Abstract
With the evolution of unconventional oil and gas exploration concepts from source rocks and reservoirs to carrier beds, the inter-layer sandstone carrier bed within marine–continental transitional shale strata has emerged as a significant target for oil and gas exploration. The inter-layer sandstone is closely associated with the source rock and differs from conventional tight sandstone in terms of sedimentary environment, matrix composition, and the characteristics of reservoir microscopic pore development. Preliminary exploration achievements display that the inter-layer sandstone is plentiful in gas content and holds promising prospects for exploration and development. Consequently, it is essential to investigate the gas-rich accumulation theory specific to the inter-layer sandstone reservoir in transitional facies. Pore development characteristics and heterogeneity are crucial aspects of oil and gas accumulation research, as they influence reservoir seepage performance and capacity. This paper employs total organic carbon analysis, X-ray diffraction, rock thin section examination, field emission scanning electron microscopy, physical analysis, high-pressure mercury intrusion analysis, gas adsorption experiments, and fractal theory to explore the reservoir development characteristics of the sandstone samples from the Upper Permian marine–continental transitional facies Longtan Formation in the southern Sichuan Basin. It also attempts to combine high-pressure mercury intrusion analysis and gas adsorption experiments to describe the structural and fractal characteristics of pores at different scales in a segmented manner. The findings reveal that the sandstone type of the Longtan Formation is mainly lithic sandstone. The pore size distribution of the sandstone primarily falls below 30 nm and above 1000 nm, with the main pore types being inter-granular pores and micro-fractures in clay minerals. The pore volume and specific surface area are largely attributed to the micropores and mesopores of clay minerals. The pore morphology is complex, exhibiting strong heterogeneity, predominantly characterized by slit-like and ink bottle-like features. Notably, there are discernible differences in reservoir structural characteristics and homogeneity between muddy sandstone and non-muddy sandstone. The pore morphology is complex, exhibiting strong heterogeneity, predominantly characterized by slit-like and ink bottle-like features. Notably, there are discernible differences in reservoir structural characteristics and homogeneity between muddy sandstone and non-muddy sandstone.
1. Introduction
As an important alternative field for natural gas resources, marine–continental transitional shale formations have received increasing attention in China. Marine–terrestrial transitional strata in Carboniferous–Permian strata are widely distributed across major basins in China [1,2,3]. China has substantial marine–terrestrial transitional shale gas resources, with the proven reserves amounting to 19.8 × 1012 m³ as of 2021, accounting for a quarter of the total shale gas resources in China, highlighting its significant exploration potential [4,5,6].
Due to the complex sedimentary environment, the transition phase formation often forms a natural gas superimposed system with multiple types of shale gas, coalbed methane, and sandstone gas. However, previous studies on marine–terrestrial transition mostly focused on shale strata, with insufficient emphasis placed on the inter-layer sandstone [7,8,9,10].
Guo et al., 2023, combined with previous experience, achieved a major breakthrough of natural gas in the sandstone carrier bed of Qiongzhusi Formation in the Sichuan Basin based on the theory of hydrocarbon accumulation in the carrier bed, which promoted the evolution of unconventional gas exploration target from hydrocarbon source rock and reservoir to the carrier bed, and the carrier bed can also be used as reservoir [11]. This has guided the exploration process of natural gas in marine–continental transitional shale formation, with carrier beds in shale strata, such as sandstone, emerging as a novel field for natural gas exploration and development.
Inter-layer sandstone of transitional facies is different from conventional tight sandstone. On the macroscopy, sedimentary environment is the most basic factor controlling reservoir performance [12,13,14]. The transitional strata are seriously affected by the change of sedimentary facies in the vertical direction, which often presents the phenomenon of frequent superposition of shale, sandstone, coal, and other lithology [9,15,16]; it can even be seen that the inversion of sedimentary microfacies occurs under the frequent transgression and regression (frequent inter-bedding of shale and sandstone) [17]; the heterogeneity of the transitional strata on the plane is very strong, and adjacent wells often show completely different lithology combinations [1]. The conventional tight sandstone is mostly developed in the river delta and channel microfacies of the continental strata. The multi-stage sandstone are superimposed on each other in the vertical direction, and are constantly distributed in a large range on the plane [13,18,19,20]. On the microscopy, the content and spatial distribution characteristics of matrix components affect the microscopic pore development characteristics of the reservoir [21,22,23,24]. Due to the thin inter-bedded with source rocks or surrounded by source rocks, the organic debris residues are commonly distributed in the components of the transitional sandstone, which makes the sandstone have certain hydrocarbon generation potential as well as the source rocks [6,9]. The conventional tight sandstone is thickly inter-bedded with the source rock or deposited on the source rock, which is less affected by the source rock, and there is no or rare organic debris residue in the component [25]. Whether from the macroscopic or microscopic point, the marine–continental transitional shale inter-layer sandstone is quite different from the conventional tight sandstone, and has certain particularity. Therefore, it is necessary to research the transitional inter-layer sandstone reservoir to clarify its microscopic pore development characteristics. This will contribute to the gas-rich accumulation mechanism of sandstone and adjacent shale and coal seams, and to offer a number of theoretical experiences for the exploration and development of unconventional natural gas.
Reservoir development characteristics (physical properties, pore development characteristics, pore structure characteristics and pore heterogeneity, etc.) affect the reservoir and seepage performance of the reservoir, which have always been the most basic content of reservoir research [2,18,22,26,27]. Tight reservoirs typically exhibit intricate pore structures (nano to micron pores), along with distinctive physical characteristics [27,28,29]. To effectively articulate the development features of reservoirs, galore quantitative and qualitative technical methodologies have been invented. A range of scanning electron microscopy (SEM) techniques and nanoelectron computed tomography (CT) scans are frequently employed to qualitatively assess the characteristics of pore development, including type, morphology, and size. Additionally, high-pressure mercury intrusion analysis (HPMI) and nitrogen (N2) and carbon dioxide (CO2) adsorption experiments are utilized to quantitatively evaluate various parameters related to pore structure characteristics, such as pore size distribution (PSD), pore volume (PV), and specific surface area (SSA), among others [19,21,30]. The pore heterogeneity present in marine–continental transitional shale reservoirs is significantly pronounced, which will inevitably influence the microscopic properties of the reservoir [31,32]. In order to study its mechanism of action, it is urgent to be able to quantitatively characterize the pore heterogeneity. With the development of fractal geometry theory, scholars have gradually applied it to the oil and gas exploration. Studies indicate that the rock pore throat system exhibits a complex geometric structure, which can be effectively analyzed through the fractal theory [33,34,35,36,37]. The fractal dimension (D) can be used as a quantitative index to characterize the pore heterogeneity. The D between 2 and 3 can effectively characterize the heterogeneity of rock pores. The closer the fractal dimension value is to 2, the more regular the pore morphology is, the stronger the rock homogeneity is, and vice versa [18,34]. The fractal dimension of pore can be computed using experimental methods such as SEM, nuclear magnetic resonance (NMR), nuclear magnetic resonance cryoporometry (NMR-C), gas adsorption (GA), and HPMI [2,3,19,38,39,40,41].
The Upper Permian Longtan Formation in the central and southern Sichuan Basin is a famous set of marine–continental transitional strata in China [42,43]. Past research on it has mostly focused on the shale strata. The Longtan formation has developed rich inter-layer sandstone [44], and recent exploration well results have found that the sandstone also contains abundant natural gas resources, showing great exploration potential. However, there has not yet been any clear exploration progress. To clearly understand the pore structure characteristics and heterogeneity of the inter-layer sandstone in the Longtan Formation, this paper analyzes the collected sandstone samples using methods such as total organic carbon (TOC) analysis, rock thin sections, X-ray diffraction (XRD), rock porosity and permeability analysis, field emission scanning electron microscopy (FE-SEM), HPMI, GA experiments, and fractal theory. It also attempts to combine HPMI and gas adsorption experiments to describe the structural and fractal characteristics of pores at different scales in a segmented manner. This approach has not been reported in recent articles related to sandstone reservoirs, demonstrating innovation of research.
2. Materials and Methods
2.1. Geological Setting and Samples
The Sichuan Basin, located in the western region of the Yangtze Platform, represents one of the crucial petroliferous basins in China [42,43]. Many complex tectonic movements in the geological history period have resulted in the occurrence of six structure areas in the present Sichuan Basin. The research area is mainly located in the low-steep fold belt of southern Sichuan in the southwestern Sichuan Basin (Figure 1a) [2,44,45].
The Dongwu movement, occurring during the transition from the Middle to Late Permian period, resulted in the Sichuan Basin developing a paleogeographic configuration characterized by high southwest and low northeast (West Land, East Sea). Notably, there was a pronounced sedimentary differentiation observed within the strata of the late Permian. This differentiation is specifically evidenced by the shift from marine strata in the northeastern region to continental strata in the southwestern region. The Longtan Formation marine–continental transitional coal-bearing shale strata has been extensively deposited in the central to southern parts of the Sichuan Basin [2,46,47].
