Next Article in Journal
A Fractal Study on Random Distribution of Recycled Concrete and Its Influence on Failure Characteristics
Previous Article in Journal
Fractal-Fractional-Order Modeling of Liver Fibrosis Disease and Its Mathematical Results with Subinterval Transitions
 
 
Font Type:
Arial Georgia Verdana
Font Size:
Aa Aa Aa
Line Spacing:
Column Width:
Background:
Article

Numerical Method for the Variable-Order Fractional Filtration Equation in Heterogeneous Media

by
Nurlana Alimbekova
1,
Aibek Bakishev
1,* and
Abdumauvlen Berdyshev
2
1
Department of Mathematics, Higher School of IT and Natural Sciences, Sarsen Amanzholov East Kazakhstan University, 148 Shakarim Ave., Ust-Kamenogorsk 070002, Kazakhstan
2
Institute of Information and Computational Technologies, 28 Shevchenko Str., Almaty 050010, Kazakhstan
*
Author to whom correspondence should be addressed.
Fractal Fract. 2024, 8(11), 640; https://doi.org/10.3390/fractalfract8110640
Submission received: 4 September 2024 / Revised: 24 October 2024 / Accepted: 28 October 2024 / Published: 30 October 2024

Abstract

This paper presents a study of the application of the finite element method for solving a fractional differential filtration problem in heterogeneous fractured porous media with variable orders of fractional derivatives. A numerical method for the initial-boundary value problem was constructed, and a theoretical study of the stability and convergence of the method was carried out using the method of a priori estimates. The results were confirmed through a comparative analysis of the empirical and theoretical orders of convergence based on computational experiments. Furthermore, we analyzed the effect of variable-order functions of fractional derivatives on the process of fluid flow in a heterogeneous medium, presenting new practical results in the field of modeling the fluid flow in complex media. This work is an important contribution to the numerical modeling of filtration in porous media with variable orders of fractional derivatives and may be useful for specialists in the field of hydrogeology, the oil and gas industry, and other related fields.

