Anisotropy of Magnetohydrodynamic and Kinetic Scale Fluctuations through Correlation Tensor in Solar Wind at 0.8 au
Abstract
1. Introduction
2. Methods
3. Data
4. Results
4.1. Global Correlation Tensor Analysis
4.2. Correlation Tensor Analysis with Respect to the Local Mean Magnetic Field
5. Discussion and Conclusions
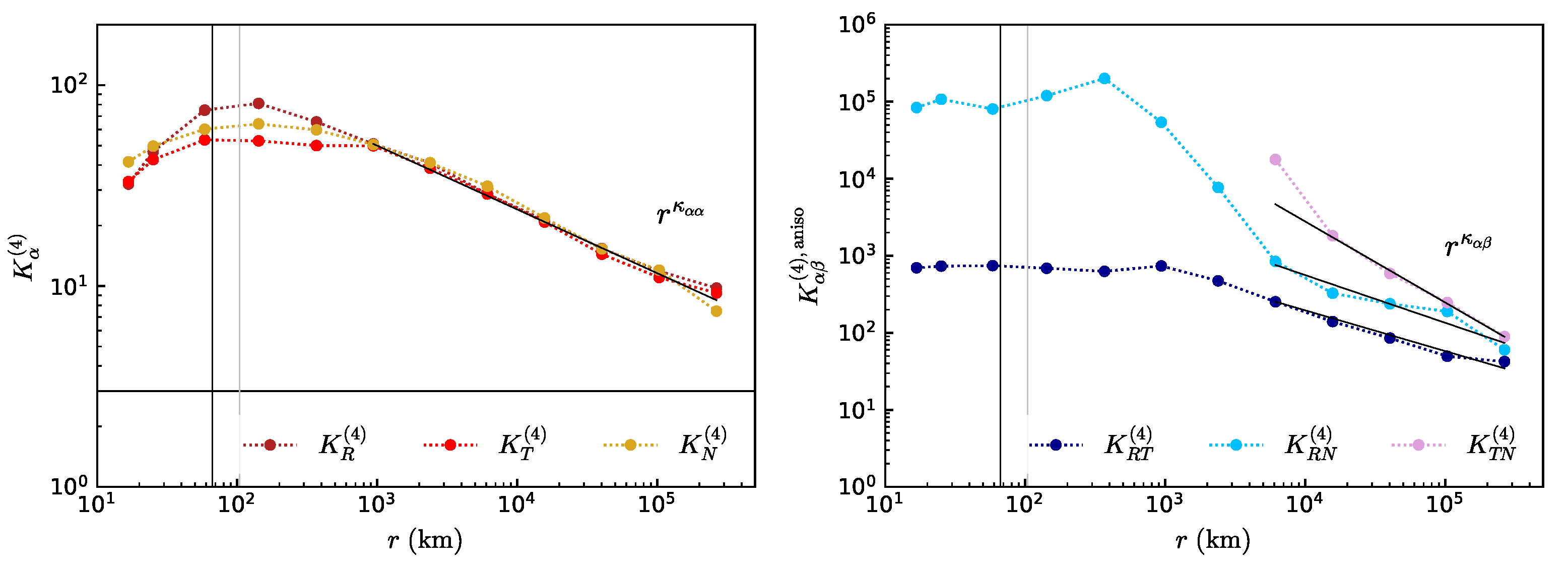
- By comparing undecomposed and purely anisotropic MHD-scale fluctuations, we observed that by increasing the order of the structure functions, the purely anisotropic components tend to be comparable to the undecomposed ones. This indicates that anisotropic fluctuations mostly appear as rare bursty events, which develop in a strong intermittent way [30]. This is also evident from the trend observed in the purely anisotropic kurtosis.
- Using the generalized flatness, we observed that the most important anisotropic contribution at small scales is associated with sectors combining the sampling direction with the transverse plane, viz., and . Anisotropic fluctuations in sector tend toward a more isotropic state toward kinetic scales.
