ADI Compact Difference Scheme for the Two-Dimensional Integro-Differential Equation with Two Fractional Riemann–Liouville Integral Kernels
Abstract
1. Introduction
- We propose an ADI compact difference method for 2D integral-differential equations with two weakly singular kernels;
- We prove the stability and convergence of the established ADI compact difference scheme.
2. The Orthogonal Gauss Collocation Method
3. The Establishment of the Difference Scheme
4. Stability Analysis
5. Convergence Analysis
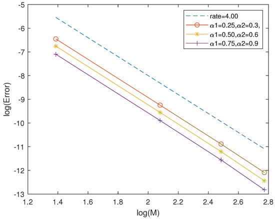
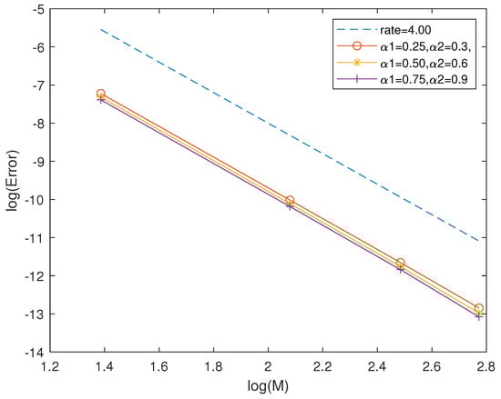
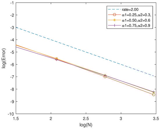
6. Numerical Experiments
7. Conclusions
Author Contributions
Funding
Data Availability Statement
Conflicts of Interest
References
- Lubich, C. Discretized fractional calculus. SIAM J. Math. Anal. 1986, 17, 704–719. [Google Scholar] [CrossRef]
- Pulkkinen, S.; Chandrasekar, V.; Niemi, T. Lagrangian integro-difference equation model for precipitation nowcasting. J. Atmos. Ocean. Technol. 2021, 38, 2125–2145. [Google Scholar] [CrossRef]
- Li, B.; Bewick, S.; Barnard, M.R.; Fagan, W.F. Persistence and spreading speeds of integro-difference equations with an expanding or contracting habitat. Bull. Math. Biol. 2016, 78, 1337–1379. [Google Scholar] [CrossRef] [PubMed]
- Li, B. Multiple invasion speeds in a two-species integro-difference competition model. J. Math. Biol. 2018, 76, 1975–2009. [Google Scholar] [CrossRef] [PubMed]
- Hastings, A. Introduction for special issue: Integro-difference equation models in ecology. Theor. Ecol. 2023, 16, 253. [Google Scholar] [CrossRef]
- Pan, S.; Lin, G. Coinvasion–coexistence travelling wave solutions of an integro-difference competition system. J. Differ. Equ. Appl. 2014, 20, 511–525. [Google Scholar] [CrossRef]
- Lin, G. Traveling wave solutions for integro-difference systems. J. Differ. Equ. 2015, 258, 2908–2940. [Google Scholar] [CrossRef]
