Abstract
This work studies an integro-fractional differential equation (I-FrDE) with a generalized symmetric singular kernel. The scientific approach in this study was to transform the integro-differential equation (I-DE) into a mixed integral equation (MIE) with an Able kernel in fractional time and a generalized symmetric singular kernel in position. Additionally, the authors first set conditions on the singular kernels, whether related to time or position, and then transform the integral equation into an integral operator. Secondly, the solution is unique, which is proven by means of fixed-point theorems. In combination with the solution rules, the convergence of the solution is studied, and the error equation resulting from the solution is a stable error-integral influencer equation. Next, to solve this MIE, the authors apply a special technique to separate the variables and produce an integral equation in position with coefficients, in the form of an integral operator in time. As the most effective technique for resolving singular integral equations, the Toeplitz matrix method (TMM) is utilized to convert the integral equation into an algebraic system for the purpose of solving the position problem. The existence of a solution to the linear algebraic system in Banach space is then demonstrated. Lastly, certain applications where the functions of the generalized symmetric kernel are cubic or exponential and it assumes the logarithmic, Cauchy, or Carleman form are discussed. In each case, Maple 18 is also used to compute the error estimate.
1. Introduction
The utilization of fractional equations has rapidly broadened and diversified in a brief span of time. Previous research described the construction of fractional integro-differential equations (FrI-DEs) from electromagnetic waves in a dielectric material [1]. The authors in [2] have focused on the stability analysis of the RLC model by using Hadamard Fr-DEAs which have been transformed into an equivalent I-DE. Solutions to a specific type of Cauchy problem with integral conditions for FrI-DEs have been demonstrated to exist throughout. The use of fixed-point methods has also been demonstrated, as shown in references [3,4], where the authors studied the existence of a solution to FrI-DE using fixed-point theorems and the Banach concept, respectively. In [5], Hölder’s inequality and Schauder’s fixed point theorem were used to prove the existence and uniqueness of a mild solution for FrI-DEs with nonlocal initial conditions in Banach spaces.
Several writers are intrigued by various approaches for solving FrI-DEs. The authors in reference [6] employed fractional-order Euler functions to solve FrI-DEs. The introduction of the generalized hat functions and operational matrix in [7] aimed to address the solution of the FrI-DEs of Bratu type. The Volterra fractional integral equation (V-FrIE) was obtained from a linear I-DE [8]. The sinc-collocation approach was introduced in [9] as a solution for Volterra-Fredholm integro-differential equations (V-FI-DEs). The authors in [10] presented a Barycentric interpolation collocation method to solve FrF-VI-DE. The generalized monotone iterative technique was devised to solve the Caputo FrI-DEs of order in [11]. The Bernoulli polynomial approach was introduced in [12] as a solution of mixed-dimensional difference I-DEs with coefficients of variables. In [13], an analysis of spectrum relationships was conducted on an integral operator including a singular kernel. A fundamental theorem for spectral relations was derived, utilizing Chebyshev’s polynomials. The FIE was derived in [14], after using an asymptotic method to separate the variables in a mixed integral equation (MIE). Several numerical solutions have been applied to treat MIEs in [15,16,17,18,19].
Given the importance of applications of MIEs in various sciences such as mathematical physics, genetic engineering, communication issues in media mechanics, and other sciences, researchers’ interest has focused on how to study a mixed equation in space and position. Fractional time has been chosen to show its greatest effect in small times, and the position kernel has been chosen as discontinuous (singular) so that the study is broader and more comprehensive than the continuous kernels.
It is noted that in the previous papers that included fractional time, some authors used one of the following methods: semi-analytical or numerical methods in which the kernel is continuous. However, in this paper, the method of solving the problem differed by choosing a technique in separating the variables that transforms the part related to fractional time into an integral operator of an IE in position. Also, the authors’ choice of a singular kernel in the general form and the use of the TMM transformed the singular integrals in the equation into numerical integrals that are easy to solve.
