Deterministic and Stochastic Analysis of Fractional-Order Legendre Filter with Uncertain Parameters
Abstract
1. Introduction
2. Preliminaries
2.1. FO Legendre Polynomial
2.2. Flower Pollination Algorithm: A Metaheuristic Optimization Approach
2.3. Representation of Uncertain Parameters
3. Deterministic and Stochastic Analysis of FO Legendre Filter
3.1. Deterministic Formulation
3.2. Stochastic Formulation
3.3. Monte Carlo Simulation (MCS)
4. Results and Discussion
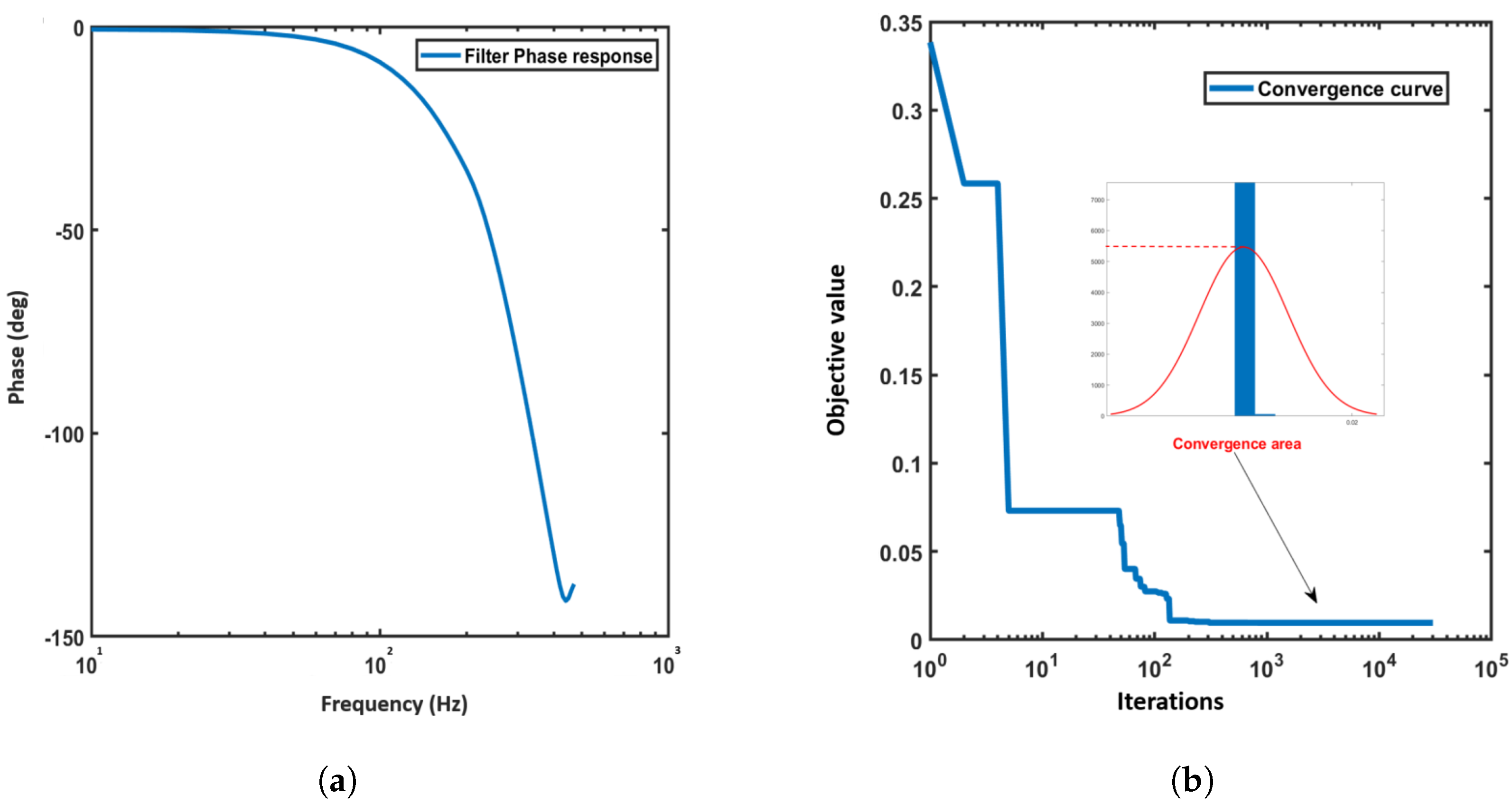
4.1. Optimal Values of Coefficients
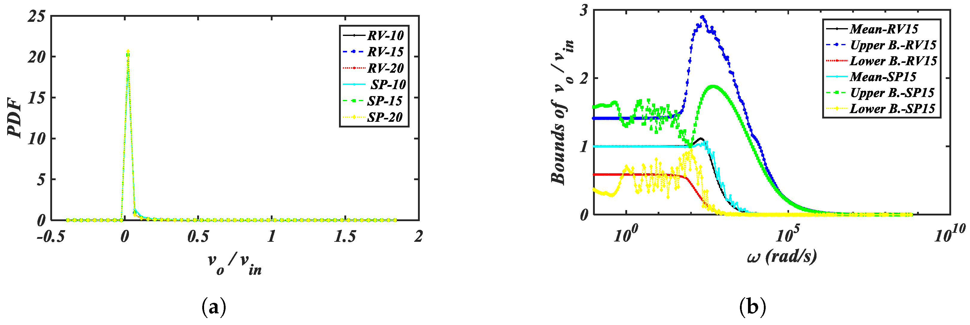
4.2. Uncertainty in System Parameters
5. Conclusions
Author Contributions
Funding
Data Availability Statement
Conflicts of Interest
References
- AbdelAty, A.M.; Soltan, A.; Ahmed, W.A.; Radwan, A.G. On the analysis and design of fractional-order chebyshev complex filter. Circuits Syst. Signal Process. 2018, 37, 915–938. [Google Scholar] [CrossRef]
- Kilbas, A.A.; Srivastava, H.M.; Trujillo, J.J. Theory and Applications of Fractional Differential Equations; Elsevier: Amsterdam, The Netherlands, 2006; Volume 204. [Google Scholar]
- Onyejegbu, E.; Zhumabay, Z.; Marzuki, A.; Ukaegbu, I.A. A variable bandwidth memristor-based legendre optimum low pass filter for radio frequency applications. Eng. Rep. 2022, 4, e12513. [Google Scholar] [CrossRef]
- Radwan, A.G.; Soliman, A.M.; Elwakil, A.S. First-order filters generalized to the fractional domain. J. Circuits Syst. Comput. 2008, 17, 55–66. [Google Scholar] [CrossRef]
- Amgad, A.; AbdelAty, A.M.; Elbarawy, M.T.; Attia, H.A.; Radwan, A.G. Design of a low-pass filter from fractional chebyshev polynomials. In Proceedings of the 2021 International Conference on Microelectronics (ICM), Cairo, Egypt, 19–22 December 2021; pp. 144–147. [Google Scholar]
- Amgad, A.; AbdelAty, A.; Attia, H.A.; Elbarawy, M.T.M.M. Designing of fractional order legendre filter using optimization techniques. In Proceedings of the 2023 40th National Radio Science Conference (NRSC), Smart Village, Egypt, 30 May–1 June 2023; Volume 1, pp. 230–237. [Google Scholar]
- Puangdownreong, D. Fractional order PID controller design for DC motor speed control system via flower pollination algorithm. ECTI Trans. Electr. Eng. Electron. Commun. 2019, 17, 14–23. [Google Scholar] [CrossRef]
- Swain, S.; Tripathy, M.C.; Behera, S. Particle swarm optimization-based bandpass filter using switched-fractional capacitors. IETE J. Res. 2023, 69, 9183–9194. [Google Scholar] [CrossRef]
- Kumar, M. Fractional order FIR differentiator design using particle swarm optimization algorithm. Int. J. Numer. Model. Electron. Netw. Devices Fields 2019, 32, e2514. [Google Scholar] [CrossRef]
- He, X.; Hu, Z. Optimization design of fractional-order chebyshev low-pass filters based on genetic algorithm. Int. J. Circuit Theory Appl. 2022, 50, 1420–1441. [Google Scholar] [CrossRef]