In the process of sequence stratigraphy, it was determined that the Upper Permian Longtan Formation (P3l) in the Sichuan Basin has experienced two transgression–regression cycles, which divided the stratigraphy of the Longtan Formation into three segments came from below. The lithology of the Longtan Formation in southern Sichuan is dominated by dark gray to gray black mud shale, mud shale inter-bedded with siltstone, thin-bedded sandstone, and coal seams [44].
Figure 1.
(a) Structural background map of Sichuan Basin [2]; (b) paleogeographic map and Sampling Well Locations of the Longtan Formation in the Study Area [47]; and (c) stratigraphic Column of Longtan Formation [47].
The paleogeographic map of the Longtan Formation reveals the distribution of sedimentary facies in the Permian era (Figure 1b) [2]. The transitional strata of Longtan Formation were mainly in the coastal swamp facies. The continual changes in sedimentary microfacies have brought about obvious lithological alteration in the Longtan Formation, and the southwest direction of the Sichuan Basin was greatly affected by the input of terrigenous materials, and the sandstone inter-layer was richly developed, and the grain size of the sand was coarse [44].
Twelve fresh sandstone samples were selected from the cores of the Longtan Formation 1–3 sections (depth of 2948.5–3907.39 m) of five wells (ZG1, YJ1, LJ1, GS133, and N242) in the study area (southern Sichuan Basin). After sealing and packaging, they were promptly transported to the laboratory for subsequent experimental analysis. All experiments were conducted in the laboratory of Yangtze University. According to the categorization scheme of sandstone grain size [48], the sandstone samples of Longtan Formation are classified. There are five types of Longtan Formation sandstone: medium sand (grain size 0.25–0.5 mm), fine sand (grain size 0.125–0.25 mm), very fine sand (grain size 0.0625–0.125 mm), coarse silt (grain size 0.0315–0.0625 mm), and fine silt (grain size 0.0039–0.0078 mm). The sandstone of the Longtan Formation generally contains muddy component, so the sandstone can be further divided into muddy sandstone and non-muddy sandstone according to the amount of muddy content.
2.2. Total Organic Carbon (TOC) Analysis
Firstly, the selected samples were smashed into particles below 200 mesh (80 μm) with the Chinese national standard T/CNIA 0137-2022, the “Relationship between the mesh size of the test sieve and the number of mesh openings" [1], part of which was used for TOC analysis and the other part for mineralogical analysis.
The appropriate amount of particle samples was selected and washed several times with 10% hydrochloric acid to take out the inorganic carbon and water in the sample, and then dried at 80 °C. Finally, the TOC was measured by LECO-230 carbon sulfur analyzer that produced by the American company LECO at the Yangtze University, and the instrument has an analysis error of ≤0.4% for TOC content [3]. The experiment was conducted in accordance with the Chinese national standard (GB/T 19145-2022), the “Determination of Total Organic Carbon in Sedimentary Rock” [1,29].
2.3. X-Ray Diffraction (XRD) and Thin Sections
The crushed samples were blended with ethanol, ground, and smeared on a glass slide to create a stochastically oriented powder preparation. The Bragg–Brentano geometric reflection mode analysis was performed using a Brook D8 Advanced diffractometer from the German company Bruker at the Yangtze University, and the X-ray diffraction pattern of the sample was recorded. The standard for quantitative analysis of mineral content came from the standard powder diffraction analysis database provided by the Joint Committee on Power Diffraction-International Center for Diffraction Data (JCPDS–ICDD) [1]. The Cu Kα-radiation was operated at 35 mA and 45 kV, and the step-by-step scanning measurement was performed from 2° to 70° at a speed of 4°/min and the measurement environment were humidity of 40% and temperature of 24 °C. In order to assure the accuracy of the collected rock composition data, at least 50 points were counted in each slice [13,49]. The experiment followed the Chinese oil and gas industry standard (SY/T 5163-2018), the “Analysis method for clay minerals and ordinary non-clay minerals in sedimentary rocks by the x-ray diffraction” [1,29].
Rock thin sections can be used to study mineralogical characteristics, reservoir space types, and the types and idiosyncrasy of mineral growth. The thin section photos used in this article were taken by the BX51 metallographic microscope produced by the Japanese company Olympus at the Yangtze University. The light source was a 12 V/100 W halogen lamp, and the optical acquisition system was provided by Olympus Soft Imaging Solutions GmbH’s Olympus Stream [18].
2.4. Rock Property Analysis
Porosity and permeability were measured by KXD-II porosity instrument produced by the Chinese company Nantong Huaxing Petroleum Instrument at the Yangtze University, and the measurement inaccuracy of the instrument is ≤0.5%. The principle is to place the rock sample in a smaller container, apply high pressure at one end of the sample, and record the time of pressure dissipation. The permeability and porosity of the samples were calculated by recording the process of pressure depletion with time. The experiment was performed under the requirements of pressure of 9.68 MPa, temperature of 25 °C, and dry nitrogen as the carrier gas. Porosity and permeability were measured according to the Chinese national standard of the GB/T 29172–2012, the “Practices for core analysis” [3,18].
2.5. Field Emission Scanning Electron Microscopy (FE-SEM) Analysis
FE-SEM analysis is often used to elucidate the micro pore characteristics in tight reservoirs. Before observation, the samples were first ground and polished with Ar ions using the IB09010CP ion section polisher from the Japanese company JEOL at the Yangtze University, and then a 10 nm thick gold film was deposited on the surface to improve the electric conductivity, in order to observed the pore space more clearly. Then, the FE-SEM pore images of the samples were generated by using a S3400 scanning electron microscope produced by the Chinese company Tianmei Yituo Laboratory Equipment (Shanghai, China) with a maximum resolution of 4 nm under the conditions of an acceleration voltage of 20 keV and a working distance of 8–9 mm. The experimental analysis was performed according to the Chinese oil and gas industry standard SY/T 5162–2021, the “Analytical method of rock sample by scanning electron microscope” [1,2].
2.6. High-Pressure Mercury Injection (HPMI) and GA Experiments
HPMI as a direct and effective pore structure characterization method, and has been widely used in the evaluation of tight reservoirs. Its effective measurement range is 1.8–100,000 nm, which is often used to determine the pore structure characteristics of macropores (>50 nm). The HPMI test was carried out using a AutoPore V 9600 Mercury injection apparatus from the American company Micro Instruments at the Yangtze University, and the measurement error of the apparatus is ≤0.05%. The measurement was performed under the condition of interfacial tension of 485 dyn/cm and wet contact angle of 130°, and the minimum scale of measurement was 3 nm. The experiment followed the Chinese national standard GB/T 21650.3-2011, the “Pore size distribution and porosity of solid materials by mercury porosimetry and gas adsorption. Part 3:Analysis of micropores by gas adsorption” [30,35].
Gas adsorption experiments were performed with respect to CO2 adsorption and N2 adsorption. N2 adsorption experiments are commonly used to determine the pore structure characteristics of mesopores (2–50 nm), while CO2 adsorption experiments are used to survey the characteristics of micropores (<2 nm). Firstly, the sample was crushed below 250 mm, and 120 g of the sample was weighed and dried at 60 °C for 48 h to eliminate bound water and capillary water. Then, the low-temperature N2 and CO2 adsorption–desorption experiments were carried out using BSD-660M A6B6M Surface Area Analyzer and Pore Size Analyzer from the Chinese company Beishide Instrument Technology (Bei jing, China), and the measurement inaccuracy of the analyzer is ≤1%. The experimental pressure range was 0–101.3 kPa [2]. The analysis of mesoporous PV and SSA are based on the nonlocal density functional theory (NLDFT) and Barrett–Joyner–Halenda (BJH) models, while the analysis of microporous PV and SSA is based on the Dubinin–Radushkevich (DR) theory [50,51,52].
2.7. Fractal Analysis
The purpose of this study is to explore the heterogeneity characteristics of various scales of inter-layer sandstone in detail. Therefore, the fractal dimension of macropores and ultra-large macropores were determined by high-pressure mercury intrusion method, and the fractal dimension of mesopores and micropores were calculated by N2 gas adsorption method.
Predecessors have carried out a lot of research on the method of calculating the fractal dimension of HPMI capillary pressure curve [33,35,39]. The double logarithmic curve relationship between SHg and Pc can be used to calculation the fractal dimension of pores. The method is laid out in the following equations:
Among them, SHg is the mercury saturation corresponding to capillary pressure Pc, and P0 is the displacement pressure, k is the slope of the double logarithmic curve, and D is the fractal dimension.
Many methods have been built to calculate the fractal dimension of porous media by gas adsorption experiments, such as thermal thermodynamics, fractal Brunauer–Emmett–Teller (BET), and fractal Frenkel–Halsey–Hill (FHH). The FHH model is considered to be the most effective method to calculate the fractal dimension based on gas adsorption experiments [3,26,41,53,54,55]. The method is laid out in the following equations:
Among them, V is the volume of adsorbed gas molecules at balance pressure P, V0 is the volume of monolayer molecular coverage, P0 is the saturation pressure of the gas, A is the slope of the line, C is a constant, and the fractal dimension D can be acquired by A.