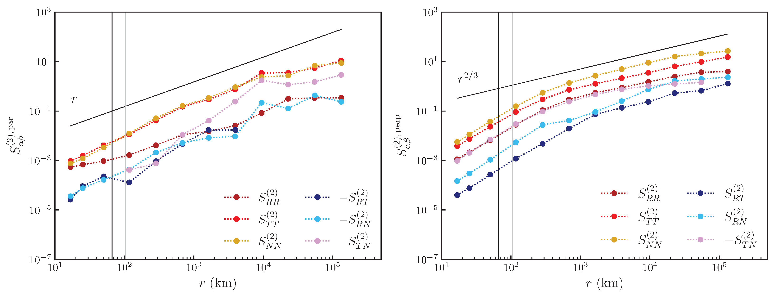
- By introducing a spherical coordinate system formed by the sampling direction, the local mean magnetic field angle and the angle of the local perpendicular fluctuation , we can separate parallel and perpendicular fluctuations to the local mean magnetic field. In the case of parallel fluctuations, through the second-order correlation tensor, we observed that turbulence tends to develop larger perpendicular fluctuations with respect to the parallel ones and that both undecomposed ad purely anisotropic component share the same scaling law, resembling a spectral slope of . Such scaling is almost unchanged at kinetic scales. In the case of perpendicular fluctuations, again, we computed the second-order correlation tensor, and we observed that perpendicular fluctuations are more developed than parallel ones. All diagonal and mixed structure functions follow the same scaling law, showing a Kolmogorov-like spectrum at MHD scales and a steeper slope in the kinetic range.
Author Contributions
Funding
Data Availability Statement
Acknowledgments
Conflicts of Interest
Abbreviations
| MHD | Magnetohydrodynamics |
| Probability Distribution Function | |
| RTN | Radial–Tangential–Normal |
| SolO | Solar Orbiter |
| UT | Universal Time |
References
- Bruno, R.; Carbone, V. The Solar Wind as a Turbulence Laboratory. Living Rev. Sol. Phys. 2013, 10, 2. [Google Scholar] [CrossRef]
- Bruno, R.; Carbone, V. Turbulence in the Solar Wind; Springer International Publishing: Cham, Switzerland, 2016; Volume 928. [Google Scholar] [CrossRef]
- Bruno, R. Intermittency in Solar Wind Turbulence From Fluid to Kinetic Scales. Earth Space Sci. 2019, 6, 656–672. [Google Scholar] [CrossRef]
- Belcher, J.W.; Davis, L., Jr. Large-amplitude Alfvén waves in the interplanetary medium, 2. J. Geophys. Res. 1971, 76, 3534. [Google Scholar] [CrossRef]
- Bruno, R.; Bavassano, B.; Villante, U. Evidence for long period Alfvén waves in the inner solar system. J. Geophys. Res. 1985, 90, 4373–4377. [Google Scholar] [CrossRef]
- D’Amicis, R.; Bruno, R.; Panasenco, O.; Telloni, D.; Perrone, D.; Marcucci, M.F.; Woodham, L.; Velli, M.; De Marco, R.; Jagarlamudi, V.; et al. First Solar Orbiter observation of the Alfvénic slow wind and identification of its solar source. Astron. Astrophys. 2021, 656, A21. [Google Scholar] [CrossRef]
- Alfvén, H. Existence of Electromagnetic-Hydrodynamic Waves. Nature 1942, 150, 405–406. [Google Scholar] [CrossRef]
- D’Amicis, R.; Bruno, R. On the Origin of Highly Alfvénic Slow Solar Wind. Astrophys. J. 2015, 805, 84. [Google Scholar] [CrossRef]
- Telloni, D.; Bruno, R.; D’Amicis, R.; Carbone, F.; De Marco, R.; Perrone, D. Wave-polarization Analysis of the Alfvénic Slow Solar Wind at Kinetic Scales. Astrophys. J. 2020, 897, 167. [Google Scholar] [CrossRef]
- D’Amicis, R.; Perrone, D.; Bruno, R.; Velli, M. On Alfvénic Slow Wind: A Journey From the Earth Back to the Sun. J. Geophys. Res. (Space Phys.) 2021, 126, e28996. [Google Scholar] [CrossRef]
- Iroshnikov, P.S. Turbulence of a Conducting Fluid in a Strong Magnetic Field. Astron. Zhurnal 1963, 40, 742. [Google Scholar]
