Fractal-Fractional-Order Modeling of Liver Fibrosis Disease and Its Mathematical Results with Subinterval Transitions
Abstract
1. Introduction
2. Elementary Results
3. Existence and Stability Analysis
3.1. Existence of a Unique Solution
- Let there be, for , satisfying
- The real values , satisfy
3.2. Stability Results
- (i)
- , ;
- (ii)
- ,
4. Numerical Scheme
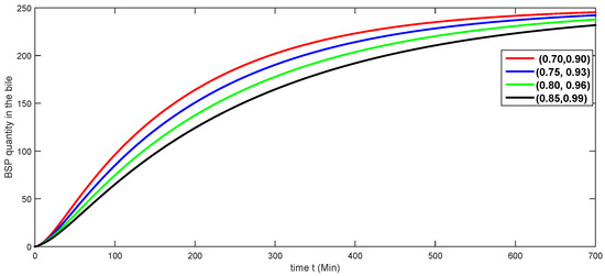
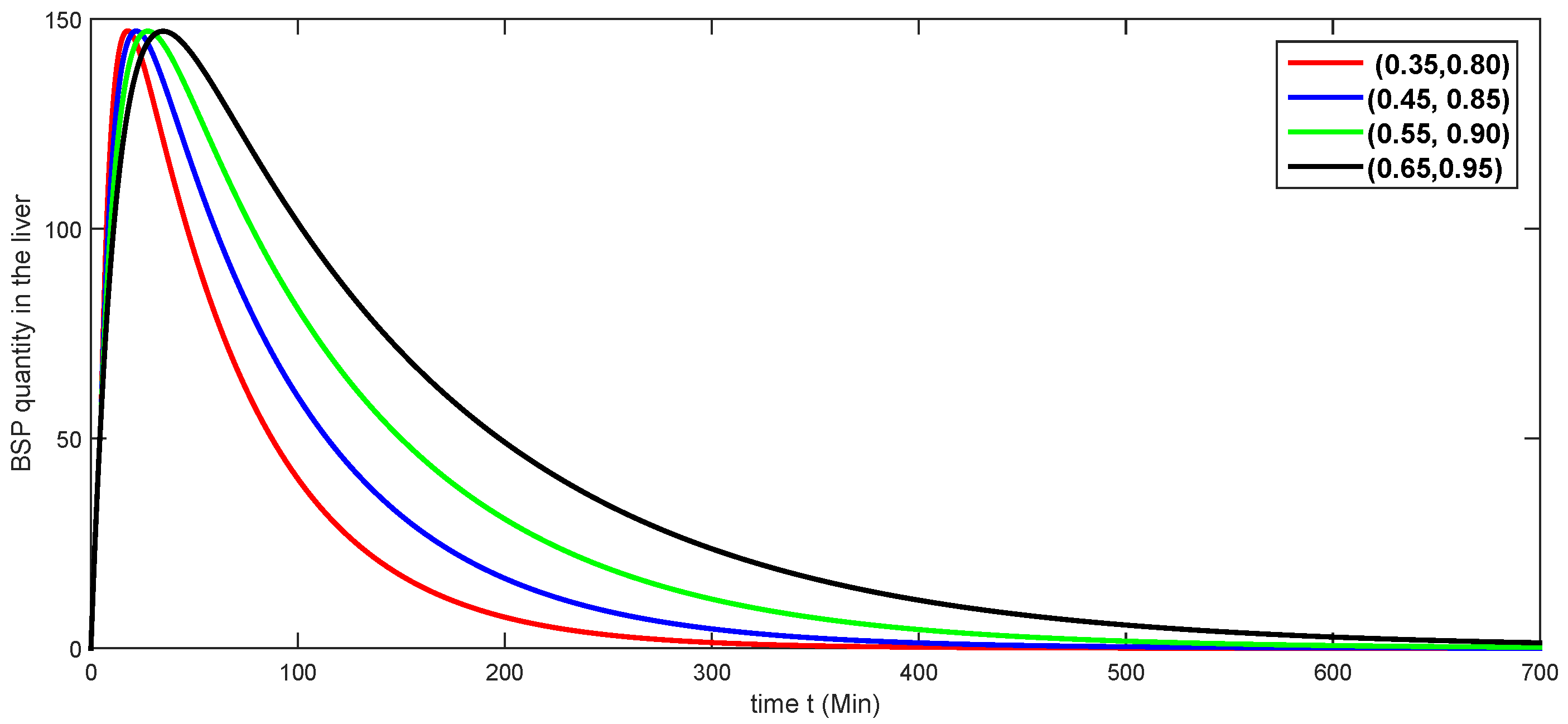
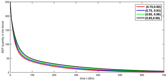
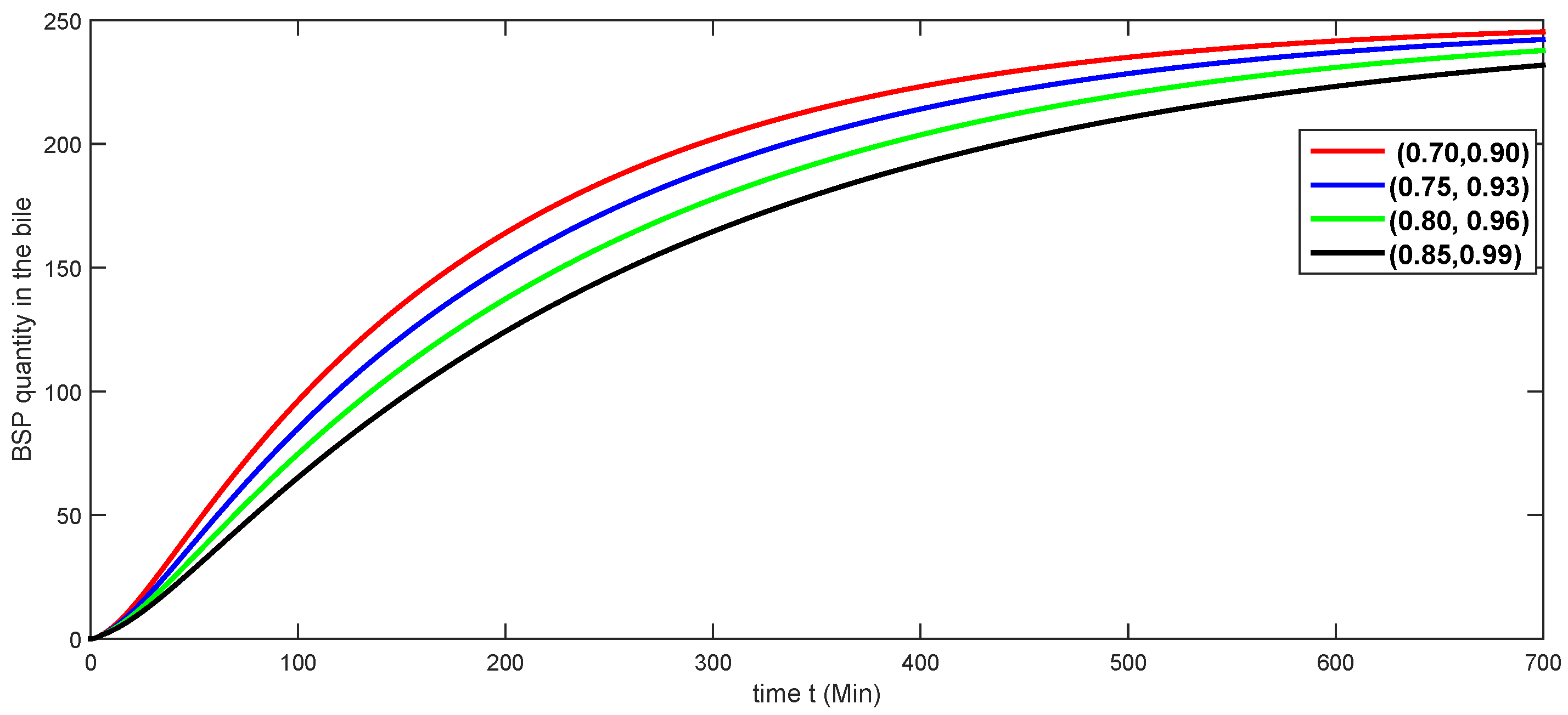
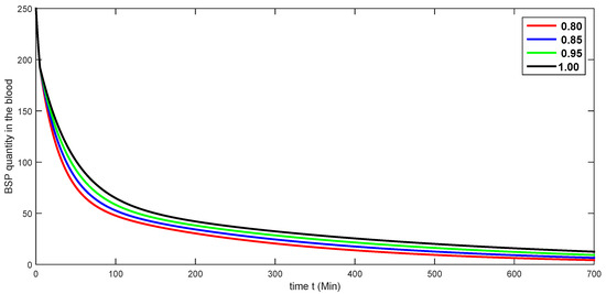
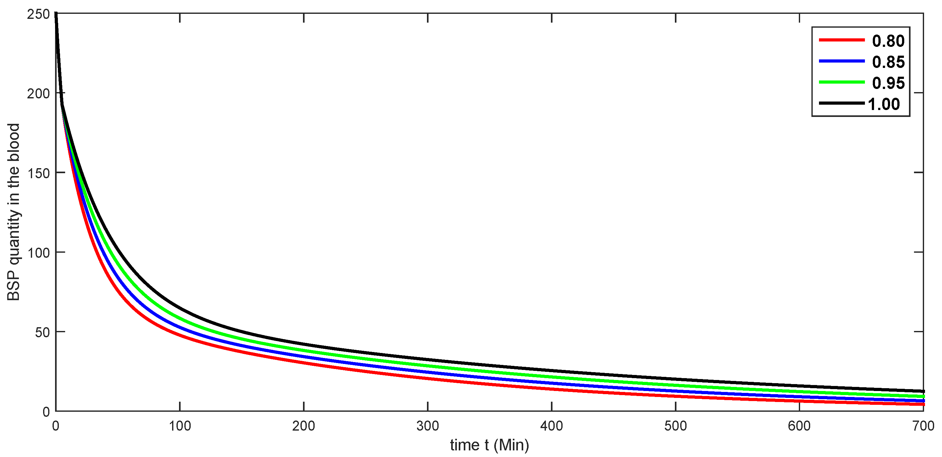
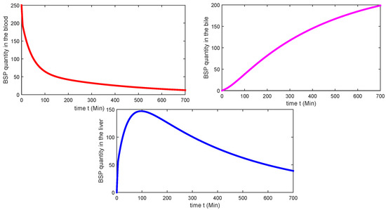
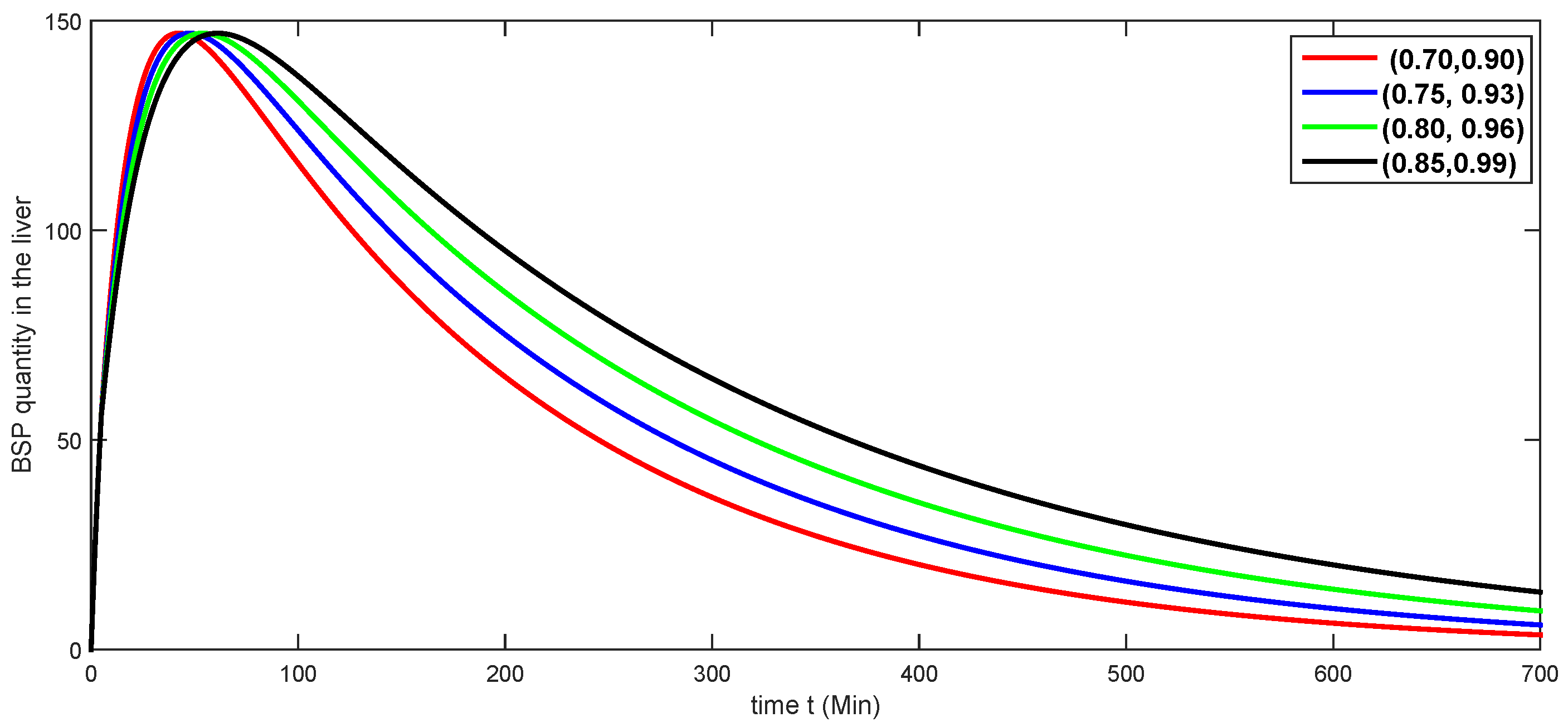
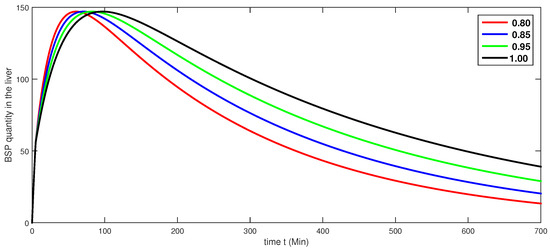
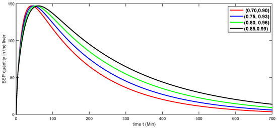
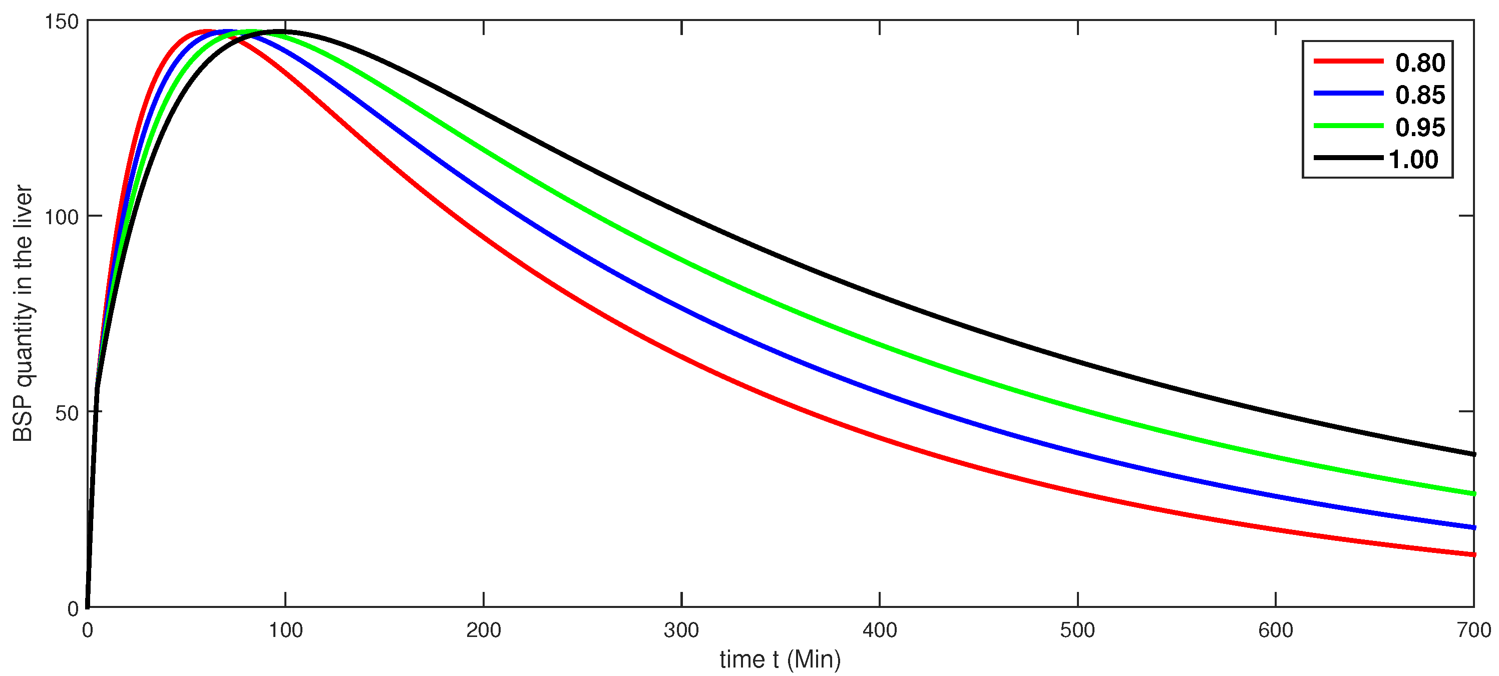
5. Simulations of the Numerical Results
6. Discussion
7. Conclusions
Author Contributions
Funding
Data Availability Statement
Acknowledgments
Conflicts of Interest
Correction Statement
References
- Abdel-Misih, S.R.Z.; Bloomston, M. Liver anatomy. Surg. Clin. N. Am. 2010, 90, 643–653. [Google Scholar] [PubMed]
- Sepanlou, S.G.; Safiri, S.; Bisignano, C.; Ikuta, K.S.; Merat, S.; Saberifiroozi, M.; Padubidri, J.R. The global, regional, and national burden of cirrhosis by cause in 195 countries and territories, 1990–2017: A systematic analysis for the Global Burden of Disease Study 2017. Lancet Gastroenterol. Hepatol. 2020, 5, 245–266. [Google Scholar] [CrossRef] [PubMed]