This paper is organized as follows: we introduce the I-FrDE with a general form of a generalized symmetric singular kernel in position, under certain conditions in the space where is the time. In Section 2, a MIE is derived from I-FrDE. Then, in Section 3, under certain conditions, the existence of a unique solution is proved using the Banach fixed point theorem. In Section 4, the stability of the solution and the convergence of the error are discussed. In Section 5, the separation of variables method is used to obtain an integral equation in position. The coefficients of the IE, in this case, are variable in time , and the fractional . In Section 6, TMM is used to transform the IE to a system of linear algebra equations (SLAEs). In Section 7, the existence of a unique solution of the SLAEs is proved, and its stability is considered. In Section 8, many numerical results are considered and obtained when the discontinuous kernel takes the general form of some different famous form. Additionally, each case’s related error is calculated. In Section 9, important points in this work are discussed. A general conclusion is given in Section 10.
2. Formulation of an Integro-Fractional Differential Equation
In this section, let us recall some basics of fractional integrals. To achieve the goal of this paper, the Riemann-Liouville fractional integral will be applied, taking advantage of the initial condition of I-FrDE.
Let represent the Caputo defined fractional differential operator of order , , defined by wherein is the usual integral differential operator of order and is the Riemann-Liouville integer operator of order .
Definition 1.
([7]). For all , the left Riemann-Liouville fractional integral operator of order , of the function , is defined as
In addition, we require the following necessary condition for .
here, .
Now, consider, in the space the I-FrDE is as follows:
with the condition
The above initial value problem (3) can be transformed using (2) to a Volterra-Fredholm integral equation (V-FIE) of the second kind with Able kernel in Volterra integral part.
where
It obvious that when , Equation (2) will satisfy the initial condition Special cases of the generalized singular kernel are as follows
Here, we discuss several special cases of the general symmetric singular kernel:
- (i)
- the weak singularity forms:
- (ii)
- where, in general, is a smooth function.
Generally, as special cases, let in the two cases above, the solutions of which have been established by many authors via different numerical approaches; for an overview of such methods, see [7,9,12,13,18].
As novel cases in our numerical examples, we consider in application (1) that , whereas in application (2), we assume that
3. The Existence and Uniqueness Solution of Integro-Fractional Differential Equation
To discuss the existence of a unique solution of the IE (4), we assume the following conditions:
- (i)
- The kernel of position in the space , satisfies the discontinuity condition
- (ii)
- The kernel , satisfies for any constant the continuous function , and the integralsare continuous functions of .In general, for a constant , leti.e., we have
- (iii)
- The norm of the given function is defined as
- (iv)
- The norm of the unknown function in the space is defined asTo use the Banach fixed point theorem, we write (4) in the integral operator formwhereNow, considering the following two lemmas, we will now prove the integral operator (5)’s boundedness and continuity.
Lemma 1.
The integral operatorof Equation (5), under the conditions (i)–(iii) maps into itself.
Proof.
We follow
In the light of (5), we write
Applying Cauchy–Schwarz inequality, we get
where
Using the conditions (ii) and (iv), we have
Inequality (6) shows that the operator maps the ball into itself where
and inequality (7) leads to the following
Hence, the operator is bounded. □
Lemma 2.
The integral operator (5), under the conditions (i)–(iv) is continuous.
Proof.
For the two functions and , in the space , the integral operator of Equation (5), with the aid of conditions (i), (ii), and (iv), leads to
Finally, we have
The integral operator (5) is bounded and continuous. Moreover, under the inequalities (8) and (9), the operator (5) is a contraction mapping. By using Banach fixed point theorem, we have a unique solution. □
Corollary 1.
The integral Equation (4) has a unique solution under the principal condition
4. Convergence of a General Solution and Stability of the Error
This section is devoted to discussing the convergence solution of the MIE in Section 4.1. Also, in Section 4.2, we represent the error equation as a MIE. Moreover, the stability of the error is discussed.
