of the stations.
Author Contributions
Funding
Data Availability Statement
Conflicts of Interest
References
- Fan, J.; Yao, Q. Nonlinear Time Series: Nonparametric and Parametric Methods; Springer: New York, NY, USA, 2003. [Google Scholar] [CrossRef]
- Adarsh, S.; Janga Reddy, M. Multiscale spectral analysis in Hydrology: From Theory to Practice; Taylor & Francis: Abingdon, UK, 2021. [Google Scholar]
- Hurst, H.E. Long-term storage capacity of reservoirs. Trans. Am. Soc. Civ. Eng. 1951, 116, 770–808. [Google Scholar] [CrossRef]
- Hurst, H.; Black, R.; Simaika, Y. Long-Term Storage: An Experimental Study; Constable: London, UK, 1965; Volume xiv, 145p. [Google Scholar]
- Mandelbrot, B. The Fractal Geometry of Nature; WH Freeman Publishers: New York, NY, USA, 1982. [Google Scholar]
- Mandelbrot, B. Intermittent turbulence in self-similar cascades: Divergence of high moments and dimension of the carrier. J. Fluid Mech. 1974, 62, 331–350. [Google Scholar] [CrossRef]
- Schmitt, F.G.; Huang, Y.-X. Stochastic Analysis of Scaling Time Series; Cambridge University Press: Cambridge, UK, 2016. [Google Scholar]
- Tessier, Y.; Lovejoy, S.; Hubert, P.; Schertzer, D.; Pecknold, S. Multifractal analysis and modeling of rainfall and river flows and scaling, causal transfer functions. J. Geophys. Res. Atmos. 1996, 101, 26427–26440. [Google Scholar] [CrossRef]
- Lovejoy, S.; Mandelbrot, B. Fractal properties of rain and a fractal model. Tellus A 1985, 37, 209–232. [Google Scholar] [CrossRef]
- Lovejoy, S.; Schertzer, D. Generalised scale invariance and fractal models of rain. Water Resour. Res. 1982, 21, 1233–1250. [Google Scholar] [CrossRef]
- Lovejoy, S.; Schertzer, D. Scale invariance, symmetries, fractals and stochastic simulations of atmospheric phenomena. Bull. Am. Meteorol. Soc. 1986, 67, 21–32. [Google Scholar] [CrossRef]
- Parisi, G.; Frisch, U. Turbulence and Predictability of Geophysical Flows and Climatic Dynamics; Ghil, N., Benzi, R., Parisi, G., Eds.; North Holland: Amsterdam, The Netherlands, 1985; pp. 84–87. [Google Scholar]
- Tél, T.; Fülöp, Á.; Vicsek, T. Determination of fractal dimensions for geometrical multifractals. Phys. A Stat. Mech. Appl. 1989, 159, 155–166. [Google Scholar] [CrossRef]
- Chhabra, A.; Jensen, R.V. Direct determination of the f(α) singularity spectrum. Phys. Rev. Lett. 1989, 62, 1327–1330. [Google Scholar] [CrossRef]
- Pandey, G.; Lovejoy, S.; Schertzer, D. Multifractal analysis of daily river flows including extremes for basins of five to two million square kilometres, one day to 75 years. J. Hydrol. 1998, 208, 62–81. [Google Scholar] [CrossRef]
- Dahlstedt, K.; Jensen, H. Fluctuation spectrum and size scaling of river flow and level. Phys. A Stat. Mech. Appl. 2005, 348, 596–610. [Google Scholar] [CrossRef]
- Muzy, J.F.; Bacry, E.; Arneodo, A. Multifractal formalism for fractal signals: The structure-function approach versus the wavelet-transform modulus-maxima method. Phys. Rev. E 1994, 47, 875. [Google Scholar] [CrossRef]
- Peng, C.K.; Buldyrev, S.V.; Simons, M.; Stanley, H.E.; Goldberger, A.L. Mosaic organization of DNA nucleotides. Phys. Rev. E 1994, 49, 1685–1689. [Google Scholar] [CrossRef] [PubMed]
- Kantelhardt, J.W.; Zschiegner, S.A.; Koscielny-Bunde, E.; Halvin, H.; Bunde, A.; Stanley, H.E. Multifractal detrended fluctuation analysis of non-stationary time series. Phys. A Stat. Mech. Appl. 2002, 316, 87–114. [Google Scholar] [CrossRef]
- Huang, Y.-X. Arbitrary Order Hilbert Spectral Analysis Definition and Application to Fully Developed Turbulence and Environmental Time Series. Ph.D. Thesis, Shanghai University, Shanghai, China, 2009. [Google Scholar]
- Lacasa, L.; Luque, B.; Luque, J.; Nuño, J.C. The visibility graph: A new method for estimating the Hurst exponent of fractional Brownian motion. Europhys. Lett. 2009, 86, 30001. [Google Scholar] [CrossRef]
- Carmona-Cabezas, R.; Ariza-Villaverde, A.B.; de Ravé, E.G.; Jiménez-Hornero, F.J. Visibility graphs of ground-level ozone time series: A multifractal analysis. Sci. Total Environ. 2019, 661, 138–147. [Google Scholar] [CrossRef] [PubMed]
- Falconer, K. Fractal Geometry: Mathematical Foundations and Applications; John Wiley & Sons: Chichester, UK, 2004. [Google Scholar]
- Schertzer, D.; Lovejoy, S. Physical modelling and analysis of rain and clouds by anisotropic scaling multiplicative processes. J. Geophys. Res. 1987, 92, 9693–9714. [Google Scholar] [CrossRef]
- Zhou, Y.; Leung, Y.; Yu, Z.-G. Relationships of exponents in multifractal detrended fluctuation analysis and conventional multifractal analysis. Chin. Phys. B 2011, 20, 090507. [Google Scholar] [CrossRef]
- Bai, Z.; Wu, Y.; Ma, D.; Xu, Y.-P. A new fractal-theory-based criterion for hydrological model calibration. Hydrol. Earth Syst. Sci. 2021, 25, 3675–3690. [Google Scholar] [CrossRef]
- Tan, X.; Gan, T.Y. Multifractality of Canadian precipitation and streamflow. Int. J. Climatol. 2017, 37, 1221–1236. [Google Scholar] [CrossRef]
- Adarsh, S.; Dharan, D.S.; Nandhu, A.R.; Vishnu, A.B.; Mohan, V.K.; Watorek, M. Multifractal Description of Streamflow and Suspended Sediment Concentration Data from Indian River Basins. Acta Geophys. 2018, 68, 519–535. [Google Scholar] [CrossRef]
- Deidda, R.; Benzi, R.; Siccardi, F. Multifractal modeling of anomalous scaling laws in rainfall. Water Resour. Res. 1999, 35, 1853–1867. [Google Scholar] [CrossRef]
- Deidda, R. Rainfall downscaling in a space-time multifractal framework. Water Resour. Res. 2000, 36, 1779–1794. [Google Scholar] [CrossRef]
- Veneziano, D.; Furcolo, P. Multifractality of rainfall and scaling of intensity-duration-frequency curves. Water Resour. Res. 2002, 38, 1306. [Google Scholar] [CrossRef]
- Schertzer, D.; Hubert, P.; Lovejoy, S. Scaling, multifractals and predictions in ungauged basins: Where we have been, where we are going. In Predictions in Ungauged Basins: PUB Kick-off, Proceedings of the PUB Kick-Off Meeting, Brasilia, Brazil, 20–22 November 2002; IAHS Publication: Wallingford, UK, 2007; p. 309. [Google Scholar]
- Serinaldi, F. Multifractality, imperfect scaling and hydrological properties of rainfall time series simulated by continuous universal multifractal and discrete random cascade models. Nonlinear Process. Geophys. 2010, 17, 697–714. [Google Scholar] [CrossRef]
- Lombardo, F.; Volpi, E.; Koutsoyiannis, D. Rainfall downscaling in time: Theoretical and empirical comparison between multifractal and Hurst-Kolmogorov discrete random cascades. Hydrol. Sci. J. 2012, 57, 1052–1066. [Google Scholar] [CrossRef][Green Version]
- Zhou, Y.; Zhang, Q.; Singh, V.P. Fractal-based evaluation of the effect of water reservoirs on hydrological processes: The dams in the Yangtze River as a case study. Stoch. Environ. Res. Risk Assess. 2014, 28, 263–279. [Google Scholar] [CrossRef]
- Valencia, J.L.; Tarquis, A.M.; Saa, A.; Villeta, M.; Gascó, J.M. Spatial Modeling of Rainfall Patterns over the Ebro River Basin Using Multifractality and Non-Parametric Statistical Techniques. Water 2015, 7, 6204–6227. [Google Scholar] [CrossRef]
- Dżugaj, D.; Patro, E.R.; De Michele, C.; Licznar, P. Scaling and intermittency in time of urban precipitation in Warsaw, Poland. J. Hydrol. Reg. Stud. 2023, 48, 101440. [Google Scholar] [CrossRef]
- Montanari, A.; Rosso, R.; Taqqu, M.S. Fractionally differenced ARIMA models applied to hydrologic time series: Identification, estimation, and simulation. Water Resour. Res. 1996, 33, 1035–1044. [Google Scholar] [CrossRef]
- Zhang, Q.; Zhou, Y.; Singh, V.P. Detrending methods for fluctuation analysis in hydrology: Amendments and comparisons of methodologies. Hydrol. Proc. 2014, 28, 753–763. [Google Scholar] [CrossRef]
- Zhang, Q.; Zhou, Y.; Singh, V.P.; Chen, Y.D. Comparison of detrending methods for fluctuation analysis in hydrology. J. Hydrol. 2011, 400, 121–132. [Google Scholar] [CrossRef]
- Kalamaras, N.; Tzanis, C.G.; Deligiorgi, D.; Philippopoulos, K.; Koutsogiannis, I. Distribution of air temperature multifractal characteristics over Greece. Atmosphere 2019, 10, 45. [Google Scholar] [CrossRef]
- Kantelhardt, J.W.; Rybski, D.; Zschiegner, S.A.; Braun, P.; Koscielny-Bunde, E.; Livina, V.; Havlin, S.; Bunde, A. Multifractality of river runoff and precipitation: Comparison of fluctuation analysis and wavelet methods. Phys. A Stat. Mech. Appl. 2003, 330, 240–245. [Google Scholar] [CrossRef]
- Kantelhardt, J.W.; Koscielny-Bunde, E.; Rybski, D.; Braun, P.; Bunde, A.; Havlin, S. Long-term persistence and multifractality of precipitation and river runoff records. J. Geophys. Res. 2006, 111, D01106. [Google Scholar] [CrossRef]
- Huang, N.E.; Shen, Z.; Long, S.R.; Wu, M.C.; Shih, H.H.; Zheng, Q.; Yen, N.-C.; Tung, C.C.; Liu, H.H. The empirical mode decomposition and the Hilbert spectrum for nonlinear and non-stationary time series analysis. Proc. R. Soc. Lond. Ser. A Math. Phys. Eng. Sci. 1998, 454, 903–995. [Google Scholar] [CrossRef]
- Huang, Y.X.; Schmitt, F.G.; Lu, Z.M.; Liu, Y.L. An amplitude-frequency study of turbulent scaling intermittency using empirical mode decomposition and Hilbert spectral analysis. Europhys. Lett. 2008, 84, 40010. [Google Scholar] [CrossRef]