- Khamei, K.; Nabavi, A.; Hessabi, S. Design of variable fractional delay FIR filters using genetic algorithm. In Proceedings of the 10th IEEE International Conference on Electronics, Circuits and Systems, Sharjah, United Arab Emirates, 14–17 December 2003; Volume 1, pp. 48–51. [Google Scholar]
- Imik, O.; Alagoz, B.B. Discretization of fractional order transfer functions by weighted multi-objective particle swarm optimization method. In Proceedings of the 2017 International Artificial Intelligence and Data Processing Symposium (IDAP), Malatya, Turkey, 16–17 September 2017; pp. 1–5. [Google Scholar] [CrossRef]
- Kumar, L.; Dhillon, S.S.; Kumar, P. Fractional-order filter-based enhanced full state feedback control design with multi-objective formulation using grey wolf optimization algorithm. Optim. Control. Appl. Methods 2023, 44, 1854–1872. [Google Scholar] [CrossRef]
- Zhumabay, Z.; Dolzhikova, I. Notice of retraction: Memristor-based optimum legendre low-pass filter. In Proceedings of the 2018 International Conference on Computing and Network Communications (CoCoNet), Astana, Kazakhstan, 15–17 August 2018; pp. 1–7. [Google Scholar]
- Rangaiah, P.K.B.; Kumaraswamy, H.V. Design and implementation of high performance miniature uniplanar microwave low pass filter up to 15 GHz. Indian J. Sci. Technol. 2017, 10, 11. [Google Scholar] [CrossRef]
- Selcuk, O.; Kizilbey, O. Design and realization of different microstrip low pass filter topologies by aid of AWR microwave office iFilter wizard. In Proceedings of the 2015 9th International Conference on Electrical and Electronics Engineering (ELECO), Bursa, Turkey, 26–28 November 2015; pp. 908–910. [Google Scholar]
- Winder, S. Analog and Digital Filter Design; Elsevier: Oxford, UK, 2002. [Google Scholar]
- Jordehi, A.R. How to deal with uncertainties in electric power systems? A review. Renew. Sustain. Energy Rev. 2018, 96, 145–155. [Google Scholar] [CrossRef]
- Reilly, A.C.; Baroud, H.; Flage, R.; Gerst, M.D. Sources of uncertainty in interdependent infrastructure and their implications. Reliab. Eng. Syst. Saf. 2021, 213, 107756. [Google Scholar] [CrossRef]
- Crauel, H.; Gundlach, M.; Zähle, M. On the link between fractional and stochastic calculus. In Stochastic Dynamics; Springer: New York, NY, USA, 1999; pp. 305–325. [Google Scholar]
- Hafiz, F.M. The fractional calculus for some stochastic processes. Stoch. Anal. Appl. 2004, 22, 507–523. [Google Scholar] [CrossRef]
- El-Sayed, A.A.; El-Tawil, M.A.; Saif, M.S.M.; Hafiz, F.M. The mean square riemann-liouville stochastic fractional derivative and stochastic fractional order differential equation. Math. Sci. Res. J. 2005, 9, 142. [Google Scholar]