4.1. The Convergence of the Solution
For the convergence of the solution of Equation (4), we construct the sequence of functions , then pick up two functions such that
and so, we get
Assume
hence, we have
Lemma 3.
Under the conditions (i)–(iv), the infinite series is uniformly convergent to a continuous solution .
Proof.
Taking the norm of both sides of (11) and applying conditions (i), (ii), and (iv), we follow
Hence, after using (12) we have
and then letting and using condition (iii), we get
By induction, we obtain
since as increases, decreases. Moreover, given that decreases according to increasing . Hence, □
4.2. Stability of the Error
Assume the approximate solution of the general equation is
hence, we have
Let
Therefore, we get
The error represents a V-FIE and its series is convergent
Since , the radius decreasing as is increasing. Consequently, the error is a decreasing function according to increasing and the radius of convergence Also, we deduce that
5. Separation of Variables
Many authors were able to use various numerical techniques to approximate the unknown function of mixed problems. One such method is time division (quadratic method) [20], which transforms the mixed equation in position and time into a system of FIEs in position only. The other method is the separation of variables method [13] to treat the solution of FIEs at specific times. Assume the unknown function and the known function belong to the same space , and have the same function of time, i.e.,
Here, belong to .
Then, LV-FIE (4), can be written in the form
where
After using the method of the separation of variables according to Equation (16), it enables the authors to obtain an integral equation in position, and the constant of the equation becomes a time variable and the fractional coefficient . This shows the reader the extent of the influence of time and the fractional coefficient on the results of the integral equation to be solved.
6. The Modified Toeplitz Matrix Method (See [7,18])
The Toeplitz matrix method (TMM) is one of the popular numerical methods for solving single-integral equations. It has many advantages such as high accuracy and simplicity. The integral equation, after using TMM, has been converted to a SLAEs that can be easily solved. In this section, we apply TMM to obtain the numerical solution of the FIE (17) with a symmetric generalized singular kernel k(|ω(u) – ω(v)|), and for this, write the integral term in the form
Then, approximate the integral term in the right-hand side by
Here, and are two arbitrary functions to be determined and R is the estimate error.
As the principle idea of TMM, to obtain the values of the two functions , , we assume , respectively, in formula (19), where is a monotonic increasing function. This yields a set of two equations in terms of two unknown functions where
and in these cases, the error is vanishing.
Solving the two Equations (20) and (21), we obtain
In view of Equations (22) and (23), the Formula (18) becomes
where
Putting , and using the following notations,
Thus, the integral Equation (17) takes the following linear algebraic system
where
The matrix can be written as , where
is a Toeplitz matrix of order and
represents a matrix of order .
The error term is determined from Equation (16) by letting to obtain
7. The Convergence of the Linear Algebraic System
In order to prove the convergence of the kernel and thus the linear system (25), we construct the sequence of functions , and following the lemma, prove that this sequence is a Cauchy sequence.
Lemma 4.
Letbe a sequence of continuous kernels that satisfy the condition
then there exists a positive integer , such that
Proof.
Since,
then,
Using condition (29) and taking in account condition (i), there exists a positive integer , such that the above inequality can be adapted in the form
Since is arbitrary, (30) is obtained. □
Now, we prove the convergence of the LAS (25) in the Banach space . For this, we consider the following lemma.
Lemma 5.
If the kernel of position satisfies
then
Proof.
From the Formulae (19) and (21), we have
Applying Hölder inequality for , and , to each integral term of the above inequality, we obtain
Summing from , we obtain
In view of condition (a), there exists a small constant , such that
Since each term of is bounded above, for , we deduce
Similarly, for Formula (22), we can find a small constant , such that
In the light of (27), with the help of (31) and (32), there exists a small constant , such that
By virtue of Formula (21), we get for
Applying Hölder inequality, then summing from to , the above inequality can be adapted in the form
Putting , , we obtain, as ,
Similarly, in view of Formula (33), we can prove
Finally, we have
□
8. Numerical Results
In this section, we will solve the mixed integral Equation (4) numerically with parameter and . The exact solution is The position interval will be divided into units.