- Lehman, E.M.; Wilson, M.L. Epidemiology of hepatitis viruses among hepatocellular carcinoma cases and healthy people in Egypt: A systematic review and meta-analysis. Int. J. Cancer 2009, 124, 690–697. [Google Scholar] [CrossRef] [PubMed]
- Lumeij, J.T. Avian clinical biochemistry. In Clinical Biochemistry of Domestic Animals; Academic Press: Cambridge, MA, USA, 1997; pp. 857–883. [Google Scholar]
- Islam, R.; Alam, M.J. Evaluation of liver protective activity of Moringa oleifera bark extract in paracetamol induced hepatotoxicity in rats. BioRxiv 2019, 513002. [Google Scholar]
- Latrach, K.; Taoudi, M.A.; Zeghal, A. Some fixed point theorems of the Schauder and the Krasnosel’skii type and application to nonlinear transport equations. J. Differ. Equ. 2006, 221, 256–271. [Google Scholar] [CrossRef]
- Ahmad, B.; Ntouyas, S.K.; Alsaedi, A. New existence results for nonlinear fractional differential equations with three-point integral boundary conditions. Adv. Differ. Equ. 2011, 2011, 107384. [Google Scholar]
- Dhage, B.C.; Dhage, S.B.; Buvaneswari, K. Existence of mild solutions of nonlinear boundary value problems of coupled hybrid fractional integro differential equations. J. Fract. Calc. Appl. 2019, 10, 191–206. [Google Scholar]
- Devi, A.; Kumar, A. Hyers-Ulam stability and existence of solution for hybrid fractional differential equation with p-Laplacian operator. Chaos Solitons Fractals 2022, 156, 111859. [Google Scholar] [CrossRef]
- Vu, H.; Rassias, J.M.; Hoa, N.V. Hyers-Ulam stability for boundary value problem of fractional differential equations with ψ-Caputo fractional derivative. Math. Methods Appl. Sci. 2023, 46, 438–460. [Google Scholar] [CrossRef]