- Huang, Y.X.; Schmitt, F.G.; Hermand, J.P.; Gagne, Y.; Lu, Z.M.; Liu, Y.L. Arbitrary-order Hilbert spectral analysis for time series possessing scaling statistics: Comparison study with detrended fluctuation analysis and wavelet leaders. Phys. Rev. E 2011, 84, 016208. [Google Scholar] [CrossRef] [PubMed]
- Zhou, Y.; Leung, Y.; Yu, Z.-G. Relationships of exponents in two-dimensional multifractal detrended fluctuation analysis. Phys. Rev. E 2013, 87, 1. [Google Scholar] [CrossRef]
- Wen, T.; Chen, H.; Cheong, K.H. Visibility graph for time series prediction and image classification: A review. Nonlinear Dyn. 2022, 110, 2979–2999. [Google Scholar] [CrossRef]
- Lacasa, L.; Luque, B.; Ballesteros, F.; Luque, J.; Nuño, J.C. From time series to complex networks: The visibility graph. Proc. Natl. Acad. Sci. USA 2008, 105, 4972–4975. [Google Scholar] [CrossRef] [PubMed] [PubMed Central]
- Azizi, H.; Sulaimany, S. A review of visibility graph analysis. IEEE Access 2024, 12, 93517–93530. [Google Scholar] [CrossRef]
- Plocoste, T.; Carmona-Cabezas, R.; Jiménez-Hornero, F.-J.; de Ravé, E.G. Background PM10 atmosphere: In the seek of a multifractal characterization using complex networks. J. Aerosol Sci. 2021, 155, 105777. [Google Scholar] [CrossRef]
- Plocoste, T.; Carmona-Cabezas, R.; Jiménez-Hornero, F.-J.; de Ravé, E.G.; Calif, R. Multifractal characterization of particulate matter (PM10) time series in the Caribbean basin using visibility graphs. Atmos. Pollut. Res. 2021, 12, 100–110. [Google Scholar] [CrossRef]
- Salat, H.; Murcio, R.; Arcaute, E. Multifractal methodology. Phys. A Stat. Mech. Appl. 2017, 473, 467–487. [Google Scholar] [CrossRef]
- Huang, Y.; Schmitt, F.G.; Lu, Z.; Liu, Y. Analysis of daily river flow fluctuations using Empirical Mode Decomposition and arbitrary order Hilbert spectral analysis. J. Hydrol. 2009, 373, 103–111. [Google Scholar] [CrossRef]
- Ihlen, E.A.F. Introduction to Multifractal Detrended Fluctuation Analysis in Matlab. Front. Physiol. 2012, 3, 141. [Google Scholar] [CrossRef] [PubMed]
- Zhou, W.X. Multifractal detrended cross-correlation analysis for two nonstationary signals. Phys. Rev. E 2008, 77, 066211. [Google Scholar] [CrossRef] [PubMed]
- Singh, V.P.; Cui, H. Entropy Theory for Streamflow Forecasting. Environ. Process. 2015, 2, 449–460. [Google Scholar] [CrossRef]
- Ghorbani, M.A.; Asadi, H.; Makarynskyy, O.; Makarynska, D.; Yaseen, S.M. Augmented chaos-multiple linear regression approach for prediction of wave parameters. Eng. Sci. Technol. 2017, 20, 1180–1191. [Google Scholar] [CrossRef]
- Adarsh, S.; Arathy Nair, G.R.; Mohan, M.G.; Salim, A.; Vahab, S. A Complex Network based Evaluation of Multifractal Characteristics of Streamflow Records. In Proceedings of the AGU Fall Meeting Abstracts, San Francisco, CA, USA, 11–15 December 2023. AGU23. [Google Scholar]
- Rajesh, S.M.; Bahuleyan, M.; Nair, G.R.A.; Sankaran, A. Fractal complexity evaluation of meteorological droughts over three Indian subdivisions using visibility Graphs. In Proceedings of the EGU General Assembly 2024, Vienna, Austria, 14–19 April 2024; Volume EGU24-9367. [Google Scholar] [CrossRef]
- Gupta, V.K.; Waymire, E.C. A statistical analysis of mesoscale rainfall as a random cascade. J. Appl. Meteorol. 1993, 32, 251–267. [Google Scholar] [CrossRef]
- Schertzer, D.; Lovejoy, S. Universal Multifractals Do Exist!: Comments on A Statistical analysis of mesoscale rainfall as a random cascade. J. Appl. Meteor. Climatol. 1997, 36, 296–1303. [Google Scholar] [CrossRef]
- Veneziano, D.; Langousis, A.; Furcolo, P. Multifractality and rainfall extremes: A review. Water Resour. Res. 2006, 42, W06D15. [Google Scholar] [CrossRef]
- Monjo, R.; Meseguer-Ruiz, O. Review: Fractal geometry in precipitation. Atmosphere 2024, 15, 135. [Google Scholar] [CrossRef]
- Hirpa, F.A.; Gebremichael, M.; Over, T.M. River flow fluctuation analysis: Effect of watershed area. Water Resour. Res. 2010, 46, W12529. [Google Scholar] [CrossRef]
- Adarsh, S.; Nourani, V.; Johnson, A.; Jayan, A.; Archana, D.S.; Amrutha, A.J. On the detection and attribution of streamflow persistence of rivers in Peninsular India. Acta Geophys. 2022, 70, 1373–1383. [Google Scholar] [CrossRef]
- Suman, A.; Devarajan Sindhu, A.; Nayak, A.K.; Sankaran Namboothiri, A.; Biswal, B. Unveiling the Climatic origin of Streamflow persistence through Multifractal Analysis of Hydrometeorological datasets of India. Hydrol. Sci. J. 2023, 68, 290–306. [Google Scholar] [CrossRef]
- Snyder, H. Literature review as a research methodology: An overview and guidelines. J. Bus. Res. 2019, 104, 333–339. [Google Scholar] [CrossRef]
- Shamseer, L.; Moher, D.; Clarke, M.; Ghersi, D.; Liberati, A.; Petticrew, M.; Shekelle, P.; Stewart, L.A. Preferred reporting items for systematic review and meta-analysis protocols (PRISMA-P) 2015: Elabo-ration and explanation. BMJ 2015, 349, 1. [Google Scholar] [CrossRef] [PubMed]
- Moher, D.; Shamseer, L.; Clarke, M.; Ghersi, D.; Liberati, A.; Petticrew, M.; Shekelle, P.; Stewart, L.A. Preferred reporting items for systematic review and meta-analysis protocols (PRISMA-P) 2015 statement. Syst. Rev. 2015, 4, 1. [Google Scholar] [CrossRef] [PubMed]
- Nourani, V.; Paknezhad, N.J.; Tanaka, H. Prediction Interval Estimation Methods for Artificial Neural Network (ANN)-Based Modeling of the Hydro-Climatic Processes, a Review. Sustainability 2021, 13, 1633. [Google Scholar] [CrossRef]
- Kantelhardt, J.W.; Koscielny-Bunde, E.; Rego, H.H.; Havlin, S.; Bunde, A. Detecting long-range correlations with detrended fluctuation analysis. Phys. A Stat. Mech. Appl. 2001, 295, 441–454. [Google Scholar] [CrossRef]
- Podobnik, B.; Stanley, H.E. Detrended Cross-Correlation Analysis: A new method for analyzing two non-stationary time series. Phys. Rev. Lett. 2008, 100, 084102. [Google Scholar] [CrossRef]
- Jiang, Z.Q.; Zhou, W.X. Multifractal detrending moving-average cross-correlation analysis. Phys. Rev. E 2011, 84, 016106. [Google Scholar] [CrossRef]
- Oświȩcimka, P.; Drożdż, S.; Forczek, M.; Jadach, S.; Kwapień, J. Detrended cross-correlation analysis consistently extended to multifractality. Phys. Rev. E 2014, 89, 023305. [Google Scholar] [CrossRef]
- Jiang, Z.-Q.; Gao, X.-L.; Zhou, W.-X.; Stanley, H.E. Multifractal cross wavelet analysis. Fractals 2017, 25, 1750054. [Google Scholar] [CrossRef]
- Gorjão, L.R.; Hassan, G.; Kurths, J.; Witthaut, D. MFDFA: Efficient multifractal detrended fluctuation analysis in python. Comput. Phys. Commun. 2022, 273, 108254. [Google Scholar] [CrossRef]
- Liu, D.; Luo, M.; Fu, Q.; Zhang, Y.; Imran, K.M.; Zhao, D.; Li, T.; Abrar, F.M. Precipitation complexity measurement using multifractal spectra empirical mode decomposition detrended fluctuation analysis. Water Resour. Manag. 2016, 30, 505–522. [Google Scholar] [CrossRef]
- Liu, X.; Xia, C.; Chen, Z.; Chai, Y.; Jia, R. A new framework for rainfall downscaling based on EEMD and an improved fractal interpolation algorithm. Stoch. Environ. Res. Risk Assess. 2020, 34, 1147–1173. [Google Scholar] [CrossRef]
- Agbazo, M.N.; N’Gobi, G.K.; Alamou, E.; Kounouhewa, B.; Afouda, A. Assessing nonlinear dynamics and trends in precipitation by Ensemble Empirical Mode Decomposition (EEMD) and fractal approach in Benin republic (West Africa). Complexity 2021, 2021, 3689397. [Google Scholar] [CrossRef]
- Zhang, X.; Zhang, G.; Qiu, L.; Zhang, B.; Sun, Y.; Gui, Z.; Zhang, Q. A modified multifractal detrended fluctuation analysis (MFDFA) approach for multifractal analysis of precipitation in Dongting lake basin, China. Water 2019, 11, 891. [Google Scholar] [CrossRef]
- Zhang, L.; Li, H.; Liu, D.; Fu, Q.; Li, M.; Faiz, M.A.; Ali, S.; Khan, M.I.; Li, T. Application of an improved multifractal detrended fluctuation analysis approach for estimation of the complexity of daily precipitation. Int. J. Climatol. 2021, 41, 4653–4671. [Google Scholar] [CrossRef]
- Adarsh, S.; Plocoste, T.; Nourani, V.; Vahab, S.; Salim, A. Assessment of multifractal fingerprints of reference evapotranspiration based on multivariate empirical mode decomposition. Atmosphere 2023, 14, 1219. [Google Scholar] [CrossRef]
- Livina, V.; Ashkenazy, Y.; Braun, P.; Monetti, R.; Bunde, A.; Havlin, S. Nonlinear volatility of river flux fluctuations. Phys. Rev. E 2003, 67, 042101. [Google Scholar] [CrossRef] [PubMed]
- Livina, V.; Ashkenazy, Y.; Kizner, Z.; Strygin, V.; Bunde, A.; Havlin, S. A stochastic model of river discharge fluctuations. Phys. A Stat. Mech. Appl. 2003, 330, 283–290. [Google Scholar] [CrossRef]
- Koscielny-Bunde, E.; Kantelhardt, J.W.; Braun, P.; Bunde, A.; Havlin, S. Long-term persistence and multifractality of river runoff records: Detrended fluctuation studies. J. Hydrol. 2006, 322, 120–137. [Google Scholar] [CrossRef]
- Livina, V.; Kizner, Z.; Braun, P.; Molnar, T.; Bunde, A.; Havlin, S. Temporal scaling comparison of real hydrological data and model runoff records. J. Hydrol. 2007, 336, 186–198. [Google Scholar] [CrossRef]
- Movahed, M.S.; Hermanis, E. Fractal analysis of river flow fluctuations. Phys. A Stat. Mech. Appl. 2008, 387, 915–932. [Google Scholar] [CrossRef]
- Zhang, Q.; Xu, C.; Chen, Y.; Yu, Z. Multifractal detrended fluctuation analysis of streamflow series of the Yangtze River basin, China. Hydrol. Process. 2008, 22, 4997–5003. [Google Scholar] [CrossRef]
- Zhang, Q.; Xu, C.Y.; Liu, C.L.; Chen, Y.D. Multifractal analysis of streamflow records of the east river basin (pearl river), China. Phys. A Stat. Mech. Appl. 2009, 388, 927–934. [Google Scholar] [CrossRef]
