Modelling Yeast Prion Dynamics: A Fractional Order Approach with Predictor–Corrector Algorithm
Abstract
1. Introduction
2. Preliminaries
3. Model Description
4. Existence and Uniqueness Analysis
5. Stability Analysis
- •
- Prion-free equilibrium Point:
- •
- •
6. Solution of the Model Using PC Scheme
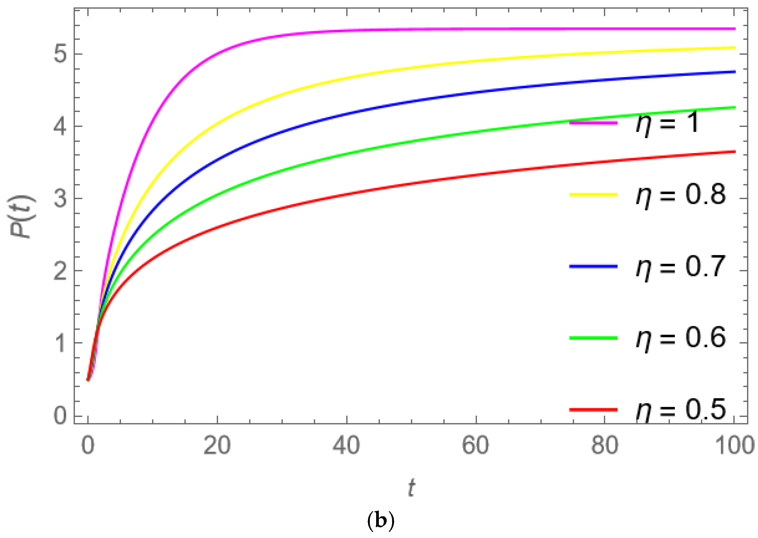
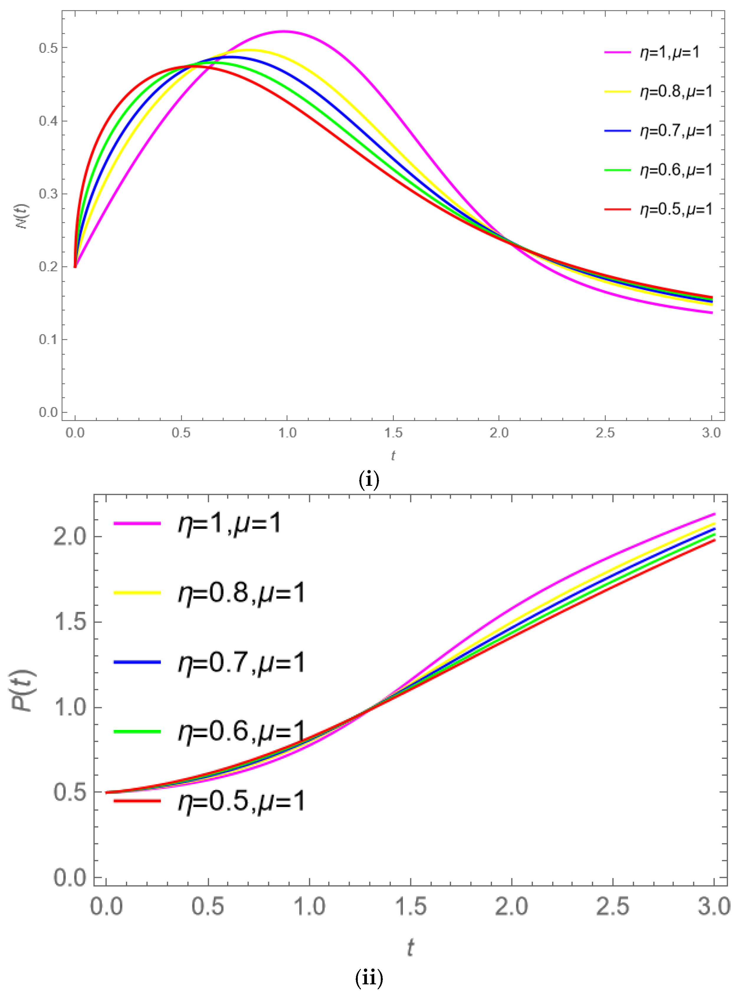
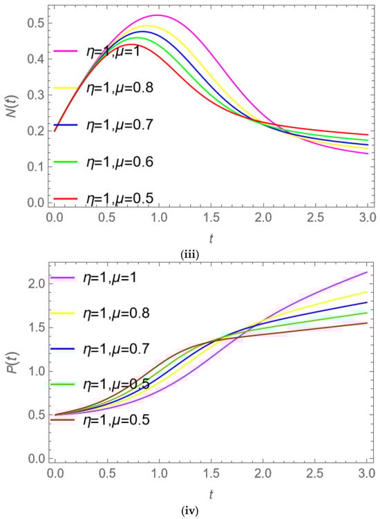
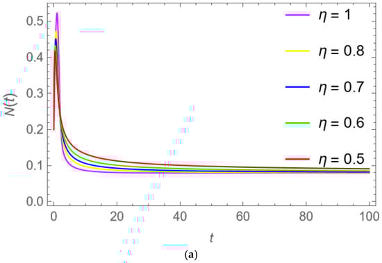
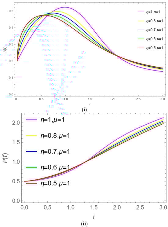
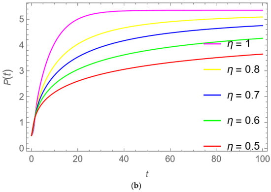
7. Results and Discussion
8. Conclusions
Author Contributions
Funding
Data Availability Statement
Acknowledgments
Conflicts of Interest
References
- Podlubny, I. Fractional Differential Equations; Academic Press: New York, NY, USA, 1999. [Google Scholar]
- Ross, B. The Development of Fractional Calculus 1695–1900. Hist. Math. 1977, 4, 75–89. [Google Scholar] [CrossRef]
- Caputo, M. Elasticità e Dissipazione; Zanichelli: Bologna, Italy, 1969. [Google Scholar]
- Miller, K.S.; Ross, B. An Introduction to Fractional Calculus and Fractional Differential Equations; Wiley: New York, NY, USA, 1993. [Google Scholar]
- Caputo, M. Linear Models of Dissipation Whose Q Is Almost Frequency Independent—II. Geophys. J. Int. 1967, 13, 529–539. [Google Scholar] [CrossRef]
- Veeresha, P.; Prakasha, D.G. An Efficient Technique for Two-Dimensional Fractional Order Biological Population Model. Int. J. Model. Simul. Sci. Comput. 2020, 11, 2050005. [Google Scholar] [CrossRef]
- Kumar, S.; Kumar, D.; Singh, J. Numerical Computation of Fractional Black–Scholes Equation Arising in Financial Market. Egypt. J. Basic Appl. Sci. 2014, 1, 177–183. [Google Scholar] [CrossRef]
- Barbero, G.; Evangelista, L.R.; Zola, R.S.; Lenzi, E.K.; Scarfone, A.M. A Brief Review of Fractional Calculus as a Tool for Applications in Physics: Adsorption Phenomena and Electrical Impedance in Complex Fluids. Fractal Fract. 2024, 8, 369. [Google Scholar] [CrossRef]
- Logeswari, K.; Ravichandran, C.; Nisar, K.S. Mathematical Model for Spreading of COVID-19 Virus with the Mittag–Leffler Kernel. Numer. Methods Partial. Differ. Equ. 2020, 40, e22652. [Google Scholar] [CrossRef]
- Baleanu, D.; Guvenc, Z.B.; Machado, J.A.T. New Trends in Nanotechnology and Fractional Calculus Applications; Springer: Berlin/Heidelberg, Germany, 2010; Volume 10, pp. 978–990. [Google Scholar]