- Xu, D.; Qiu, W.; Guo, J. A compact finite difference scheme for the fourth-order time-fractional integro-differential equation with a weakly singular kernel. Numer. Methods Partial. Differ. Equ. 2020, 36, 439–458. [Google Scholar] [CrossRef]
- Zhang, H.; Yang, X.; Xu, D. Unconditional convergence of linearized OSC algorithm for semilinear subdiffusion equation with non-smooth solution. Numer. Methods Partial. Differ. Equ. 2021, 37, 1361–1373. [Google Scholar] [CrossRef]
- Zhang, H.; Yang, X.; Liu, Y.; Liu, Y. An extrapolated CN-WSGD OSC method for a nonlinear time fractional reaction-diffusion equation. Appl. Numer. Math. 2020, 157, 619–633. [Google Scholar] [CrossRef]
- Yang, X.; Wang, W.; Zhou, Z.; Zhang, H. An efficient compact difference method for the fourth-order nonlocal subdiffusion problem. Taiwan. J. Math. 2024, 1, 1–32. [Google Scholar] [CrossRef]
- Shen, X.; Yang, X.; Zhang, H. The high-order ADI difference method and extrapolation method for solving the two-dimensional nonlinear parabolic evolution equations. Mathematics 2024, 12, 3469. [Google Scholar] [CrossRef]
- Huang, C.; An, N.; Yu, X. Unconditional energy dissipation law and optimal error estimate of fast L1 schemes for a time-fractional Cahn–Hilliard problem. Commun. Nonlinear Sci. Numer. Simul. 2023, 124, 107300. [Google Scholar] [CrossRef]
- Huang, C.; Stynes, M. α-robust error analysis of a mixed finite element method for a time-fractional biharmonic equation. Numer. Algorithms 2021, 87, 1749–1766. [Google Scholar] [CrossRef]
- An, Z.; Huang, C. Error Analysis of the Nonuniform Alikhanov Scheme for the Fourth-Order Fractional Diffusion-Wave Equation. Fractal Fract. 2024, 8, 106. [Google Scholar] [CrossRef]
- Zhang, D.; An, N.; Huang, C. Local error estimates of the fourth-order compact difference scheme for a time-fractional diffusion-wave equation. Comput. Math. Appl. 2023, 142, 283–292. [Google Scholar] [CrossRef]
- Shi, Y.; Yang, X.; Zhang, Z. Construction of a new time-space two-grid method and its solution for the generalized Burgers’ equation. Appl. Math. Lett. 2024, 158, 109244. [Google Scholar] [CrossRef]
