An Efficient Numerical Method Based on Bell Wavelets for Solving the Fractional Integro-Differential Equations with Weakly Singular Kernels
Abstract
1. Introduction
2. Preliminaries
2.1. Fractional Calculus
- (i)
- ;
- (ii)
- ;
- (iii)
- .
2.2. Bell Wavelets
3. Bell Wavelets Approximation and Operational Matrix
3.1. Bell Wavelets Approximation
3.2. Operational Matrix of the Fractional Integration
4. Convergence Analysis
5. Implementation of the Bell Wavelets Scheme
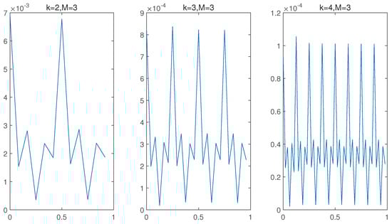
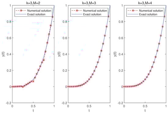
6. Numerical Examples
7. Conclusions
Author Contributions
Funding
Data Availability Statement
Acknowledgments
Conflicts of Interest
References
- Koeller, R.C. Application of fractional calculus to the theory of viscoelasticity. J. Appl. Mech. 1984, 51, 299–307. [Google Scholar] [CrossRef]
- Ichise, M.; Nagayanagi, Y.; Kojima, T. An analog simulation of noninteger order transfer functions for analysis of electrode process. J. Electroanal. Chem. 1971, 33, 253–265. [Google Scholar] [CrossRef]
- Ren, T.; Li, S.; Zhang, X.; Liu, L. Maximum and minimum solutions for a nonlocal p-Laplacian fractional differential system from eco-economical processes. Bound. Value Probl. 2017, 2017, 118. [Google Scholar] [CrossRef]
- Wu, J.; Zhang, X.; Liu, L.; Wu, Y.; Cui, Y. Convergence analysis of iterative scheme and error estimation of positive solution for a fractional differential equation. Math. Model. Analy. 2018, 23, 611–626. [Google Scholar]
- Zhang, X.; Xu, P.; Wu, Y.; Wiwatanapataphe, B. The uniqueness and iterative properties of solutions for a general Hadamard-type singular fractional turbulent flow model. Nonlinear Anal-Model. 2022, 27, 428–444. [Google Scholar] [CrossRef]
- Zhang, X.; Chen, P.; Tian, H.; Wu, Y. The Iterative Properties for Positive Solutions of a Tempered Fractional Equation. Fractal Fract. 2023, 7, 761. [Google Scholar] [CrossRef]
- Zhang, X.D.; Tang, B.; He, Y.N. Homotopy analysis method for higher-order fractional integro–differential equations. Comput. Math. Appl. 2011, 62, 3194–3203. [Google Scholar] [CrossRef]
- Sayevand, K. Analytical treatment of Volterra integro-differential equations of fractional order. Appl. Math. Model. 2015, 39, 4330–4336. [Google Scholar] [CrossRef]
- Jiang, W.; Tian, T. Numerical solution of nonlinear Volterra integro-differential equations of fractional order by the reproducing kernel method. Appl. Math. Model. 2015, 39, 4871–4876. [Google Scholar] [CrossRef]
- Tang, X.J.; Xu, H.Y. Fractional pseudospectral integration matrices for solving fractional differential, integral, and integro-differential equations. Commun. Nonlinear Sci. Numer. Simulat. 2016, 30, 248–267. [Google Scholar] [CrossRef]
- Song, L.; Wang, W. A new improved Adomian decomposition method and its application to fractional differential equations. Appl. Math. Model. 2013, 37, 1590–1598. [Google Scholar] [CrossRef]
- Saeedi, H.; Mohseni Moghadam, M.; Mollahasani, N.; Chuev, G.N. A CAS wavelet method for solving nonlinear Fredholm integro-differential equations of fractional order. Commun. Nonlinear Sci. Numer. Simulat. 2011, 16, 1154–1163. [Google Scholar] [CrossRef]
- Zhu, L.; Fan, Q.B. Solving fractional nonlinear Fredholm integro-differential equations by the second kind Chebyshev wavelet. Commun. Nonlinear Sci. Numer. Simul. 2012, 17, 2333–2341. [Google Scholar] [CrossRef]
- Zhu, L.; Fan, Q.B. Numerical solution of nonlinear fractional-order Volterra integro-differential equations by SCW. Commun. Nonlinear Sci. Numer. Simul. 2013, 18, 1203–1213. [Google Scholar] [CrossRef]
- Meng, Z.; Wang, L.; Li, H.; Zhang, W. Legendre wavelets method for solving fractional integro-differential equations. Int. J. Comput. Math. 2015, 92, 1275–1291. [Google Scholar] [CrossRef]