- Čelechovská, L. A simple mathematical model of the human liver. Appl. Math. 2004, 49, 227–246. [Google Scholar] [CrossRef]
- Calvetti, D.; Kuceyeski, A.; Somersalo, E. A mathematical model of liver metabolism: From steady state to dynamic. J. Phys. Conf. Ser. 2008, 124, 012012. [Google Scholar] [CrossRef]
- Repetto, R.; Tweedy, J.H. Mathematical modelling of the circulation in the liver lobule. J. Biomech. Eng. 2010, 132, 111011. [Google Scholar]
- Friedman, A.; Hao, W. Mathematical modelling of liver fibrosis. Math. Biosci. Eng. 2017, 14, 143–164. [Google Scholar] [CrossRef]
- Shah, K.; Alqudah, M.A.; Jarad, F.; Abdeljawad, T. Semi-analytical study of Pine Wilt Disease modelwith convex rate under Caputo-Febrizio fractional order derivative. Chaos Soliton Fractals 2020, 135, 109754. [Google Scholar] [CrossRef]
- Khan, H.; Alzabut, J.; Shah, A.; He, Z.Y.; Etemad, S.; Rezapour, S.; Zada, A. On fractal-fractional waterborne disease model: A study on theoretical and numerical aspects of solutions via simulations. Fractals 2023, 31, 2340055. [Google Scholar] [CrossRef]
- Aldwoah, K.A.; Almalahi, M.A.; Shah, K. Theoretical and Numerical Simulations on the Hepatitis B Virus Model through a Piecewise Fractional Order. Fractal Fract. 2023, 7, 844. [Google Scholar] [CrossRef]
- Aldwoah, K.A.; Almalahi, M.A.; Hleili, M.; Alqarni, F.A.; Aly, E.S.; Shah, K. Analytical study of a modified-ABC fractional order breast cancer model. J. Appl. Math. Comput. 2024, 70, 3685–3716. [Google Scholar] [CrossRef]
