Discrete Element Study of Particle Size Distribution Shape Governing Critical State Behavior of Granular Material
Abstract
1. Introduction
2. Critical State Framework and Simulation Details
2.1. Critical State Framework
2.2. Simulation Details
3. Results
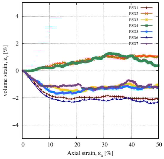
3.1. Typical Macroscopic Responses
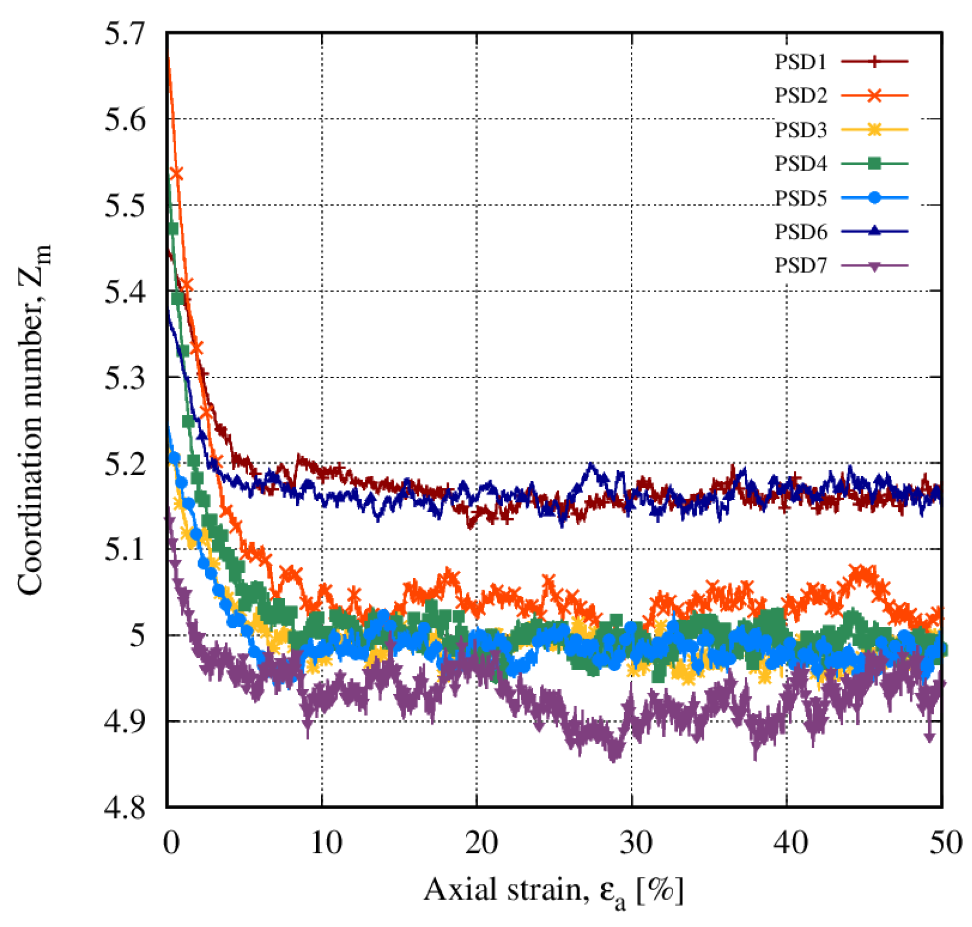
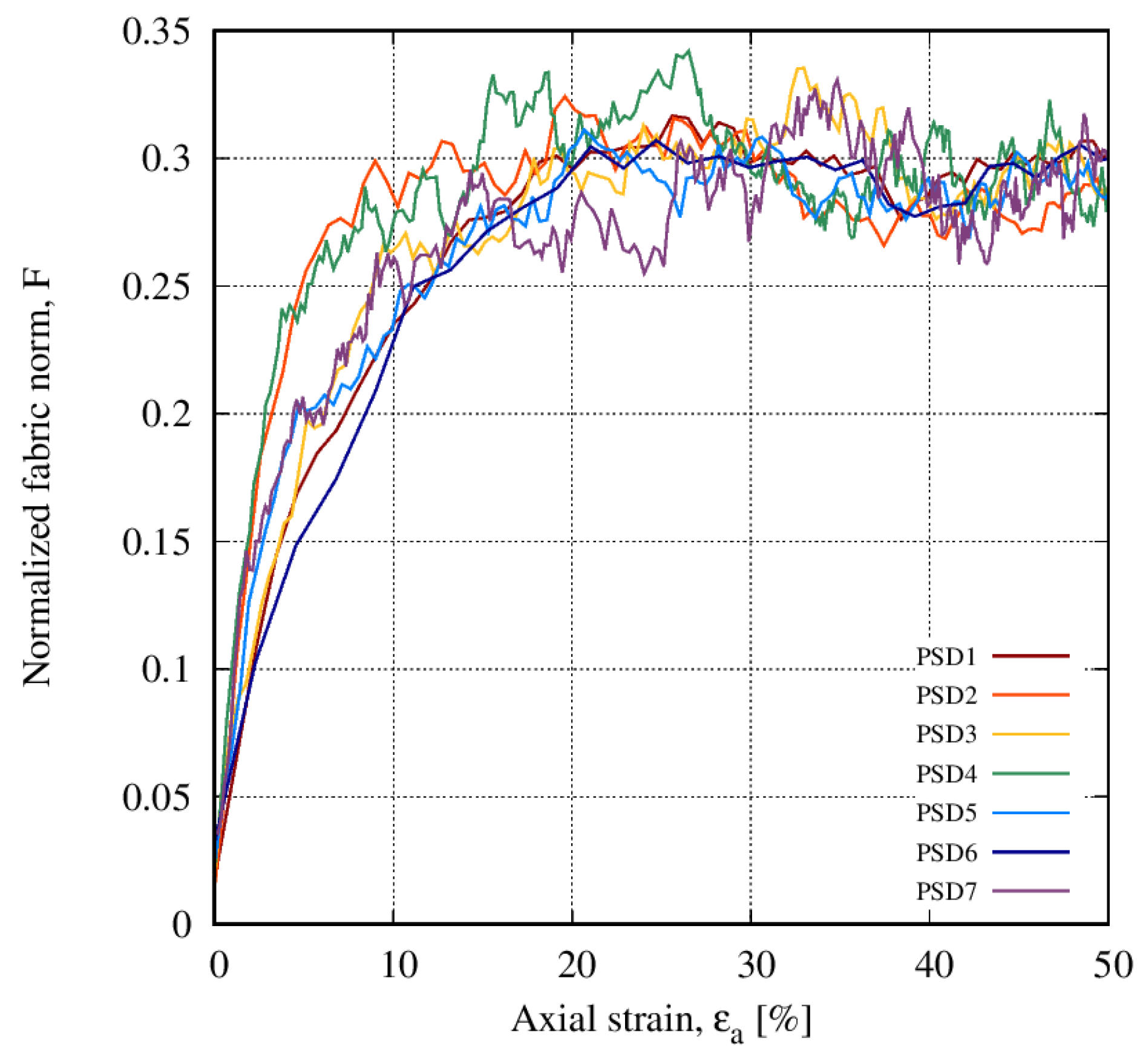
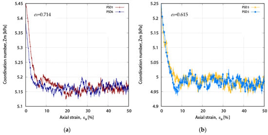
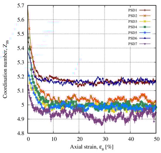
3.2. Typical Microscopic Responses