1. Introduction

In recent decades, equations containing fractional derivatives have become the subject of comprehensive research, not only from a mathematical point of view, but they have also found wide application in modeling natural and technological processes in complex environments. Their main application is associated with taking into account an important property of the environment—memory, which allows taking into account not only the current state of a process, but also all its previous states. For example, one of the fundamental works in fractional-differential filtration theory is the paper [1], which proposed generalizations of classical filtration equations to take into account the memory effects of a porous medium. This idea attracted interest among researchers and was continued in several directions: in the field of studying the solvability of the problem [2,3], further generalization of the model [4,5], development of efficient numerical methods [6,7,8,9,10,11,12], and application of various definitions of fractional derivatives [13,14,15]. One of the generalizations, aimed at simulation of the fluid flow process in fractured porous media, was proposed in [5] and numerically implemented in [16]. The peculiarity and main difficulty of this problem is the inclusion of several terms with fractional derivatives of different orders.
The present work was aimed at studying a further generalization of the specified initial-boundary value problem for the fractional-order filtration equation proposed in [5]. The essence of this generalization is the assumption that the orders of fractional derivatives, α , β , γ , are not constant, but are functions of the temporal variable α = α t ,   β = β t ,   γ = γ t . Unlike constant-order fractional derivatives, variable-order derivatives allow the order to change dynamically with respect to time or spatial variables, providing a more flexible framework for capturing the heterogeneous and evolving nature of many real-world processes. These equations are particularly pertinent in fields such as petroleum engineering, hydrogeology, and biomedical engineering, where the properties of the medium or the dynamics of the system can vary significantly over time and space. Studies from the last two decades have shown that diffusion in complex heterogeneous media is accompanied by frequent changes in the diffusion regime [17,18]. In particular, the authors of [19] came to the conclusion that there is another type of memory that manifests itself when the diffusion mode changes. Regarding filtration models, it is known that the order of the fractional derivative is related to the fractal dimension of a porous medium, determined by the Hurst index, which changes when the geometric structure of the medium changes [6]. A physically interesting question is when the order of the derivative exhibits a monotonic (linear or nonlinear) transition from the initial order to the final one, or when the diffusion mode changes at a certain point in time. This allows us to more accurately identify hidden effects during the fluid flow in a porous medium that are associated with changes in the properties of the porous medium. Thus, the need to study this topic directly follows from the practical application of the model for a more in-depth study of the nature of fluid flow, as well as the prospect of the conducted research studying a wide range of other models.
Secondly, despite the limited number of works devoted to the theoretical study of methods for solving boundary value problems for equations with variable-order fractional derivatives, there are many conceptual mathematical problems that prevent the known results from being transferred to the study of these filtration problems. This is due to the strong nonlinearity of the fractional differential generalization of Darcy’s law [16], with the inclusion of a system of capillary pressure functions in the equations, the gradient of which increases indefinitely as water saturation approaches residual water saturation, with the inclusion of a degenerate capillary diffusion coefficient. In addition, the complexity of solving the problem considered in this work is introduced by the inclusion of several terms with fractional derivatives in the equations of the system, which is associated with the properties of fractional derivatives of variable order. For example, for a number of definitions of fractional derivatives of variable order, there is not an inverse operator for a fractional integral of variable order. These circumstances indicate the need to develop alternative solution methods.
Thirdly, due to the extreme complexity of obtaining an analytical solution to this problem, there is a need to develop approximate methods. However, along with the computational difficulties inherent in solving constant-order fractional differential equations (i.e., the labor intensity of calculating discrete analogs of fractional derivatives [20,21]), solving equations with variable-order fractional derivatives gives rise to other difficulties. For example, the coefficient matrices of numerical schemes lose the structure of the Toeplitz matrix [6], which does not allow the use of fast algorithms for calculating fractional derivatives. In addition, it is known that it is quite difficult to obtain approximation formulas for fractional derivatives of variable order higher than the second order [8,22]. It should be noted that many of the known approaches to solving problems of this class are based on the use of simpler finite-difference methods and collocation methods with preliminary application of the Laplace transform. Insufficient attention has been paid to more universal finite element methods (for example, discontinuous Galerkin methods), which remove restrictions on the integration domain and allow the use of discontinuous coefficients that arise in the case of filtration in heterogeneous media, without any particular difficulties. In addition, few works [23] have been devoted to the study of equations containing several fractional derivatives of variable order of different orders, and the results obtained in these works cannot be directly applied to the solution of filtration equations.
Many researchers [1,5,24,25,26] have proposed generalized models of fluid motion in fractured media using fractional calculus to capture the hereditary effects of the medium. As a result, classical filtration equations have been replaced by constant-order fractional differential equations. Experimental data also confirm the effectiveness of using fractional differential equations to describe fluid filtration flows in porous media [27,28]. We also refer the reader to a comprehensive reviews [29,30] on modeling fluid flows through porous media using fractional derivatives. To account for the memory effect and spatial correlations in porous media, various models based on fractional calculus have been developed [31,32]. The main conclusion of the above works is that the order of the fractional derivative determines how strongly memory affects the fluid flow through porous medium [33,34].
In recent years, variable-order fractional differential equations dependent on time t or spatial variables x have been successfully applied to describe variable memory [19,35], hereditary properties [36,37], and nonlocality of a system [38,39]. Using variable-order fractional derivatives, various phenomena of science and technology have been modeled, such as diffusion–convection processes [22,40], geographical data processing [41], anomalous diffusion [25,42,43,44], viscoelastic mechanics processes [45,46], infiltrations [47,48], economic processes [49], medical processes [50,51], and many other processes [4,52,53,54,55]. A review of various aspects of fractional differential equations with variable-order fractional derivatives is given in the review articles in [17,56].
In the last few years, the existence and uniqueness of solutions to Cauchy problems for fractional differential generalizations of ordinary differential equations with variable-order fractional derivatives [57,58,59,60], boundary value problems for the fractional Laplace equation [61,62], the diffusion equation [63], and others [64,65] have been studied.
For fractional differential equations, both of constant and variable-order, it is not easy to find analytical solutions, so many authors have proposed numerical approximations of variable-order fractional derivatives and computational methods for solving them. The most common numerical methods for solving fractional differential equations with variable-order fractional derivatives are finite difference methods [22,66], spectral methods [67,68], matrix methods [69,70], spline interpolation methods [71,72], and others [73,74,75,76].
A literature review showed that works devoted to solving fractional differential equations with variable-order fractional derivatives using projection methods (for example, the finite element method) have been published only in recent years, and their number is limited [6,77]. But their direct application to the filtration problems under consideration is not possible and requires additional research.
Guided by the abovementioned demand, our main goal was to study finite element methods for solving a variable-order fractional differential filtration problem and to conduct a theoretical study of the stability and convergence of the proposed method, then consolidate the theoretical results with various examples.
Our research includes several key advantages over previous studies. First, we consider the effect of fractional derivative orders on the filtration process in fractured porous media, which goes beyond traditional approaches composed of a sequential order of fractional derivatives. Unlike previous studies, we consider the influence of these order variables in the context of complex geological structures, which allows us to more accurately model real filtration processes. The fluid flow process is modeled in several practical scenarios, taking into account all possible combinations of regimes, which cover a gradual transition from the subdiffusion regime to the diffusion regime, from fractional-differential compressibility to classical compressibility over time. Unlike [5,16], our model offers more flexible parameter settings, in order to obtain a more accurate forecast. Moreover, this study is the first to examine the influence of cracks on the flow process within the framework of a fractional-differential filtration model with variable orders of fractional derivatives, in contrast to the models with constant orders of fractional derivatives studied in previous works [24].
Secondly, we apply the improved discrete formula of variable-order fractional derivative in numerical methods for solving the fractional differential equation. This significantly improves the convergence and stability of the solutions, ensuring a high accuracy of modeling. This progress is especially important when solving problems related to heterogeneous media, where accuracy is crucial. In our opinion, this is the first study dedicated to theoretically proving the stability and convergence of the method used. Moreover, this is the first study to examine an equation that includes several terms with variable orders of fractional derivatives.
Third, we conducted a comparative analysis with previous works that used constant-order fractional derivatives. Our study demonstrated clear advantages for variable orders, which was confirmed by both numerical experiments and graphical analysis of the results. This approach allows not only improving the accuracy of modeling, but also significantly expanding the scope of the application of our methods to solve more complex problems.
These differences highlight the innovative nature of this work and its significant contribution to the field of the numerical modeling of filtration processes in complex heterogeneous media.
The article is organized as follows: Section 2.1 presents the problem statement. Section 2.2 proposes the semi-discrete formulation of the problem with respect to time, and its convergence is proved in Section 2.5. In Section 2.3, a fully discrete formulation of the problem is introduced and its stability and convergence are proved in Section 2.4 and Section 2.6, respectively. In Section 3, the results of a number of numerical tests are presented to verify the results of the theoretical analysis. Finally, some concluding remarks are given in Section 4.