Application 1:
In the following examples, the kernel in the form
Example 1. (logarithmic-quadratic kernel)
To find the function F(u,t), we use the notation
Using the exact solution in (35), we have the position integral equation in the form
where
It is clear that the function is bounded. Also, for the position kernel condition,
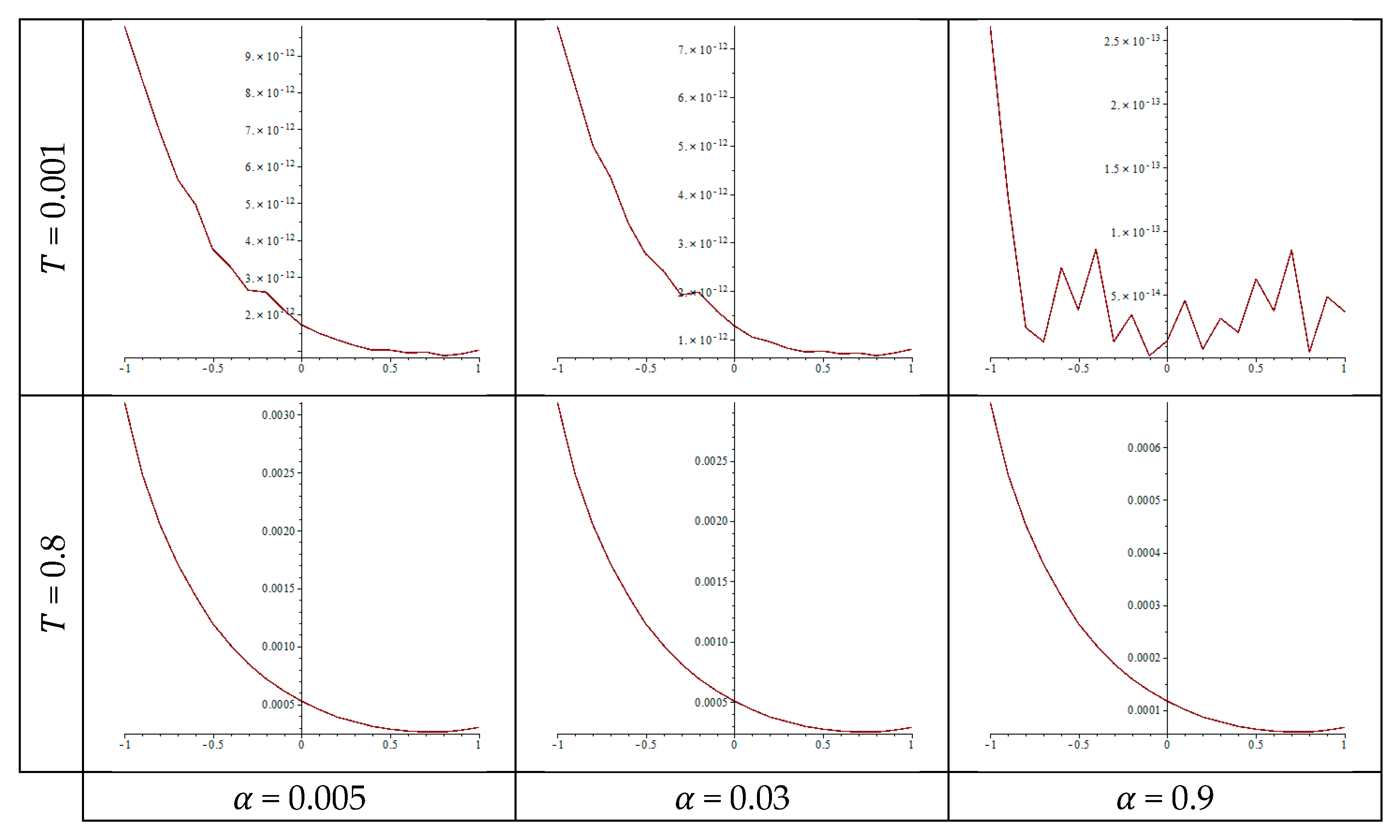
Table 1 and Table 2 include the exact solution, numerical values, and related errors when the kernel takes a logarithmic type of a cubic function w(u) = u3. Also, Figure 1 shows the error graphically in six curves for the calculations made for time values of 0.001 and 0.8 with different values of the parameter α = 0.005, 0.03, and 0.9. When , the highest error is of order 10−1, whereas the lowest error obtained in Table 1 is of order 10−10.