- Aldwoah, K.A.; Almalahi, M.A.; Shah, K.; Awadalla, M.; Egami, R.H. Dynamics analysis of dengue fever model with harmonic mean type under fractal-fractional derivative. AIMS Math. 2024, 9, 13894–13926. [Google Scholar] [CrossRef]
- Podlubny, L. Fractional Differential Equations. In An Introduction to Fractional Derivatives, Fractional Differential Equations, to Methods of Their Solution and Some of Their Applications; Academic Press: San Diego, CA, USA, 1999; Volume 198. [Google Scholar]
- Ameen, I.G.; Sweilam, N.H.; Ali, H.M. A fractional-order model of human liver: Analytic-approximate and numerical solutions comparing with clinical data. Alex. Eng. J. 2021, 60, 4797–4808. [Google Scholar] [CrossRef]
- Caputo, M.; Fabrizio, M. A new definition of fractional derivative without singular kernel. Prog. Fract. Differ. Appl. 2015, 1, 73–85. [Google Scholar]
- Atangana, A.; Baleanu, D. New fractional derivative with non-local and non-singular kernel. Therm. Sci. 2016, 20, 757–763. [Google Scholar] [CrossRef]
- Rezapour, S.; Etemad, S.; Mohammadi, H. A mathematical analysis of a system of Caputo-Fabrizio fractional differential equations for the anthrax disease model in animals. Adv. Diff. Equ. 2020, 2020, 481. [Google Scholar] [CrossRef]
- Atangana, A. Fractal-fractional differentiation and integration: Connecting fractal calculus and fractional calculus to predict complex system. Chaos Solitons Fractals 2017, 102, 396–406. [Google Scholar] [CrossRef]
- Shah, K.; Abdeljawad, T. Study of radioactive decay process of uranium atoms via fractals-fractional analysis. S. Afr. J. Chem. Eng. 2024, 48, 63–70. [Google Scholar] [CrossRef]