- Zhang, Q.; Xu, C.Y.; Yang, T. Scaling properties of the runoff variations in the arid and semi-arid regions of China: A case study of the Yellow River basin. Stoch. Environ. Res. Risk Assess. 2009, 23, 1103–1111. [Google Scholar] [CrossRef]
- Hajian, S.; Movahed, M.S. Multifractal detrended cross-correlation analysis of sunspot numbers and river flow fluctuations. Phys. A Stat. Mech. Appl. 2010, 389, 4942–4957. [Google Scholar] [CrossRef]
- Zhou, Y.; Leung, Y. Multifractal temporally weighted detrended fluctuation analysis and its application in the analysis of scaling behavior in temperature series. J. Stat. Mech. 2010, 2010, P06021. [Google Scholar] [CrossRef]
- Rybski, D.; Bunde, A.; Havlin, S.; Kantelhardt, J.W.; Koscielny-Bunde, E. Detrended Fluctuation Studies of Long-Term Persistence and Multifractality of precipitation and river runoff records. J. Hydrol. 2011, 111, 216–248. [Google Scholar]
- Biswas, A.; Zeleke, T.B.; Si, B.C. Multifractal detrended fluctuation analysis in examining scaling properties of the spatial patterns of soil water storage. Nonlinear Proc. Geophys. 2012, 19, 227–238. [Google Scholar] [CrossRef]
- Zhang, Q.; Zhou, Y.; Singh, V.P.; Chen, X. The influence of dam and lakes on the Yangtze River streamflow: Long-range correlation and complexity analyses. Hydrol. Process. 2012, 26, 436–444. [Google Scholar] [CrossRef]
- Labat, D.; Hoang, C.T.; Masbou, J.; Mangin, A.; Tchiguirinskaia, I.; Lovejoy, S.; Schertzer, D. Multifractal behaviour of long-term karstic discharge fluctuations. Hydrol. Process. 2013, 27, 3708–3717. [Google Scholar] [CrossRef]
- Rego, C.R.C.; Frota, H.O.; Gusmão, M.S. Multifractality of Brazilian rivers. J. Hydrol. 2013, 495, 208–215. [Google Scholar] [CrossRef]
- Yu, Z.G.; Leung, Y.; Chen, Y.D.; Zhang, Q.; Anh, V.; Zhou, Y. Multifractal analyses of daily rainfall time series in Pearl River basin of China. Phys. A Stat. Mech. Appl. 2014, 405, 193–202. [Google Scholar] [CrossRef]
- Baranowski, P.; Krzyszczak, J.; Slawinski, C.; Hoffmann, H.; Kozyra, J.; Nieróbca, A.; Siwek, K.; Gluza, A. Multifractal analysis of meteorological time series to assess climate impacts. Clim. Res. 2015, 65, 39–52. [Google Scholar] [CrossRef]
- Li, E.; Mu, X.; Zhao, G.; Gao, P. Multifractal Detrended Fluctuation Analysis of Streamflow in the Yellow River Basin, China. Water 2015, 7, 1670–1686. [Google Scholar] [CrossRef]
- Maskey, M.L.; Puente, C.E.; Sivakumar, B. A comparison of fractal-multifractal techniques for encoding streamflow records. J. Hydrol. 2016, 542, 564–580. [Google Scholar] [CrossRef]
- Jovanovic, T.; Mejía, A.; Gall, H.; Gironás, J. Effect of urbanization on the long-term persistence of streamflow records. Phys. A Stat. Mech. Appl. 2016, 447, 208–221. [Google Scholar] [CrossRef]
- Krzyszczak, J.; Baranowski, P.; Hoffmann, H.; Zubik, M.; Sławiński, C. Analysis of climate dynamics across a European transect using a multifractal method. In Advances in Time Series Analysis and Forecasting: Selected Contributions from ITISE 2016; Rojas, I., Pomares, H., Valenzuela, O., Eds.; Springer International Publishing: Cham, Switzerland, 2017; pp. 103–116. [Google Scholar] [CrossRef]
- Krzyszczak, J.; Baranowski, P.; Zubik, M.; Hoffmann, H. Temporal scale influence on multifractal properties of agro-meteorological time series. Agric. For. Meteorol. 2017, 239, 223–235. [Google Scholar] [CrossRef]
- Krzyszczak, J.; Baranowski, P.; Zubik, M.; Hoffmann, H. Multifractal characterization and comparison of meteorological time series from two climatic zones. Theor. Appl. Climatol. 2019, 137, 1811–1824. [Google Scholar] [CrossRef]
- Liu, Z.; Wang, L.; Yu, X.; Wang, S.; Deng, C.; Xu, J.; Chen, Z.; Bai, L. Multi-scale response of runoff to climate fluctuation in the headwater region of the Kaidu River in Xinjiang of China. Atmos. Sci. Lett. 2017, 18, 230–236. [Google Scholar] [CrossRef]
- Tu, T.; Ercan, A.; Kavvas, M.L. Fractal scaling analysis of groundwater dynamics in confined aquifers. Earth Syst. Dyn. 2017, 8, 931–949. [Google Scholar] [CrossRef]
- Zhao, T.; Wu, L.; Li, D.; Ding, Y. Multifractal Analysis of Hydrologic Data Using Wavelet Methods and Fluctuation Analysis. Discret. Dyn. Nat. Soc. 2017, 2017, 3148257. [Google Scholar] [CrossRef]
- Adarsh, S.; Dharan, D.S.; Anuja, P.K. Analyzing the Hydrologic Variability of Kallada River, India Using Continuous Wavelet Transform and Fractal Theory. Water Cons. Sci. Eng. 2018, 3, 305–319. [Google Scholar] [CrossRef]
- Adarsh, S.; Dharan, D.S.; Anuja, P.K.; Suman, A. Unravelling the Scaling Characteristics of Daily Streamflows of Brahmani River Basin, India using Arbitrary Order Hilbert Spectral and Detrended Fluctuation Analyses. SN Appl. Sci. 2018, 1, 58. [Google Scholar] [CrossRef]
- Wu, L.; Chen, L.; Ding, Y.; Zhao, T. Testing for the source of multifractality in water level records. Phys. A Stat. Mech. Appl. 2018, 508, 824–839. [Google Scholar] [CrossRef]
- Wu, Y.; He, Y.; Wu, M.; Lu, C.; Gao, S.; Xu, Y. Multifractality and cross-correlation analysis of streamflow and sediment fluctuation at the apex of the Pearl River Delta. Sci. Rep. 2018, 8, 16553. [Google Scholar] [CrossRef] [PubMed]
- Hou, W.; Feng, G.; Yan, P.; Li, S. Multifractal analysis of the drought area in seven large regions of China from 1961 to 2012. Meteorol. Atmos. Phys. 2018, 130, 459–471. [Google Scholar] [CrossRef]
- Adarsh, S.; Kumar, D.N.; Deepthi, B.; Gayathri, G.; Aswathy, S.S.; Bhagyasree, S. Multifractal characterization of meteorological drought in India using detrended fluctuation analysis. Int. J. Climatol. 2019, 39, 4234–4255. [Google Scholar] [CrossRef]
- Xiang, J.; Xu, Y.; Yuan, J.; Wang, Q.; Wang, J.; Deng, X. Multifractal Analysis of River Networks in an Urban Catchment on the Taihu Plain, China. Water 2019, 11, 2283. [Google Scholar] [CrossRef]
- Ariza-Villaverde, A.B.; Pavón-Domínguez, P.; Carmona-Cabezas, R.; Gutiérrez de Ravé, E.; Jimé-nez-Hornero, F.J. Joint Multifractal Analysis of Air Temperature, Relative Humidity and Reference Evapotranspiration in the Middle Zone of the Guadalquivir River Valley. Agric. For. Meteorol. 2019, 278, 107657. [Google Scholar] [CrossRef]
- Baranowski, P.; Gos, M.; Krzyszczak, J.; Siwek, K.; Kieliszek, A.; Tkaczyk, P. Multifractality of meteorological time series for Poland on the base of MERRA-2 data. Chaos Solitons Fractals 2019, 127, 318–333. [Google Scholar] [CrossRef]
- Bai, Z.; Xu, Y.-P.; Gu, H.; Pan, S. Joint multifractal spectrum analysis for characterizing the non-linear relationship among hydrological variables. J. Hydrol. 2019, 576, 12–27. [Google Scholar] [CrossRef]
- Adarsh, S.; Nourani, V.; Archana, D.S.; Dharan, D.S. Multifractal Description of Rainfall Fields over India. J. Hydrol. 2020, 586, 124913. [Google Scholar] [CrossRef]
- Adarsh, S.; Krzyszczak, J.; Baranowski, P.; Archana, D.S.; Kumar, N.K.P.; Nithyanjali, L.J.; Thankamani, V.; Ali, M. Multifractal cross correlation analysis of agro-meteorological datasets (including reference evapotranspiration) of California, United States. Atmosphere 2020, 11, 1116. [Google Scholar] [CrossRef]
- Adarsh, S.; Watorek, M. Analyzing the streamflow-sediment links of three major river basins in India using multifractal theory. In IOP Conference Series: Earth and Environmental Science; IOP Publishing: Bristol, UK, 2020; Volume 491, p. 012006. [Google Scholar]
- García-Marín, A.P.; Estévez, J.; Morbidelli, R.; Saltalippi, C.; Ayuso-Muñoz, J.L.; Flammini, A. Assessing inhomogeneities in extreme annual rainfall data series by multifractal approach. Water 2020, 12, 1030. [Google Scholar] [CrossRef]
- García-Marín, A.P.; Jiménez-Hornero, F.J.; Ayuso-Muñoz, J.L. Multifractal analysis as a tool for validating a rainfall model. Hydrol. Process. 2020, 22, 2672–2688. [Google Scholar] [CrossRef]
- Hekmatzadeh, A.A.; Torabi, A.T.; Hosseini, G.K.; Amiri, S.M.; Kløve, B. The effects of extremes and temporal scale on multifractal properties of river flow time series. River Res. Appl. 2020, 36, 171–182. [Google Scholar] [CrossRef]
- Stocic, T.; Stocic, B.; Singh, V.P. The influence of cascade dams on multifractality of river flow. Preprint 2020. [Google Scholar] [CrossRef]
- Wu, L.; Wang, M.; Zhao, T. Joint multifractal analysis and source testing of river level records based on multifractal detrended cross-correlation analysis. Complexity 2020, 1, 1532805. [Google Scholar] [CrossRef]
- Adarsh, S.; Priya, K.L. Multifractal description of droughts in western India using detrended fluctuation analysis. In Hydrological Extremes: River Hydraulics and Irrigation Water Management; Springer: Berlin/Heidelberg, Germany, 2021; pp. 133–142. [Google Scholar]
- Adarsh, S.; Nityanjaly, L.J.; Pham, Q.B.; Sarang, R.; Ali, M.; Nandhineekrishna, P. Multifractal characterization and cross correlations of reference evapotranspiration time series of India. Eur. Phys. J. Spec. Top. 2021, 230, 3845–3859. [Google Scholar] [CrossRef]
- Sankaran, A.; Chavan, S.R.; Ali, M.; Sindhu, A.D.; Dharan, D.S.; Khan, M.I. Spatiotemporal variability of multifractal properties of fine resolution daily gridded rainfall fields over India. Nat. Hazards 2021, 106, 1951–1979. [Google Scholar] [CrossRef]