3. Results
3.1. TOC, and Petrological and Physical Characteristics
The TOC results of the shale inter-layer sandstone in the Longtan Formation are shown in the Figure 2. The TOC is distributed between 0.53% and 2.3% (average of 1.15%). Although the TOC content of sandstone is not as high as that of shale in Longtan Formation, it also has certain hydrocarbon generation potential [2,17,46].
Figure 2.
Comparison diagram of sandstone component content of Longtan Formation.
Combined with XRD and rock thin section analysis, it can be seen that the Longtan Formation sandstone in southern Sichuan is different from the conventional tight sandstone, which is mainly lithic sandstone (Figure 2 and Figure 3b). The X-ray diffraction pattern of the sample is shown in Figure 3a. The content of quartz ranges from 4.16 to 44.43 wt% (average of 17.24 wt%), the average content of feldspar is only 1.47%, and the rock fragments value is more than 50% (average of 81.41 wt%). The type of rock debris is mainly sedimentary rock, followed by metamorphic rock, and the content of magmatic rock is the least. The content of clay minerals in the sandstone of the Longtan Formation ranges from 5.96 to 76.08% (average of 37.19 wt%). Chlorite is rich in development, with an average of 20.92 wt%. The average value of the illite/smectite mixed layer (I/S) is 10.61 wt%. The content of illite and kaolinite are both below 5 wt%. The distribution range of carbonate minerals dominated by calcite is between 0.32 and 85.26 wt% (average 39.4 wt%). A small amount of pyrite and other minerals are also developed in the sandstone of Longtan Formation, with an average content of less than 5 wt%.
Figure 3.
(a) XRD pattern; and (b) sandstone type triangle diagram of Longtan Formation [18,27,41,55].
In the identify of thin sections, the sandstone samples of Longtan Formation show the directional arrangement of minerals (Figure 4b), the linear contact relationship between minerals (Figure 4a), and the rigid fracture of brittle minerals (Figure 4a), indicating that the sandstone has experienced strong compaction. In the muddy sandstone samples, the widely distributed muddy components (mainly clay minerals and TOC) are usually banded and agglomerated (Figure 4b,c). The distribution of quartz particles is scattered, mostly silt grade, with smooth surface and irregular shape (Figure 4d). Feldspar is mostly corroded and irregular in shape (Figure 4c). Calcite, dolomite, and other inter-particle cements can be seen locally in the thin section (Figure 4b). A large amount of siderite is developed in some siltstone samples, and siderite is distributed in lumps, spheres, or ooids, or filled in inter-granular in the form of cement (Figure 4e). In addition, abundant banded and agglomerated organic carbonaceous fragments can be seen in the muddy sandstone thin sections, which are often filled with different kinds of minerals or other components (Figure 4f).
Figure 4.
(a–f) are sandstone thin section identification of Longtan Formation: (a) the linear contact relationship of minerals and brittle minerals micro-fracture, sample ZG1-8, orthogonal light; (b) directional arrangement of minerals and cementation of carbonate minerals, sample ZG1-6, orthogonal light; (c) muddy components and feldspar dissolution, sample N242-3; (d) authigenic quartz, sample ZG1-1, orthogonal light; (e) siderite enrichment, sample ZG1-3, orthogonal light; and (f) carbonaceous fragment filled with minerals components, sample N242-3. (g–o) are pore types of sandstone reservoir in Longtan Formation: (g) inter-particle pores and inter-crystalline pores of clay minerals, sample GS133-1; (h) clay minerals micro-fracture, sample ZG1-1; (i) brittle minerals intra-particle dissolution pores, sample ZG1-2; (j) quartz distributed inside clay minerals, sample N242-3; (k) inter-crystalline pores in brittle mineral aggregates, sample YJ1-6; (l) brittle minerals inter-particle fracture, sample GS133-1; (m) brittle minerals micro-fracture, sample ZG1-1; and (n,o), carbonaceous fragment and wood fiber filled in it, sample ZG1-1 and ZG1-8.
Porosity and permeability are important characteristics that affect the seepage capacity of reservoirs and represent the quality of pore connectivity. The results of porosity and permeability test are as follows (Figure 5): The porosity of sandstone in Longtan Formation is distributed between 1.08 and 8.02% (average of 3.52%). The distribution range of permeability is 0.014–3.099 mD (average of 0.497 mD). The muddy sandstone of Longtan Formation generally shows abnormally high permeability, especially the muddy fine sandstone, which is up to 3.099 mD. With the increase or decrease in grain size, the abnormal degree of permeability gradually decreases.
Figure 5.
Comparison diagram of pore structure parameters of sandstone in Longtan Formation.
3.2. Pore Types and SEM Results
Based on the field scanning electron microscope of argon ion polishing, the development characteristics of pore type, morphology, and scale of Longtan Formation sandstone were analyzed. It is found that the Longtan Formation sandstone mainly develops pores and fractures of inorganic minerals, such as inter-crystalline pores of clay minerals, inter-particle pores of minerals, dissolution pores of brittle minerals, and micro-fractures.
The inter-crystalline pores of clay minerals are mainly developed in the authigenic clay mineral aggregates filled in the original inter-particle pores. Such pores in muddy sandstone are rich in development, and the pores are distributed from the nanometer to micrometer scale, and the shapes are mostly irregular multilateral shapes (Figure 4g,h). Residual authigenic quartz and other minerals can be seen in clay minerals (Figure 4j).
There are abundant inter-particle pores developed between brittle minerals (quartz, feldspar, carbonate minerals, etc.) and clay minerals. These pores have a wide range of distribution and have different shapes, and most of them are residual pores formed by the compaction of primary inter-particle pores and filling of other minerals (Figure 4k,m). When the inter-particle pores diameter is greater than 5 μm, they are classified as micro-fractures. The aggregates of quartz and other minerals can be seen under the microscope, and the inter-crystalline pores are developed in the aggregate. These pores are mostly below the micron level in size, and most of them are triangular and irregular in shape (Figure 4k).
Intra-particle dissolution pores are developed in brittle minerals such as feldspar. The pore size of dissolution pores is relatively small, mostly on a nanoscale level, and the morphology is relatively regular, round or oval (Figure 4l).
Micro-fractures are great percolation channels in tight reservoirs, and micro-fractures are abundant in Longtan Formation sandstone. With regard to the micro-fractures in clay minerals, some are inter-layer structural fractures formed under tectonic action, while some are shrinkage fractures formed due to volume shrinkage during the transformation of illite to smectite (Figure 4h–j). There are micro-fractures produced by mineral break under compaction in brittle minerals. The overall length of these micro-fractures is not as long as that of clay minerals, but their morphology is more regular (Figure 4m).
Carbonaceous fragments can also be observed in some muddy sandstone samples, and the remains of plant wood fiber with relatively stable structure and various minerals can be seen in carbonaceous fragments. The distribution area of carbonaceous fragments is large, the diameter is tens or even hundreds of microns, and the shapes are various (Figure 4n); the darker carbonaceous fragments indicate a more developed coastal swamp environment from higher plants (Figure 4o).
3.3. Pore Structure
Due to the influence of the surrounding shale formation, the change in pore structure characteristics of sandstone reservoir will be very complicated. The previous pore size division scheme of tight sandstone and shale cannot accurately characterize each pore. Therefore, combined with the previous pore size division scheme, on the basis of International Union of Pure and Applied Chemistry (IUPAC) pore size division [3,35], the pore size of Longtan Formation sandstone is divided into the following four types: micropore (<2 nm), mesopore (2–50 nm), macropore (50–1000 nm), and ultra-large macropore (>1000 nm).
3.3.1. Characteristic of HPMI Curves
The HPMI curves of sandstone in Longtan Formation have various forms, and four common forms are shown in Figure 6.
Figure 6.
Mercury saturation curves of different types of Longtan formation sandstone.
Type 1: Under low pressure < 2 Mpa, the mercury saturation (SHg) increases rapidly with the growth of pressure. When SHg is about 80%, the mercury entry curve tends to be gentle, indicating that micron-sized pores are abundant. After that, as the pressure sustains to increase, the mercury inlet curve changes slowly. The mercury removal curve shows that this type of mercury removal efficiency is extremely low, indicating that the pore connectivity of the sample is poor [2,56].
Type 2: Similar to the type 1, SHg increased rapidly under low pressure, but the mercury entry curve tended to be gentle at about 50% of SHg, and then increased rapidly under high pressure > 10,000 Mpa, indicating that the pores above 1 μm and below 30 nm are abundant. The mercury removal shows that the efficiency is better than Type 1.
Type 3: SHg increased slowly with the increase of pressure until it increased rapidly under high pressure, indicating that the pores below 30 nm are developed in large quantities, and the mercury removal efficiency is similar to that of Type 2.