2. Materials and Methods

2.1. Formulation of the Problem

According to the classical theory of fluid flow in porous media, the motion of a viscoelastic fluid in a porous medium obeys the continuity equation and Darcy’s law:
t ϕ ρ + · ρ u = f 0 ,
u = k x μ p ,
where ϕ represents the porosity of the medium, and k is its absolute permeability. The fluid properties are indicated by p for pressure, ρ for density, and μ for viscosity. The velocity vector is denoted by u , and f 0 stands for the density of the mass sources.
To generalize these equations to the case of a heterogeneous medium, the authors of [5] proposed replacing this medium with a model homogeneous porous medium with power memory. Following their assumption, the porosity and density are accepted as functions of pressure and its fractional integral of order α 1 and β 1 , respectively, where α , β 0 , 1 and the fractional integration operator is defined in [78,79]. Furthermore, we assume that the motion of the fluid obeys the fractional generalization of Equation (2):
u = k x μ t γ p .
Substituting the described fractional differential generalizations into (1), (2), and using the assumptions given in [16], we obtain the following fractional-order generalization of the equation describing the flow of a viscoelastic fluid in a heterogeneous porous medium:
t p + c ϕ , α 1 c ϕ , 1 t α p + c f , β 1 c ϕ , 1 t β p t γ · κ x p = f ,
where c ϕ , 1 = 1 ϕ ϕ p and c f , 1 = 1 ρ ρ p are classical isothermal compressibility of a fluid and a porous medium, respectively, and c ϕ , α = 1 ϕ ϕ t α p , c f , β = 1 ρ ρ t β p are their generalized fractional differential counterparts [5,16], and κ x = 1 μ c ϕ , 1 k x .
By formally replacing constant-order fractional derivatives in the nonlinear fractional differential equation for the filtration of a viscoelastic fluid, presented in [5,16], with their variable-order counterparts, we obtain a new filtration problem in heterogeneous fractured porous media.
Problem 1. 
In the domain Q ¯ T , where Q T = Ω × J , Ω R d is a domain filled with a porous medium, d = 1 , 2 , 3 , J = 0 , T is the time interval, α t , β t , γ t 0 , 1 for all t J ¯ , find p satisfying the following conditions:
t p + c ϕ t α t p + c f t β t t γ t · κ x p = f , x Ω , t J ,
p x , 0 = p 0 x , x Ω ¯ ,
p x , t = η x , t , x Ω , t J ,
where c ϕ = c ϕ , α 1 c ϕ , 1 , c f = c f , β 1 c ϕ , 1 , and the variable-order Caputo fractional derivative is defined as follows [73]:
t ν t p · , t = 1 Γ 1 ν t 0 t t p · , s t s ν t d s .
We study the first kind of boundary conditions in detail, but the results can be extended to other kinds of boundary conditions, without significant changes. Below, we also assume that η 0 without loss of generality.
Assumption 1. 
Problem 1 has unique solutions with the number of derivatives required to perform the analysis.
Assumption 2. 
α , β , γ C 1 J ¯ .
Assumption 3. 
There exists κ 0 > 0 , such that κ x κ 0 for all x Ω .
We utilize standard notations of Sobolev and Lebesgue spaces. Let · , · and · denote the dot product and norm in L 2 Ω for brevity. To define a variational formulation of Problem 1 take a dot product of (4) with any v H 0 1 and utilize boundary conditions (6).
Problem 2. 
Find p : J H 0 1 Ω such that for any v H 0 1 Ω :
t p , v + c ϕ t α t p , v + c f t β t p , v + κ x t γ t p , v = f , v ,
where α t , β t , γ t 0 , 1 for all t J ¯ .

2.2. Derivation of the Semi-Discrete Formulation

We introduce a partition of the time interval J ¯ through points t n = n τ , τ > 0 , n = 0 , 1 , , N , so that N τ = T . We denote by p n the semi-discrete approximation of the function p with respect to the time at point t = t n .
We introduce the notation
p n + 1 2 = 1 2 p n + 1 + p n , Δ ˜ t p n + 1 2 = 1 τ p n + 1 p n .
We also employ the notations t n + 1 2 = n + 1 2 τ , ν n + 1 2 = ν t n + 1 2 , n = 0 , 1 , , N 1 .
To define a semi-discrete formulation of Problem 1, we use the following approximation formula from [73] for the variable-order Caputo fractional derivative.
Lemma 1. 
The discrete analogue Δ τ ν n + 1 2 p n + 1 2 of the variable-order Caputo fractional derivative (7) t ν t n + 1 2 p t n + 1 2 of order 0 < ν t < 1 , t J ¯ at point t = t n + 1 2 can be represented as [73]
Δ τ ν n + 1 2 p n + 1 2 = τ 1 ν n + 1 2 Γ 2 ν n + 1 2 k = 0 n d n k ν n + 1 2 Δ ˜ t p k + 1 2 ,
where
d k ν n + 1 2 = 1 2 ν n + 1 2 , k = 0 , 1 2 ν n + 1 2 k + 1 2 ν n + 1 2 2 k 2 ν n + 1 2 + k 1 2 ν n + 1 2 , 1 k n 1 , n + 1 2 1 ν n + 1 2 1 2 ν n + 1 2 n 2 ν n + 1 2 n 1 2 ν n + 1 2 , k = n ,
and the following estimate holds for the quantity r n + 1 2 ν n + 1 2 = t ν t n + 1 2 p t n + 1 2 Δ τ ν n + 1 2 p n + 1 2 t n + 1 2 :
r n + 1 2 ν n + 1 2 1 Γ 1 ν n + 1 2 Φ n max t 0 t t 1 t 2 p t + 9 8 1 ν n + 1 2 max t 0 t t n + 1 t 3 p t t n 1 ν n + 1 2 τ 2 ,
where Φ 0 = τ ν 1 2 1 ν 1 2 2 1 ν 1 2 , Φ n = t n ν n + 1 2 2 , n = 1 , , N 1 .
The following elementary properties of the coefficients d n k ν n + 1 2 can be proved on the basis of the results obtained in [16].
Lemma 2. 
For the coefficients d n k ν n + 1 2 , presented in Lemma 1, the following properties are satisfied:
(a) 
d n k ν n + 1 2 > 0 , k = 0 , 1 , , n .
(b) 
d n k ν n + 1 2 < d n k 1 ν n + 1 2 , k = 0 , 1 , 2 , n 2 .
(c) 
d n k ν n + 1 2 = d n 1 k 1 ν n + 1 2 .
(d) 
k = 0 n d k ν n + 1 2 = n + 1 2 1 ν n + 1 2 .
Now, let us define a semi-discrete formulation of Problem 1.
Problem 3. 
Let p k k = 0 n , p k H 0 1 Ω be known. Find p n + 1 H 0 1 Ω such that for all v H 0 1 Ω :
Δ ˜ t p n + 1 2 , v + c ϕ Δ τ α n + 1 2 p n + 1 2 , v + c f Δ τ β n + 1 2 p n + 1 2 , v + κ x Δ τ γ n + 1 2 p n + 1 2 , v = f , v ,
where α n + 1 2 , β n + 1 2 , γ n + 1 2 0 , 1 .

2.3. Derivation of the Fully Discrete Scheme

Let us introduce a uniform triangulation in Ω ¯ and consider a linear finite element space V h H 0 1 Ω . Define the projector Q h : H 0 1 Ω V h satisfying
Q h p p , p h = 0 p H 0 1 Ω , p h V h
with the following property:
p Q h p + h p Q h p H 1 Ω C h 2 p H 2 Ω p H 0 1 Ω H 2 Ω .
The fully discrete scheme is defined as follows:
Problem 4. 
Let p h k k = 0 n , p h k V h be known. Find p h n + 1 V h , n = 1 , 2 , , N , satisfying the following identities for any v h V h :
Δ ˜ t p h n + 1 2 , v h + c ϕ Δ τ α n + 1 2 p h n + 1 2 , v h + c f Δ τ β n + 1 2 p h n + 1 2 , v h + κ x Δ τ γ n + 1 2 p h n + 1 2 , v h = f , v h ,
where α n + 1 2 , β n + 1 2 , γ n + 1 2 0 , 1 .