- Khan, H.; Aslam, M.; Rajpar, A.E.H.; Chu, Y.M.; Etemad, S.; Rezapour, S.; Ahmad, H. A new fractal-fractional hybrid model for studying climate change on coastal ecosystems from the mathematical point of view. Fractals 2024, 32, 2440015. [Google Scholar] [CrossRef]
- Shah, A.; Khan, H.; De la Sen, M.; Alzabut, J.; Etemad, S.; Deressa, C.T.; Rezapour, S. On non-symmetric fractal-fractional modeling for ice smoking: Mathematical analysis of solutions. Symmetry 2022, 15, 87. [Google Scholar] [CrossRef]
- Alraqad, T.; Almalahi, M.A.; Mohammed, N.; Alahmade, A.; Aldwoah, K.A.; Saber, H. Modeling Ebola Dynamics with a Piecewise Hybrid Fractional Derivative Approach. Fractal Fract. 2024, 8, 596. [Google Scholar] [CrossRef]
- Baleanu, D.; Jajarmi, A.; Mohammadi, H.; Rezapour, S. A new study on the mathematical modelling of human liver with Caputo-Fabrizio fractional derivative. Chaos Solitons Fractals 2020, 134, 109705. [Google Scholar] [CrossRef]
- Atangana, A.; Araz, S.I. New concept in calculus: Piecewise differential and integral operators. Chaos Solitons Fractals 2021, 145, 110638. [Google Scholar] [CrossRef]
- Atangana, A.; Araz, S.I. Piecewise derivatives versus short memory concept: Analysis and application. AIMs Math. 2022, 19, 8601–8620. [Google Scholar]
- Ansari, K.J.; Asma; Ilyas, F.; Shah, K.; Khan, A.; Abdeljawad, T. On new updated concept for delay differential equations with piecewise Caputo fractional-order derivative. Waves Random Complex Media 2023, 2023, 1–20. [Google Scholar] [CrossRef]