Table 1.
The exact solution, the numerical solution, and the estimate of error at .
Table 2.
The exact solution, the numerical solution, and the estimate of error at .
Figure 1.
The error according to the time , the parameter , and a logarithmic kernel.
Example 2. (Carleman-cubic function)
Following the same method as Example (1) by using the exact solution and the free function in Equation
The above equation of is a bounded and a continuous function. Hence, the condition of normality of is satisfied.
Furthermore, for the position kernel condition,
and after integrating we obtain
It is clear that the condition (i) is satisfied.
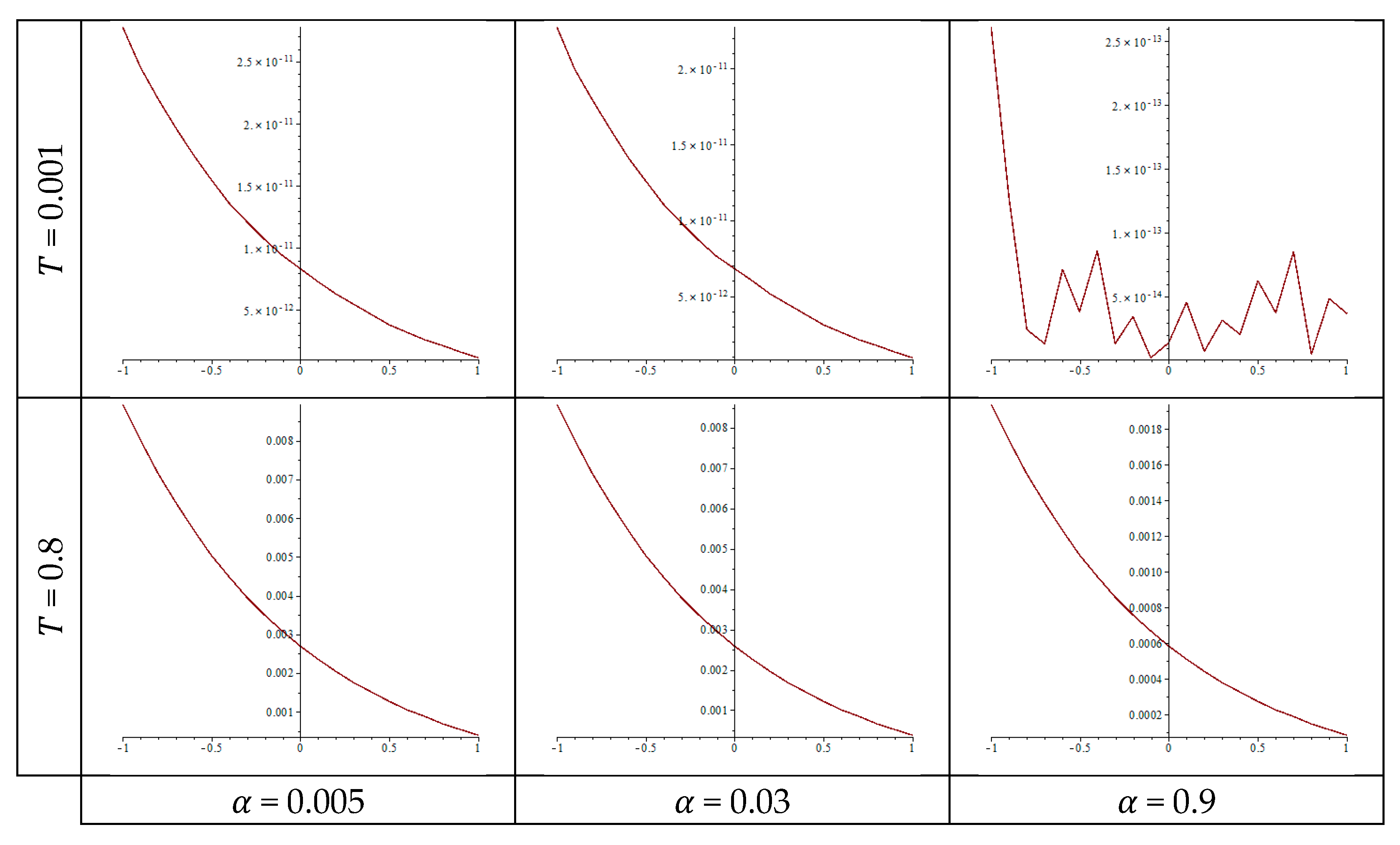
The computed values of the exact and approximate solutions, along with the associated errors, when the kernel takes the Carleman function, are shown in Table 3, Table 4, Table 5 and Table 6. For the fractional coefficient values and , where the Carleman coefficient takes values , and . Figure 2 shows the error values graphically in 12 curves. It is seen that the largest error is of order 10−1 at in Table 6, whilst the smallest error is of order 10−10 at in Table 3.
Table 3.
The exact solution, numerical solution, and error estimate at .
Table 4.
The exact solution, approximate solution, and error estimate at .
Table 5.
The exact solution, numerical solution, and error estimate at .
Table 6.
The exact solution, approximate solution, and error estimate at .
Figure 2.
The error via the time and the parameters , for the Carleman kernel.
Example 3. (Cauchy-cubic kernel)
According to the assumption of an exact solution and the time function , the free position function of the above function becomes
From the above formula, we deduce that