2.4. Stability of the Numerical Scheme

The stability and convergence of the computational method are proved under an additional assumption.
Assumption 4. 
The porous medium is homogeneous.
The general case, κ const , can be proved similarly, without significant changes. First, we prove the following auxiliary lemma.
Lemma 3. 
The following inequality holds for any function p L 2 Ω :
Δ τ ν n + 1 2 p n + 1 2 , p n + 1 1 2 τ ν n + 1 2 Γ 2 ν n + 1 2 Θ n + 1 ν n + 1 2 Θ n ν n + 1 2 d n ν n + 1 2 p 0 2 ,
where Θ n + 1 ν n + 1 2 = k = 0 n d n k ν n + 1 2 p k + 1 2 .
Proof. 
It follows from Lemma 1 that
Δ τ ν n + 1 2 p n + 1 2 , p n + 1 = τ 1 ν n + 1 2 Γ 2 ν n + 1 2 k = 0 n d n k ν n + 1 2 Δ ˜ t p k + 1 2 , p n + 1 = 1 τ ν n + 1 2 Γ 2 ν n + 1 2 d n ν n + 1 2 p 0 , p n + 1 + k = 0 n 1 d n k ν n + 1 2 d n k 1 ν n + 1 2 p k + 1 , p n + 1 + d 0 ν n + 1 2 p n + 1 , p n + 1 .
By applying the Cauchy inequality and the elementary inequality a b 1 2 a 2 + b 2 , and considering Lemma 2 (b), we obtain
Δ τ ν n + 1 2 p n + 1 2 , p n + 1 = 1 τ ν n + 1 2 Γ 2 ν n + 1 2 1 2 d 0 ν n + 1 2 p n + 1 2 + 1 2 k = 0 n 1 d n k ν n + 1 2 p k + 1 2 1 2 k = 0 n 1 d n k 1 ν n + 1 2 p k + 1 2 1 2 d n ν n + 1 2 p 0 2 1 2 τ ν n + 1 2 Γ 2 ν n + 1 2 k = 0 n d n k ν n + 1 2 p k + 1 2 k = 0 n 1 d n k 1 ν n + 1 2 p k + 1 2 d n ν n + 1 2 p 0 2 = 1 2 τ ν n + 1 2 Γ 2 ν n + 1 2 Θ n + 1 ν n + 1 2 Θ n ν n + 1 2 d n ν n + 1 2 p 0 2 .
The lemma is proved. □
Lemma 4 
([80]). If a n and b n are two positive sequences, c n is a monotone positive sequence, and they satisfy the inequalities
a 0 + b 0 c 0 , a n + b n c n + λ i = 0 n 1 a i , λ > 0 ,
then
a n + b n c n exp n λ , n = 0 , 1 , 2 ,
Theorem 1. 
The discrete scheme (13) is unconditionally stable with respect to the initial data and the right-hand side under Assumptions 1, 2, and 4, and the following estimate holds:
p h n + 1 2 + 2 τ 1 ν n + 1 2 Θ n + 1 C p h 0 H 1 Ω 2 + f 2 ,
where
ν n + 1 2 = min 1 k n α n + 1 2 , β n + 1 2 , γ n + 1 2 ,
Θ n + 1 = c ϕ 2 Γ 2 α n + 1 2 Θ n + 1 α n + 1 2 + c f 2 Γ 2 β n + 1 2 Θ n + 1 β n + 1 2 + κ 2 Γ 2 γ n + 1 2 Θ n + 1 γ n + 1 2 ,
Θ n + 1 α n + 1 2 = k = 0 n d n k α n + 1 2 p h k + 1 2 , Θ n + 1 β n + 1 2 = k = 0 n d n k β n + 1 2 p h k + 1 2 , Θ n + 1 γ n + 1 2 = k = 0 n d n k γ n + 1 2 p h k + 1 2 .
Proof. 
By taking v h = p h n + 1 in (13), using Lemma 3 and multiplying the resulting inequality by τ , we arrive at the following inequality:
1 2 p h n + 1 2 + τ 1 α n + 1 2 c ϕ 2 Γ 2 α n + 1 2 Θ n + 1 α n + 1 2 + τ 1 β n + 1 2 c f 2 Γ 2 β n + 1 2 Θ n + 1 β n + 1 2 + τ 1 γ n + 1 2 κ 2 Γ 2 γ n + 1 2 Θ n + 1 γ n + 1 2 1 2 p h n 2 + τ 1 α n + 1 2 c ϕ 2 Γ 2 α n + 1 2 Θ n α n + 1 2 + τ 1 β n + 1 2 c f 2 Γ 2 β n + 1 2 Θ n β n + 1 2 + τ 1 γ n + 1 2 κ 2 Γ 2 γ n + 1 2 Θ n γ n + 1 2 + τ d n α n + 1 2 + d n β n + 1 2 p h 0 2 + τ d n γ n + 1 2 p h 0 2 + C τ 2 f 2 .
Summing the last inequality over n from 0 to n, we obtain
1 2 p h n + 1 2 + τ 1 α n + 1 2 c ϕ 2 Γ 2 α n + 1 2 Θ n + 1 α n + 1 2 + τ 1 β n + 1 2 c f 2 Γ 2 β n + 1 2 Θ n + 1 β n + 1 2 + τ 1 γ n + 1 2 κ 2 Γ 2 γ n + 1 2 Θ n + 1 γ n + 1 2 1 2 p h 0 2 + τ 1 α n + 1 2 c ϕ 2 Γ 2 α n + 1 2 Θ 0 α n + 1 2 + τ 1 β n + 1 2 c f 2 Γ 2 β n + 1 2 Θ 0 β n + 1 2 + τ 1 γ n + 1 2 κ 2 Γ 2 γ n + 1 2 Θ 0 γ n + 1 2 + τ p h 0 2 s = 0 n d s α n + 1 2 + d s β n + 1 2 + τ p h 0 2 s = 0 n d s γ n + 1 2 + C τ 2 f 2 .
Considering that Θ 0 ν = 0 , after elementary transformations, we obtain
p h n + 1 2 + 2 τ 1 ν n + 1 2 Θ n + 1 2 p h 0 2 + 2 τ p h 0 2 n + 1 2 1 α n + 1 2 + n + 1 2 1 β n + 1 2 + 2 τ p h 0 2 n + 1 2 1 γ n + 1 2 + C τ 2 f 2 .
Considering that τ n + 1 2 1 ν n + 1 2 T , we arrive at the statement of the theorem. □