- Kumar, D.; Seadawy, A.R.; Joardar, A.K. Modified Kudryashov Method via New Exact Solutions for Some Conformable Fractional Differential Equations Arising in Mathematical Biology. Chin. J. Phys. 2018, 56, 75–85. [Google Scholar] [CrossRef]
- Koleva, M.N.; Vulkov, L.G. A Quasilinearization Approach for Identification Control Vectors in Fractional-Order Nonlinear Systems. Fractal Fract. 2024, 8, 196. [Google Scholar] [CrossRef]
- Kumar, S.; Kumar, D.; Abbasbandy, S.; Rashidi, M.M. Analytical Solution of Fractional Navier–Stokes Equation by Using Modified Laplace Decomposition Method. Ain Shams Eng. J. 2014, 2, 569–574. [Google Scholar] [CrossRef]
- Agarwal, P.; El-Sayed, A.A. Non-Standard Finite Difference and Chebyshev Collocation Methods for Solving Fractional Diffusion Equation. Phys. Stat. Mech. Appl. 2018, 500, 40–49. [Google Scholar] [CrossRef]
- Angiulli, G.; Versaci, M.; Calcagno, S. Computation of the Cutoff Wavenumbers of Metallic Waveguides with Symmetries by Using a Nonlinear Eigenproblem Formulation: A Group Theoretical Approach. Mathematics 2020, 8, 489. [Google Scholar] [CrossRef]
- Veeresha, P.; Prakasha, D.G.; Baleanu, D. Analysis of Fractional Swift-Hohenberg Equation Using a Novel Computational Technique. Math. Methods Appl. Sci. 2020, 43, 1970–1987. [Google Scholar] [CrossRef]
- Kumar, D.; Nama, H.; Singh, J.; Kumar, J. An Efficient Numerical Scheme for Fractional Order Mathematical Model of Cytosolic Calcium Ion in Astrocytes. Fractal Fract. 2024, 8, 184. [Google Scholar] [CrossRef]
- Angiulli, G.; Versaci, M.; Morabito, F.C. Computation of Nonlinear Eigenvalues Related to Parameters of Microwave Structures by Using Group Theory. In Proceedings of the 2017 International Applied Computational Electromagnetics Society Symposium—Italy (ACES), Firenze, Italy, 26–30 March 2017; pp. 1–2. [Google Scholar]
- Davis, J.K.; Sindi, S.S. A Mathematical Model of the Dynamics of Prion Aggregates with Chaperone-Mediated Fragmentation. J. Math. Biol. 2016, 72, 1555–1578. [Google Scholar] [CrossRef] [PubMed]
- Borgqvist, J.G.; Alexandersen, C.G. HeMiTo-Dynamics: A Characterisation of Mammalian Prion Toxicity Using Non-Dimensionalisation, Linear Stability and Perturbation Analyses. arXiv 2024, arXiv:2405.10070. [Google Scholar]