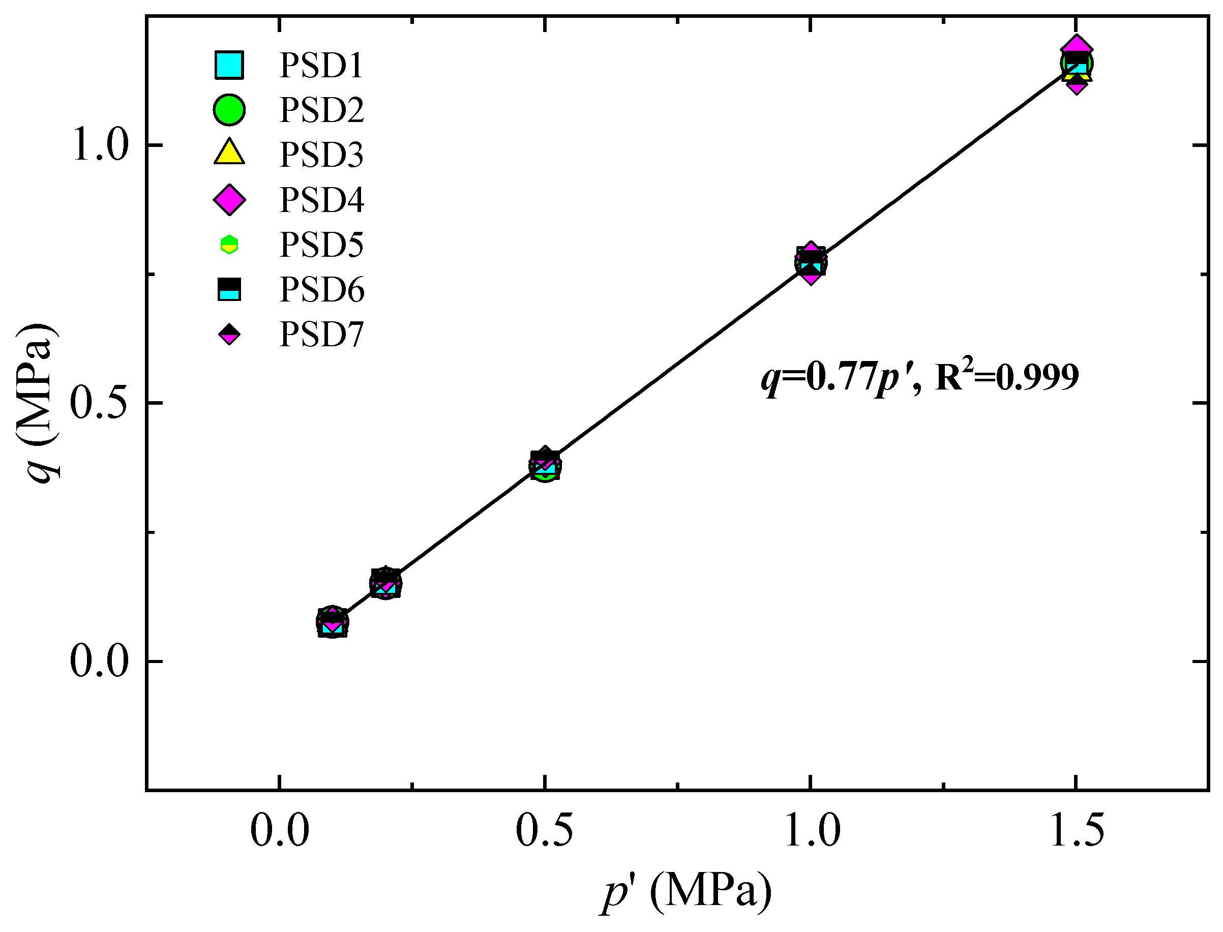
3.3. Critical State Responses
4. Discussion and Conclusions
- Isolation of the effect of PSD shape descriptors:
- 2.
- Critical state strength and void ratio:
- 3.
- CSL Shifting Modes:
- 4.
- Coordination Number and CSL Intersection:
- 5.