2.5. Convergence of the Semi-Discrete Scheme

Let us move on to the study of the convergence of the numerical method.
Theorem 2. 
Let p i i = 0 N , p i H 0 1 Ω be the solution to Problem 3 and p t i i = 0 N , p H 0 1 Ω be the solution to Problem 2. Then, the following inequality holds under Assumptions 1, 2, and 4, and α t , β t , γ t 0 , 1 for all t J ¯ :
p t n + 1 p n + 1 + τ 1 1 2 ν n + 1 2 c 0 T Γ 2 ν n + 1 2 k = 0 n p t n + 1 p n + 1 H 1 Ω C τ 2 ,
where ν n + 1 2 = min 1 k n α n + 1 2 , β n + 1 2 , γ n + 1 2 , c 0 = min 1 k n c ϕ d n k α n + 1 2 , c f d n k β n + 1 2 , κ d n k γ n + 1 2 .
Proof. 
Consider the difference of identities (8) and (11) at t = t n + 1 2 :
t p t n + 1 2 p n + 1 p n τ , v + c ϕ t α t n + 1 2 p t n + 1 2 Δ τ α n + 1 2 p n + 1 2 , v + c f t β t n + 1 2 p t n + 1 2 Δ τ β n + 1 2 p n + 1 2 , v + κ t γ t n + 1 2 p t n + 1 2 Δ τ γ n + 1 2 p n + 1 2 , v = 0 .
Let us denote π n + 1 = p t n + 1 p n + 1 and choose v = π n + 1 . Using (9), we obtain
T 1 t p t n + 1 2 p n + 1 p n τ , π n + 1 1 2 τ π n + 1 2 π n 2 τ 2 24 t 3 p ζ n + 1 , π n + 1 ,
T 2 c ϕ t α t n + 1 2 p t n + 1 2 Δ τ α n + 1 2 p n + 1 2 , π n + 1 c ϕ r n + 1 2 α n + 1 2 , π n + 1 + c ϕ 2 τ α n + 1 2 Γ 2 α n + 1 2 Θ n + 1 α n + 1 2 Θ n α n + 1 2 c ϕ d n α n + 1 2 2 τ α n + 1 2 Γ 2 α n + 1 2 π 0 2 ,
where Θ n + 1 α n + 1 2 = k = 0 n d n k α n + 1 2 π k + 1 2 , r n + 1 2 α n + 1 2 = t α t n + 1 2 p t n + 1 2 Δ τ α n + 1 2 p t n + 1 2 ,
T 3 c f t β t n + 1 2 p t n + 1 2 Δ τ β n + 1 2 p n + 1 2 , π n + 1 c f r n + 1 2 β n + 1 2 , π n + 1 + c f 2 τ β n + 1 2 Γ 2 β n + 1 2 Θ n + 1 β n + 1 2 Θ n β n + 1 2 c f d n β n + 1 2 2 τ β n + 1 2 Γ 2 β n + 1 2 π 0 2 ,
where Θ n + 1 β n + 1 2 = k = 0 n d n k β n + 1 2 π k + 1 2 , r n + 1 2 β n + 1 2 = t β t n + 1 2 p t n + 1 2 Δ τ β n + 1 2 p t n + 1 2 .
T 4 κ t γ t n + 1 2 p t n + 1 2 κ Δ τ γ n + 1 2 p n + 1 2 , π n + 1 κ r n + 1 2 γ n + 1 2 , π n + 1 + κ 2 τ γ n + 1 2 Γ 2 γ n + 1 2 Θ n + 1 γ n + 1 2 Θ n γ n + 1 2 κ d n γ n + 1 2 2 τ γ n + 1 2 Γ 2 γ n + 1 2 π 0 2 ,
where Θ n + 1 γ n + 1 2 = k = 0 n d n k γ n + 1 2 π k + 1 2 , r n + 1 2 γ n + 1 2 = t γ t n + 1 2 p t n + 1 2 Δ τ γ n + 1 2 p t n + 1 2 .
Substituting (15)–(17) into (14) and taking into account that π 0 = 0 , and multiplying both sides of this inequality by 2 τ , we obtain
π n + 1 2 + τ 1 α n + 1 2 c ϕ Γ 2 α n + 1 2 Θ n + 1 α n + 1 2 + τ 1 β n + 1 2 c f Γ 2 β n + 1 2 Θ n + 1 β n + 1 2 + τ 1 γ n + 1 2 κ Γ 2 γ n + 1 2 Θ n + 1 γ n + 1 2
π n 2 + τ 1 α n + 1 2 c ϕ Γ 2 α n + 1 2 Θ n α n + 1 2 + τ 1 β n + 1 2 c f Γ 2 β n + 1 2 Θ n β n + 1 2
+ τ 1 γ n + 1 2 κ Γ 2 γ n + 1 2 Θ n γ n + 1 2 + τ 3 24 t 3 p ζ n + 1 , π n + 1 + c ϕ τ r n + 1 2 α n + 1 2 , π n + 1
+ c f τ r n + 1 2 β n + 1 2 , π n + 1 + κ τ r n + 1 2 γ n + 1 2 , π n + 1 .
Estimating the last four terms on the right-hand side of the inequality (18), using the Cauchy inequality, we obtain
π n + 1 2 + τ 1 α n + 1 2 c ϕ Γ 2 α n + 1 2 Θ n + 1 α n + 1 2 + τ 1 β n + 1 2 c f Γ 2 β n + 1 2 Θ n + 1 β n + 1 2 + τ 1 γ n + 1 2 κ Γ 2 γ n + 1 2 Θ n + 1 γ n + 1 2 π n 2 + τ 1 α n + 1 2 c ϕ Γ 2 α n + 1 2 Θ n α n + 1 2 + τ 1 β n + 1 2 c f Γ 2 β n + 1 2 Θ n β n + 1 2 + τ 1 γ n + 1 2 κ Γ 2 γ n + 1 2 Θ n γ n + 1 2 + τ 3 24 t 3 p ζ n + 1 π n + 1 + c ϕ τ r n + 1 2 α n + 1 2 π n + 1 + c f τ r n + 1 2 β n + 1 2 π n + 1 + κ τ r n + 1 2 γ n + 1 2 π n + 1 .
Sum the inequality (19) over n from 0 to n to obtain
π n + 1 2 + τ 1 α n + 1 2 c ϕ Γ 2 α n + 1 2 Θ n + 1 α n + 1 2 + τ 1 β n + 1 2 c f Γ 2 β n + 1 2 Θ n + 1 β n + 1 2 + τ 1 γ n + 1 2 κ Γ 2 γ n + 1 2 Θ n + 1 γ n + 1 2 C i = 0 n τ 2 t 3 p ζ i + 1 + r i + 1 2 α i + 1 2 + r i + 1 2 β i + 1 2 2 + C i = 0 n r i + 1 2 γ i + 1 2 2 + τ 2 c ϕ d 0 α n + 1 2 Γ 2 α n + 1 2 + c f d 0 β n + 1 2 Γ 2 β n + 1 2 i = 0 n π i + 1 2 + τ 2 κ d 0 γ n + 1 2 Γ 2 γ n + 1 2 i = 0 n π i + 1 2 .
Considering the inequality
c ϕ d 0 α n + 1 2 Γ 2 α n + 1 2 + c f d 0 β n + 1 2 Γ 2 β n + 1 2 π i + 1 2 + κ d 0 γ n + 1 2 Γ 2 γ n + 1 2 π i + 1 2 Θ i + 1 ,
r n + 1 2 α n + 1 2 C τ 2 , r n + 1 2 β n + 1 2 C τ 2 , r n + 1 2 γ n + 1 2 C τ 2 ,
we arrive at the inequality
π n + 1 2 + τ 1 ν n + 1 2 Θ n + 1 C τ 4 + τ 2 i = 0 n Θ i ,
where
ν n + 1 2 = min 1 k n α n + 1 2 , β n + 1 2 , γ n + 1 2 ,
Θ n + 1 = c ϕ 2 Γ 2 α n + 1 2 Θ n + 1 α n + 1 2 + c f 2 Γ 2 β n + 1 2 Θ n + 1 β n + 1 2 + κ 2 Γ 2 γ n + 1 2 Θ n + 1 γ n + 1 2 ,
Θ n + 1 α n + 1 2 = k = 0 n d n k α n + 1 2 p h k + 1 2 , Θ n + 1 β n + 1 2 = k = 0 n d n k β n + 1 2 p h k + 1 2 , Θ n + 1 γ n + 1 2 = k = 0 n d n k γ n + 1 2 p h k + 1 2 .
Applying Gronwall’s lemma and expanding the notation of Θ n + 1 , we obtain
π n + 1 2 + c 0 τ 1 ν n + 1 2 Γ 2 ν n + 1 2 k = 0 n π k + 1 1 2 C τ 4 ,
where c 0 = min 1 k n c ϕ d n k α n + 1 2 , c f d n k β n + 1 2 , κ d n k γ n + 1 2 .
Taking the square root of both sides of the inequality and applying the elementary inequality a 1 2 + a 2 2 + + a m 2 1 m a 1 + a 2 + + a m and noting that 1 n τ T , we arrive at the statement of the theorem. □