- Gómez-Gómez, J.; Carmona-Cabezas, R.; Ariza-Villaverde, A.B.; Gutiérrez de Ravé, E.; Jimé-nez-Hornero, F.J. Multifractal detrended fluctuation analysis of temperature in Spain (1960–2019). Phys. A Stat. Mech. Appl. 2021, 578, 126118. [Google Scholar] [CrossRef]
- Martínez, J.L.M.; Segovia-Domínguez, I.; Rodríguez, I.Q.; Horta-Rangel, F.A.; Sosa-Gómez, G. A modified Multifractal Detrended Fluctuation Analysis (MFDFA) approach for multifractal analysis of precipitation. Phys. A Stat. Mech. Appl. 2021, 565, 125611. [Google Scholar] [CrossRef]
- San José Martínez, F.; García-Gutiérrez Báez, C.; Caniego Monreal, F.J.; Peregrina, F. Long-range cor-relations of soil water content time series under tillage and different cover crops in a semi-arid vine-yard. Eur. J. Soil Sci. 2021, 72, 623–634. [Google Scholar] [CrossRef]
- Sarker, A.; Mali, P. Detrended multifractal characterization of Indian rainfall records. Chaos Solitons Fractals 2021, 151, 111297. [Google Scholar] [CrossRef]
- Amiri, S.M.; Fooladi, M.; Rahmani, V.; Mirghafari, R. Assessing scaling behavior of four hydrological variables using combined fractal and statistical methods in Missouri River Basin. Iran. J. Sci. Technol. Trans. Civ. Eng 2022, 46, 2405–2423. [Google Scholar] [CrossRef]
- Habib, A.; Butler, A.P.; Bloomfield, J.P.; Sorensen, J.P.R. Fractal domain refinement of models simulating hydrological time series. Hydrol. Sci. J. 2022, 67, 1342–1355. [Google Scholar] [CrossRef]
- Millán, H.; Macías, I.; Rabelo-Lima, J. Hurst scaling with crossover of a drought indicator: A case study in Belem and Manaus, Brazil. Nat. Hazards 2022, 110, 69–93. [Google Scholar] [CrossRef]
- Millán, H.; Macías, I.; Valderá, N. Multifractality of the standardized precipitation index: Influence of pan evaporation and virtual temperature-based potential evapotranspiration. Meteorol. Atmos. Phys. 2022, 134, 51. [Google Scholar] [CrossRef]
- Rahmani, F.; Fattahi, M.H. Exploring the association between anomalies and multifractality variations in river flow time series. Hydrol. Sci. J. 2022, 67, 1084–1095. [Google Scholar] [CrossRef]
- Rahmani, F.; Fattahi, M.H. The influence of rainfall time series fractality on forecasting models’ efficiency. Acta Geophys. 2022, 70, 1349–1361. [Google Scholar] [CrossRef]
- Rahmani, F.; Fattahi, M.H. Association between forecasting models’ precision and nonlinear patterns of daily river flow time series. Model. Earth Syst. Environ. 2022, 8, 4267–4276. [Google Scholar] [CrossRef]
- Gómez-Gómez, J.; Carmona-Cabezas, R.; Sánchez-López, E.; de Ravé, E.G.; Jiménez-Hornero, F.J. Multifractal fluctuations of the precipitation in Spain (1960–2019). Chaos Solitons Fractals 2022, 157, 111909. [Google Scholar] [CrossRef]
- Mei, Y.; He, W.; Xie, X.; Wan, S.; Gu, B. Increasing long-term memory as an early warning signal for a critical transition. J. Clim. 2023, 37, 487–504. [Google Scholar] [CrossRef]
- da Silva, A.S.A.; Stosic, T.; Arsenić, I.; Menezes, R.S.C.; Borko Stosic, B. Multifractal analysis of standardized precipitation index in Northeast Brazil. Chaos Solitons Fractals 2023, 172, 113600. [Google Scholar] [CrossRef]
- Gómez-Gómez, J.; Plocoste, T.; Alexis, E.; Jiménez-Hornero, F.J.; de Ravé, E.G.; Nuiro, S.P. Multifractal detrended fluctuation analysis of rainfall time series in the Guadeloupe archipelago. J. Hydrol. 2023, 626, 130377. [Google Scholar] [CrossRef]
- Gómez-Gómez, J.; Ariza-Villaverde, A.B.; de Ravé, E.G.; Jiménez-Hornero, F.J. Relationships between Reference Evapotranspiration and Meteorological variables in the Middle Zone of the Guadalquivir River Valley Explained by Multifractal Detrended Cross-Correlation Analysis. Fractal Fract. 2023, 7, 54. [Google Scholar] [CrossRef]
- Filho, O.F.M.; Guedes, E.F.; Rodrigues, P.C. Networks analysis of Brazilian climate data based on the DCCA cross-correlation coefficient. PLoS ONE 2023, 18, e0290838. [Google Scholar] [CrossRef]
- Rahmani, F.; Fattahi, M.H. Climate change-induced influences on the nonlinear dynamic patterns of precipitation and temperatures (case study: Central England). Theor. Appl. Climatol. 2023, 152, 1147–1158. [Google Scholar] [CrossRef]
- Devi, R.R.; Chattopadhyay, S. A modified multifractal detrended fluctuation analysis to study the precipitation across northeast India. Dyn. Atmos. Ocean. 2023, 104, 101402. [Google Scholar] [CrossRef]
- Serpa-Usta, Y.; López-Lambraño, A.A.; Fuentes, C.; Flores, D.-L.; González-Durán, M.; López-Ramos, A. Santa Ana Winds: Multifractal Measures and Singularity Spectrum. Atmosphere 2023, 14, 1751. [Google Scholar] [CrossRef]
- Stosic, T.; Stosic, B.; Tošić, M.; Lazić, I.; Djurdjević, V.; Tošić, I. Climate change effects through MFDFA Study of temperature in Serbia. Atmosphere 2023, 14, 1532. [Google Scholar] [CrossRef]
- Zhan, C.; Liang, C.; Zhao, L.; Jiang, S.; Niu, K.; Zhang, Y. Multifractal characteristics of multiscale drought in the Yellow River Basin, China. Phys. A Stat. Mech. Appl. 2023, 609, 128305. [Google Scholar] [CrossRef]
- Adarsh, S.; Plocoste, T.; Geetha Raveendran Nair, A.N.; Mohan, M.G. Unravelling the Fractal complexity of temperature datasets across Indian mainland. Fractal Fract. 2024, 8, 241. [Google Scholar] [CrossRef]
- Gu, L.; Jamshidi, S.; Zhang, M.; Gu, X.; Wang, Z. Multifractal Description of the Agricultural and Meteorological Drought Propagation Process. Water. Resour. Manag. 2024, 38, 3607–3622. [Google Scholar] [CrossRef]
- Millán, H.; Biondi, R.; Cumbrera, R.; Freitas-Guedes, E. Associating daily meteorological variables of a local climate using DCCA, sample entropy, Lévy-index and Hurst–Kolmogorov exponents: A case study. Meteorol. Atmos. Phys. 2024, 136, 7. [Google Scholar] [CrossRef]
- Pachore, A.B.; Remesan, R.; Kumar, R. Multifractal characterization of meteorological to agricultural drought propagation over India. Sci. Rep. 2024, 14, 18889. [Google Scholar] [CrossRef] [PubMed]
- Niu, S.; Shu, L.; Li, H.; Li, Y.; Guo, J. Groundwater level complexity analysis based on multifractal character-istics: A case study in Baotu Spring Basin, China. Theor. Appl. Climatol. 2024, 155, 2135–2149. [Google Scholar] [CrossRef]
- Sanz, E.; Almeida-Ñaulay, A.F.; Díaz-Ambrona, C.G.H.; Mínguez, S.Z.; Tarquis, A.M. Joint multiscale dynamics in soil–vegetation–atmosphere systems: Multifractal cross-correlation analysis of arid and semiarid rangelands. Vadose Zone J. 2024, 24, e20374. [Google Scholar] [CrossRef]
- Rahmani, F.; Fattahi, M.H. Exploring the sensitivity of river flow patterns to meteorological drought using multifractal and cross-correlation applications. J. Water Clim. Chang. 2024, 15, 4127–4137. [Google Scholar] [CrossRef]
- Stosic, T.; Tošić, I.; Lazić, I.; Tošić, M.; Filipović, L.; Djurdjević, V.; Stosic, B. Multifractal Analysis of Standardized Precipitation Evapotranspiration Index in Serbia in the Context of Climate Change. Sustainability 2024, 16, 9857. [Google Scholar] [CrossRef]
- Vahab, S.; Salim, A.; Plocoste, P.; Adarsh, S. Analyzing the Multifractality of River Stage Records for Three South Indian River Basins Using Detrended Fluctuation Principles. In Interplay of Fractals and Complexity in Mathematical Modelling and Physical Patterns; Springer: Cham, Switzerland, 2024. [Google Scholar] [CrossRef]
- Vahab, S.; Salim, A.; Adarsh, S. Fractal Characterization of Extreme Climatic Indices of Indian Megacities Using Detrended Fluctuation Analysis. In Soft Computing and Geospatial Techniques in Water Resources Engineering; Pandey, M., Jayakumar, K.V., Pal, M., Singh, V.P., Eds.; Lecture Notes in Civil Engineering; Springer: Singapore, 2024; Volume 397. [Google Scholar] [CrossRef]
- Zeng, Z.; Yang, H.; Zhao, R.; Meng, J. Nonlinear characteristics of observed solar radiation data. Sol. Energy 2013, 87, 204–218. [Google Scholar] [CrossRef]
- Garcia-Marin, A.P.; Estévez, J.; Jiménez-Hornero, F.J.; Ayuso-Muñoz, J.L. Multifractal analysis of validated wind speed time series. Chaos 2013, 23, 013133. [Google Scholar] [CrossRef] [PubMed]
- Liu, Z.; Xu, J.; Chen, Z.; Nie, Q.; Wei, C. Multifractal and long memory of humidity process in the Tarim River Basin. Stoch. Environ. Res. Risk Assess. 2014, 28, 1383–1400. [Google Scholar] [CrossRef]
- Jiang, L.; Zhang, J.; Liu, X.; Li, F. Multi-fractal scaling comparison of the air temperature and the surface temperature over China. Phys. A Stat. Mech. Appl. 2016, 462, 783–792. [Google Scholar] [CrossRef]
- Laib, M.; Golay, J.; Telesca, L.; Kanevski, M. Multifractal analysis of the time series of daily means of wind speed in complex regions. Chaos Solitons Fractals 2018, 109, 118–127. [Google Scholar] [CrossRef]
- Maruyama, F. The relation among the solar activity, the total ozone, QBO, NAO, and ENSO by wavelet-based multifractal analysis. J. Appl. Math. Phys. 2018, 6, 1301–1314. [Google Scholar] [CrossRef]
- Varotsos, C.A.; Cracknell, A.P.; Efstathiou, M.N. The global signature of the el Niño/La Niña southern oscillation. Int. J. Remote Sens. 2018, 39, 5965–5977. [Google Scholar] [CrossRef]
- Akinsusi, J.; Ogunjo, S.; Fuwape, I. Nonlinear dynamics and multifractal analysis of minimum–maximum temperature and solar radiation over Lagos State, Nigeria. Acta Geophys. 2022, 70, 2171–2178. [Google Scholar] [CrossRef]