Type 4: Under low pressure, SHg increases rapidly, but the rate is far less than that of Type 1 and Type 2. The growth rate of SHg decreases at about 20%, and then increases rapidly under high pressure. The pores are mainly below 30 nm in size, and micron-sized macropores.
3.3.2. Characteristic of N2 and CO2 Adsorption Curves
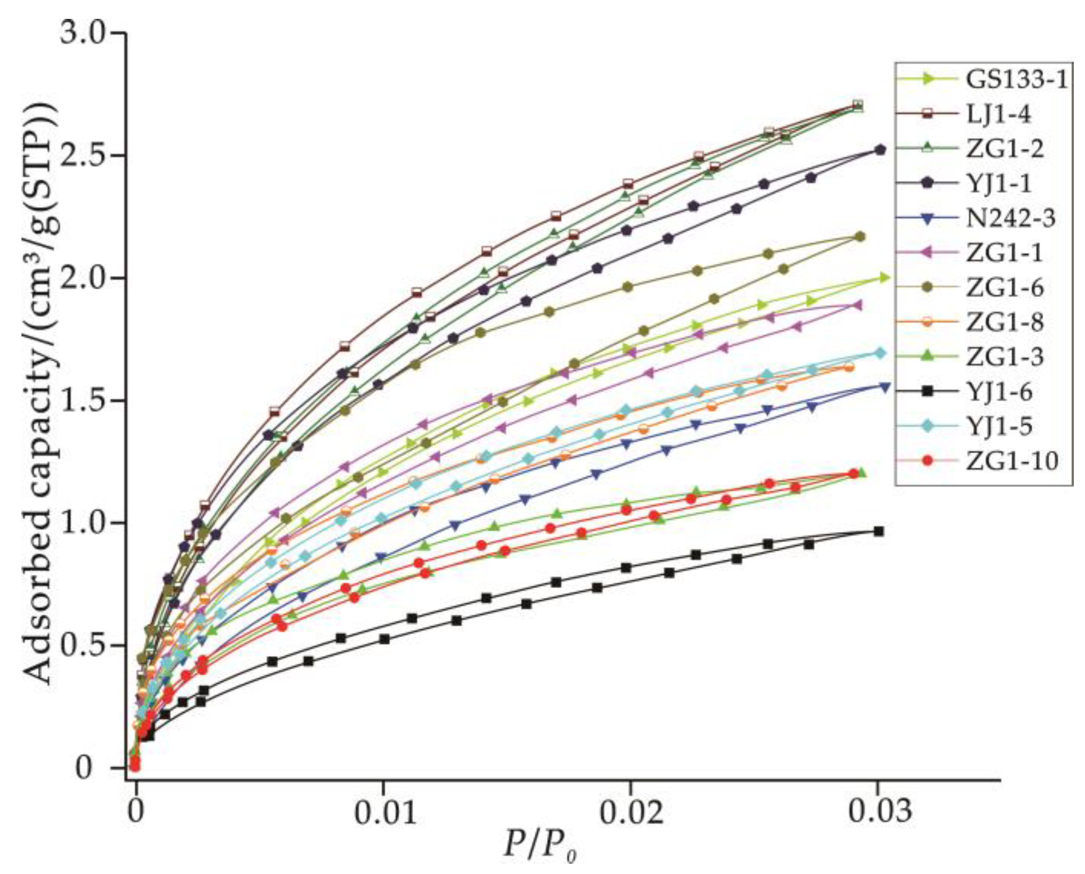
The N2 adsorption and desorption isotherms of the sandstone samples of the Longtan Formation is as follows (Figure 7): The shape of the adsorption curve can characterize the distribution of the pore system. The curved part of the adsorption curve is called the hysteresis loop, and the hysteresis loop can be used to judge the shape of the pore. According to the classification criteria of IUPAC, all adsorption curves are divided into six types (I–VI), and the hysteresis loop have two classification methods, (H1–H4) and (A–E); the latter makes up for some shortcomings of the former. Nowadays, the type of hysteresis curve is often judged by combining the two methods [3,57,58]. The adsorption isotherms for all sandstone samples from the Longtan Formation exhibit a consistent trend of extension prior to a P/P0 value of 0.45, which signifies the adsorption of nitrogen gas (N2) onto the pore surfaces of the sandstone. The adsorption isotherms are classified as type IV, suggesting the presence of a continuous open pore network. The observed hysteresis loops predominantly fall into type B and type H4 categories, indicative of slit-shaped and ink-bottle shaped pores, respectively.
Figure 7.
N2 adsorption–desorption isotherms of Longtan formation sandstone.
The type of CO2 adsorption–desorption isotherms of Longtan Formation sandstone is close to the Type I isotherm (Figure 8), indicating that it has an open micropore system. The CO2 adsorption curve generally grows rapidly when P/P0 < 0.005, indicating that the CO2 gas tends to adsorb on the pore surface with larger pore size under low pressure. As the pressure increases, the adsorption curve gradually flattens, representing the adsorption of CO2 gas in small-pore-size pores.
Figure 8.
CO2 adsorption–desorption isotherms of Longtan formation sandstone.
3.3.3. Pore Structure Parameter
To effectively delineate the pore structure attributes of sandstone within the Longtan Formation, the pore size, PV, and SSA of sandstone pores were analyzed through HPMI, and N2 and CO2 adsorption experiments (Figure 5).
The total PV of the sandstone samples of the Longtan Formation ranges between 0.012–0.045 m3/g (average of 0.025 m3/g). The distribution range of ultra-large macropores’ PV based on HPMI data is 0.0026–0.0174 m3/g (average of 0.0062 m3/g); the macropores’ PV is 0–0.0034 m3/g (average of 0.0013 m3/g). The N2 adsorption data based on NLDFT show that the PV of mesopores is distributed in the ranges of 0.0047–0.02 m3/g (average of 0.011 m3/g). The CO2 adsorption data based on DR show that the PV of micropores ranges of 0.0031–0.0092 m3/g (average of 0.0064 m3/g). In summary, mesopores are the main contributors to the PV of the Longtan Formation sandstone, accounting for 45.07%, followed by micropores (26.24%) and ultra-large macropores (23.87%), and the contribution of macropores is the lowest (4.8%).
The total SSA values of sandstone in Longtan Formation range from 18.169 to 46.696 m2/g (average of 32.145 m2/g). The contribution of SSA decreases with the increase in pore size. The CO2 adsorption data based on DR method show that micropores is the most favorable contributors to SSA, which is distributed between 12.776 and 32.332 m2/g (average of 21.882 m2/g), with a contribution ratio of 68.07%. The N2 adsorption data based on the BJH method indicate that mesopores are secondary contributors to the SSA. The distribution range of mesopores is 5.392–16.199 m2/g (average of 10.217 m2/g), and the contribution is 31.81%. HPMI data show that the contribution of macropores SSA is very low, only 0.12%, distributed in 0–0.141 m2/g (average of 0.039 m2/g); the ultra-large macropores are 0.0003–0.0038 m2/g (average of 0.0013 m2/g), and the contribution are negligible (0.004%).
The joint characterization map of pore size based on HPMI and N2 and CO2 adsorption could intuitively show the important information of pore structure, such as the range of pore size distribution and the prevalent pore size, and the contribution of pore size to PV and SSA [3]. Due to the differences in different technical methods, the overlapping parts of the test data need to be weighted. The pore size and PV joint characterization distribution map of Longtan Formation sandstone is as follows (Figure 9): Combined with the above, it can be seen that, for sandstone with different particle sizes, as the particle size increases, the PV and SSA also increase. The pore size of Longtan Formation sandstone showed a trimodal distribution, which are 0.35–1 nm, 10–30 nm, and above 10 μm, respectively, which proves the complexity of pore distribution.
Figure 9.
The pore size to PV joint characterization diagram of different grain size sandstone in Longtan Formation.
3.4. Fractal Characteristics
In an effort to explore the heterogeneity characteristics of pores with different sizes in Longtan Formation sandstone, the DIII and DIV were calculated based on HPMI data, and the DI and DII were calculated based on the FHH model with N2 adsorption data. DI, DII, DIII, and DIV represent the fractal dimensions of micropores, mesopores, macropores, and ultra-large macropores, respectively. The calculation results are show in Table 1.
Table 1.
Fractal characteristics of Longtan formation sandstone.
The lg (SHg) to lg (Pc) diagram (Figure 10) according to HPMI data shows the fractal particularities of macropores of 50–1000 nm and ultra-large macropores of 1000–100,000 nm. The fractal dimension of pores larger than 100,000 nm is greater than 3, which does not have fractal meaning. There are some samples (YJ1-5 and YJ1-6) whose pore fractal characteristics of 50–1000 nm is not obvious, so they are not recorded. The ln(V/V0) to ln(ln(P0/P)) diagram drawn from N2 adsorption data shows the fractal characteristics of mesopores and micropores (Figure 11). The correlation coefficients achieved by the two methods are pass 0.7; the data of nitrogen adsorption, especially, are greater than 0.98, which show that the sandstone of Longtan Formation have obvious fractal characteristics.