2.6. Convergence of the Fully Discrete Scheme

Theorem 3. 
Let p h i i = 0 N , p h i V h be the solution of Problem 4, and p i i = 0 N , p i H 0 1 Ω be the solution of Problem 3. Then, the following inequality holds under Assumptions 1, 2, and 4, and α t , β t , γ t 0 , 1 , t J ¯ and sufficiently small τ:
p n + 1 p h n + 1 + τ c 0 T Γ 2 ν n + 1 2 k = 0 n p n + 1 p h n + 1 H 1 Ω C h 2 + τ 2 ,
where c 0 is defined in Theorem 2.
Proof. 
Let
p t n p h n = p t n Q h p n + Q h p n p h n = ψ n + ξ n .
Consider the difference of identities (11) and (13), and choose v h = ξ n + 1 to obtain
Δ ˜ t ξ n + 1 2 , ξ n + 1 + c ϕ Δ τ α n + 1 2 ψ n + 1 2 + ξ n + 1 2 , ξ n + 1 + c f Δ τ β n + 1 2 ψ n + 1 2 + ξ n + 1 2 , ξ n + 1 + κ Δ τ γ n + 1 2 ψ n + 1 2 + ξ n + 1 2 , ξ n + 1 + Δ ˜ t ψ n + 1 2 , ξ n + 1 = 0 .
Using the same technique as in the proof of Theorem 2, we obtain
K 1 Δ ˜ t ξ n + 1 2 , ξ n + 1 1 2 τ ξ n + 1 2 1 2 τ ξ n 2 ,
K 2 c ϕ Δ τ α n + 1 2 ψ n + 1 2 + ξ n + 1 2 , ξ n + 1 = K 21 + K 22 ,
K 21 c ϕ Δ τ α n + 1 2 ξ n + 1 2 , ξ n + 1 c ϕ 2 τ α n + 1 2 Γ 2 α n + 1 2 Θ n + 1 α n + 1 2 Θ n α n + 1 2 d n α n + 1 2 ξ 0 2 ,
where Θ n + 1 α n + 1 2 = k = 0 n d n k α n + 1 2 ξ k + 1 2 .
Estimate K 22 using Lemmas 1, 2, Cauchy and Young inequalities, and the mean value theorem, as follows [81,82]:
K 22 c ϕ Δ τ α n + 1 2 ψ n + 1 2 , ξ n + 1 c ϕ 2 2 τ α n + 1 2 Γ 2 α n + 1 2 2 Ω k = 0 n d n k α n + 1 2 t k t k + 1 t ψ d θ 2 d x + 1 2 ξ n + 1 2 τ 1 α n + 1 2 c ϕ 2 2 Γ 2 α n + 1 2 2 Ω max 1 k n ψ t ζ k k = 0 n d n k α n + 1 2 2 d x + 1 2 ξ n + 1 2 1 2 c ϕ T 1 α n + 1 2 Γ 2 α n + 1 2 2 Ω max 1 k n ψ t ζ k 2 d x + 1 2 ξ n + 1 2 , c ϕ T 1 α n + 1 2 Γ 2 α n + 1 2 2 max 1 k n ψ t ζ s 2 + 1 2 ξ n + 1 2 ,
where t n ζ k t n + 1 . The third and fourth terms in (23) are estimated in a similar way. Further, using the inequality a b f d x 2 b a a b f 2 d x we obtain
K 5 Δ t ψ n + 1 2 , ξ n + 1 1 2 τ t n t n + 1 t ψ 2 d θ + 1 2 ξ n + 1 2 .
Then, we obtain from (23) that
1 2 τ ξ n + 1 2 + c ϕ 2 τ α n + 1 2 Γ 2 α n + 1 2 Θ n + 1 α n + 1 2 + c f 2 τ β n + 1 2 Γ 2 β n + 1 2 Θ n + 1 β n + 1 2 + κ 2 τ γ n + 1 2 Γ 2 γ n + 1 2 Θ n + 1 γ n + 1 2 1 2 τ ξ n 2 + c ϕ 2 τ α n + 1 2 Γ 2 α n + 1 2 Θ n α n + 1 2 + c f 2 τ β n + 1 2 Γ 2 β n + 1 2 Θ n β n + 1 2 + κ 2 τ γ n + 1 2 Γ 2 γ n + 1 2 Θ n γ n + 1 2 + c ϕ T 1 α n + 1 2 Γ 2 α n + 1 2 2 + c f T 1 β n + 1 2 Γ 2 β n + 1 2 2 max 1 k n t ψ ζ s 2 + 3 2 ξ n + 1 2 + 1 2 τ t n t n + 1 t ψ 2 d θ .
Multiply by 2 τ and sum up the resulting inequality in n from 0 to n and use Lemma 2 considering that ξ 0 = 0 to obtain
1 3 τ ξ n + 1 2 + c ϕ τ 1 α n + 1 2 Γ 2 α n + 1 2 Θ n + 1 α n + 1 2 + c f τ 1 β n + 1 2 Γ 2 β n + 1 2 Θ n + 1 β n + 1 2 + κ τ 1 γ n + 1 2 Γ 2 γ n + 1 2 Θ n + 1 γ n + 1 2 C h 4 + 3 τ s = 0 n 1 ξ s + 1 2 .
Whence, for sufficiently small τ , using Lemma 4, we obtain
ξ n + 1 2 + c ϕ τ 1 α n + 1 2 Γ 2 α n + 1 2 Θ n + 1 α n + 1 2 + c f τ 1 β n + 1 2 Γ 2 β n + 1 2 Θ n + 1 β n + 1 2 + κ τ 1 γ n + 1 2 Γ 2 γ n + 1 2 Θ n + 1 γ n + 1 2 C h 4 ,
which yields the assertion of the theorem. □