- Dos Santos, F.S.; Do Nascimento, K.K.F.; Jale, J.S.; Xavier Júnior, S.F.A.; Ferreira, T.A. Multifractal Analysis of Solar Radiation in the Northeastern Region of Brazil. Fractals 2023, 31, 2350025. [Google Scholar] [CrossRef]
- Shang, P.; Kamae, S. Fractal nature of time series in the sediment transport phenomenon. Chaos Solitons Fractals 2005, 26, 997–1007. [Google Scholar] [CrossRef]
- Tatli, H.; Dalfes, H.N. Long-Time Memory in Drought via Detrended Fluctuation Analysis. Water Resour. Manag. 2020, 34, 1199–1212. [Google Scholar] [CrossRef]
- Qian, X.Y.; Gu, G.F.; Zhou, W.X. Modified detrended fluctuation analysis based on empirical mode decomposition for the characterization of anti-persistent processes. Phys. A Stat. Mech. Appl. 2011, 390, 4388–4395. [Google Scholar] [CrossRef][Green Version]
- Dey, P.; Mujumdar, P.P. Multiscale evolution of persistence of rainfall and streamflow. Adv. Water Resour. 2018, 121, 285–303. [Google Scholar] [CrossRef]
- Majone, B.; Bellin, A.; Borsato, A. Runoff generation in karst catchments: Multifractal analysis. J. Hydrol. 2004, 294, 176–195. [Google Scholar] [CrossRef]
- Rodríguez Solá, R.; Casas Castillo, M.; Navarro Bosque, J.; Redaño Xipell, A. A study of the scaling properties of rainfall in spain and its appropriateness to generate intensity-duration-frequency curves from daily records. Int. J. Climatol. 2016, 2, 770–780. [Google Scholar] [CrossRef]
- Diedhiou, C.W.; Panthou, G.; Diatta, S.; Sané, Y.; Vischel, T.; Camara, M. Simple scaling of extreme precipitation regime in Senegal. Sci. Afr. 2024, 23, e02034. [Google Scholar] [CrossRef]
- Adarsh, S.; Janga Reddy, M. Developing hourly intensity duration frequency curves for urban areas in India using multivariate empirical mode decomposition and scaling theory. Stoch. Environ. Res. Risk Assess. 2018, 32, 1889–1902. [Google Scholar] [CrossRef]
- Veneziano, D.; Langousis, A. Scaling and fractals in hydrology. In Advances in Data-Based Approaches for Hydrologic Modeling and Forecasting; World Scientific Publishing Co Pte Ltd.: Singapore, 2010; pp. 107–243. [Google Scholar]
- Hubert, P. Multifractals as a tool to overcome scale problems in hydrology. Hydrol. Sci. J. 2001, 46, 897–905. [Google Scholar] [CrossRef]
- Schertzer, D.; Tchiguirinskaia, I.; Lovejoy, S.; Hubert, P. No monsters, no miracles: In nonlinear sciences hydrology is not an outlier! Hydrol. Sci. J. 2010, 55, 965–979. [Google Scholar] [CrossRef]
- Özger, M.; Mishra, A.K.; Singh, V.P. Seasonal and spatial variations in the scaling and correlation structure of streamflow data. Hydrol. Process. 2013, 27, 1681–1690. [Google Scholar] [CrossRef]
- Liu, Y.; Zhang, K.; Zhang, W.; Shao, Y.; Pei, H.; Feng, J. Multifractal analysis of 1-min summer rainfall time series from a monsoonal watershed in eastern China. Theor. Appl. Climatol. 2013, 111, 37–50. [Google Scholar] [CrossRef]
- Roy, T.; Dimitriadis, P.; Iliopoulou, T.; Koutsoyiannis, D.; Wood, E.F. Effects of Hurst-Kolmogorov Dynamics in Intensity-Duration-Frequency Curves. In Proceedings of the AGU Fall Meeting Abstracts, Washington, DC, USA, 10–14 December 2018; American Geophysical Union: Washington, DC, USA, 2018; p. H23N-2148. [Google Scholar]
- Menabde, M.; Sivapalan, M. Modeling of rainfall time series and extremes using bounded random cascades and Levy-stable distributions. Water Resour. Res. 2000, 35, 3293–3300. [Google Scholar] [CrossRef]
- Gires, A.; Tchiguirinskaia, I.; Schertzer, D.; Lovejoy, S. Development and analysis of a simple model to represent the zero rainfall in a universal multifractal framework. Nonlinear Process. Geophys. 2013, 20, 343–356. [Google Scholar] [CrossRef]
- Olsson, J.; Niemczynowicz, R. Berndtsson. Fractal analysis of high-resolution rainfall time series. J. Geophys. Res. 1993, 98, 23265. [Google Scholar] [CrossRef]
- García-Marín, A.P.; Estévez, J.; Medina-Cobo, M.T.; Ayuso-Muñoz, J.L. Delimiting homogeneous regions using the multifractal properties of validated rainfall data series. J. Hydrol. 2015, 529, 106–119. [Google Scholar] [CrossRef]
- García-Marín, A.P.; Estévez, J.; Alcalá-Miras, J.A.; Morbidelli, R.; Flammini, A.; Ayuso-Muñoz, J.L. Multifractal analysis to study break points in temperature data sets. Chaos 2019, 29, 093116. [Google Scholar] [CrossRef] [PubMed]
- Garcia-Marin, A.P.; Morbidelli, R.; Saltalippi, C.; Cifrodelli, M.; Esteveza, J.; Flammini, A. On the choice of the optimal frequency analysis of annual extreme rainfall by multifractal approach. J. Hydrol. 2019, 575, 1267–1279. [Google Scholar] [CrossRef]
- Onyutha, C.; Rutkowska, A.; Nyeko-Ogiramoi, P.; Willems, P. How well do climate models reproduce variability in observed rainfall? A case study of the Lake Victoria basin considering CMIP3, CMIP5 and CORDEX simulations. Stoch. Environ. Res. Risk Assess. 2019, 33, 687–707. [Google Scholar] [CrossRef]
- Maskey, M.L.; Puente, C.E.; Sivakumar, B. Temporal downscaling rainfall and streamflow records through a deterministic fractal geometric approach. J. Hydrol. 2019, 568, 447–461. [Google Scholar] [CrossRef]
- Jain, S.K.; Sudheer, K.P. Fitting of Hydrologic Models: A Close Look at the Nash-Sutcliffe Index. J. Hydrol. Eng. 2008, 13, 981–986. [Google Scholar] [CrossRef]
- Wu, F.; Cattani, C.; Song, W.; Zio, E. Fractional ARIMA with an improved cuckoo search optimization for the efficient Short-term power load forecasting. Alex. Eng. J. 2019, 59, 3111–3118. [Google Scholar] [CrossRef]
- Blackledge, J.; Lamphiere, M. A Review of the Fractal Market Hypothesis for Trading and Market Price Prediction. Mathematics 2022, 10, 117. [Google Scholar] [CrossRef]
- Wu, J.; Lu, J.; Wang, J.Q. Application of chaos and fractal models to water quality time-series prediction. Environ. Model. Soft. 2009, 24, 632–636. [Google Scholar] [CrossRef]
- Yu, L.; Wang, J.Q. Water quality prediction based on fractal theory. In Proceedings of the IEEE 2009 International Joint Conference on Computational Sciences and Optimization, Sanya, China, 24–26 April 2009; pp. 315–317. [Google Scholar]
- Zhao, G.; Guo, X.; Wang, X.; Zheng, D. Using a Novel Fractal-Time-Series Prediction Model to Predict Coal Consumption. Discret. Dyn. Nat. Soc. 2023, 8606977. [Google Scholar] [CrossRef]
- Li, W.; Wang, J.; Zhang, Y.; Zhang, M. A novel characterization on the interaction of soil and vegetation in a reclaimed area of opencast coalmine based on joint multi-fractal method. Ecol. Indic. 2021, 121, 107094. [Google Scholar] [CrossRef]
- Bai, Z.; Xu, Y.P.; Pan, S.; Liu, L.; Wang, Z. Evaluating the performance of hydrological models with joint multifractal spectra. Hydrol. Sci. J. 2022, 67, 1771–1789. [Google Scholar] [CrossRef]
- Koutsoyiannis, D. Climate change, the Hurst phenomenon, and hydrological statistics. Hydrol. Sci. J. 2003, 48, 3–24. [Google Scholar] [CrossRef]
- O’Connell, P.E.; Koutsoyiannis, D.; Lins, H.F.; Markonis, Y.; Montanari, A.; Cohn, T. The scientific legacy of Harold Edwin Hurst (1880–1978). Hydrol. Sci. J. 2016, 61, 1571–1590. [Google Scholar] [CrossRef]
- Mandelbrot, B.B.; Wallis, J.R. Noah, Joseph, and Operational Hydrology. Water Resour. Res. 1968, 4, 909–918. [Google Scholar] [CrossRef]
- Mandelbrot, B.B.; Wallis, J.R. Some long-run properties of geophysical records. Water Resour. Res. 1969, 5, 321–340. [Google Scholar] [CrossRef]
- Salcedo-Sanz, S.; Casillas-Pérez, D.; Del Ser, J.; Casanova-Mateo, C.; Cuadra, L.; Piles, M.; Camps-Valls, G. Persistence in complex systems. Phys. Rep. 2022, 957, 1–73. [Google Scholar] [CrossRef]
- Szolgayova, E.; Laaha, G.; Blöschl, G.; Bucher, C. Factors influencing long range dependence in streamflow of European rivers. Hydrol. Process. 2014, 28, 1573–1586. [Google Scholar] [CrossRef]
- Voss, R.F. Random fractals: Characterization and measurement. In Scaling Phenomena in Disordered Systems; Pynn, R., Skjeltorp, A., Eds.; Plenum: New York, NY, USA, 1985; pp. 1–11. [Google Scholar]
- Bassingthwaighte, J.B.; Bever, R.P. Fractal correlation in heterogeneous systems. Phys. D Nonlinear Phenom. 1991, 53, 71–84. [Google Scholar] [CrossRef]
- Bassingthwaighte, J.B.; Raymond, G.M. Evaluating rescaled range analysis for time series. Ann. Biomed. Eng. 1994, 22, 432–444. [Google Scholar] [CrossRef] [PubMed]
- Bassingthwaighte, J.B.; Raymond, G.M. Evaluation of the dispersional analysis method for fractal time series. Ann. Biomed. Eng. 1995, 23, 491–505. [Google Scholar] [CrossRef] [PubMed]
- Caccia, D.C.; Percival, D.; Cannon, M.J.; Raymond, G.M.; Bassingthwaighte, J.B. Analyzing exact fractal time series: Evaluating dispersional analysis and rescaled range methods. Phys. A Stat. Mech. Appl. 1997, 246, 3–4. [Google Scholar] [CrossRef] [PubMed]
- Fuss, F.K.; Weizman, Y.; Tan, A.M. The non-linear relationship between randomness and scaling properties such as fractal dimensions and Hurst exponent in distributed signals. Commun. Nonlinear Sci. Numer. Simul. 2021, 96, 105683. [Google Scholar] [CrossRef]
- Rangarajan, G.; Sant, D.A. A Climate predictability Index and its applications. Geophys. Res. Lett. 1997, 24, 1239–1242. [Google Scholar] [CrossRef]
- Markonis, Y.; Moustakis, Y.; Nasika, C.; Sychova, P.; Dimitriadis, P.; Hanel, M.; Máca, P.; Papalexiou, S.M. Global estimation of long-term persistence in annual river runoff. Adv. Water Resour. 2018, 113, 1–12. [Google Scholar] [CrossRef]