Figure 10.
Relationship diagram between lg (SHg) and lg (Pc) based on HPMI data.
Figure 11.
Relationship curve of ln(V) to ln (ln(P0/P)) based on N2 adsorption experimental data.
The DI distribution of all samples of sandstone in Longtan Formation is between 2.467 and 2.644 (average of 2.571), the DII distribution range is 2.661–2.756 (average of 2.709), the DIII distribution is from 2.802 to 2.981 (average of 2.916), and the DIV is 2.731–2.983 (average of 2.873). The fractal dimension of macropores is larger than micropores, which suggests that the heterogeneity of large-pore-size pores is stronger.
4. Discussion
4.1. Control Factors of Pore Structure Characteristics
The characteristics of the pore structure are influenced by multiple factors. A significant positive correlation exists between the total PV and the total SSA (R2 is 0.93) in the inter-layer sandstone of the Longtan Formation. The PV of macropores, mesopores, and micropores are strongly positively correlated with SSA (the R2 is 1, 0.92, and 0.89, respectively); only the PV of ultra-large macropores has no correlation with SSA (Figure 12a). These are consistent with the study of shale [2,3,59,60]. The grain size of sandstone is a crucial factor affecting the characteristics of pore structure. Generally, with the increase in grain size, the reservoir space will be better [13]. The grain size of sandstone within the Longtan Formation exhibits a strong positive correlation with PV and SSA, but their correlation is slightly different in different PSD ranges (Figure 12a). The grain size mainly affects the PV of mesopores and macropores and the SSA of micropores and pores larger than 50 nm. The average pore size of sandstone is extensively distributed, which is one of the pieces of evidence of the strong microscopic heterogeneity of sandstone. There is a strong negative correlation between the grain size and average pore size (R2 is −0.56) (Figure 12a). The average pore size generally has a weak negative relationship with PV and SSA (Figure 12a), and this suggests that small pores play a significant role in contributing to PV and SSA.
Figure 12.
(a) Correlation heat map between different parameters of Longtan Formation sandstone; and (b) interrelation between the PV and SSA and TOC.
Prior research concerning the Longtan Formation shale have shown that clay minerals and TOC are significant determinants influencing the pore structure of shale [2,59]. The high content of TOC (>1%) in sandstone still promotes the growth of PV and SSA (Figure 12b). Clay minerals have a good correlation with total PV and total SSA (the R2 is 0.47 and 0.55, respectively); it also shows a positive relation with the PV and SSA of micropores and mesopores, as well as the PV of ultra-large macropores (especially mesopores) (Figure 12a). These indicate that clay minerals are the major contributors to the micro- and mesopores’ space, and also provide some micron-sized micro-fractures. The graphics of pores and fractures of clay minerals in FE-SEM can also support these results (Figure 4h–j). The quartz and feldspar content have almost no correlation with PV and SSA (Figure 12a), indicating that they have little effect on pore space. Carbonate minerals have a significant negative correlation with PV and SSA (Figure 12a); this is mainly due to the presence of carbonate minerals in inter-particle pores in the form of cements (Figure 4b,e); micropores, especially, are most affected by carbonate minerals (R2 is −0.62).
The physical properties of reservoirs are intricately linked to their pore structure. Reservoir physical properties are closely related to pore structure. The porosity of sandstone in the Longtan Formation has a good positive correlation with PV and SSA (the R2 is 0.5901 and 0.4417, respectively), but permeability has no obvious correlation with PV and SSA in all sandstone (Figure 13). However, after the sandstone is divided into muddy and non-muddy according to the content of argillaceous components, the results have changed. The porosity of non-muddy sandstone exhibits a stronger correlation with PV and SSA (the R2 is 0.9287 and 0.926, respectively) (Figure 13a,b). Permeability also has a good correlation in non-muddy sandstone (the R2 is 0.4365 and 0.453, respectively) (Figure 13c,d). Nevertheless, the muddy sandstone does not show the same correlation as the above, which indicates that the content of muddy components affects the physical properties of the Longtan Formation sandstone, especially the permeability.
Figure 13.
Relationship between pore structure parameters and porosity (a,b) and permeability (c,d) in different sandstone types.
4.2. The Association Between Fractal Properties and Pore Structure
Fractal dimension can serve as a quantitative measure for assessing the complexity and heterogeneity of pore structures [2,60]. Combining with Table 1 and Figure 14a, the fractal dimension of the sandstone in the Longtan formation shows a tendency of decreasing with an increasing grain size, and the fractal dimensions of pores at different scales also exhibit a weak negative correlation with grain size, which is similar to studies in shale and tight sandstone [2,3,26], but not as significant, indicating that the fractal dimension of the Longtan Formation sandstone is certainly influenced by other factors. The PV and SSA of micro- and mesopores have no significant correlation with the corresponding fractal dimensions DI and DII. The PV and SSA of macropores have an excellent negative correlation with the corresponding fractal dimension DIII (the R2 are 0.841 and 0.8396, respectively). Only SSA has a strong negative correlation with the corresponding DIV (R2 is 0.7631) (Figure 14b–d). The findings indicate that the expansion of micro- and mesopores does not significantly influence the heterogeneity of the pore structure, whereas the formation of macropores tends to diminish pore heterogeneity. Nevertheless, as the pore size continues to increase, the SSA of ultra-large macropores progressively diminishes its influence on the heterogeneity of pores. The results of macropores are consistent with the study of Longtan Formation shale [2,47]. However, the PV and SSA of micro- and mesopores of Longtan Formation shale promote the fractal dimension, but there is no such result in sandstone. In conjunction with the preceding analysis of the factors influencing pore structure characteristics, it is evident that the micro- and mesopores, which significantly contribute to the pore structure in sandstone, are influenced by a variety of factors, and their properties have changed greatly compared with shale.
Figure 14.
Correlation between pore fractal dimensions of different scale pores and grain size (a) and pore structure parameters (b–d).
A weak negative correlation has been observed between the porosity and fractal dimension of sandstone within the Longtan Formation (Figure 15a). Among them, DII has the highest correlation (R2 is 0.3968), indicating that an increase in porosity is associated with a more uniform pore morphology, and the mesopores are most affected. There is no significant relevance between the permeability and fractal dimension of sandstone in Longtan Formation (Figure 15b). However, in muddy sandstone, permeability exhibits a strong positive correlation with DI, DII, DIII, and DIV (the R2 is 0.7312, 0.4776, 0.5911, and 0.7652, respectively) (Figure 15c); it shows that, with the increase in permeability in muddy sandstone, the pore heterogeneity is stronger. In non-muddy sandstone, the permeability has adverse correlation with the fractal dimension (Figure 15d); that is, the increase in permeability will inhibit the heterogeneity of pores. This is similar to the study of tight sandstone, but its degree of inhibition is less than that of tight sandstone [33,35]. This phenomenon can be primarily attributed to the significant influence exerted by the neighboring shale on the sandstone of the Longtan Formation.
Figure 15.
Correlation between pore fractal dimensions of different scale pores and porosity (a) and permeability (b–d).
4.3. The Relationship Between Fractal Characteristics and Sandstone Composition
Inorganic minerals affect the heterogeneity of sandstone pores. Clay minerals have a promoting effect on the fractal dimension, in which micropores and macropores have the best correlation with the corresponding DI and DIV (the R2 is 0.3623 and 0.4616, respectively) (Figure 16a). It indicates that, the higher the clay mineral content, the more complex the pore morphology of micropores and macropores, and the stronger the heterogeneity. Quartz and feldspar minerals also have a weak promoting effect on the fractal dimension, and their correlation are smaller than that of clay minerals (Figure 16c). The carbonate minerals have an inhibitory effect on the fractal dimension, especially on the micropores and ultra-large macropores (the R2 is 0.519 and 0.5721, respectively) (Figure 16e). The above results show that clay and quartz minerals promote the growth of pore fractal dimension, while carbonate minerals play a completely opposite role. The reasons are as follows: In the process of the diagenetic compaction of sandstone in the Longtan Formation, clay minerals are easily compacted and plastically deformed, so micro- and mesopores with complex pore morphology are mainly developed. In addition, clay minerals also produce some volumetric shrinkage fractures formed by the conversion of illite to smectite [23,24]. These micro-fractures have large pore sizes but irregular shapes (Figure 4h–j). Brittle minerals will produce micro-fractures with regular morphology during compaction and fracturing (Figure 4m). The content of carbonate minerals in the sandstone of Longtan Formation is rich, and its inhibitory effect on fractal dimension is less affected by other factors. However, quartz and feldspar minerals are less and dispersed in sandstone, often symbiotic with clay minerals, restricted by clay minerals, and could not exert their own characteristics. The cementation of carbonate minerals in the sandstone of Longtan Formation makes the primary inter-particle pores smaller, so the micropores are often controlled by carbonate minerals.