- Anastassiou, G.A. Foundation of stochastic fractional calculus with fractional approximation of stochastic processes. Rev. Real Acad. Cienc. Exactas Fis. Nat. Ser. A Mat. 2020, 114, 89. [Google Scholar] [CrossRef]
- Tsai, J.S.-H.; Chien, T.-H.; Guo, S.-M.; Chang, Y.-P.; Shieh, L.-S. State-space self-tuning control for stochastic fractional-order chaotic systems. IEEE Trans. Circuits Syst. Regul. Pap. 2007, 54, 632–642. [Google Scholar] [CrossRef]
- Ates, A.; Kavuran, G.; Alagoz, B.B.; Yeroglu, C. Improvement of IIR filter discretization for fractional order filter by discrete stochastic optimization. In Proceedings of the 2016 39th International Conference on Telecommunications and Signal Processing (TSP), Vienna, Austria, 27–29 June 2016; pp. 583–586. [Google Scholar]
- Bansal, R. Stochastic filtering in fractional-order circuits. Nonlinear Dyn. 2021, 103, 1117–1138. [Google Scholar] [CrossRef]
- Geng, H.; Wang, Z.; Yi, X.; Alsaadi, F.E.; Cheng, Y. Tobit Kalman filtering for fractional-order systems with stochastic nonlinearities under round-robin protocol. Int. J. Robust Nonlinear Control. 2021, 31, 2348–2370. [Google Scholar] [CrossRef]
- Liu, D.; Li, T.; Wang, Y. Adaptive dual synchronization of fractional-order chaotic system with uncertain parameters. Mathematics 2022, 10, 470. [Google Scholar] [CrossRef]
- Yan, Z.; Guirao, J.L.G.; Saeed, T.; Chen, H.; Liu, X. Different stochastic resonances induced by multiplicative polynomial trichotomous noise in a fractional order oscillator with time delay and fractional Gaussian noise. Fractal Fract. 2022, 6, 191. [Google Scholar] [CrossRef]
- Deng, X.; Wei, L. Adaptive neural network finite-time control of uncertain fractional-order systems with unknown dead-zone fault via command filter. Fractal Fract. 2022, 6, 494. [Google Scholar] [CrossRef]
- Wang, Y.; He, X.; Li, T. Asymptotic and Pinning Synchronization of Fractional-Order Nonidentical Complex Dynamical Networks with Uncertain Parameters. Fractal Fract. 2023, 7, 571. [Google Scholar] [CrossRef]
- Pan, W.; Li, T.; Wang, Y. The multi-switching sliding mode combination synchronization of fractional order non-identical chaotic system with stochastic disturbances and unknown parameters. Fractal Fract. 2022, 6, 102. [Google Scholar] [CrossRef]
- Silverman, R.A. Special Functions and Their Applications; Courier Corporation: North Chelmsford, MA, USA, 1972. [Google Scholar]
- Kazem, S.; Abbasbandy, S.; Kumar, S. Fractional-order legendre functions for solving fractional-order differential equations. Appl. Math. Model. 2013, 37, 5498–5510. [Google Scholar] [CrossRef]
- Rida, S.Z.; El-Sayed, A.M. Fractional calculus and generalized Rodrigues formula. Appl. Math. Comput. 2004, 147, 29–43. [Google Scholar] [CrossRef]
- Yang, X.-S. Flower pollination algorithm for global optimization. In Proceedings of the Unconventional Computation and Natural Computation: 11th International Conference, UCNC 2012, Orléans, France, 3–7 September 2012; pp. 240–249. [Google Scholar]