- Kraichnan, R.H. Inertial-Range Spectrum of Hydromagnetic Turbulence. Phys. Fluids 1965, 8, 1385–1387. [Google Scholar] [CrossRef]
- Podesta, J.J.; Roberts, D.A.; Goldstein, M.L. Spectral Exponents of Kinetic and Magnetic Energy Spectra in Solar Wind Turbulence. Astrophys. J. 2007, 664, 543–548. [Google Scholar] [CrossRef]
- Boldyrev, S.; Perez, J.C.; Borovsky, J.E.; Podesta, J.J. Spectral Scaling Laws in Magnetohydrodynamic Turbulence Simulations and in the Solar Wind. Astrophys. J. Lett. 2011, 741, L19. [Google Scholar] [CrossRef]
- Chen, C.H.K.; Mallet, A.; Yousef, T.A.; Schekochihin, A.A.; Horbury, T.S. Anisotropy of Alfvénic turbulence in the solar wind and numerical simulations. Mon. Not. R. Astron. Soc. 2011, 415, 3219–3226. [Google Scholar] [CrossRef]
- Kolmogorov, A. The Local Structure of Turbulence in Incompressible Viscous Fluid for Very Large Reynolds’ Numbers. Akad. Nauk SSSR Dokl. 1941, 30, 301–305. [Google Scholar]
- Chen, C.H.K.; Bale, S.D.; Bonnell, J.W.; Borovikov, D.; Bowen, T.A.; Burgess, D.; Case, A.W.; Chandran, B.D.G.; de Wit, T.D.; Goetz, K.; et al. The Evolution and Role of Solar Wind Turbulence in the Inner Heliosphere. Astrophys. J. Suppl. Ser. 2020, 246, 53. [Google Scholar] [CrossRef]
- Alberti, T.; Laurenza, M.; Consolini, G.; Milillo, A.; Marcucci, M.F.; Carbone, V.; Bale, S.D. On the Scaling Properties of Magnetic-field Fluctuations through the Inner Heliosphere. Astrophys. J. 2020, 902, 84. [Google Scholar] [CrossRef]
- Alberti, T.; Milillo, A.; Heyner, D.; Hadid, L.Z.; Auster, H.U.; Richter, I.; Narita, Y. The “Singular” Behavior of the Solar Wind Scaling Features during Parker Solar Probe-BepiColombo Radial Alignment. Astrophys. J. 2022, 926, 174. [Google Scholar] [CrossRef]
- Alberti, T.; Narita, Y.; Hadid, L.Z.; Heyner, D.; Milillo, A.; Plainaki, C.; Auster, H.U.; Richter, I. Tracking of magnetic helicity evolution in the inner heliosphere. A radial alignment study. Astron. Astrophys. 2022, 664, L8. [Google Scholar] [CrossRef]
- Alberti, T.; Benella, S.; Consolini, G.; Stumpo, M.; Benzi, R. Reconciling Parker Solar Probe Observations and Magnetohydrodynamic Theory. Astrophys. J. Lett. 2022, 940, L13. [Google Scholar] [CrossRef]
- Goldreich, P.; Sridhar, S. Toward a Theory of Interstellar Turbulence. II. Strong Alfvenic Turbulence. Astrophys. J. 1995, 438, 763. [Google Scholar] [CrossRef]
- Horbury, T.S.; Forman, M.; Oughton, S. Anisotropic Scaling of Magnetohydrodynamic Turbulence. Phys. Rev. Lett. 2008, 101, 175005. [Google Scholar] [CrossRef] [PubMed]
- Podesta, J.J. Dependence of Solar-Wind Power Spectra on the Direction of the Local Mean Magnetic Field. Astrophys. J. 2009, 698, 986–999. [Google Scholar] [CrossRef]
- Wicks, R.T.; Horbury, T.S.; Chen, C.H.K.; Schekochihin, A.A. Power and spectral index anisotropy of the entire inertial range of turbulence in the fast solar wind. Mon. Not. R. Astron. Soc. 2010, 407, L31–L35. [Google Scholar] [CrossRef]
- Wicks, R.T.; Forman, M.A.; Horbury, T.S.; Oughton, S. Power Anisotropy in the Magnetic Field Power Spectral Tensor of Solar Wind Turbulence. Astrophys. J. 2012, 746, 103. [Google Scholar] [CrossRef]