Figure 16.
Interrelation between pore fractal dimensions of different scale pores and clay minerals, quartz, carbonate minerals, and TOC (a–c,e); and correlation between TOC and fractal dimensions of different scale pores in muddy and non-muddy sandstone (d,f).
The influence of TOC content on pore heterogeneity in sandstone of the Longtan Formation is different in muddy sandstone and non-muddy sandstone. The fractal dimension of TOC content in non-muddy sandstone has a slight negative correlation (Figure 16f), indicating that TOC enrichment in non-muddy sandstone will inhibit pore heterogeneity. In muddy sandstone, except for DIV, the TOC have a good positive correlation with DI, DII, and DIII (the R2 is 0.5153, 0.6212, and 0.5192, respectively) (Figure 16d), indicating that the enrichment of organic matter will make the pore morphology more complex, which is consistent with the research results in shale [2,3].
5. Conclusions
(1) The sandstone type of the Longtan Formation is mainly lithic sandstone; the grain size is mainly siltstone to medium sandstone. The minerals are mainly clay minerals and carbonate minerals (average of 37.19 and 39.4 wt%, respectively), and the content of quartz feldspar is low (average of 18.58 wt%). Low-abundance organic matters are also developed in sandstone. Longtan sandstone reservoir has lower porosity (mean of 3.52%) and permeability (mean of 0.497 mD).
(2) The pore size of Longtan Formation sandstone is divided into four types: micropore (<2 nm), mesopore (2–50 nm), macropore (50–1000 nm), and ultra-large macropore (>1000 nm). The distribution of pore sizes predominantly occurs below 30 nm and above 1000 nm. The primary types of pores include inter-crystalline pores associated with clay minerals and micro-fractures in inorganic minerals. Additionally, remnants of organic material are observable in samples of muddy sandstone. The pore morphology typically exhibits characteristics of ink-bottle-shaped and slit-like pores. The average total PV of sandstone is 0.025 m3/g, and the average total SSA is 32.145 m2/g. Micropores and mesopores are the main contributors to PV and SSA. The pore heterogeneity of the sandstone in the Longtan Formation is strong, the average fractal dimensions of the four types of pores are as follows: DI is 2.571, DII is 2.709, DIII is 2.916, and DIV is 2.873, respectively.
(3) The PV of the sandstone of the Longtan Formation is proportional to the SSA. The clay minerals provide the main micropores’ and mesopores’ space; quartz and feldspar show similar characteristics to clay minerals due to the limitation of clay minerals. The cementation of carbonate minerals is the most crucial factor to reduce the pore space of sandstone. TOC only promotes the growth of pore space at high content (>1%).
(4) The development of macropores will reduce the factual dimension of pores. However, with the further increase in the pore size, the SSA of ultra-large macropores progressively loses the control impact on the heterogeneity of pores. Clay minerals promote the pore fractal dimensions of micropores and ultra-large macropores, while carbonate minerals inhibit the fractal dimensions of micropores and ultra-large macropores. The enrichment of organic matter in muddy sandstone generally increases the fractal dimension of pores.
(5) Combined with all the analysis, it can be seen that the pore structure characteristics and heterogeneity characteristics of muddy sandstone are closer to those of shale. The non-muddy sandstone is similar to the conventional tight sandstone in heterogeneity, but it is controlled by the adjacent shale, and the similarity is low.
Author Contributions
Conceptualization, J.Z.; methodology, J.Z.; software, J.W. and Y.C.; validation, J.W. and X.X.; formal analysis, J.W. and X.X.; investigation, J.W. and J.Z.; resources, J.Z.; data curation, J.Z. and J.W.; writing—original draft preparation, J.W. and J.Z.; writing—review and editing, J.W. and J.Z.; visualization, D.H.; supervision, J.Z.; project administration, J.Z.; funding acquisition, J.Z. All authors have read and agreed to the published version of the manuscript.
Funding
This work is funded by the National Natural Science Foundation of China (Grant No. 42202141), the Guiding Project of Scientific Research Plan of Hubei Provincial Department of Education (Grant No. B2023022), and the Natural Science Foundation of Hubei Province, China (Grant No. 2021CFB370).
Data Availability Statement
The data that support the findings of this study are available from the corresponding author upon reasonable request. All the data can be found in the paper.
Conflicts of Interest
The authors declare that they have no conflicts of interest.
References
- Zhang, J.Z.; Li, X.Q.; Zhang, X.Q.; Zhang, M.; Cong, G.S.; Zhang, G.W.; Wang, F.Y. Geochemical and Geological Characterization of Marine–Continental Transitional Shales from Longtan Formation in Yangtze Area, South China. Mar. Pet. Geol. 2018, 96, 1–15. [Google Scholar] [CrossRef]
- Zhang, J.Z.; Li, X.Q.; Wei, Q.; Sun, K.X.; Zhang, G.W.; Wang, F.Y. Characterization of Full-Sized Pore Structure and Fractal Characteristics of Marine–Continental Transitional Longtan Formation Shale of Sichuan Basin, South China. Energy Fuels 2017, 31, 10490–10504. [Google Scholar] [CrossRef]
- Zhang, J.Z.; Tang, Y.J.; He, D.X.; Sun, P.; Zou, X.Y. Full-Scale Nanopore System and Fractal Characteristics of Clay-Rich Lacustrine Shale Combining FE-SEM, Nano-CT, Gas Adsorption and Mercury Intrusion Porosimetry. Appl. Clay Sci. 2020, 196, 105758. [Google Scholar] [CrossRef]
- Wu, J.; Wang, H.Y.; Shi, Z.S.; Wang, Q.; Zhao, Q.; Dong, D.Z.; Li, S.X.; Liu, D.X.; Sun, S.S.; Qiu, Z. Favorable Lithofacies Types and Genesis of Marine-Continental Transitional Black Shale: A Case Study of Permian Shanxi Formation in the Eastern Margin of Ordos Basin, NW China. Pet. Explor. Dev. 2021, 48, 1315–1328. [Google Scholar] [CrossRef]
- Dong, D.Z.; Wang, Y.M.; Li, X.J.; Zou, C.N.; Guan, Q.Z.; Zhang, C.C.; Huang, J.L.; Wang, S.F.; Wang, H.Y.; Liu, H.L.; et al. Breakthrough and Prospect of Shale Gas Exploration and Development in China. Nat. Gas Ind. 2016, 3, 12–26. [Google Scholar] [CrossRef]
- Zhao, B.S.; Li, R.X.; Qin, X.L.; Wang, N.; Zhou, W.; Khaled, A.; Zhao, D.; Zhang, Y.N.; Wu, X.L.; Liu, Q. Geochemical Characteristics and Mechanism of Organic Matter Accumulation of Marine-Continental Transitional Shale of the Lower Permian Shanxi Formation, Southeastern Ordos Basin, North China. J. Pet. Sci. Eng. 2021, 205, 108815. [Google Scholar] [CrossRef]
- Xi, Z.D.; Tang, S.H.; Zhang, S.H.; Sun, K. Pore Structure Characteristics of Marine–Continental Transitional Shale: A Case Study in the Qinshui Basin, China. Energy Fuels 2017, 31, 7854–7866. [Google Scholar] [CrossRef]
- Jiang, S.; Tang, X.L.; Cai, D.S.; Xue, G.; He, Z.L.; Long, S.X.; Peng, Y.M.; Gao, B.; Xu, Z.Y.; Dahdah, N. Comparison of Marine, Transitional, and Lacustrine Shales: A Case Study from the Sichuan Basin in China. J. Pet. Sci. Eng. 2017, 150, 334–347. [Google Scholar] [CrossRef]