- Microstructure Evolution:
Author Contributions
Funding
Data Availability Statement
Conflicts of Interest
References
- Kuang, D.; Long, Z.; Wang, J.; Zhou, X.; Yu, P. Experimental Study on Particle Size Effect on Mechanical Behaviour of Dense Calcareous Sand. Soils Rocks 2020, 43, 567–574. [Google Scholar] [CrossRef]
- Rezvani, R.; Nabizadeh, A.; Amin Tutunchian, M. The Effect of Particle Size Distribution on Shearing Response and Particle Breakage of Two Different Calcareous Soils. Eur. Phys. J. Plus 2021, 136, 1008. [Google Scholar] [CrossRef]
- Chen, C.; Zhang, X.; Sun, Y.; Zhang, L.; Rui, R.; Wang, Z. Discrete Element Modelling of Fractal Behavior of Particle Size Distribution and Breakage of Ballast under Monotonic Loading. Fractal Fract. 2022, 6, 382. [Google Scholar] [CrossRef]
- Shi, X.; Xu, J.; Guo, N.; Bian, X.; Zeng, Y. A Novel Approach for Describing Gradation Curves of Rockfill Materials Based on the Mixture Concept. Comput. Geotech. 2025, 177, 106911. [Google Scholar] [CrossRef]
- Shi, X.; He, Z.; Zhao, J.; Liu, J. Determination of the Size of Representative Volume Element for Gap-Graded Granular Materials. Powder Technol. 2024, 437, 119578. [Google Scholar] [CrossRef]
- Li, K.; Yang, H.; Han, X.; Xue, L.; Lv, Y.; Li, J.; Fu, Z.; Li, C.; Shen, W.; Guo, H.; et al. Fractal Features of Soil Particle Size Distributions and Their Potential as an Indicator of Robinia Pseudoacacia Invasion1. Sci. Rep. 2018, 8, 7075. [Google Scholar] [CrossRef] [PubMed]
- Mohammad Mahdi, C.; Dahmardeh Ghaleno, M.R. Evaluating Fractal Dimension of the Soil Particle Size Distributions and Soil Water Retention Curve Obtained from Soil Texture Components. Arch. Agron. Soil Sci. 2020, 66, 1668–1678. [Google Scholar] [CrossRef]
- Bai, Y.; Qin, Y.; Lu, X.; Zhang, J.; Chen, G.; Li, X. Fractal Dimension of Particle-Size Distribution and Their Relationships with Alkalinity Properties of Soils in the Western Songnen Plain, China. Sci. Rep. 2020, 10, 20603. [Google Scholar] [CrossRef] [PubMed]
- He, S.-H.; Ding, Z.; Hu, H.-B.; Gao, M. Effect of Grain Size on Microscopic Pore Structure and Fractal Characteristics of Carbonate-Based Sand and Silicate-Based Sand. Fractal Fract. 2021, 5, 152. [Google Scholar] [CrossRef]
- Shen, X.; Shen, Y.; Xu, J.; Liu, H. Influence of the Fractal Distribution of Particle Size on the Critical State Characteristics of Calcareous Sand. Fractal Fract. 2022, 6, 165. [Google Scholar] [CrossRef]
- Monkul, M.M.; Etminan, E.; Şenol, A. Influence of Coefficient of Uniformity and Base Sand Gradation on Static Liquefaction of Loose Sands with Silt. Soil Dyn. Earthq. Eng. 2016, 89, 185–197. [Google Scholar] [CrossRef]
- Danesh, A.; Palassi, M.; Mirghasemi, A.A. Effect of Sand and Clay Fouling on the Shear Strength of Railway Ballast for Different Ballast Gradations. Granul. Matter 2018, 20, 51. [Google Scholar] [CrossRef]
- Monkul, M.M.; Kendir, S.B.; Tütüncü, Y.E. Combined Effect of Fines Content and Uniformity Coefficient on Cyclic Liquefaction Resistance of Silty Sands. Soil Dyn. Earthq. Eng. 2021, 151, 106999. [Google Scholar] [CrossRef]