- Kushnirov, V.V.; Dergalev, A.A.; Alieva, M.K.; Alexandrov, A.I. Structural Bases of Prion Variation in Yeast. Int. J. Mol. Sci. 2022, 23, 5738. [Google Scholar] [CrossRef] [PubMed]
- Norton, J.; Seah, N.; Santiago, F.; Sindi, S.; Serio, T. Multiple Aspects of Amyloid Dynamics In Vivo Integrate to Establish Prion Variant Dominance in Yeast. Front. Mol. Neurosci. 2024, 17, 1439442. [Google Scholar] [CrossRef]
- Wickner, R.B.; Edskes, H.K.; Wu, S.; Gregg, K. Prions Are the Greatest Protein Misfolding Problem, and Yeast Has Several Solutions. PLoS Pathog. 2023, 19, e1011333. [Google Scholar] [CrossRef] [PubMed]
- Chernoff, Y.O.; Grizel, A.V.; Rubel, A.A.; Zelinsky, A.A.; Chandramowlishwaran, P.; Chernova, T.A. Application of yeast to studying amyloid and prion diseases. Adv. Genet. 2020, 105, 293–380. [Google Scholar]
- Miller, E.M.; Chan, T.C.D.; Montes-Matamoros, C.; Sharif, O.; Pujo-Menjouet, L.; Lindstrom, M.R. Oscillations in Neuronal Activity: A Neuron-Centered Spatiotemporal Model of the Unfolded Protein Response in Prion Diseases. Bull. Math. Biol. 2024, 86, 82. [Google Scholar] [CrossRef]
- Elettreby, M.; Ahmed, E.; Alqahtani, A. A Discrete Fractional-Order Prion Model Motivated by Parkinson’s Disease. Math. Probl. Eng. 2020, 2020, 4308589. [Google Scholar] [CrossRef]
- Veeresha, P. The Efficient Fractional Order Based Approach to Analyze Chemical Reaction Associated with Pattern Formation. Chaos Solitons Fractals 2022, 165, 112862. [Google Scholar] [CrossRef]
- Kumar, P.; Suat Erturk, V. The Analysis of a Time Delay Fractional COVID-19 Model via Caputo Type Fractional Derivative. Math. Methods Appl. Sci. 2023, 46, 7618–7631. [Google Scholar] [CrossRef] [PubMed]
- Odibat, Z. A Universal Predictor–Corrector Algorithm for Numerical Simulation of Generalized Fractional Differential Equations. Nonlinear Dyn. 2021, 105, 2363–2374. [Google Scholar] [CrossRef]
- Ameen, I.G.; Sweilam, N.H.; Ali, H.M. A Fractional-Order Model of Human Liver: Analytic-Approximate and Numerical Solutions Comparing with Clinical Data. Alex. Eng. J. 2021, 60, 4797–4808. [Google Scholar] [CrossRef]
- Lemarre, P.; Pujo-Menjouet, L.; Sindi, S.S. A Unifying Model for the Propagation of Prion Proteins in Yeast Brings Insight into the [PSI+] Prion. PLoS Comput. Biol. 2020, 16, e1007647. [Google Scholar]