3. Results

In this section, we present numerical experiments to verify the theoretical estimates obtained in Theorem 3 using the example of a problem with a known smooth exact solution.
Example 1. 
In Q T = Ω × J , Ω = 0 , 1 2 , J = 0 , 1 consider the equation
t p + c ϕ t α t p + c f t β t p κ t γ t 2 p = f x , t , x = x 1 , x 2 Ω , t J
subject to the initial and boundary conditions
p x , 0 = 0 , x Ω ¯ ,
p x , t = 0 , x Ω , t J ,
where c ϕ = c f = κ = 1 and the following three sets of parameters are considered:
Case 1.
α t = β t = γ t = 2 5 t + 1 ,
f x , t = 50 t 8 2 t 5 t 4 2 t 3 Γ 3 2 t 5 x 1 1 x 1 + x 2 1 x 2 + 4 t 8 2 t 5 Γ 13 2 t 5 + 2 t x 1 x 2 1 x 1 1 x 2 .
Case 2.
α t = t , β t = 4 5 t + 9 10 , γ t = 4 5 t + 1 10 ,
f x , t = 400 t 18 8 t 10 8 t 19 8 t 9 Γ 9 8 t 5 x 1 1 x 1 + x 2 1 x 2 + 200 t 8 2 t 5 Γ 13 2 t 5 8 t 19 8 t 9 + 2 t 2 t Γ 3 t + 2 t x 1 x 2 1 x 1 1 x 2 .
Case 3.
f x , t = 4 t 2 e 2 t x 1 2 x 1 + x 2 2 x 2 2 t e t e 2 t 3 t e t e t + t e t Γ 1 e t + 4 t 2 t 2 x 1 x 2 1 x 1 1 x 2 Γ 3 t 2 + 2 t x 1 x 1 2 x 2 x 2 2 .
The exact solution of the problem is p x , t = x 1 x 2 1 x 1 1 x 2 in all three cases.
The aim of the numerical experiment was to determine the actual convergence order of the numerical method in a temporal variable. To this end, we fixed the diameter of the triangulation h = 10 3 , and the time step τ was varied in the range from τ = 1 / 10 to τ = 1 / 160 , with a successive twofold decrease in the step. For each value of the time step, the error E τ = max n p x , t n p h n was calculated, and the convergence rate was determined by the formula r = ln E 2 τ / E τ / ln 2 . Table 1 presents the calculation results, including the errors E τ and the calculated convergence orders r.
As can be seen from the table, the actual results of the numerical calculations agree well with the theoretically predicted convergence order, which confirms the correctness of the applied numerical method. For all combinations α t , β t , γ t a stable behavior of the convergence order was observed with a change in the time step.
The computational experiments showed that the developed numerical method had the expected convergence corresponding to theoretical estimates. This confirmed that the method is reliable and applicable for solving the considered class of problems with fractional derivatives and variable orders.
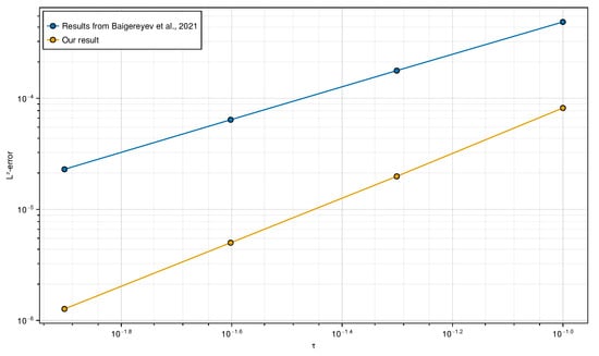
Now, we compare the convergence order obtained by the proposed numerical method with the numerical method proposed in the original paper [16]. It follows from Table 2 and its graphical representation given in Figure 1 that the L 2 -error is lower than that of [16]. Furthermore, the convergence order of the method proposed in [16] depends on the orders of the fractional derivatives, O τ 2 ν , where ν = max α , β , γ , whereas the convergence order of our method equals 2 and is independent of the orders of the fractional derivatives.
Now let us check the applicability of the proposed numerical scheme in the case of a fractured porous medium using the example of a problem without a known exact solution.
Example 2. 
Consider Equation (24) in the domain Ω = 0 , 1 2 with boundary Ω = Γ d Γ n subject to the following initial and boundary conditions:
p x , 0 = 0 , x Ω ¯ , p = p d , x Γ d , p · n = 0 , x Γ n ,
and input parameters: c ϕ = c f = 1 , T = 1 , p d = 1 , and the following two sets of the the remaining parameters are considered:
Case I.  Γ d = x = x 1 , x 2 : 0 x 1 1 , x 2 = 1 , Γ n = Ω Γ d , and the fractures are located as shown in Figure 2a.
Case II.  Γ d = x = x 1 , x 2 : x 1 = 0 , 0.4 x 2 1 x = x 1 , x 2 : 0 x 1 0.6 , x 2 = 1 , Γ n = Ω Γ d , and the fractures are located as shown in Figure 2b.
In real oil reservoirs, the porous medium consists of both the matrix and fractures. Figure 2 depicts a model porous medium confined within a finite domain, where the lines represent fractures. The purpose of our computational experiments was to investigate how the presence of these fractures affects the fluid flow process within fractured media and to determine the influence of the order functions of fractional derivatives on the dynamics of the pressure distribution at different moments in time. By incorporating fractures into the model, we aimed to simulate realistic scenarios encountered in petroleum engineering, where fractures significantly influence the permeability and flow dynamics.
For this purpose, the following scenarios were considered:
Scenario 1 : α t = β t = γ t = e t , Scenario 2 : α t = β t = γ t = 0.5 , Scenario 3 : α t = β t = γ t = e t 1 .
Scenario 2 corresponds to the classical case of constant orders of fractional derivatives and serves as a reference point, where the dynamics remain consistent over time. In this case, the pressure evolution exhibits an intermediate behavior between rapid dissipation, as in classical models, and slow evolution, as seen in strong memory-dependent models. As can be seen in Figure 3b,e,h, this scenario showed smooth but steady changes in pressure over time.