- Rasti, A.; Adarmanabadi, H.R.; Pineda, M.; Reinikainen, J. Evaluating the Effect of Soil Particle Characterization on Internal Friction Angle. Am. J. Appl. Sci. 2021, 14, 129–138. [Google Scholar] [CrossRef]
- Banerjee, S.K.; Yang, M.; Taiebat, M. Effect of Coefficient of Uniformity on Cyclic Liquefaction Resistance of Granular Materials. Comput. Geotech. 2023, 155, 105232. [Google Scholar] [CrossRef]
- Wei, Y.; Yang, Y.; Tao, M. Effects of Gravel Content and Particle Size on Abrasivity of Sandy Gravel Mixtures. Eng. Geol. 2018, 243, 26–35. [Google Scholar] [CrossRef]
- Onyelowe, K.C.; Shakeri, J. Intelligent Prediction of Coefficients of Curvature and Uniformity of Hybrid Cement Modified Unsaturated Soil with NQF Inclusion. Clean. Eng. Technol. 2021, 4, 100152. [Google Scholar] [CrossRef]
- Khater, S. Development of Soil Particle Size Distribution Model and Determination of All Related Coefficients. Ann. Agric. Sci. Moshtohor 2023, 61, 269–278. [Google Scholar] [CrossRef]
- Azéma, E.; Linero, S.; Estrada, N.; Lizcano, A. Shear Strength and Microstructure of Polydisperse Packings: The Effect of Size Span and Shape of Particle Size Distribution. Phys. Rev. E 2017, 96, 022902. [Google Scholar] [CrossRef] [PubMed]
- Roscoe, K.H.; Schofield, A.N.; Wroth, C.P. On The Yielding of Soils. Géotechnique 1958, 8, 22–53. [Google Scholar] [CrossRef]
- Bandini, V.; Coop, M.R. The Influence of Particle Breakage on the Location of the Critical State Line of Sands. Soils Found. 2011, 51, 591–600. [Google Scholar] [CrossRef]
- Xiao, Y.; Liu, H.; Ding, X.; Chen, Y.; Jiang, J.; Zhang, W. Influence of Particle Breakage on Critical State Line of Rockfill Material. Int. J. Geomech. 2016, 16, 04015031. [Google Scholar] [CrossRef]
- Guo, W.-L.; Cai, Z.-Y.; Wu, Y.-L.; Geng, Z.-Z. Estimations of Three Characteristic Stress Ratios for Rockfill Material Considering Particle Breakage. Acta Mech. Solida Sin. 2019, 32, 215–229. [Google Scholar] [CrossRef]
- Yan, W.M.; Dong, J. Effect of Particle Grading on the Response of an Idealized Granular Assemblage. Int. J. Geomech. 2011, 11, 276–285. [Google Scholar] [CrossRef]
- Yang, J.; Luo, X.D. The Critical State Friction Angle of Granular Materials: Does It Depend on Grading? Acta Geotech. 2018, 13, 535–547. [Google Scholar] [CrossRef]
- Li, G.; Ovalle, C.; Dano, C.; Hicher, P.-Y. Influence of Grain Size Distribution on Critical State of Granular Materials. In Constitutive Modeling of Geomaterials; Yang, Q., Zhang, J.-M., Zheng, H., Yao, Y., Eds.; Springer Series in Geomechanics and Geoengineering; Springer: Berlin/Heidelberg, Germany, 2013; pp. 207–210. ISBN 978-3-642-32813-8. [Google Scholar]
- Thevanayagam, S.; Shenthan, T.; Mohan, S.; Liang, J. Undrained Fragility of Clean Sands, Silty Sands, and Sandy Silts. J. Geotech. Geoenviron. Eng. 2002, 128, 849–859. [Google Scholar] [CrossRef]
- Murthy, T.G.; Loukidis, D.; Carraro, J.A.H.; Prezzi, M.; Salgado, R. Undrained Monotonic Response of Clean and Silty Sands. Géotechnique 2007, 57, 273–288. [Google Scholar] [CrossRef]
- Carrera, A.; Coop, M.; Lancellotta, R. Influence of Grading on the Mechanical Behaviour of Stava Tailings. Géotechnique 2011, 61, 935–946. [Google Scholar] [CrossRef]