- Nemati, S.; Lima, P.M. Numerical solution of nonlinear fractional integro-differential equations with weakly singular kernels via a modification of hat functions. Appl. Math. Comput. 2018, 327, 79–92. [Google Scholar] [CrossRef]
- Chen, H.; Xu, D.; Zhou, J. A second-order accurate numerical method with graded meshes for an evolution equation with a weakly singular kernel. J. Comput. Appl. Math. 2019, 356, 152–163. [Google Scholar] [CrossRef]
- Fakhar-Izadi, F. Fully spectral-Galerkin method for the one-and two-dimensional fourth-order time-fractional partial integro-differential equations with a weakly singular kernel. Numer. Methods Partial. Differ. Equ. 2022, 38, 160–176. [Google Scholar] [CrossRef]
- Huang, Q.; Nikan, O.; Avazzadeh, Z. Numerical analysis of alternating direction implicit orthogonal Spline collocation scheme for the hyperbolic integrodifferential equation with a weakly singular kernel. Mathematics 2022, 10, 3390. [Google Scholar] [CrossRef]
- Al-Shara’, S.; Awawdeh, F.; Rawashdeh, E.; Alsayyed, O.; Alshorman, R. Error analysis of arbitrarily high-order stepping schemes for fractional integro-differential equations with weakly singular kernels. Nonlinear Eng. 2024, 13, 20240020. [Google Scholar] [CrossRef]
- Yaghoubi, S.; Aminikhah, H.; Sadri, K. A Novel Operational Matrix Method for Solving the Fractional Delay Integro-Differential Equations with a Weakly Singular Kernel. Iran. J. Sci. 2024, 48, 1595–1611. [Google Scholar] [CrossRef]
- Mohammadi-Firouzjaei, H.; Adibi, H.; Dehghan, M. Computational study based on the Laplace transform and local discontinuous Galerkin methods for solving fourth-order time-fractional partial integro-differential equations with weakly singular kernels. Comput. Appl. Math. 2024, 43, 324. [Google Scholar] [CrossRef]
- Li, C.; Zhang, H.; Yang, X. A new linearized ADI compact difference method on graded meshes for a nonlinear 2D and 3D PIDE with a WSK. Comput. Math. Appl. 2024, 176, 349–370. [Google Scholar] [CrossRef]