- Biferale, L.; Procaccia, I. Anisotropy in turbulent flows and in turbulent transport. Phys. Rep. 2005, 414, 43–164. [Google Scholar] [CrossRef]
- Antonov, N.V.; Lanotte, A.; Mazzino, A. Persistence of small-scale anisotropies and anomalous scaling in a model of magnetohydrodynamics turbulence. Phys. Rev. E 2000, 61, 6586–6605. [Google Scholar] [CrossRef]
- Arad, I.; Biferale, L.; Procaccia, I. Nonperturbative spectrum of anomalous scaling exponents in the anisotropic sectors of passively advected magnetic fields. Phys. Rev. E 2000, 61, 2654–2662. [Google Scholar] [CrossRef]
- Bigazzi, A.; Biferale, L.; Gama, S.M.A.; Velli, M. Small-Scale Anisotropy and Intermittence in High- and Low-Latitude Solar Wind. Astrophys. J. 2006, 638, 499–507. [Google Scholar] [CrossRef]
- Sorriso-Valvo, L.; Carbone, V.; Bruno, R.; Veltri, P. Persistence of small-scale anisotropy of magnetic turbulence as observed in the solar wind. EPL (Europhys. Lett.) 2006, 75, 832–838. [Google Scholar] [CrossRef]
- Podesta, J.J.; Gary, S.P. Magnetic Helicity Spectrum of Solar Wind Fluctuations as a Function of the Angle with Respect to the Local Mean Magnetic Field. Astrophys. J. 2011, 734, 15. [Google Scholar] [CrossRef]
- Horbury, T.S.; Wicks, R.T.; Chen, C.H.K. Anisotropy in Space Plasma Turbulence: Solar Wind Observations. Space Sci. Rev. 2012, 172, 325–342. [Google Scholar] [CrossRef]
- Taylor, G.I. The Spectrum of Turbulence. Proc. R. Soc. Lond. Ser. A 1938, 164, 476–490. [Google Scholar] [CrossRef]
- Narita, Y.; Glassmeier, K.H.; Motschmann, U. Wave vector analysis methods using multi-point measurements. Nonlinear Process. Geophys. 2010, 17, 383–394. [Google Scholar] [CrossRef]
- Perri, S.; Servidio, S.; Vaivads, A.; Valentini, F. Numerical Study on the Validity of the Taylor Hypothesis in Space Plasmas. Astrophys. J. Suppl. Ser. 2017, 231, 4. [Google Scholar] [CrossRef]
- Horbury, T.S.; O’Brien, H.; Carrasco Blazquez, I.; Bendyk, M.; Brown, P.; Hudson, R.; Evans, V.; Oddy, T.M.; Carr, C.M.; Beek, T.J.; et al. The Solar Orbiter magnetometer. Astron. Astrophys. 2020, 642, A9. [Google Scholar] [CrossRef]
- Owen, C.J.; Bruno, R.; Livi, S.; Louarn, P.; Al Janabi, K.; Allegrini, F.; Amoros, C.; Baruah, R.; Barthe, A.; Berthomier, M.; et al. The Solar Orbiter Solar Wind Analyser (SWA) suite. Astron. Astrophys. 2020, 642, A16. [Google Scholar] [CrossRef]
- Sorriso-Valvo, L.; Yordanova, E.; Carbone, V. On the scaling properties of anisotropy of interplanetary magnetic turbulent fluctuations. EPL (Europhys. Lett.) 2010, 90, 59001. [Google Scholar] [CrossRef]
- Yordanova, E.; Perri, S.; Sorriso-Valvo, L.; Carbone, V. Multipoint observation of anisotropy and intermittency in solar-wind turbulence. EPL (Europhys. Lett.) 2015, 110, 19001. [Google Scholar] [CrossRef]
- Frisch, U. Turbulence. The Legacy of A.N. Kolmogorov; Cambridge University Press: Cambridge, UK, 1995. [Google Scholar]
- Chasapis, A.; Matthaeus, W.H.; Bandyopadhyay, R.; Chhiber, R.; Ahmadi, N.; Ergun, R.E.; Russell, C.T.; Strangeway, R.J.; Giles, B.L.; Gershman, D.J.; et al. Scaling and Anisotropy of Solar Wind Turbulence at Kinetic Scales during the MMS Turbulence Campaign. Astrophys. J. 2020, 903, 127. [Google Scholar] [CrossRef]