- López-Lambraño, A.A.; Fuentes, C.; López-Ramos, A.A.; Mata-Ramírez, J.; Lopez-Lambraño, M. Spatial and temporal Hurst exponent variability of rainfall series based on the climatological distribution in a semiarid region in Mexico. Atmósfera 2018, 31, 199–219. [Google Scholar] [CrossRef]
- O’Connell, E.; O’Donnell, G.; Koutsoyiannis, D. On the spatial scale dependence of long-term persistence in global annual precipitation data and the Hurst Phenomenon. Water Resour. Res. 2023, 59, e2022WR033133. [Google Scholar] [CrossRef]
- O’Connell, E.; O’Donnell, G.; Koutsoyiannis, D. The Spatial Scale Dependence of The Hurst coefficient in Global annual precipitation data, and its role in characterizing regional precipitation deficits within a naturally changing climate. Hydrology 2022, 9, 199. [Google Scholar] [CrossRef]
- Tong, S.; Li, X.; Zhang, J.; Bao, Y.; Bao, Y.; Li, N.; Alu, S. Spatial and temporal variability in extreme temperature and precipitation events in Inner Mongolia (China) during 1960–2017. Sci. Total Environ. 2019, 649, 75–89. [Google Scholar] [CrossRef] [PubMed]
- Pal, S.; Dutta, S.; Nasrin, T.; Chattopadhyay, S. Hurst exponent approach through rescaled range analysis to study the time series of summer monsoon rainfall over northeast India. Theor. Appl. Climatol. 2020, 142, 581–587. [Google Scholar] [CrossRef]
- Devi, R.R.; Bhuiya, P.; Chattopadhyay, S. Markovian and rescaled range analysis-based probe into the pattern of rainfall over Eastern Peninsular India. Indian J. Phys. 2023, 97, 1337–1343. [Google Scholar] [CrossRef]
- Sharma, A.; Chattopadhyay, S. Rescaled range analysis and conditional probability-based probe into the intrinsic pattern of rainfall over North Mountainous India. J. Water Clim. Chang. 2021, 12, 3675–3687. [Google Scholar] [CrossRef]
- Soorya Gayathri, M.; Adarsh, S.; Shehinamol, K.; Nizamudeen, Z.; Lal, M.R. Evaluation of change points and persistence of extreme climatic indices across India. Nat. Hazards 2023, 116, 2747–2759. [Google Scholar] [CrossRef]
- Sreedevi, V.; Adarsh, S. Spatiotemporal Analysis of Drought Persistence of Peninsular India. In Climate Change and Water Security; Kolathayar, S., Mondal, A., Chian, S.C., Eds.; Lecture Notes in Civil Engineering; Springer: Singapore, 2022; Volume 178. [Google Scholar] [CrossRef]
- Pizarro, A.; Acuña, P.; Dimitriadis, P.; Iliopoulou, T.; Koutsoyiannis, D. Past, present, and future of the Hurst-Kolmogorov dynamics in Stochastics: A bibliometric analysis of the last 50 years in water resources. J. Hydrol. 2024, 643, 132008. [Google Scholar] [CrossRef]
- Ghimire, G.R.; Krajewski, W.F. Exploring Persistence in Streamflow forecasting. J. Am. Water Resour. Assoc. 2020, 56, 542–550. [Google Scholar] [CrossRef]
- Chandrasekaran, S.; Poomalai, P.; Saminathan, B.; Suthanthiravel, S.; Sundaram, K.; Hakkim, F.F.A. An investigation on the relationship between the Hurst exponent and the predictability of a rainfall time series. Meteorol. Appl. 2019, 16, 511–519. [Google Scholar] [CrossRef]
- Braga, A.C.; Alves, L.G.A.; Costa, L.S.; Ribeiro, A.A.; De Jesus, M.M.A.; Tateishi, A.A.; Ribeiro, H.V. Characterization of river flow fluctuations via horizontal visibility graphs. Phys. A Stat. Mech. Appl. 2016, 444, 1003–1011. [Google Scholar] [CrossRef]
- Ghimire, G.R.; Jadidoleslam, N.; Krajewski, W.F.; Tsonis, A.A. Insights on Streamflow Predictability across Scales Using Horizontal Visibility Graph Based Networks. Front. Water 2020, 2, 17. [Google Scholar] [CrossRef]
- Singh, U.P.; Mittal, A.K. Testing reliability of the spatial Hurst exponent method for detecting a change point. J. Wat. Clim. Chang. 2021, 12, 3661–3674. [Google Scholar] [CrossRef]
- Adarsh, S.; Veni, A.; Anilkumar, V.; Shajudeen, M.H.; Anil, A.; Shaibu, A. On the use of temporal evolution of persistence for change point detection of streamflow datasets. Environ. Earth Sci. 2024, 83, 689. [Google Scholar] [CrossRef]
- Markonis, Y.; Koutsoyiannis, D. Scale-dependence of persistence in precipitation records. Nat. Clim. Chang. 2016, 6, 399–401. [Google Scholar] [CrossRef]
- Marwan, N.; Romano, M.C.; Thiel, M.; Kurths, J. Recurrence plots for the analysis of complex systems. Phys. Rep. 2007, 438, 5–6. [Google Scholar] [CrossRef]
- Banerjee, A.; Goswami, B.; Hirata, Y.; Eroglu, D.; Merz, B.; Kurths, J.; Marwan, N. Recurrence analysis of extreme event-like data. Nonlinear Process. Geophys. Discuss. 2021, 28, 213–229. [Google Scholar] [CrossRef]








| Feature | MFDFA | AOHSA | CNMF |
|---|---|---|---|
| Power law scaling | Yes | Yes | Yes |
| Power law rule | |||
| Detrending | Yes | No | No |
| Can handle q < 0 | Yes | No | Yes |
| H | h(2) | h(1)-1 | 2-D0 |
| Predictability extension | Indirect (FARIMA) | Indirect by extracting H | Yes Multiple fractal exponents |
| Adaptability to small samples size | Yes | No | Yes |
| Handling seasonality | Partially | Yes | Partially |
| Algorithm | Single | Combination of multiple method | Combination of multiple method |
| Scaling range | Yes | Yes | No |
| Flexibility of schemes | No | No | Yes |
| Theoretical background | Mathematical | Empirical | Mathematical |
| Multivariate extension and Correlation studies | Yes | No | No |
| Sl No | Author(s) Year | Method | Contribution |
|---|---|---|---|
| 1 | Kantelhardt et al. (2002) [19] | MFDFA | Multifractal extension of DFA proposed by Peng et al. (1994) [18] |
| 2 | Podobnik & Stanley (2008) [73] | DCCA | Proposed detrended cross correlation |
| 3 | Huang (2009) [20] | AOHSA | Proposed AOHSA method |
| 4 | Zhou (2008) [56] | MFDCCA | Multifractal behaviors in powerlaw cross correlations |
| 5 | Jiang and Zhou (2011) [74] | MFXDMA | Proposed moving average multifractal cross correlations |
| 6 | Ihlen (2012) [55] | MFDFA | MATLAB (https://www.mathworks.com/matlabcentral/fileexchange/38262-multifractal-detrended-fluctuation-analyses, accessed on 23 December 2024) Toolbox for MFDFA computation |
| 7 | Oświecimka et al. (2014) [75] | MF-CCA | Detrended cross correlation extended to multifractality. Here most a more generalized version which can also incorporate the sign of fluctuation function to their generalized moment |
| 8 | Jiang, et al. (2017) [76] | MF-WXA | Developed Multifractal cross wavelet analysis |
| 9 | Gorjão et al. (2022) [77] | MFDFA | Python code for MFDFA |
| 10 | Adarsh et al. (2023) [83] | MEMD-MFDFA | Signal reconstruction |
| Sl. No. | Author(s) and Year | Variable | Scale | Study Area | Method | Finding or Key Contribution |
|---|---|---|---|---|---|---|
| 1. | Kantelhardt et al. (2003) [42] | Runoff and precipitation | Daily | Global | MFDFA and WMM | Comparable results non-universal behaviour |
| 2. | Kantelhardt et al. (2006) [43] | Streamflow and rainfall | Daily | Global | MFDFA | Mean Gobal streamflow persistence of 0.72 |
| 3. | Koscielny-Bunde et al. (2006) [86] | River discharge | Daily | Global | MFDFA, DFA, Wavelet Analysis | LTP found in all cases on timescales ranging from weeks to decades |
| 4. | Livina et al. (2007) [87] | Runoff | Daily | Three Bavarian rivers (Naab, Regnitz and Vils) | DFA, MFA, volatility analysis | Showed that scaling properties are effective evaluation tools |
| 5. | Movahed & Hermanis (2008) [88] | River flow | Daily | Daugava river flow Russia | MFDFA | Fractality and scale of river flow fluctuations, multiple crossovers, causes of multifractality |
| 6. | Huang et al. (2009) [54] | River flow | Daily | Seine and Wimereux rivers (France) | Arbitrary order Hilbert Spectral Analysis | Large scale IMF modes of both rivers showed a correlation suggesting shared influences from same maritime climate events in Northern France |
| 7. | Zhang et al. (2008) [89] | Streamflow | Daily | Yangtze basin China | MFDFA | Discharge series of the Yangtze River basin are non-stationary and possess multifractal behavior. Streamflows of upper reaches, anti-persistent and lower basins are persistent |
| 8. | Zhang et al. (2009) [90] | Streamflow | Daily | Pearl River basin, China | MFDFA | Effect of storage reservoirs; Streamflow series of the basin are anti-persistent; reservoir regulations affect scaling property but on fluctuation magnitude |
| 9. | Zhang et al. (2009) [91] | Runoff | Daily | Yellow River basin, China | MFDFA | Different memory properties at different scales. Low crossover frequency corresponds to larger basin area |
| 10. | Hajian and Movahed (2010) [92] | River flow andSunspot numbers | Monthly | Daugava, Holston, Nolichucky and French Board rivers | DCCA, MFDXA, SVD | Found long-range correlation between sunspot activity and river flow fluctuations across multiple river, indicating a universal property |
| 11. | Hirpa et al. (2010) [65] | Streamflow | Daily | Flint basin, USA | MFDFA | Multifractality decreases with increase in watershed area |
| 12 | Zhou and Leung (2010) [93] | Temperature | Annual | China | Temporally weighted MFDFA (MF-TWDFA), Multifractal Moving Window DFA | MF-TWDFA, could capture additional crossover points, which couldn’t be detected by the conventional MF-DFA |
| 13 | Zhang et al. (2011) [39] | Streamflow | Daily | China | Adaptive Detrending algorithm (ADA), Fourier and average removing method | Average removing is recommended before MFDFA |
| 14. | Rybski et al. (2011) [94] | River Discharge | Daily | Global | DFA, MFDFA | Long-term correlations and weak multifractality in river discharge records |