- Santra, S. Analysis of a higher-order scheme for multi-term time-fractional integro-partial differential equations with multi-term weakly singular kernels. Numer. Algorithms 2024, 1–47. [Google Scholar] [CrossRef]
- Yang, X.; Zhang, Z. On conservative, positivity preserving, nonlinear FV scheme on distorted meshes for the multi-term nonlocal Nagumo-type equations. Appl. Math. Lett. 2024, 150, 108972. [Google Scholar] [CrossRef]
- Yang, X.; Zhang, Z. Analysis of a new NFV scheme preserving DMP for two-dimensional sub-diffusion equation on distorted meshes. J. Sci. Comput. 2024, 99, 80. [Google Scholar] [CrossRef]
- Yang, X.; Zhang, H.; Zhang, Q.; Yuan, G. Simple positivity preserving nonlinear finite volume scheme for subdiffusion equations on general non-conforming distorted meshes. Nonlinear Dyn. 2022, 108, 3859–3886. [Google Scholar] [CrossRef]
- Yang, X.; Zhang, Z. Superconvergence analysis of a robust orthogonal Gauss collocation method for 2D fourth-order subdiffusion equations. J. Sci. Comput. 2024, 100, 62. [Google Scholar] [CrossRef]
- Yang, X.; Zhang, H. The uniform l1 long-time behavior of time discretization for time-fractional partial differential equations with nonsmooth data. Appl. Math. Lett. 2022, 124, 107644. [Google Scholar] [CrossRef]
- Wang, Z.; Cen, D.; Mo, Y. Sharp error estimate of a compact L1-ADI scheme for the two-dimensional time-fractional integro-differential equation with singular kernels. Appl. Numer. Math. 2021, 159, 190–203. [Google Scholar] [CrossRef]
- Chen, L.; Wang, Z.; Vong, S. A second-order weighted ADI scheme with nonuniform time grids for the two-dimensional time-fractional telegraph equation. J. Appl. Math. Comput. 2024, 1–18. [Google Scholar] [CrossRef]
- Qiu, W.; Xu, D.; Chen, H.; Guo, J. An alternating direction implicit Galerkin finite element method for the distributed-order time-fractional mobile–immobile equation in two dimensions. Comput. Math. Appl. 2020, 80, 3156–3172. [Google Scholar] [CrossRef]