Also, for the condition of position kernel, we have
Hence, we have
Table 7 and Table 8 indicate the calculated values of the exact and approximate solutions, as well as the corresponding errors, when the kernel takes the Cauchy kind. At , the fractional coefficient values and are used. The error curves are displayed in Figure 3. The highest inaccuracy in Table 8 is of order 10−1 at t = 0.8, whereas the lowest error in Table 7 is of order 10−10 at .
Table 7.
The exact solution, the corresponding solution, and the estimate of error at .
Table 8.
The exact solution, the approximate solution, and the estimate of error at .
Figure 3.
The error according to the time and the parameter with a Cauchy kernel.
Application 2:
In this application, and hence the kernel is expressed as with the exact solution
Example 4. (Logarithmic-exponential kernel)
Hence, the position term takes the form
is obviously bounded and continuous for . Additionally, given condition (i), we perform the following
After integrating, we have
The exact solution, numerical values, and associated errors when the kernel takes a logarithmic type of an exponential function are shown in Table 9 and Table 10. For calculations performed when the time takes the values 0.001 and 0.8 with various values of the parameter , and . Figure 4 indicates the error for these cases in six curves. The lowest accuracy obtained in Table 10 is of order 10−2 and the highest is of order 10−10 in Table 9.
Table 9.
The exact solution, the numerical solution, and the error estimate at .
Table 10.
The exact solution, the numerical solution, and the corresponding error at .
Figure 4.
The error over the time and the parameter with a log-exponential kernel.