| 15. | Biswas et al. (2012) [95] | Soil water storage | Weekly | USA | MFDFA | Different scaling between wet and dry periods; local factors control multiscaling in wet periods. |
| 16. | Zhang et al. (2012) [96] | Streamflow | Daily | China | Long rang correlations on river flow dynamics | Effect of storage structures |
| 17. | Labat et al. (2013) [97] | Discharge | 3-min, 30-min, daily | France | MFA based on Cascade Multiplicative processes | Multifractal characteristics of karst spring flows |
| 18. | Rego et al. (2013) [98] | Water level | Daily | Brazil; 16 stations | MFDFA | Long memory and multifractality of water elevels |
| 19. | Yu et al. (2014) [99] | Rainfall | Daily | Pearl River Basin, China | Universal multifractal model (UMM), MFDFA | The universal multifractal model fits the data well; after removal of seasonal trends no correlations were found; a relationship between topography and rainfall variability is suggested |
| 20. | Zhang et al. (2014) [40] | Streamflow | Daily | China | DFA, Varying Parameter DFA (VPDFA), ADA | Detrending influences scaling behaviors, VPDFA is recommended for streamflow series with less than or equal to 20 cycles |
| 21. | Zhou et al. (2014) [35] | Streamflow | Daily | Yangtze River China | MFA, MFDFA | The Gezhouba Dam has a local impact on streamflow fluctuations downstream |
| 22. | Baranowski et al. (2015) [100] | Air temperature, wind velocity, RH, global radiation, precipitation | Daily | Finland, Germany, Poland, Spain | MFDFA | Precipitation shows multifractality; Multifractality are due to long-range correlations |
| 23. | Li et al. (2015) [101] | Streamflow | Monthly | Yellow River basin, China | MFDFA, Seasonal Trend Decomposition (STL) based on Locally Weighted Regression | Identified annual crossover; preprocessing is required for seasonality removal |
| 24. | Maskey et al. (2016) [102] | Streamflow | Daily | Sacramento River, California, USA | Fractal-Multifractal (FM) approach and its 6 variants | All 6 variants provided accurate representations of streamflow data |
| 25. | Liu et al. (2016) [78] | Precipitation | Daily | China | EMD-MFDFA | |
| 26. | Jovanovic et al. (2016) [103] | Streamflow | Hourly | 22 basins from Baltimore, Philadelphia, and Washington DC (USA) | MFDFA | Effect of urbanization on streamflow variations |
| 27. | Krzyszczak et al. (2017a) [104] | Precipitation, Temperature, global radiation | Daily | Finland, Germany, Spain | MFDFA | All the time-series exhibited multifractality; multifractality of precipitation time-series primarily originated from the broadness of pdf |
| 28. | Krzyszczaket al. (2017b) [105] | Precipitation, Temperature, relative air humidity, wind speed | Hourly, Daily | Poland | MFDFA | The transition from hourly to daily time scales diminished long-range correlations and broadness of pdf leading to reduced multifractality |
| 29 | Krzyszczak et al. [106] | Precipitation, Temperature, relative air humidity, wind speed | Daily | Poland and Bulgaria | MFDFA | Effect of climatic shift; Precipitation properties are affected |
| 30. | Liu et al. (2017) [107] | Runoff, Temperature, Precipitation, Relative Humidity, Evaporation | Daily | Kaidu river, China | DFA, DCCA | Runoff and the other climatic factors showed two distinct power laws; in shorter time scales, all series showed similar persistence reflecting annual cycle |
| 31. | Tan and Gan (2017) [27] | Streamflow and rainfall | Daily | Canada | MFDFA | Pre and post period changes of precipitation and streamflow data |
| 32. | Tu et al. (2017) [108] | Groundwater level | Daily | USA | DFA, MFDFA, Multiscale Multifractal Analysis (MMA) | Groundwater level exhibit site-specific fractal scaling behavior |
| 33. | Zhao et al. (2017) [109] | Water level | 6 min | Haihe River in China | Wavelet leaders’ multifractal analysis (WLMF) and MFDFA | Similar results by both methods |
| 34. | Adarsh et al. (2018) [110] | Streamflow | Daily | Kallada river, India | MFDFA | Effect of storage reservoir |
| 35. | Adarsh et al. (2018) [111] | Streamflow | Daily | Brahmani River Basin, India | MFDFA, AOHSA | Scale invariance between synoptic to intra-seasonal scales; Multifractal properties detected |
| 36. | Wu et al. (2018a) [112] | Water Level | Daily | Northern China river | MFDFA | Multifractality and causal detection. Nonlinear correlations and pdf in small fluctuations and linear correlations in small and large fluctuation |
| 37 | Wu et al. (2018b) [113] | Streamflow and suspended sediment | Daily | Pearl river Delta, China | MF and MFDXA cross correlations | The multifractality degree and complexity of sediment were much stronger than streamflow. The interaction of the broadness of pdf and the LRCs are responsible for the multifractal properties |
| 38. | Hou et al. (2018) [114] | Drought, SPI | Monthly | China | MFDFA | Multifractality exhibited in droughts of all regions |
| 39. | Adarsh et al. (2019) [115] | Drought, SPI | Monthly | India | MFDFA | Changes in multifractality over different time spells |
| 40 | Xiang et al. (2019) [116] | River networks | --- | Taihu Plain, Lower Yangtze River Delta, China | Box-Counting | The multifractal spectrum was asymmetric with a left-dominant curve; tributaries play a role in network complexity |
| 41. | Ariza-Villaverde et al. (2019) [117] | ET0, Air temperature, RH | Daily | Andalusia, Southern Spain | Box-counting, joint multifractal algorithm | Air temperature is a key driver, strong fluctuations in rare cases |
| 42. | Baranowski et al. (2019) [118] | Air temperature, air pressure | Daily | Poland | Multifractal analysis, geostatistical analysis | Highest variability for temperature, lowest for pressure; spatial variation linked to extreme events |
| 43. | Zhang et al. (2019) [81] | Precipitation | Daily | Dongting Lake Basin, China | OMW-EEMD-MFDFA | The proposed model outperformed conventional models in removing local trends and revealing multifractal characteristics |
| 44. | Agbazo et al. (2020) [80] | Precipitation | Daily | Benin | EEMD-MFDFA | EEMD based detrending. Different MF properties indicate changes in precipitation dynamics in different time spells |
| 45 | Bai et al. (2019) [119] | Streamflow | Daily | China | Joint multifractal analysis | Performance of hydrological models |
| 46. | Adarsh et al. (2020) [120] | Rainfall (1° × 1°) | Daily | India | MFDFA | Rainfall is short term persistent |
| 47. | Adarsh et al. (2020) [28] | Streamflow and sediment series | Daily | India | MFDFA and cross correlation | Sediment series possess more multifractality |
| 48. | Adarsh et al. (2020) [121] | ET0, Wind speed, Solar Radiation, Air temperature, Air pressure, Relative air humidity | Daily | California, USA | MFDFA, MFCCA | Data of all the stations showed LTP, multifractal correlations between ET0 and other variables |
| 49. | Adarsh & Watorek (2020) [122] | Streamflow, Total suspended sediment | Daily | Krishna, Godavari, and Mahanadi River basins (India) | MFCCA | Joint persistence averages individual persistence; Stronger annual cross-correlation; Streamflow shows higher persistence than TSS in 60% of stations |
| 50. | García-Marín et al. (2020a) [123] | Rainfall | Annual | Umbria region in Central Italy | Multifractal analysis (Dq and f(α) spectra) and homogeneity tests | Multifractal approach used to verify real or false break points |
| 51. | García-Marín et al. (2020b) [124] | Rainfall | Hourly | Andalusia, Southern Spain | Multifractal analysis, moment scaling exponent function | Similar extreme event size fits for real and simulated data |
| 52 | Hekmatzadeh et al. (2020) [125] | Streamflow | Hourly and Daily | Iran | MFDFA | Both hourly and daily discharge records led to nearly identical scaling. Non-stationary when the timescale ranged from 75 to 366days. Extreme values increases multifractality |
| 53. | Liu et al. (2020) [79] | Rainfall | Hourly | Chaohu City, Anhui, China | EEMD, improved fractal interpolation algorithm | The proposed algorithm conserves total rainfall quantity and captures the high intermittent nature of rainfall, allowing for effective downscaling |
| 54 | Stocic et al. (2020) [126] | Streamflow | Daily | Brazil | MFDFA | Effect of dam construction; effect of cascading reservoirs |
| 55. | Wu et al. (2020) [127] | River Level | Daily | Northern China river | MFDCCA | Changes in multifractality between adjacent sites due to anthropogenic influence |
| 56. | Adarsh and Priya (2021) [128] | Drought | Monthly | Four subdivisions in India | MFDFA | Increases with increase in aggregation scale |
| 57. | Adarsh et al. (2021) [129] | Reference Evapotranspiration, Tmin, Tmax, Average Wind Speed | Daily | India (5 Locations) | MFDFA, MFCCA, Hargreaves Samani (HS) and Droogers and Allen (DA) | Long-term persistence predictability |
| 58. | Sankaran et al. (2021) [130] | Fine-resolution rainfall (0.25° × 0.25°) | Daily | India | MFDFA | Rainfall is short term persistent |
| 59. | Gómez -Gómez et al. (2021) [131] | Temperature | Daily | Spain | MFDFA | Temperature variables of Spain exhibited multifractal properties with long-range correlations |
| 60. | Martínez et al. (2021) [132] | Rainfall | Daily | Mexico | MFDFA, MFDFAPT | Proposed multifractal analysis with Polynomial and Trigonometric functions (MFDFAPT)and compared results with that by MFDFA |