- Luo, M.; Qiu, W.; Nikan, O.; Avazzadeh, Z. Second-order accurate, robust and efficient ADI Galerkin technique for the three-dimensional nonlocal heat model arising in viscoelasticity. Appl. Math. Comput. 2023, 440, 127655. [Google Scholar] [CrossRef]
- Yang, X.; Qiu, W.; Chen, H.; Zhang, H. Second-order BDF ADI Galerkin finite element method for the evolutionary equation with a nonlocal term in three-dimensional space. Appl. Numer. Math. 2022, 22, 497–513. [Google Scholar] [CrossRef]
- Yang, X.; Qiu, W.; Zhang, H.; Tang, L. An efficient alternating direction implicit finite difference scheme for the three-dimensional time-fractional telegraph equation. Comput. Math. Appl. 2021, 102, 233–247. [Google Scholar] [CrossRef]
- Qiao, L.; Qiu, W.; Xu, D. Error analysis of fast L1 ADI finite difference/compact difference schemes for the fractional telegraph equation in three dimensions. Math. Comput. Simul. 2023, 205, 205–231. [Google Scholar] [CrossRef]
- Qiao, L.; Guo, J.; Qiu, W. Fast BDF2 ADI methods for the multi-dimensional tempered fractional integrodifferential equation of parabolic type. Comput. Math. Appl. 2022, 123, 89–104. [Google Scholar] [CrossRef]
- Qiao, L.; Qiu, W.; Xu, D. Crank-Nicolson ADI finite difference/compact difference schemes for the 3D tempered integrodifferential equation associated with Brownian motion. Numer. Algorithms 2023, 93, 1083–1104. [Google Scholar] [CrossRef]
- Qiao, L.; Qiu, W.; Tang, B. A fast numerical solution of the 3D nonlinear tempered fractional integrodifferential equation. Numer. Methods Partial. Differ. Equ. 2023, 39, 1333–1354. [Google Scholar] [CrossRef]
- Xu, D. The global behavior of time discretization for an abstract Volterra equation in Hilbert space. Calcolo 1997, 34, 71–104. [Google Scholar]
- Sun, Z. The Method of Order Reduction and Its Application to the Numerical Solutions of Partial Differential Equations; Science Press: Alexandria, NSW, Australia, 2009. [Google Scholar]
- Li, L.; Zhang, S.; Long, P. Alternating direction implicit compact difference scheme for the two-dimensional fractional evolution equation. Sci. Sin. Math. 2015, 45, 1265–1280. (In Chinese) [Google Scholar] [CrossRef]