Example 5. (Cauchy-exponential kernel)
After separating the variables, we have )/)}, where is bounded and continuous at −1 < u < 1
For the condition of position kernel
Table 11 and Table 12 indicate the calculated values of the exact and approximate solutions, as well as the corresponding errors, when the kernel takes the Cauchy kind as a function of an exponential function . The fractional coefficient values are and at . The error values are shown graphically in 6 curves in Figure 5. The maximum error is of order 10−2 at in Table 12, while the minimum error in Table 11 is of order 10−10 at .
Table 11.
The exact solution, the numerical solution, and the error estimate at .
Table 12.
The exact solution, the numerical solution, and the error at .
Figure 5.
The error according to the time and the parameter for a Cauchy-exponential kernel.
9. Discussion
Regarding the results given in the prior tables, we notice the following:
- In all previous cases, the numerical solutions obtained were very close to the exact solution.
- If time is fixed, the higher value of α, the smaller error.
- As the time values increase, the error increases for any fixed values of α.
- For the Carleman kernel, the error increased with decreasing values of .
- It is evident how the symmetry of accounts for the symmetry in the results for generalized kernels in application (1).
- Because of the respective qualities of the functions, the error in the findings for is more affected by time than its equivalent with .
- It is obvious that the TMM is effective in solving this article’s issue.
10. Conclusions
In this study, we investigated the solution of an I-FrDE, under an initial condition with different forms of generalized symmetric singular kernels The main goal is to accurately approximate the solution of the MIE which transformed from I-FrDE by applying the Riemann-Liouville fractional integral. A unique solution to MIE has been demonstrated using Picard’s method. To solve the MIE, we used the separation of variables method and then solved the obtained Fredholm integral equation by the TMM. The existence of a unique solution of the linear algebraic system in the Banach space has been proven. Many applications have been solved and their results calculated, which achieved high accuracy. All numerical results were computed using Maple18 software. The presented work opens doors to deal with more complex problems in real analysis and numerical computation fields.
Author Contributions
Conceptualization, M.A.A.; Methodology, M.A.A. and S.A.R.; Software, S.A.R.; Validation, S.A.R.; Writing—original draft, S.A.R.; Writing—review and editing, M.A.A.; Supervision, M.A.A.; Project administration, S.A.R.; Funding acquisition, S.A.R. All authors have read and agreed to the published version of the manuscript.
Funding
This research received no external funding.
Data Availability Statement
Data are contained within the article.
Conflicts of Interest
The authors declare that they have no conflicts of interest.
References
- Tarasov, V.E. Fractional integro-differential equations for electromagnetic waves in dielectric media. Theor. Math. Phys. 2009, 158, 355–359. [Google Scholar] [CrossRef]
- Murugesan, M.; Shanmugam, S.; Rhaima, M.; Ravi, R. Analysis of Non-Local Integro-Differential Equations with Hadamard Fractional Derivatives: Existence, Uniqueness, and Stability in the Context of RLC Models. Fractal Fract. 2024, 8, 409. [Google Scholar] [CrossRef]
- Hao, Y.; Li, Q. Existence of Solutions for Fractional Integro-differential Equations with Impulsive and Integral Conditions. J. Nonlinear Model. Anal. 2019, 1, 221–235. [Google Scholar]
- Verma, P.; Kumar, M. An analytical solution with existence and uniqueness conditions for fractional integro-differential equations. Int. J. Model. Simul. Sci. Comput. 2020, 11, 2050045. [Google Scholar] [CrossRef]