- Rus, I.A. Ulam stabilities of ordinary differential equations in a Banach space. Carpath. J. Math. 2010, 26, 103–107. [Google Scholar]
- Khan, M.A.; Atangana, A. Numerical Methods for Fractal-Fractional Differential Equations and Engineering Simulations and Modeling; Simulations and Modeling; CRC Press: Boca Raton, FL, USA, 2023. [Google Scholar]
- Riaz, M.; Alqarni, F.A.; Aldwoah, K.; Birkea, F.M.O.; Hleili, M. Analyzing a Dynamical System with Harmonic Mean Incidence Rate Using Volterra-Lyapunov Matrices and Fractal-Fractional Operators. Fractal Fract. 2024, 8, 321. [Google Scholar] [CrossRef]
- Arfan, M.; Alrabaiah, H.; Rahman, M.U.; Yu-Liang Sun, Y.L.; Hashim, A.S.; Pansera, B.A.; Ahmadian, A.; Salahshour, S. Investigation of fractal-fractional order model of COVID-19 in Pakistan under Atangana-Baleanu Caputo (ABC) derivative. Results Phys. 2021, 24, 104046. [Google Scholar] [CrossRef]










| Parameters | Parameter Definition |
|---|---|
| BSP quantity in the blood at time t. | |
| BSP quantity in the the liver at time t. | |
| BSP quantity in the bile at time t. | |
| a | transferring rate of BSP from the blood to the liver. |
| b | transferring rate of BSP from liver to the bile. |
| c | refluxing rate of BSP from the liver into the blood. |
| h | positive bounded real number. |
Disclaimer/Publisher’s Note: The statements, opinions and data contained in all publications are solely those of the individual author(s) and contributor(s) and not of MDPI and/or the editor(s). MDPI and/or the editor(s) disclaim responsibility for any injury to people or property resulting from any ideas, methods, instructions or products referred to in the content. |