- Chen, C.; Thomée, V.; Wahlbin, L.B. Finite element approximation of a parabolic integro-differential equation with a weakly singular kernel. Math. Comput. 1992, 58, 587–602. [Google Scholar] [CrossRef]




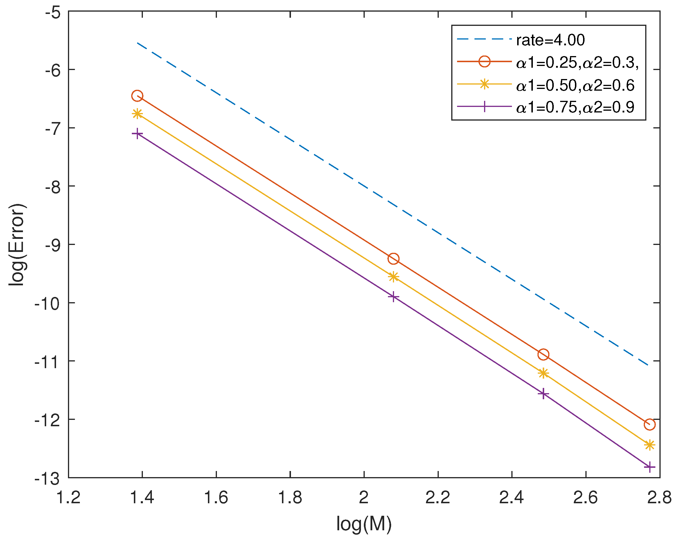
| M | (s) | ||||
|---|---|---|---|---|---|
| 0.25 | 0.3 | 4 | 7.298 × | 0.7615 | |
| 8 | 4.407 × | 4.0301 | 1.0671 | ||
| 12 | 8.674 × | 4.0425 | 2.5420 | ||
| 16 | 2.638 × | 4.1375 | 5.0950 | ||
| 0.5 | 0.6 | 4 | 6.661 × | 0.3202 | |
| 8 | 4.068 × | 4.0334 | 1.0569 | ||
| 12 | 7.815 × | 4.0686 | 2.5083 | ||
| 16 | 2.305 × | 4.2443 | 4.9861 | ||
| 0.75 | 0.9 | 4 | 6.181 × | 0.3238 | |
| 8 | 3.770 × | 4.0351 | 1.0732 | ||
| 12 | 7.202 × | 4.0824 | 2.5419 | ||
| 16 | 2.089 × | 4.3025 | 5.0803 |
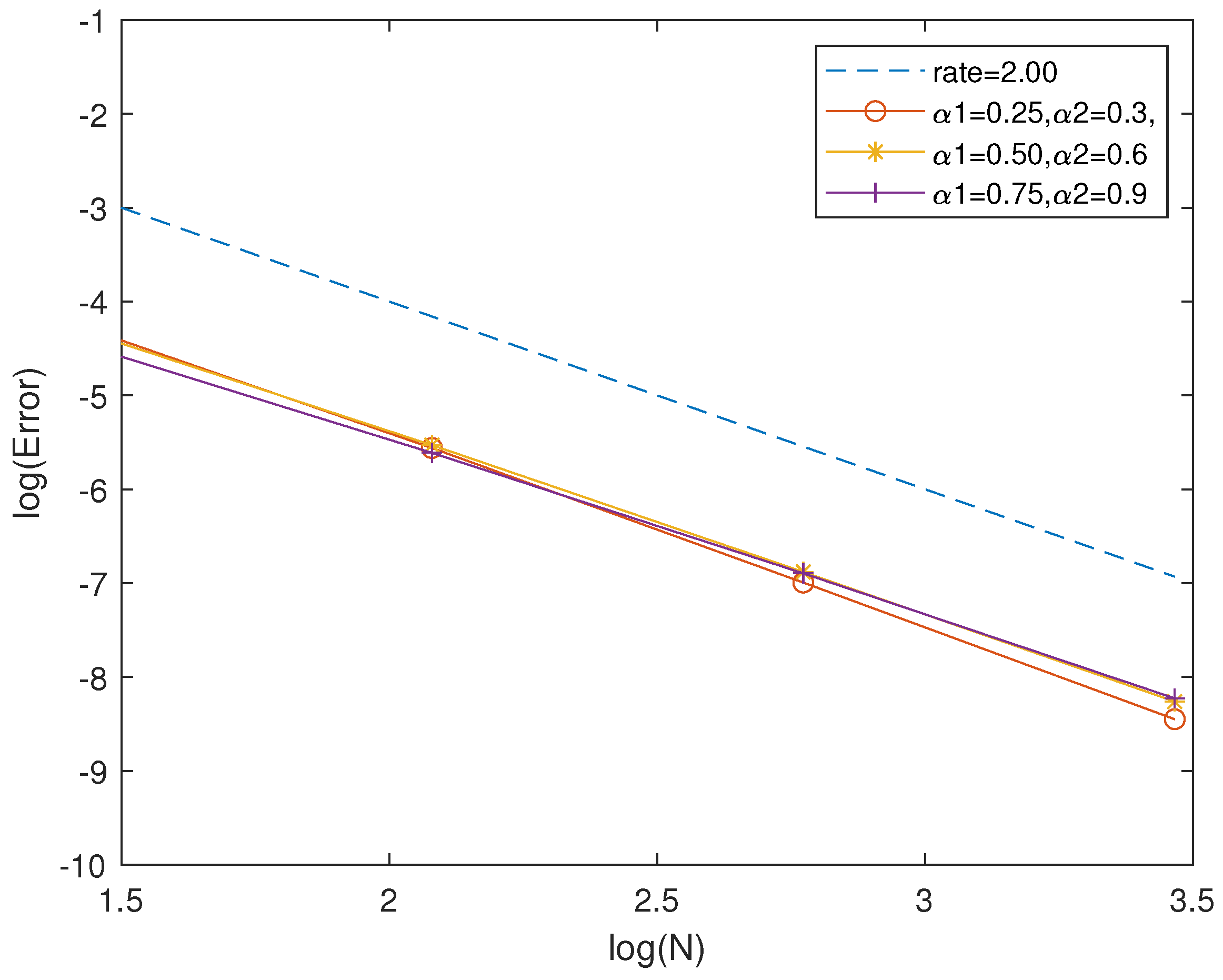
| L | (s) | ||||
|---|---|---|---|---|---|
| 0.25 | 0.3 | 4 | 1.516 × | 0.0629 | |
| 8 | 3.848 × | 1.9781 | 0.0593 | ||
| 12 | 9.175 × | 2.0582 | 0.0864 | ||
| 16 | 2.139 × | 2.0831 | 0.1083 | ||
| 0.5 | 0.6 | 4 | 1.450 × | 0.0237 | |
| 8 | 3.967 × | 1.8698 | 0.0489 | ||
| 12 | 1.028 × | 1.9367 | 0.0865 | ||
| 16 | 2.584 × | 1.9657 | 0.1090 | ||
| 0.75 | 0.9 | 4 | 1.246 × | 0.0247 | |
| 8 | 3.654 × | 1.7693 | 0.0470 | ||
| 12 | 1.012 × | 1.8348 | 0.0751 | ||
| 16 | 2.672 × | 1.8765 | 0.1055 |
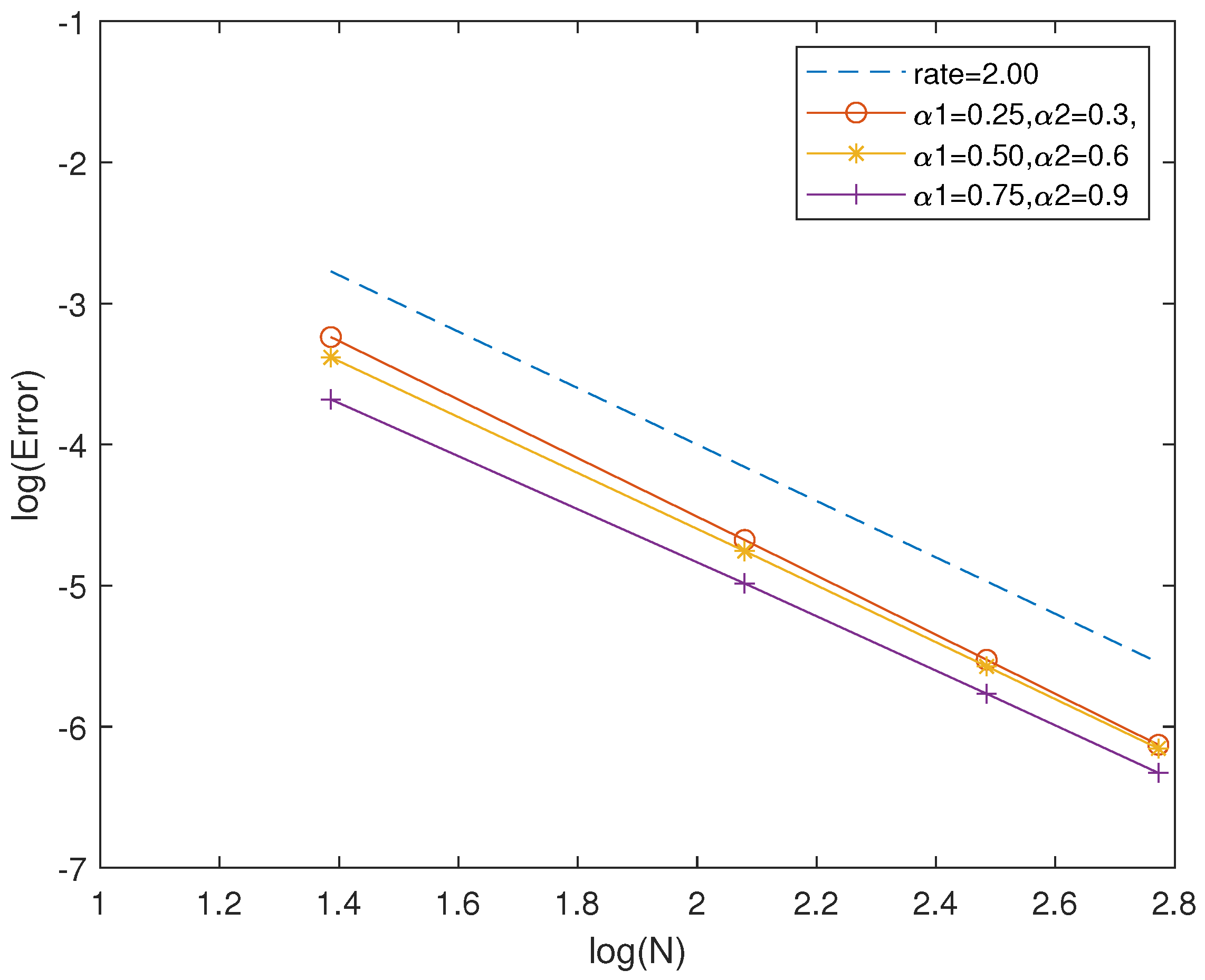
| M | (s) | ||||
|---|---|---|---|---|---|
| 0.25 | 0.3 | 4 | 1.577 × | 1.8036 | |
| 8 | 9.643 × | 4.0314 | 8.2353 | ||
| 12 | 1.866 × | 4.0513 | 20.3788 | ||
| 16 | 5.617 × | 4.1729 | 38.6431 | ||
| 0.5 | 0.6 | 4 | 1.161 × | 1.6295 | |
| 8 | 7.086 × | 4.0347 | 8.2273 | ||
| 12 | 1.356 × | 4.0779 | 20.3511 | ||
| 16 | 3.955 × | 4.2832 | 38.6035 | ||
| 0.75 | 0.9 | 4 | 8.259 × | 1.6314 | |
| 8 | 5.029 × | 4.0375 | 8.3722 | ||
| 12 | 9.538 × | 4.1003 | 20.3594 | ||
| 16 | 2.706 × | 4.3796 | 38.5780 |
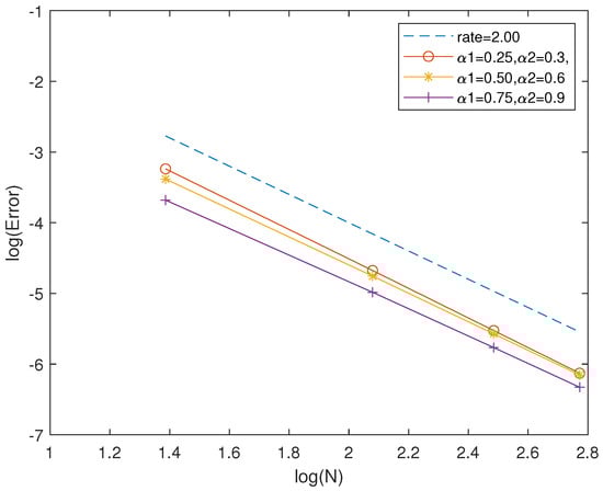
| L | (s) | ||||
|---|---|---|---|---|---|
| 0.25 | 0.3 | 4 | 3.924 × | 0.1230 | |
| 8 | 9.315 × | 2.0746 | 0.2005 | ||
| 12 | 3.983 × | 2.0954 | 0.4125 | ||