- Rodrigues, D.; Silva, G.F.; Papa, J.P.; Marana, A.N.; Yang, X.-S. EEG-based person identification through binary flower pollination algorithm. Expert Syst. Appl. 2016, 62, 81–90. [Google Scholar] [CrossRef]
- Ghanem, R.G.; Spanos, P.D. Stochastic Finite Elements: A Spectral Approach; Courier Corporation: San Francisco, CA, USA, 2003. [Google Scholar]
- Robert, C.P.; Casella, G. Monte Carlo Statistical Methods; Springer: New York, NY, USA, 1999; Volume 2. [Google Scholar]
- Valsa, J.; Dvorak, P.; Friedl, M. Network model of the CPE. Radioengineering 2011, 20, 619–626. [Google Scholar]
- Singh, N.; Mehta, U.; Kothari, K.; Cirrincione, M. Optimized fractional low and highpass filters of (1+α) order on FPAA. Bull. Pol. Acad. Sci. Tech. Sci. 2020, 68, 635–644. [Google Scholar] [CrossRef]
- Tepljakov, A.; Petlenkov, E.; Belikov, J.; Finajev, J. Fractional-order controller design and digital implementation using FOMCON toolbox for MATLAB. In Proceedings of the 2013 IEEE Conference on Computer Aided Control System Design (CACSD), Hyderabad, India, 28–30 August 2013; pp. 340–345. [Google Scholar]

















| Technique | Strengths | Weaknesses | Ref. |
|---|---|---|---|
| FPA | Good convergence speed, avoids local optima | May require parameter tuning | [5,6] |
| Particle Swarm Optimization | Easy to implement, good for continuous problems | Can become stuck in local optima, requires parameter tuning. | [8] |
| Genetic Algorithm | Handles complex design spaces | Computationally expensive. | [10] |
| Multi-Objective Optimization | Efficiently handles multiple objectives | Requires careful selection of objective functions | [12] |
| Multi-Objective Grey Wolf Optimizer | Efficient, considers multiple objectives | Requires careful choice of fitness functions, can become trapped in local optima, requires parameter adjustment. | [13] |
| 17 k | 3 k | 500 | 86 k | 92 M | 15 M | 2.4 M | 480 M |
| 0.57n | 0.41n | 0.29n | 0.72n | 11p | 8.1p | 6p | 17p |
| Cases | Method of Solution | Mean | R | |||
|---|---|---|---|---|---|---|
| Panel A | ||||||
| Case I | RV-10 | 0.830373 | 0.830345 | 0.830403 | ||
| RV-15 | 0.830373 | 0.830329 | 0.830421 | |||
| RV-20 | 0.830373 | 0.83032 | 0.830429 | |||
| Case II | RV-10 | 0.830545 | 0.755866 | 0.906476 | ||
| RV-15 | 0.830503 | 0.709208 | 0.946041 | |||
| RV-20 | 0.830347 | 0.666891 | 0.979523 | |||
| Case III | RV-10 | 0.032239 | 0.0009 | 1.097766 | 1.098667 | |
| RV-15 | 0.023326 | 0.000925 | 1.361637 | 1.362561 | ||
| RV-20 | 0.017608 | 0.000748 | 1.290129 | 1.290877 | ||
| Case IV | RV-10 | 0.830373 | 0.830373 | 0.830373 | ||
| RV-15 | 0.830373 | 0.830373 | 0.830373 | |||
| RV-20 | 0.830373 | 0.830373 | 0.830375 | |||
| Case V | RV-10 | 0.830323 | 0.749329 | 0.919012 | ||