| 61. | San José Martínez et al. (2021) [133] | Soil water content | 30-min | Mediterranean region | MFDFA | Depth significantly affected the multifractal properties, particularly the GHE |
| 62. | Sarker & Mali (2021) [134] | Rainfall | Monthly | India | MFDFA, MFDMA | Multifractal patterns observed in all rainfall series analyzed |
| 63. | Zhang et al. (2021) [82] | Precipitation | Daily | Northeast China | CEEMDAN-MFFA | CEEMDAN-MFFA improved accuracy of precipitation complexity analysis |
| 64. | Amiri et al. (2022) [135] | Discharge, Suspended Sediment Discharge (SSD), Precipitation, Groundwater Level | Daily | Missouri River Basin, USA | DFA, MFDFA, Autocorrelation function, KPSS test, heteroscedasticity test | Discharge, SSD, and groundwater series exhibited self-affinity and characters of fBm at a non-stationary and heteroscedastic state; precipitation series showed fGn characteristics in a stationary and homoscedastic state |
| 65. | Habib et al. (2022) [136] | Recharge, Groundwater flow | 10-min | UK | DFA, multi-objective pattern search algorithm | Applied fractal analysis to a calibrated recharge-groundwater model |
| 66. | Millán et al. (2022a) [137] | Rainfall, Temperature Precipitation, Evapotranspiration | Monthly | Brazil | Rescaled range (R/S) analysis, Linear and non-linear stationarity tests, Analysis of detrended time-series | Temperature and rainfall time-series exhibited deterministic components ranging from 0.78 to 0.83, suggesting deterministic processes influencing drought and extreme wet events |
| 67. | Millán et al. (2022b) [138] | Rainfall, Air temperature, Pan evaporation, Relative humidity, Relative sun brightness | Monthly | Eucador | MFDFA, MFCCA | Five out of fifteen Asymmetry Index (AI) values were positive, indicating high fluctuations at different time scales; Joint multifractal spectra between SPI/SPEIm and meteorological variables showed negative AI values |
| 68. | Rahmani and Fattahi (2022) [139] | River flow | Daily | England | FA, MFA, ARIMA, RBF, ANFIS, ANN-MLPR | The ANN-MLP model was the most efficient in capturing nonlinear dynamic patterns in the time-series |
| 69. | Rahmani and Fattahi (2022) [140] | River Flow | Daily | England | MFA, Power Spectrum Analysis, Phase Space Reconstruction | Flood detection and warning based on multifractal signatures |
| 70. | Rahmani and Fattahi (2022) [141] | Rainfall | Monthly | England | FA, ARIMA, | Hybrid models were more suitable for mono-fractal and right-skewed multifractal series, while ARIMA was better for left-skewed multifractal series |
| 71. | Aggie Suman et al. (2023) [67] | Streamflow, Rainfall and Potential ETo | Daily | India | MFDFA | Streamflow persistence is originated from that of Rainfall and ETo |
| 72. | Adarsh et al. (2023) [83] | Reference Evapotranspiration | Daily | Iran | MFDFA and MEMD | New framework integrating multivariate decomposition and MFDFA |
| 73. | Gómez-Gómez et al. (2022) [142] | Precipitation | Daily | Iberian Peninsula, Spain | MFA | Higher multifractality is shown at smaller timescales; spatial and temporal patterns modify multifractal parameters |
| 74. | Mei et al. (2023) [143] | Control parameters of folding models | --- | Cariaco Basin | Rescaled range analysis, AR (1), DFA propagator | R/S analysis is a valid alternative to AR(1), variance, and DFA-propagator for detecting early warning signals of critical transitions |
| 75. | da Silva et al. (2023) [144] | Streamflow, Precipitation Index | 1, 3, 6 and 12 months | Pernambuco, Brazil | MFDFA | Stronger persistence in coastal areas, stronger multifractality in semiarid regions for long-term conditions |
| 76. | Dżugaj et al. (2023) [37] | Rainfall intensity | 1-min temporal resolution | Warsaw, Poland | Multifractal Framework (Spectral density, box-counting, trace moment, multiple scaling, double-trace moment), continuous universal random cascade models | Synthetic rainfall series generated using universal cascades |
| 77. | Gómez-Gómez et al. (2023) [145] | Rainfall | Daily | Guadeloupe | MFDFA | Most stations exhibit two scaling regions; multifractal feature displayed at small scales |
| 78. | Gómez-Gómez et al. (2023) [146] | Reference Evapotranspiration, relative humidity, mean surface temperature, average wind speed, Solar radiation | Daily | Guadalquivir River Valley, South Spain | MFCCA, MFDFA | High temperature events mainly govern extreme events in ET0. Only medium and large fluctuations I ET0 had cross-correlation with controlling factors except for U2; RH showed highest persistence |
| 79. | Filho et al. (2023) [147] | Wind speed, Global radiation, Temperature and humidity | Hourly | Brazil | DFA, DCCA, Network analysis | Hybrid methodology combining DFA and network analysis |
| 80. | Rahmani and Fattahi (2023) [148] | Precipitation, Temperature | Daily | Central England | MFDFA, Shuffling Technique | Precipitation and minimum temperature showed enhanced multifractality due to long-range correlations, while maximum temperatures showed increased multifractality from probability density function |
| 81. | Devi and Chattopadhyaay (2023) [149] | Rainfall | Monthly | India | MFDFA | Pre monsoon and monsoon rainfall possesses persistence and multifractality |
| 82. | Serpa-Usta et al. (2023) [150] | Temperature, pressure, relative humidity, wind speed, wind direction | Daily | Guadelupe River, Mexico | MFDFA | Multifractal characteristics in daily climate data associated with Santa Ana winds |
| 83. | Stosic et al. (2023) [151] | Mean air temperature | Daily gridded (0.1° × 0.1°) | Serbia | MFDFA | All the temperature series showed LTP |
| 84. | Zhan et al. (2023) [152] | Precipitation, Evapotranspiration | Daily | Yellow River Basin, China | MDFA | Drought shows persistence; multifractality increases with drought duration |
| 85. | Adarsh et al. (2024) [153] | Temperature | Daily | India | MFDFA and MFCCA | Temporal Evolution of multifractality for climate change |
| 86. | Gu et al. (2024) [154] | Root zone soil moisture, Precipitation, drought | Daily | California, Mississippi (USA) | MFDFA | Multifractality in drought primarily diver by long-term memory within time-series |
| 87. | Millan et al. (2024) [155] | daily records of rainfall, relative humidity, cloudiness and vapor pressure | Daily | Cuba | DCCA | Similar exponents with HK process |
| 88. | Pachore et al. (2024) [156] | Precipitation, Soil Moisture | Daily | India | Pearson’s Correlation Coefficient, MFDFA | Drought propagation time varies significantly across regions |
| 89. | Niu et al. (2024) [157] | Groundwater level | Monthly | Baotu Spring basin, China | MFDFA | Multifractality was found to stem from broad probability density function and long-range correlations |
| 90. | Sanz et al. (2024) [158] | Precipitation, ET, Aridity index, Soil water availability, Biomass, Normalized difference vegetation | Daily | Madrid, Almeria (Spain) | MFCCA | Higher multifractality in Almeria indicating more complex environmental interactions |
| 91. | Rahmani and Fattahi (2024) [159] | Rainfall, SPI and Streamflow | Monthly | Hamoon basin, Iran | MFDFA and cross correlation | SPI is well correlated with streamflow |
| 92. | Stosic et al. (2024) [160] | Precipitation, Evapotranspiration | Daily | Serbia | MFDFA | SPEI series showed multifractality with dominant small fluctuations |
| 93. | Shamseena et al. (2024) [161] | River stage | Daily | India | MFDFA | River stage series possess multifractal characteristics. Spatial variability across three basins |
| 94. | Shamseena et al. (2024) [162] | 8 temperature and 5 precipitation indices. | Monthly | India | MFDFA | Percentile based indices temperature a displayed strong long term persistence, while precipitation indices showed short term persistence |
Disclaimer/Publisher’s Note: The statements, opinions and data contained in all publications are solely those of the individual author(s) and contributor(s) and not of MDPI and/or the editor(s). MDPI and/or the editor(s) disclaim responsibility for any injury to people or property resulting from any ideas, methods, instructions or products referred to in the content. |
© 2025 by the authors. Licensee MDPI, Basel, Switzerland. This article is an open access article distributed under the terms and conditions of the Creative Commons Attribution (CC BY) license (https://creativecommons.org/licenses/by/4.0/).
Share and Cite
Vahab, S.; Sankaran, A. Multifractal Applications in Hydro-Climatology: A Comprehensive Review of Modern Methods. Fractal Fract. 2025, 9, 27. https://doi.org/10.3390/fractalfract9010027
Vahab S, Sankaran A. Multifractal Applications in Hydro-Climatology: A Comprehensive Review of Modern Methods. Fractal and Fractional. 2025; 9(1):27. https://doi.org/10.3390/fractalfract9010027
Chicago/Turabian StyleVahab, Shamseena, and Adarsh Sankaran. 2025. "Multifractal Applications in Hydro-Climatology: A Comprehensive Review of Modern Methods" Fractal and Fractional 9, no. 1: 27. https://doi.org/10.3390/fractalfract9010027
APA StyleVahab, S., & Sankaran, A. (2025). Multifractal Applications in Hydro-Climatology: A Comprehensive Review of Modern Methods. Fractal and Fractional, 9(1), 27. https://doi.org/10.3390/fractalfract9010027