- Wang, Y.X.; Fan, Q.B. The second kind Chebyshev wavelet method for solving fractional differential equation. Appl. Math. Comput. 2012, 218, 8592–8601. [Google Scholar] [CrossRef]
- Wang, Y.X.; Yin, T.; Zhu, L. Sine-cosine wavelet operational matrix of fractional order integration and its applications in solving the fractional order Riccati differential equations. Adv. Differ. Equ. 2017, 2017, 222. [Google Scholar] [CrossRef][Green Version]
- Wang, Y.X.; Zhu, L. Solving nonlinear Volterra integro-differential equations of fractional order by using Euler wavelet method. Adv. Differ. Equ. 2017, 2017, 27. [Google Scholar] [CrossRef]
- Wang, Y.X.; Zhu, L.; Wang, Z. Solving the nonlinear variable order fractional differential equations by using Euler wavelets. CEMS 2019, 118, 339–350. [Google Scholar]
- Zhu, L.; Wang, Y.X. Numerical solutions of Volterra integral equation with weakly singular kernel using SCW method. Appl. Math. Comput. 2015, 260, 63–70. [Google Scholar] [CrossRef]
- Yi, M.X.; Huang, J. CAS wavelet method for solving the fractional integro-differential equation with a weakly singular kernel. Int. J. Comput. Math. 2015, 92, 1715–1728. [Google Scholar] [CrossRef]
- Wang, Y.X.; Zhu, L. SCW method for solving the fractional integro-differential equations with a weakly singular kernel. Appl. Math. Comput. 2016, 275, 72–80. [Google Scholar] [CrossRef]
- Nemati, S.; Lima, P.M. Numerical solution of nonlinear fractional integro-differential equations with weakly singular kernels via a modification of hat functions. Appl. Math. Comput. 2018, 327, 79–92. [Google Scholar] [CrossRef]
- Sahu, P.K.; Saha, R.S. A numerical approach for solving nonlinear fractional Volterra-Fredholm integro- differential equations with mixed boundary conditions. Int. J. Wavelets Multiresolut. Inf. Process. 2016, 14, 1650036. [Google Scholar] [CrossRef]
- Keshavarz, E.; Ordokhani, Y. A fast numerical algorithm based on the Taylor wavelets for solving the fractional integro-differential equations with weakly singular kernels. Math. Methods Appl. Sci. 2019, 42, 4427–4443. [Google Scholar] [CrossRef]
- Behera, S.; Saha, R.S. Euler wavelets method for solving fractional-order linear Volterra-Fredholm integro-differential equations with weakly singular kernel. Comput. Appl. Math. 2021, 40, 1–30. [Google Scholar] [CrossRef]
- Mirzaee, F. Numerical solution of nonlinear Fredholm-Volterra integral equations via Bell polynomials. Comput. Methods Differ. 2017, 5, 88–102. [Google Scholar]
- Yi, M.; Wang, L.; Jun, H. Legendre wavelets method for the numerical solution of fractional integro-differential equations with weakly singular kernel. Appl. Math. Model. 2016, 40, 3422–3437. [Google Scholar] [CrossRef]
- Taghipour, M.; Aminikhah, H. A fast collocation method for solving the weakly singular fractional integro-differential equation. Comput. Appl. Math. 2022, 41, 142. [Google Scholar] [CrossRef]









| t | BW | SCW | CAS | BW | SCW | CAS | BW | SCW | CAS |
|---|---|---|---|---|---|---|---|---|---|
| 0 | 6.9313 × | 8.3542 × | 3.0586 × | 8.1806 × | 1.0620 × | 1.4328 × | 9.3735 × | 1.4395 × | 6.3492 × |
| 1/6 | 2.8075 × | 1.2599 × | 4.4076 × | 3.0810 × | 1.1189 × | 2.2762 × | 4.1670 × | 2.2617 × | 1.1461 × |
| 2/6 | 2.3585 × | 9.3654 × | 3.8707 × | 3.4663 × | 1.8879 × | 1.9409 × | 3.8572 × | 5.9826 × | 9.6983 × |
| 3/6 | 6.7790 × | 2.2406 × | 1.5703 × | 8.2215 × | 4.7945 × | 6.4173 × | 1.0113 × | 1.1274 × | 2.9505 × |
| 4/6 | 2.8546 × | 1.9585 × | 2.8551 × | 3.0420 × | 5.9543 × | 1.8012 × | 4.2679 × | 1.4961 × | 9.6732 × |
| 5/6 | 2.3680 × | 3.2596 × | 9.8881 × | 3.4753 × | 8.0256 × | 5.6450 × | 3.8628 × | 2.2056 × | 2.9488 × |
| t | Exact | ||||||||
|---|---|---|---|---|---|---|---|---|---|
| LWC | LW | TW | BW | LWC | LW | TW | BW | Solution | |
| 0 | 0.0025 | 0.0016 | −0.0031 | −0.00000 | 0.0011 | 0.0006 | −0.0008 | −0.00000 | −0.00000 |