- Chhiber, R.; Matthaeus, W.H.; Bowen, T.A.; Bale, S.D. Subproton-scale Intermittency in Near-Sun Solar Wind Turbulence Observed by the Parker Solar Probe. Astrophys. J. Lett. 2021, 911, L7. [Google Scholar] [CrossRef]
- Sorriso-Valvo, L.; Marino, R.; Foldes, R.; Lévêque, E.; D’Amicis, R.; Bruno, R.; Telloni, D.; Yordanova, E. Helios 2 observations of solar wind turbulence decay in the inner heliosphere. Astron. Astrophys. 2023, 672, A13. [Google Scholar] [CrossRef]
- Biferale, L.; Vergassola, M. Isotropy vs anisotropy in small-scale turbulence. Phys. Fluids 2001, 13, 2139–2141. [Google Scholar] [CrossRef]
- Shen, X.; Warhaft, Z. Longitudinal and transverse structure functions in sheared and unsheared wind-tunnel turbulence. Phys. Fluids 2002, 14, 370–381. [Google Scholar] [CrossRef]
- Chen, C.H.K.; Horbury, T.S.; Schekochihin, A.A.; Wicks, R.T.; Alexandrova, O.; Mitchell, J. Anisotropy of Solar Wind Turbulence between Ion and Electron Scales. Phys. Rev. Lett. 2010, 104, 255002. [Google Scholar] [CrossRef] [PubMed]
- Matthaeus, W.H.; Servidio, S.; Dmitruk, P.; Carbone, V.; Oughton, S.; Wan, M.; Osman, K.T. Local Anisotropy, Higher Order Statistics, and Turbulence Spectra. Astrophys. J. 2012, 750, 103. [Google Scholar] [CrossRef]
- Oughton, S.; Matthaeus, W.H. Critical Balance and the Physics of Magnetohydrodynamic Turbulence. Astrophys. J. 2020, 897, 37. [Google Scholar] [CrossRef]
- Chen, C.H.K.; Mallet, A.; Schekochihin, A.A.; Horbury, T.S.; Wicks, R.T.; Bale, S.D. Three-dimensional Structure of Solar Wind Turbulence. Astrophys. J. 2012, 758, 120. [Google Scholar] [CrossRef]
- Verdini, A.; Grappin, R.; Alexandrova, O.; Franci, L.; Landi, S.; Matteini, L.; Papini, E. Three-dimensional local anisotropy of velocity fluctuations in the solar wind. Mon. Not. R. Astron. Soc. 2019, 486, 3006–3018. [Google Scholar] [CrossRef]
- Schekochihin, A.A.; Cowley, S.C.; Dorland, W.; Hammett, G.W.; Howes, G.G.; Quataert, E.; Tatsuno, T. Astrophysical Gyrokinetics: Kinetic and Fluid Turbulent Cascades in Magnetized Weakly Collisional Plasmas. Astrophys. J. Suppl. 2009, 182, 310–377. [Google Scholar] [CrossRef]
- Mallet, A.; Schekochihin, A.A.; Chandran, B.D.G.; Chen, C.H.K.; Horbury, T.S.; Wicks, R.T.; Greenan, C.C. Measures of three-dimensional anisotropy and intermittency in strong Alfvénic turbulence. Mon. Not. R. Astron. Soc. 2016, 459, 2130–2139. [Google Scholar] [CrossRef]
- Schekochihin, A.A. MHD turbulence: A biased review. J. Plasma Phys. 2022, 88, 155880501. [Google Scholar] [CrossRef]
- Arad, I.; Biferale, L.; Mazzitelli, I.; Procaccia, I. Disentangling Scaling Properties in Anisotropic and Inhomogeneous Turbulence. Phys. Rev. Lett. 1999, 82, 5040–5043. [Google Scholar] [CrossRef]
- Staicu, A.; Vorselaars, B.; van de Water, W. Turbulence anisotropy and the SO(3) description. Phys. Rev. E 2003, 68, 046303. [Google Scholar] [CrossRef] [PubMed]
- Osman, K.T.; Horbury, T.S. Multi-spacecraft measurement of anisotropic power levels and scaling in solar wind turbulence. Ann. Geophys. 2009, 27, 3019–3025. [Google Scholar] [CrossRef][Green Version]