- Cundall, P.A.; Strack, O.D.L. A Discrete Numerical Model for Granular Assemblies. Géotechnique 1979, 29, 47–65. [Google Scholar] [CrossRef]
- Muir Wood, D. Soil Behaviour and Critical State Soil Mechanics; Cambridge University Press: Cambridge, UK; New York, NY, USA, 1990; ISBN 978-0-521-33249-1. [Google Scholar]
- Li, X.S.; Dafalias, Y.F. Anisotropic Critical State Theory: Role of Fabric. J. Eng. Mech. 2012, 138, 263–275. [Google Scholar] [CrossRef]
- Dafalias, Y.F.; Taiebat, M. SANISAND-Z: Zero Elastic Range Sand Plasticity Model. Géotechnique 2016, 66, 999–1013. [Google Scholar] [CrossRef]
- Mo, W.; Wang, R.; Zhang, J.; Dafalias, Y.F. Quantification of Fabric Evolution in Granular Material under Cyclic Loading. Int. J. Numer. Anal. Methods Geomech. 2024, 48, 701–726. [Google Scholar] [CrossRef]
- Li, X.; Li, X.-S. Micro-Macro Quantification of the Internal Structure of Granular Materials. J. Eng. Mech. 2009, 135, 641–656. [Google Scholar] [CrossRef]
- Yang, Z.X.; Li, X.S.; Yang, J. Quantifying and Modelling Fabric Anisotropy of Granular Soils. Géotechnique 2008, 58, 237–248. [Google Scholar] [CrossRef]
- Wu, Q.X.; Yang, Z.X.; Li, X. Numerical Simulations of Granular Material Behavior under Rotation of Principal Stresses: Micromechanical Observation and Energy Consideration. Meccanica 2019, 54, 723–740. [Google Scholar] [CrossRef]
- Li, X.S.; Dafalias, Y.F. Dissipation Consistent Fabric Tensor Definition from DEM to Continuum for Granular Media. J. Mech. Phys. Solids 2015, 78, 141–153. [Google Scholar] [CrossRef]
- Zhao, J.; Guo, N. A New Definition on Critical State of Granular Media Accounting for Fabric Anisotropy. AIP Conf. Proc. 2013, 1542, 229–232. [Google Scholar]
- Liu, J.; Zhou, W.; Ma, G.; Yang, S.; Chang, X. Strong Contacts, Connectivity and Fabric Anisotropy in Granular Materials: A 3D Perspective. Powder Technol. 2020, 366, 747–760. [Google Scholar] [CrossRef]
- Xu, M.Q.; Pan, K.; Duan, B.; Wu, Q.X.; Yang, Z.X. Investigating the Influence of Particle Shape on Discrete Element Modeling of Granular Soil under Multidirectional Cyclic Shearing. Soil Dyn. Earthq. Eng. 2025, 189, 109097. [Google Scholar] [CrossRef]
- Kozicki, J.; Donzé, F.V. A New Open-Source Software Developed for Numerical Simulations Using Discrete Modeling Methods. Comput. Methods Appl. Mech. Eng. 2008, 197, 4429–4443. [Google Scholar] [CrossRef]
- Thornton, C. Numerical Simulations of Deviatoric Shear Deformation of Granular Media. Géotechnique 2000, 50, 43–53. [Google Scholar] [CrossRef]
- Thornton, C.; Zhang, L. On the Evolution of Stress and Microstructure during General 3D Deviatoric Straining of Granular Media. Géotechnique 2010, 60, 333–341. [Google Scholar] [CrossRef]
- Oda, M.; Nakayama, H. Introduction of Inherent Anisotropy of Soils in the Yield Function. In Studies in Applied Mechanics; Elsevier: Amsterdam, The Netherlands, 1988; Volume 20, pp. 81–90. ISBN 978-0-444-70523-5. [Google Scholar]
- Ken-Ichi, K. Distribution of Directional Data and Fabric Tensors. Int. J. Eng. Sci. 1984, 22, 149–164. [Google Scholar] [CrossRef]