| RV-15 | 0.830493 | 0.705008 | 0.967192 | |||
| RV-20 | 0.830323 | 0.682629 | 0.984649 | |||
| Case VI | RV-10 | 0.032248 | 0.00091 | 1.273025 | 1.273935 | |
| RV-15 | 0.024067 | 0.000332 | 1.386386 | 1.386718 | ||
| RV-20 | 0.019206 | 0.000141 | 1.438257 | 1.438398 | ||
| Panel B | ||||||
| Case I | RV-10 | 0.830373 | 0.830345 | 0.830403 | ||
| RV-15 | 0.830373 | 0.830329 | 0.830421 | |||
| RV-20 | 0.830373 | 0.83032 | 0.830429 | |||
| Case II | RV-10 | 0.830545 | 0.755866 | 0.906476 | ||
| RV-15 | 0.830503 | 0.709208 | 0.946041 | |||
| RV-20 | 0.830347 | 0.666891 | 0.979523 | |||
| Case III | RV-10 | 0.032239 | 0.0009 | 1.097766 | 1.098667 | |
| RV-15 | 0.023326 | 0.000925 | 1.361637 | 1.362561 | ||
| RV-20 | 0.017608 | 0.000748 | 1.290129 | 1.290877 | ||
| Case IV | RV-10 | 0.830373 | 0.830373 | 0.830373 | ||
| RV-15 | 0.830373 | 0.830373 | 0.830373 | |||
| RV-20 | 0.830373 | 0.830373 | 0.830373 | |||
| Case V | RV-10 | 0.830323 | 0.749329 | 0.919012 | ||
| RV-15 | 0.830493 | 0.705008 | 0.967192 | |||
| RV-20 | 0.830323 | 0.682629 | 0.984649 | |||
| Case VI | RV-10 | 0.032248 | 0.00091 | 1.273025 | 1.273935 | |
| RV-15 | 0.024067 | 0.000332 | 1.386386 | 1.386718 | ||
| RV-20 | 0.019206 | 0.000141 | 1.438257 | 1.438398 | ||
Disclaimer/Publisher’s Note: The statements, opinions and data contained in all publications are solely those of the individual author(s) and contributor(s) and not of MDPI and/or the editor(s). MDPI and/or the editor(s) disclaim responsibility for any injury to people or property resulting from any ideas, methods, instructions or products referred to in the content. |
© 2024 by the authors. Licensee MDPI, Basel, Switzerland. This article is an open access article distributed under the terms and conditions of the Creative Commons Attribution (CC BY) license (https://creativecommons.org/licenses/by/4.0/).
Share and Cite
Hassan, M.A.; Amgad, A.; Galal, O.H. Deterministic and Stochastic Analysis of Fractional-Order Legendre Filter with Uncertain Parameters. Fractal Fract. 2024, 8, 645. https://doi.org/10.3390/fractalfract8110645
Hassan MA, Amgad A, Galal OH. Deterministic and Stochastic Analysis of Fractional-Order Legendre Filter with Uncertain Parameters. Fractal and Fractional. 2024; 8(11):645. https://doi.org/10.3390/fractalfract8110645
Chicago/Turabian StyleHassan, Mohammed A., Andrew Amgad, and Osama H. Galal. 2024. "Deterministic and Stochastic Analysis of Fractional-Order Legendre Filter with Uncertain Parameters" Fractal and Fractional 8, no. 11: 645. https://doi.org/10.3390/fractalfract8110645
APA StyleHassan, M. A., Amgad, A., & Galal, O. H. (2024). Deterministic and Stochastic Analysis of Fractional-Order Legendre Filter with Uncertain Parameters. Fractal and Fractional, 8(11), 645. https://doi.org/10.3390/fractalfract8110645