- Abbas, M.I. Existence and uniqueness of mittage-leffler-ulam stable solution for fractional integrodifferential equations with nonlocal initial conditions. Eur. J. Pure Appl. Math. 2015, 8, 478–498. [Google Scholar]
- Wang, Y.; Zhu, L.; Wang, Z. Fractional-order Euler functions for solving fractional integro-differential equations with weakly singular kernel. Adv. Differ. Equ. 2018, 2018, 1–13. [Google Scholar] [CrossRef]
- Li, M.; Wang, L.; Liu, Y. Generalized hat functions method for solving fractional integro-differential equations of bratu-type. IAENG Int. J. Comput. Sci. 2017, 44, 105–111. [Google Scholar]
- Raad, S.; Alqurashi, K. Toeplitz matrix and Nyström method for solving linear fractional integro-differential equation. Eur. J. Pure Appl. Math. 2022, 15, 796–809. [Google Scholar] [CrossRef]
- Alkan, S.; Hatipoglu, V.F. Approximate solutions of Volterra-Fredholm integro-differential equations of fractional order. Tbilisi Math. J. 2017, 10, 1–13. [Google Scholar] [CrossRef]
- Li, J.; Zhao, K.; Su, X. Barycentric Interpolation Collocation Method for Solving Fractional Linear Fredholm-Volterra Integro-Differential Equation. J. Funct. Spaces 2023, 1, 7918713. [Google Scholar] [CrossRef]
- Devi, J.V.; Sreedhar, C.V. Generalized monotone iterative method for Caputo fractional integro-differential equation. Eur. J. Pure Appl. Math. 2016, 9, 346–359. [Google Scholar]
- Mahdy, A.M.; Abdou, M.A.; Mohamed, D.S. Computational methods for solving higher-order (1 + 1) dimensional mixed-difference integro-differential equations with variable coefficients. Mathematics 2023, 11, 2045. [Google Scholar] [CrossRef]
- Alhazmi, S.E.; Abdou, M.A.; Basseem, M. Physical phenomena of spectral relationships via quadratic third kind mixed integral equation with discontinuous kernel. AIMS Math. 2023, 8, 24379–24400. [Google Scholar] [CrossRef]
- Jan, A.R. An asymptotic model for solving mixed integral equation in position and time. J. Math. 2022, 2022, 8063971. [Google Scholar] [CrossRef]
- Jebreen, H.B. On the Multiwavelets Galerkin Solution of the Volterra–Fredholm Integral Equations by an Efficient Algorithm. J. Math. 2020, 2020, 2672683. [Google Scholar] [CrossRef]
- Micula, S. On some iterative numerical methods for mixed Volterra–Fredholm integral equations. Symmetry 2019, 11, 1200. [Google Scholar] [CrossRef]
- Geçmen, M.Z.; Çelik, E. Numerical solution of Volterra–Fredholm integral equations with Hosoya polynomials. Math. Methods Appl. Sci. 2021, 44, 11166–11173. [Google Scholar] [CrossRef]
- Esmaeili, H.; Rostami, M.; Hooshyarbakhsh, V. Numerical solution of Volterra-Fredholm integral equation via hyperbolic basis functions. Int. J. Numer. Model. Electron. Netw. Devices Fields 2021, 34, e2823. [Google Scholar] [CrossRef]
- WANG, Y.; ZHOU, X. An Efficient Numerical Method Based on Bell Wavelets for Solving the Fractional Integro-Differential Equations with Weakly Singular Kernels. Fractal Fract. 2024, 8, 74. [Google Scholar] [CrossRef]
- Abdou, M.A.; El-Kojok, M.M.; Raad, S.A. On the solution of Fredholm-Volterra integral equation with discontinuous kernel in time. J. Adv. Math. 2014, 9, 2553–2563. [Google Scholar]
Disclaimer/Publisher’s Note: The statements, opinions and data contained in all publications are solely those of the individual author(s) and contributor(s) and not of MDPI and/or the editor(s). MDPI and/or the editor(s) disclaim responsibility for any injury to people or property resulting from any ideas, methods, instructions or products referred to in the content. |
© 2024 by the authors. Licensee MDPI, Basel, Switzerland. This article is an open access article distributed under the terms and conditions of the Creative Commons Attribution (CC BY) license (https://creativecommons.org/licenses/by/4.0/).