- Yang, Z.X.; Wu, Y. Critical State for Anisotropic Granular Materials: A Discrete Element Perspective. Int. J. Geomech. 2017, 17, 04016054. [Google Scholar] [CrossRef]
- Kuhn, M.R. The Critical State of Granular Media: Convergence, Stationarity and Disorder. Géotechnique 2016, 66, 902–909. [Google Scholar] [CrossRef]
- Kodicherla, S.P.K.; Gong, G.; Wilkinson, S. Exploring the Relationship between Particle Shape and Critical State Parameters for Granular Materials Using DEM. SN Appl. Sci. 2020, 2, 2128. [Google Scholar] [CrossRef]
- Zhu, M.; Gong, G.; Xia, J.; Wilkinson, S. DEM Investigation of Strength and Critical State Behaviours of Granular Materials under True Triaxial Loadings. Particuology 2024, 85, 198–212. [Google Scholar] [CrossRef]
- Li, X.S.; Wang, Y. Linear Representation of Steady-State Line for Sand. J. Geotech. Geoenviron. Eng. 1998, 124, 1215–1217. [Google Scholar] [CrossRef]
- Li, X.; Yu, H.; Li, X. A Virtual Experiment Technique on the Elementary Behaviour of Granular Materials with Discrete Element Method. Int. J. Numer. Anal. Methods Geomech. 2013, 37, 75–96. [Google Scholar] [CrossRef]















| PSD Type | D50 (mm) | Cu | Cc | Cs |
|---|---|---|---|---|
| PSD1 | 0.26 | 1.000 | 1.000 | 0 |
| PSD2 | 0.26 | 1.914 | 1.013 | 0.545 |
| PSD3 | 0.26 | 2.564 | 1.002 | 0.765 |
| PSD4 | 0.26 | 9.595 | 1.007 | 0.965 |
| PSD5 | 0.26 | 1.914 | 1.013 | 0.765 |
| PSD6 | 0.52 | 1.000 | 1.000 | 0 |
| PSD7 | 0.26 | 9.595 | 0.761 | 0.965 |
Disclaimer/Publisher’s Note: The statements, opinions and data contained in all publications are solely those of the individual author(s) and contributor(s) and not of MDPI and/or the editor(s). MDPI and/or the editor(s) disclaim responsibility for any injury to people or property resulting from any ideas, methods, instructions or products referred to in the content. |
© 2025 by the authors. Licensee MDPI, Basel, Switzerland. This article is an open access article distributed under the terms and conditions of the Creative Commons Attribution (CC BY) license (https://creativecommons.org/licenses/by/4.0/).
Share and Cite
Jiang, M.; Barreto, D.; Ding, Z.; Yang, K. Discrete Element Study of Particle Size Distribution Shape Governing Critical State Behavior of Granular Material. Fractal Fract. 2025, 9, 26. https://doi.org/10.3390/fractalfract9010026
Jiang M, Barreto D, Ding Z, Yang K. Discrete Element Study of Particle Size Distribution Shape Governing Critical State Behavior of Granular Material. Fractal and Fractional. 2025; 9(1):26. https://doi.org/10.3390/fractalfract9010026
Chicago/Turabian StyleJiang, Mingdong, Daniel Barreto, Zhi Ding, and Kaifang Yang. 2025. "Discrete Element Study of Particle Size Distribution Shape Governing Critical State Behavior of Granular Material" Fractal and Fractional 9, no. 1: 26. https://doi.org/10.3390/fractalfract9010026
APA StyleJiang, M., Barreto, D., Ding, Z., & Yang, K. (2025). Discrete Element Study of Particle Size Distribution Shape Governing Critical State Behavior of Granular Material. Fractal and Fractional, 9(1), 26. https://doi.org/10.3390/fractalfract9010026