| 16 | 2.179 × | 2.0957 | 0.4903 | ||
| 0.5 | 0.6 | 4 | 3.397 × | 0.0849 | |
| 8 | 8.605 × | 1.9810 | 0.1643 | ||
| 12 | 3.802 × | 2.0149 | 0.4063 | ||
| 16 | 2.124 × | 2.0231 | 0.4983 | ||
| 0.75 | 0.9 | 4 | 2.521 × | 0.0693 | |
| 8 | 6.843 × | 1.8813 | 0.1958 | ||
| 12 | 3.131 × | 1.9284 | 0.3280 | ||
| 16 | 1.786 × | 1.9505 | 0.5946 |
Disclaimer/Publisher’s Note: The statements, opinions and data contained in all publications are solely those of the individual author(s) and contributor(s) and not of MDPI and/or the editor(s). MDPI and/or the editor(s) disclaim responsibility for any injury to people or property resulting from any ideas, methods, instructions or products referred to in the content. |
© 2024 by the authors. Licensee MDPI, Basel, Switzerland. This article is an open access article distributed under the terms and conditions of the Creative Commons Attribution (CC BY) license (https://creativecommons.org/licenses/by/4.0/).
Share and Cite
Chen, Z.; Zhang, H.; Chen, H. ADI Compact Difference Scheme for the Two-Dimensional Integro-Differential Equation with Two Fractional Riemann–Liouville Integral Kernels. Fractal Fract. 2024, 8, 707. https://doi.org/10.3390/fractalfract8120707
Chen Z, Zhang H, Chen H. ADI Compact Difference Scheme for the Two-Dimensional Integro-Differential Equation with Two Fractional Riemann–Liouville Integral Kernels. Fractal and Fractional. 2024; 8(12):707. https://doi.org/10.3390/fractalfract8120707
Chicago/Turabian StyleChen, Ziyi, Haixiang Zhang, and Hu Chen. 2024. "ADI Compact Difference Scheme for the Two-Dimensional Integro-Differential Equation with Two Fractional Riemann–Liouville Integral Kernels" Fractal and Fractional 8, no. 12: 707. https://doi.org/10.3390/fractalfract8120707
APA StyleChen, Z., Zhang, H., & Chen, H. (2024). ADI Compact Difference Scheme for the Two-Dimensional Integro-Differential Equation with Two Fractional Riemann–Liouville Integral Kernels. Fractal and Fractional, 8(12), 707. https://doi.org/10.3390/fractalfract8120707