- Yang, C.; Xiong, Y.Q.; Zhang, J.C.; Liu, Y.K.; Chen, C. Comprehensive Understanding of OM-Hosted Pores in Transitional Shale: A Case Study of Permian Longtan Shale in South China Based on Organic Petrographic Analysis, Gas Adsorption, and X-Ray Diffraction Measurements. Energy Fuels 2019, 33, 8055–8064. [Google Scholar] [CrossRef]
- Peng, Y.X.; Guo, S.B.; Zhai, G.Y.; Shi, D.S.; Chen, R. Determination of Critical Parameters for Evaluating Coal Measure Shale Gas in China. Mar. Pet. Geol. 2019, 109, 732–739. [Google Scholar] [CrossRef]
- Guo, T.L.; Xiong, L.; Ye, S.J.; Dong, X.X.; Wei, L.M.; Yang, Y.T. Theory and Practice of Unconventional Gas Exploration in Carrier Beds: Insight from the Breakthrough of New Type of Shale Gas and Tight Gas in Sichuan Basin, SW China. Pet. Explor. Dev. 2023, 50, 27–42. [Google Scholar] [CrossRef]
- Yang, X.G.; Guo, S.B. Reservoirs Characteristics and Environments Evolution of Lower Permian Transitional Shale in the Southern North China Basin: Implications for Shale Gas Exploration. J. Nat. Gas Sci. Eng. 2021, 96, 104282. [Google Scholar] [CrossRef]
- Yang, W.; Wang, Q.Y.; Wang, Y.H.; Jiang, Z.X.; Song, Y.; Li, Y.H.; Liu, D.; Zuo, R.S.; Gu, X.M.; Zhang, F. Pore Characteristic Responses to Categories of Depositional Microfacies of Delta-Lacustrine Tight Reservoirs in the Upper Triassic Yanchang Formation, Ordos Basin, NW China. Mar. Pet. Geol. 2020, 118, 104423. [Google Scholar] [CrossRef]
- Chen, Y.H.; Wang, Y.B.; Guo, M.Q.; Wu, H.Y.; Li, J.; Wu, W.T.; Zhao, J.Z. Differential Enrichment Mechanism of Organic Matters in the Marine-Continental Transitional Shale in Northeastern Ordos Basin, China: Control of Sedimentary Environments. J. Nat. Gas Sci. Eng. 2020, 83, 103625. [Google Scholar] [CrossRef]
- Zhang, L.F.; Dong, D.Z.; Qiu, Z.; Wu, C.J.; Zhang, Q.; Wang, Y.M.; Liu, D.X.; Deng, Z.; Zhou, S.W.; Pan, S.Q. Sedimentology and Geochemistry of Carboniferous-Permian Marine- Continental Transitional Shales in the Eastern Ordos Basin, North China. Palaeogeogr. Palaeoclimatol. Palaeoecol. 2021, 571, 110389. [Google Scholar] [CrossRef]
- Li, G.; Yang, Z.B.; Gao, W.; Zhang, Z.G.; Jiang, B.R.; Lu, B.J. Characteristics of Coal-Measure Gas Reservoirs in Thin Interbedded Marine–Continental Transitional Facies and Optimization of Combined Production: Examples from the Tucheng Syncline in Western Guizhou. Nat. Resour. Res. 2022, 31, 1503–1522. [Google Scholar]
- Luo, W.; Hou, M.C.; Liu, X.C.; Huang, S.G.; Chao, H.; Zhang, R.; Deng, X. Geological and Geochemical Characteristics of Marine-Continental Transitional Shale from the Upper Permian Longtan Formation, Northwestern Guizhou, China. Mar. Pet. Geol. 2018, 89, 58–67. [Google Scholar] [CrossRef]
- Cui, H.; Zhu, S.F.; Wang, J.P.; Gao, Y.; Wan, C.F.; Tong, H. Physical Properties, Pore-Throat Structure, Fractal Characteristics and Their Effects on the Gas-Bearing Capacity of Tight Sandstone: A Case Study from the Northern Tianhuan Depression, Ordos Basin, China. Nat. Resour. Res. 2022, 31, 1559–1584. [Google Scholar] [CrossRef]
- Huang, W.B.; Lu, S.F.; Hersi, O.S.; Wang, M.; Deng, S.W.; Lu, R.J. Reservoir Spaces in Tight Sandstones: Classification, Fractal Characters, and Heterogeneity. J. Nat. Gas Sci. Eng. 2017, 46, 80–92. [Google Scholar] [CrossRef]
- Zou, C.N.; Yang, Z.; Tao, S.Z.; Yuan, X.J.; Zhu, R.K.; Hou, L.H.; Wu, S.T.; Sun, L.; Zhang, G.S.; Bai, B.; et al. Continuous Hydrocarbon Accumulation over a Large Area as a Distinguishing Characteristic of Unconventional Petroleum: The Ordos Basin, North-Central China. Earth-Sci. Rev. 2013, 126, 358–369. [Google Scholar] [CrossRef]
- Lai, J.; Wang, G.W.; Wang, Z.Y.; Chen, J.; Pang, X.J.; Wang, S.C.; Zhou, Z.L.; He, Z.B.; Qin, Z.Q.; Fan, X.Q. A Review on Pore Structure Characterization in Tight Sandstones. Earth-Sci. Rev. 2018, 177, 436–457. [Google Scholar] [CrossRef]
- Ross, D.J.K.; Marc Bustin, R. The Importance of Shale Composition and Pore Structure upon Gas Storage Potential of Shale Gas Reservoirs. Mar. Pet. Geol. 2009, 26, 916–927. [Google Scholar] [CrossRef]
- Wang, R.; Shi, W.Z.; Xie, X.Y.; Zhang, W.; Qin, S.; Liu, K.; Busbey, A.B. Clay Mineral Content, Type, and Their Effects on Pore Throat Structure and Reservoir Properties: Insight from the Permian Tight Sandstones in the Hangjinqi Area, North Ordos Basin, China. Mar. Pet. Geol. 2020, 115, 104281. [Google Scholar] [CrossRef]
- Jiu, B.; Huang, W.H.; Li, Y.; He, M.Q. Influence of Clay Minerals and Cementation on Pore Throat of Tight Sandstone Gas Reservoir in the Eastern Ordos Basin, China. J. Nat. Gas Sci. Eng. 2021, 87, 103762. [Google Scholar] [CrossRef]
- Zou, C.N.; Zhu, R.K.; Liu, K.Y.; Su, L.; Bai, B.; Zhang, X.X.; Yuan, X.J.; Wang, J.H. Tight Gas Sandstone Reservoirs in China: Characteristics and Recognition Criteria. J. Pet. Sci. Eng. 2012, 88–89, 82–91. [Google Scholar] [CrossRef]
- Li, A.; Ding, W.L.; He, J.H.; Dai, P.; Yin, S.; Xie, F. Investigation of Pore Structure and Fractal Characteristics of Organic-Rich Shale Reservoirs: A Case Study of Lower Cambrian Qiongzhusi Formation in Malong Block of Eastern Yunnan Province, South China. Mar. Pet. Geol. 2016, 70, 46–57. [Google Scholar] [CrossRef]
- Zhang, L.C.; Lu, S.F.; Xiao, D.S.; Li, B. Pore Structure Characteristics of Tight Sandstones in the Northern Songliao Basin, China. Mar. Pet. Geol. 2017, 88, 170–180. [Google Scholar] [CrossRef]
- Li, F.L.; Wang, M.Z.; Liu, S.B.; Hao, Y.W. Pore Characteristics and Influencing Factors of Different Types of Shales. Mar. Pet. Geol. 2019, 102, 391–401. [Google Scholar] [CrossRef]
- Zhang, J.Z.; Lin, W.; Li, M.T.; Wang, J.G.; Xiao, X.; Li, Y.; Zhang, X.C. Evolution Mechanism of Microscopic Pore System in Coal-Bearing Marine–Continental Transitional Shale with Increasing Maturation. Minerals 2023, 13, 1482. [Google Scholar] [CrossRef]
- Gao, H.; Cao, J.; Wang, C.; He, M.Q.; Dou, L.B.; Huang, X.; Li, T.T. Comprehensive Characterization of Pore and Throat System for Tight Sandstone Reservoirs and Associated Permeability Determination Method Using SEM, Rate-Controlled Mercury and High Pressure Mercury. J. Pet. Sci. Eng. 2019, 174, 514–524. [Google Scholar] [CrossRef]
- Feng, G.; Li, W.; Shang, Z.F. Scale-dependent fractal properties and geological factors for the pore structure in shale: Insights from field emission scanning electron microscopy and fluid intrusion. Energy Fuels 2023, 37, 16519–16535. [Google Scholar] [CrossRef]
- Han, Y.H.; Jiang, Z.X.; Liang, Z.K.; Lai, Z.Y.; Liang, H.Y.; Wu, Y.H.; Guo, J.; Wang, B. Full pore size fractal characteristics of Longmaxi Formation shale in Luzhou-Changning area and its influence on seepage. Energy Fuels 2023, 37, 11083–11096. [Google Scholar] [CrossRef]
- He, T.P.; Zhou, Y.Q.; Chen, Z.B.; Zhang, Z.W.; Xie, H.Y.; Shang, Y.H.; Cui, G.X. Fractal characterization of the pore-throat structure in tight sandstone based on low-temperature nitrogen gas adsorption and high-pressure mercury injection. Fractal Fract. 2024, 8, 356. [Google Scholar] [CrossRef]