| 1/8 | −0.1007 | −0.1014 | −0.1125 | −0.10933 | −0.1023 | −0.1058 | −0.1101 | −0.10937 | −0.10938 |
| 2/8 | −0.1769 | −0.1774 | −0.1905 | −0.18750 | −0.1813 | −0.1829 | −0.1882 | −0.18750 | −0.18750 |
| 3/8 | −0.2224 | −0.2231 | −0.2373 | −0.23437 | −0.2257 | −0.2293 | −0.2351 | −0.23438 | −0.23438 |
| 4/8 | −0.2431 | −0.2382 | −0.2529 | −0.25000 | −0.2442 | −0.2447 | −0.2507 | −0.25000 | −0.25000 |
| 5/8 | −0.2230 | −0.2227 | −0.2373 | −0.23438 | −0.2281 | −0.2292 | −0.2351 | −0.23438 | −0.23438 |
| 6/8 | −0.1804 | −0.1765 | −0.1389 | −0.18750 | −0.1829 | −0.1827 | −0.1882 | −0.18750 | −0.18750 |
| 7/8 | −0.1011 | −0.0990 | −0.1389 | −0.10938 | −0.1055 | −0.1052 | −0.1101 | −0.10938 | −0.10938 |
| t | |||
|---|---|---|---|
| 0 | 2.2305 × | 6.2546 × | 4.6293 × |
| 1/6 | 1.1942 × | 2.1897 × | 1.4139 × |
| 2/6 | 2.4926 × | 4.4943 × | 6.4363 × |
| 3/6 | 2.3887 × | 1.3856 × | 1.9253 × |
| 4/6 | 8.7406 × | 5.3174 × | 4.7829 × |
| 5/6 | 1.0382 × | 6.6994 × | 2.8633 × |
| t | Exact Solution for | ||||
|---|---|---|---|---|---|
| 0.0 | 0.012888 | 0.006038 | 0.002288 | 0.000148 | 0.000000 |
| 0.1 | 0.237160 | 0.173487 | 0.133091 | 0.105128 | 0.105171 |
| 0.2 | 0.459795 | 0.345549 | 0.272531 | 0.221457 | 0.221403 |
| 0.3 | 0.695967 | 0.530027 | 0.424025 | 0.349792 | 0.349859 |
| 0.4 | 0.961655 | 0.735810 | 0.592138 | 0.491875 | 0.491825 |
| 0.5 | 1.262802 | 0.966510 | 0.779070 | 0.648966 | 0.648721 |
| 0.6 | 1.604448 | 1.225164 | 0.986627 | 0.822048 | 0.822119 |
| 0.7 | 1.999504 | 1.519514 | 1.219497 | 1.013842 | 1.013753 |
| 0.8 | 2.453014 | 1.852598 | 1.479528 | 1.225431 | 1.225541 |
| 0.9 | 2.978791 | 2.232636 | 1.771674 | 1.459687 | 1.459603 |
| t | BW | EW | BW | EW | BW | EW |
|---|---|---|---|---|---|---|
| 0 | 5.1239 × | 7.3506 × | 1.2797 × | 5.6164 × | 3.1983 × | 6.7644 × |
| 1/6 | 1.2863 × | 3.3452 × | 4.5853 × | 4.5856 × | 3.5506 × | 1.7492 × |
| 2/6 | 1.7512 × | 5.6502 × | 1.5776 × | 1.6164 × | 1.1317 × | 6.6386 × |
| 3/6 | 6.9527 × | 7.9432 × | 2.7632 × | 4.5437 × | 1.4772 × | 2.8538 × |
| 4/6 | 1.4217 × | 3.4521 × | 9.1782 × | 6.7327 × | 5.2470 × | 4.8538 × |
| 5/6 | 4.1377 × | 2.8754 × | 4.6553 × | 1.0540 × | 7.6072 × | 6.8537 × |
Disclaimer/Publisher’s Note: The statements, opinions and data contained in all publications are solely those of the individual author(s) and contributor(s) and not of MDPI and/or the editor(s). MDPI and/or the editor(s) disclaim responsibility for any injury to people or property resulting from any ideas, methods, instructions or products referred to in the content. |
© 2024 by the authors. Licensee MDPI, Basel, Switzerland. This article is an open access article distributed under the terms and conditions of the Creative Commons Attribution (CC BY) license (https://creativecommons.org/licenses/by/4.0/).
Share and Cite
Wang, Y.; Zhou, X. An Efficient Numerical Method Based on Bell Wavelets for Solving the Fractional Integro-Differential Equations with Weakly Singular Kernels. Fractal Fract. 2024, 8, 74. https://doi.org/10.3390/fractalfract8020074
Wang Y, Zhou X. An Efficient Numerical Method Based on Bell Wavelets for Solving the Fractional Integro-Differential Equations with Weakly Singular Kernels. Fractal and Fractional. 2024; 8(2):74. https://doi.org/10.3390/fractalfract8020074
Chicago/Turabian StyleWang, Yanxin, and Xiaofang Zhou. 2024. "An Efficient Numerical Method Based on Bell Wavelets for Solving the Fractional Integro-Differential Equations with Weakly Singular Kernels" Fractal and Fractional 8, no. 2: 74. https://doi.org/10.3390/fractalfract8020074
APA StyleWang, Y., & Zhou, X. (2024). An Efficient Numerical Method Based on Bell Wavelets for Solving the Fractional Integro-Differential Equations with Weakly Singular Kernels. Fractal and Fractional, 8(2), 74. https://doi.org/10.3390/fractalfract8020074