- Osman, K.T.; Horbury, T.S. Quantitative estimates of the slab and 2-D power in solar wind turbulence using multispacecraft data. J. Geophys. Res. (Space Phys.) 2009, 114, A06103. [Google Scholar] [CrossRef]
- Roberts, O.W.; Narita, Y.; Nakamura, R.; Vörös, Z.; Gershman, D. Anisotropy of spectral index in ion scale compressible turbulence: MMS Observations in the magnetosheath. Front. Phys. 2019, 7, 184. [Google Scholar] [CrossRef]
- Retinò, A.; Khotyaintsev, Y.; Le Contel, O.; Marcucci, M.F.; Plaschke, F.; Vaivads, A.; Angelopoulos, V.; Blasi, P.; Burch, J.; De Keyser, J.; et al. Particle energization in space plasmas: Towards a multi-point, multi-scale plasma observatory. Exp. Astron. 2022, 54, 427–471. [Google Scholar] [CrossRef]
- Rae, J.; Forsyth, C.; Dunlop, M.; Palmroth, M.; Lester, M.; Friedel, R.; Reeves, G.; Kepko, L.; Turc, L.; Watt, C.; et al. What are the fundamental modes of energy transfer and partitioning in the coupled Magnetosphere-Ionosphere system? Exp. Astron. 2022, 54, 391–426. [Google Scholar] [CrossRef]






| 13 May 2022, 15:00–14, 04:00 | 1 December 2022, 19:00–2, 18:00 | |
|---|---|---|
| (nT) | 10.1 | 5.2 |
| (nT) | 14.3 | 5.8 |
| (km s−1) | 567 | 504 |
| (km s−1) | 707 | 611 |
| (cm−3) | 11.8 | 4.7 |
| ( K) | 2.3 | 1.5 |
| (km) | 66 | 104 |
| (km) | 45 | 69 |
| (km−1) | 65 | 53 |
| 0.93 |
Disclaimer/Publisher’s Note: The statements, opinions and data contained in all publications are solely those of the individual author(s) and contributor(s) and not of MDPI and/or the editor(s). MDPI and/or the editor(s) disclaim responsibility for any injury to people or property resulting from any ideas, methods, instructions or products referred to in the content. |
© 2024 by the authors. Licensee MDPI, Basel, Switzerland. This article is an open access article distributed under the terms and conditions of the Creative Commons Attribution (CC BY) license (https://creativecommons.org/licenses/by/4.0/).
Share and Cite
Stumpo, M.; Benella, S.; Di Bartolomeo, P.P.; Sorriso-Valvo, L.; Alberti, T. Anisotropy of Magnetohydrodynamic and Kinetic Scale Fluctuations through Correlation Tensor in Solar Wind at 0.8 au. Fractal Fract. 2024, 8, 358. https://doi.org/10.3390/fractalfract8060358
Stumpo M, Benella S, Di Bartolomeo PP, Sorriso-Valvo L, Alberti T. Anisotropy of Magnetohydrodynamic and Kinetic Scale Fluctuations through Correlation Tensor in Solar Wind at 0.8 au. Fractal and Fractional. 2024; 8(6):358. https://doi.org/10.3390/fractalfract8060358
Chicago/Turabian StyleStumpo, Mirko, Simone Benella, Pier Paolo Di Bartolomeo, Luca Sorriso-Valvo, and Tommaso Alberti. 2024. "Anisotropy of Magnetohydrodynamic and Kinetic Scale Fluctuations through Correlation Tensor in Solar Wind at 0.8 au" Fractal and Fractional 8, no. 6: 358. https://doi.org/10.3390/fractalfract8060358
APA StyleStumpo, M., Benella, S., Di Bartolomeo, P. P., Sorriso-Valvo, L., & Alberti, T. (2024). Anisotropy of Magnetohydrodynamic and Kinetic Scale Fluctuations through Correlation Tensor in Solar Wind at 0.8 au. Fractal and Fractional, 8(6), 358. https://doi.org/10.3390/fractalfract8060358