- Ning, S.T.; Xia, P.; Hao, F.; Tian, J.Q.; Fu, Y.; Wang, K. Pore fractal characteristics between marine and marine–continental transitional black shales: A case study of Niutitang Formation and Longtan Formation. Fractal Fract. 2024, 8, 288. [Google Scholar] [CrossRef]
- Liu, S.N.; Qiao, J.C.; Zeng, J.H.; Li, C.M.; Liu, Y.Z.; Kong, Z.; Liu, X.L. Heterogeneity of Micro- and Nanopore Structure of Lacustrine Shales with Complex Lamina Structure. Fractal Fract. 2024, 8, 245. [Google Scholar] [CrossRef]
- Mandelbrot, B.B.; Good, I.J. Fractals: Form, Chance, and Dimension. J. Am. Stat. Assoc. 1978, 73, 438. [Google Scholar] [CrossRef]
- Giri, A.; Tarafdar, S.; Gouze, P.; Dutta, T. Fractal Pore Structure of Sedimentary Rocks: Simulation in 2-d Using a Relaxed Bidisperse Ballistic Deposition Model. J. Appl. Geophy. 2012, 87, 40–45. [Google Scholar] [CrossRef]
- Zhang, Z.Y.; Weller, A. Fractal Dimension of Pore-Space Geometry of an Eocene Sandstone Formation. Geophysics 2014, 79, 377–387. [Google Scholar] [CrossRef]
- Wu, Y.P.; Liu, C.L.; Ouyang, S.Q.; Luo, B.; Zhao, D.D.; Sun, W.; Awan, R.S.; Lu, Z.D.; Li, G.X.; Zang, Q.B. Investigation of Pore-Throat Structure and Fractal Characteristics of Tight Sandstones Using HPMI, CRMI, and NMR Methods: A Case Study of the Lower Shihezi Formation in the Sulige Area, Ordos Basin. J. Pet. Sci. Eng. 2022, 210, 110053. [Google Scholar] [CrossRef]
- Xu, S.; Yang, Z.M.; Wu, S.T.; Wang, L.; Wei, W.; Yang, F.; Cai, J.C. Fractal Analysis of Pore Structure Differences Between Shale and Sandstone Based on the Nitrogen Adsorption Method. Nat. Resour. Res. 2022, 31, 1759–1773. [Google Scholar] [CrossRef]
- Zhu, F.; Hu, W.X.; Cao, J.; Sun, F.N.; Liu, Y.F.; Sun, Z.M. Micro/Nanoscale Pore Structure and Fractal Characteristics of Tight Gas Sandstone: A Case Study from the Yuanba Area, Northeast Sichuan Basin, China. Mar. Pet. Geol. 2018, 98, 116–132. [Google Scholar] [CrossRef]
- Potter, C.J. Paleozoic Shale Gas Resources in the Sichuan Basin, China. Sci. Bull. 2018, 102, 987–1009. [Google Scholar] [CrossRef]
- Dai, J.X.; Ni, Y.Y.; Liu, Q.Y.; Wu, X.Q.; Gong, D.Y.; Hong, F.; Zhang, Y.L.; Liao, F.R.; Yan, Z.M.; Li, H.W. Sichuan Super Gas Basin in Southwest China. Pet. Explor. Dev. 2021, 48, 1251–1259. [Google Scholar] [CrossRef]
- Lin, L.B.; Yu, Y.; Zhai, C.B.; Li, Y.H.; Wang, Y.N.; Liu, G.X.; Guo, Y.; Gao, J. Paleogeography and Shale Development Characteristics of the Late Permian Longtan Formation in Southeastern Sichuan Basin, China. Mar. Pet. Geol. 2018, 95, 67–81. [Google Scholar] [CrossRef]
- Miao, Z.S.; Pei, Y.W.; Su, N.; Sheng, S.Z.; Feng, B.; Jiang, H.; Liang, H.; Hong, H.T. Spatial and Temporal Evolution of the Sinian and Its Implications on Petroleum Exploration in the Sichuan Basin, China. J. Pet. Sci. Eng. 2022, 210, 110036. [Google Scholar] [CrossRef]
- Yang, K.; Zhang, B.; Yao, Y.J.; Yang, H.; Zhang, H.Q.; Xiao, W.; Wang, Y. Organic Matter Accumulation Mechanism and Characteristics in Marine-Continental Transitional Shale: A Case Study of the Upper Permian Longtan Formation from the Well F5 in Sichuan Basin, China. J. Pet. Sci. Eng. 2022, 208, 109604. [Google Scholar] [CrossRef]
- Zhang, J.Z.; Lin, W.; Li, M.T.; Wang, J.G.; Xiao, X.; Chen, Y.C. Pore Structure and Heterogeneity Characteristics of Coal-Bearing Marine-Continental Transitional Shales from the Longtan Formation in the South Sichuan Basin, China. Minerals 2024, 14, 588. [Google Scholar] [CrossRef]
- Blair, T.C.; McPherson, J.G. Grain-Size and Textural Classification of Coarse Sedimentary Particles. J. Sediment. Res. 1999, 69, 6–19. [Google Scholar] [CrossRef]
- Guo, S.; Lyu, X.X.; Zhang, Y. Relationship between Tight Sandstone Reservoir Formation and Hydrocarbon Charging: A Case Study of a Jurassic Reservoir in the Eastern Kuqa Depression, Tarim Basin, NW China. J. Nat. Gas Sci. Eng. 2018, 52, 304–316. [Google Scholar] [CrossRef]
- Kupgan, G.; Liyana-Arachchi, T.P.; Colina, C.M. NLDFT Pore Size Distribution in Amorphous Microporous Materials. Langmuir 2017, 33, 11138–11145. [Google Scholar] [CrossRef] [PubMed]
- Barrett, E.P.; Joyner, L.G.; Halenda, P.P. The Determination of Pore Volume and Area Distributions in Porous Substances. I. Computations from Nitrogen Isotherms. J. Am. Chem. Soc. 1951, 73, 373–380. [Google Scholar] [CrossRef]
- Dubinin, A.M. A Study of the Porous Structure of Active Carbons Using a Variety of Methods. Q. Rev. Chem. Soc. 1955, 101–114. [Google Scholar] [CrossRef]
- Li, Z.T.; Liu, D.M.; Cai, Y.D.; Wang, Y.P.; Teng, J. Adsorption Pore Structure and Its Fractal Characteristics of Coals by N2 Adsorption/Desorption and FESEM Image Analyses. Fuel 2019, 257, 116031. [Google Scholar] [CrossRef]
- Brunauer, S.; Emmett, P.H.; Teller, E. Adsorption of Gases in Multimolecular Layers. J. Am. Chem. Soc. 1938, 60, 309–319. [Google Scholar] [CrossRef]
- Li, Y.; Fan, A.P.; Yang, R.C.; Sun, Y.P.; Lenhardt, N. Sedimentary Facies Control on Sandstone Reservoir Properties: A Case Study from the Permian Shanxi Formation in the Southern Ordos Basin, Central China. Mar. Pet. Geol. 2021, 129, 105083. [Google Scholar] [CrossRef]
- Klaver, J.; Hemes, S.; Houben, M.; Desbois, G.; Radi, Z.; Urai, J.L. The Connectivity of Pore Space in Mudstones: Insights from High-pressure Wood’s Metal Injection, BIB-SEM Imaging, and Mercury Intrusion Porosimetry. Geofluids 2015, 15, 577–591. [Google Scholar] [CrossRef]
- Wang, Q.C.; Chen, D.X.; Gao, X.Z.; Wang, F.W.; Li, J.H.; Liao, W.H.; Wang, Z.Y.; Xie, G.J. Microscopic Pore Structures of Tight Sandstone Reservoirs and Their Diagenetic Controls: A Case Study of the Upper Triassic Xujiahe Formation of the Western Sichuan Depression, China. Mar. Pet. Geol. 2020, 113, 104119. [Google Scholar] [CrossRef]
- Lykiema, J.; Sing, K.S.W.; Haber, J.; Kerker, M.; Wolfram, E.; Block, J.H.; Churaev, N.V.; Everett, D.H.; Hansen, R.S.; Haul, R.A.W.; et al. Reporting Physisorption Data for Gas/Solid Systems with Special Reference to the Determination of Surface Area and Porosity. Pure Appl. Chem. 1984, 57, 603–619. [Google Scholar]
- Zhang, Q.; Liu, R.H.; Pang, Z.L.; Lin, W.; Bai, W.H.; Wang, H.Y. Characterization of Microscopic Pore Structures in Lower Silurian Black Shale(S1l), Southeastern Chongqing, China. Mar. Pet. Geol. 2016, 71, 250–259. [Google Scholar] [CrossRef]
- Cao, T.T.; Deng, M.; Song, Z.G.; Luo, H.Y.; Hursthouse, A.S. Characteristics and Controlling Factors of Pore Structure of the Permian Shale in Southern Anhui Province, East China. J. Nat. Gas Sci. Eng. 2018, 60, 228–245. [Google Scholar] [CrossRef]
Disclaimer/Publisher’s Note: The statements, opinions and data contained in all publications are solely those of the individual author(s) and contributor(s) and not of MDPI and/or the editor(s). MDPI and/or the editor(s) disclaim responsibility for any injury to people or property resulting from any ideas, methods, instructions or products referred to in the content. |
© 2024 by the authors. Licensee MDPI, Basel, Switzerland. This article is an open access article distributed under the terms and conditions of the Creative Commons Attribution (CC BY) license (https://creativecommons.org/licenses/by/4.0/).