- Cong, N.D.; Tuan, H.T. Existence, Uniqueness and Exponential Boundedness of Global Solutions to Delay Fractional Differential Equations. Mediterr. J. Math. 2017, 14, 193. [Google Scholar] [CrossRef]
- Katugampola, U.N. Existence and Uniqueness Results for a Class of Generalized Fractional Differential Equations. arXiv 2016, arXiv:1411.5229. [Google Scholar]
- Erturk, V.S.; Kumar, P. Solution of a COVID-19 Model via New Generalized Caputo-Type Fractional Derivatives. Chaos Solitons Fractals 2020, 139, 110280. [Google Scholar] [CrossRef]





| Parameters | Descriptions | Values |
|---|---|---|
| Growth rate of Sup35 monomers | 0.7 | |
| Degeneration rate of Sup35 monomers | 0.06 | |
| Rate of conversion from monomer to prion aggregates | ||
| Degeneration rate of Sup35 prions | ||
| Threshold parameter | 2 |
Disclaimer/Publisher’s Note: The statements, opinions and data contained in all publications are solely those of the individual author(s) and contributor(s) and not of MDPI and/or the editor(s). MDPI and/or the editor(s) disclaim responsibility for any injury to people or property resulting from any ideas, methods, instructions or products referred to in the content. |
© 2024 by the authors. Licensee MDPI, Basel, Switzerland. This article is an open access article distributed under the terms and conditions of the Creative Commons Attribution (CC BY) license (https://creativecommons.org/licenses/by/4.0/).
Share and Cite
Archana, D.K.; Prakasha, D.G.; Bin Turki, N. Modelling Yeast Prion Dynamics: A Fractional Order Approach with Predictor–Corrector Algorithm. Fractal Fract. 2024, 8, 542. https://doi.org/10.3390/fractalfract8090542
Archana DK, Prakasha DG, Bin Turki N. Modelling Yeast Prion Dynamics: A Fractional Order Approach with Predictor–Corrector Algorithm. Fractal and Fractional. 2024; 8(9):542. https://doi.org/10.3390/fractalfract8090542
Chicago/Turabian StyleArchana, Daasara Keshavamurthy, Doddabhadrappla Gowda Prakasha, and Nasser Bin Turki. 2024. "Modelling Yeast Prion Dynamics: A Fractional Order Approach with Predictor–Corrector Algorithm" Fractal and Fractional 8, no. 9: 542. https://doi.org/10.3390/fractalfract8090542
APA StyleArchana, D. K., Prakasha, D. G., & Bin Turki, N. (2024). Modelling Yeast Prion Dynamics: A Fractional Order Approach with Predictor–Corrector Algorithm. Fractal and Fractional, 8(9), 542. https://doi.org/10.3390/fractalfract8090542