© 2024 by the authors. Licensee MDPI, Basel, Switzerland. This article is an open access article distributed under the terms and conditions of the Creative Commons Attribution (CC BY) license (https://creativecommons.org/licenses/by/4.0/).
Share and Cite
Hamza, A.E.; Osman, O.; Ali, A.; Alsulami, A.; Aldwoah, K.; Mustafa, A.; Saber, H. Fractal-Fractional-Order Modeling of Liver Fibrosis Disease and Its Mathematical Results with Subinterval Transitions. Fractal Fract. 2024, 8, 638. https://doi.org/10.3390/fractalfract8110638
Hamza AE, Osman O, Ali A, Alsulami A, Aldwoah K, Mustafa A, Saber H. Fractal-Fractional-Order Modeling of Liver Fibrosis Disease and Its Mathematical Results with Subinterval Transitions. Fractal and Fractional. 2024; 8(11):638. https://doi.org/10.3390/fractalfract8110638
Chicago/Turabian StyleHamza, Amjad E., Osman Osman, Arshad Ali, Amer Alsulami, Khaled Aldwoah, Alaa Mustafa, and Hicham Saber. 2024. "Fractal-Fractional-Order Modeling of Liver Fibrosis Disease and Its Mathematical Results with Subinterval Transitions" Fractal and Fractional 8, no. 11: 638. https://doi.org/10.3390/fractalfract8110638
APA StyleHamza, A. E., Osman, O., Ali, A., Alsulami, A., Aldwoah, K., Mustafa, A., & Saber, H. (2024). Fractal-Fractional-Order Modeling of Liver Fibrosis Disease and Its Mathematical Results with Subinterval Transitions. Fractal and Fractional, 8(11), 638. https://doi.org/10.3390/fractalfract8110638