It follows from an analysis of the graphs corresponding to the other two scenarios that the initial values of the orders of fractional derivatives significantly affected the entire process of fluid flow. Specifically, in Scenario 1, corresponding to the decreasing order functions, the order of the fractional derivative decreased with time, reflecting dynamics where memory effects diminished as the process evolved. This case is shown in Figure 3a,d,g. One can observe that when the initial fractional order was high, the system behaved more diffusively from the beginning. This led to faster development of pressure gradients, as the influence of the system’s past state was weaker. If the order decreases over time, the system becomes more sensitive to its history, slowing down pressure changes in the later stages.
On the contrary, Scenario 3 considered an increasing fractional order, modeling a system where the memory effects become more pronounced over time. One can observe that the system emphasized memory effects in the early stages, which resulted in a slower evolution of the pressure distribution initially, as the system retained more of its past states. In this case, the pressure gradients tended to develop gradually over time. If the order increases later, the system transitions toward more diffusive behavior, resembling classical dynamics with higher-order derivatives, accelerating the dissipation of pressure gradients.
A similar result follows from the analysis of the graphs presented in Figure 4 in Case II.
Now let us check the applicability of the proposed numerical scheme using the example of Problem 1 without a known exact solution in a heterogeneous porous medium.
Example 3. 
Consider Example 2 with the following input parameters: c ϕ = c f = 1 , and κ x is considered in the case shown in Figure 5.
Figure 5 illustrates a model porous medium confined within a finite domain, comprising two regions with distinct permeability values. The inner region represents the porous matrix with higher permeability, while the outer region corresponds to the surrounding medium with lower permeability. This configuration is designed to mimic real oil reservoirs, where the porous matrix and fractures coexist and significantly influence the fluid flow dynamics. In Example 3, we utilized this setup to investigate how the presence of regions with varying permeability affected the fluid flow process within fractured media and to determine the influence of the order functions of fractional derivatives on the fluid flow process.
For this purpose, the following nine scenarios were considered:
Scenario 1 : α t = β t = 0.5 , γ t = 0.5 , Scenario 2 : α t = β t = 0.5 , γ t = e t , Scenario 3 : α t = β t = 0.5 , γ t = e t 1 , Scenario 4 : α t = β t = e t , γ t = 0.5 , Scenario 5 : α t = β t = e t , γ t = e t , Scenario 6 : α t = β t = e t , γ t = e t 1 , Scenario 7 : α t = β t = e t 1 , γ t = 0.5 , Scenario 8 : α t = β t = e t 1 , γ t = e t , Scenario 9 : α t = β t = e t 1 , γ t = e t 1 .
These functions were chosen to model a variety of scenarios describing processes occurring in porous media, such as filtration and diffusion, where memory effects and changes in the properties of the medium over time are taken into account through variable orders of fractional derivatives.
Scenario 1 represents the classical case with constant values of the orders of fractional derivatives equal to 0.5, and models a process with constant memory and diffusion effects. Scenarios 2 and 3 are generalizations of Scenario 1 in which the order of the fractional derivative in the generalized Darcy law is a decreasing and increasing function. Similarly, Scenarios 4 and 7 are generalizations of Scenario 1 in which the order of the fractional derivative of pressure for the isothermal compressibility of the fluid and porous media is a decreasing and increasing function. The remaining cases correspond to various combinations of decreasing and increasing orders.
From the analysis of the pressure distribution shown in Figure 6, it can be concluded that the system exhibited a relatively stable behavior when γ ( t ) was constant at 0.5. The influence of other parameters α ( t ) and β ( t ) became more pronounced. In this case, the pressure distribution was fairly uniform and changed slowly over time if α ( t ) and β ( t ) were constant (Scenario 1). If α ( t ) and β ( t ) decreased (Scenario 4), the pressure decreased at later stages. If α ( t ) and β ( t ) increase (Scenario 7), one can expect an increase in pressure at later stages.
The decreasing exponential function γ ( t ) results in a decreasing contribution from the fractional order parameter over time. This creates conditions where the pressure starts to decrease at later stages. For different values of α ( t ) and β ( t ) , a uniform pressure distribution could be observed when α ( t ) and β ( t ) were constant (Scenario 2), but with a tendency to decrease. When α ( t ) and β ( t ) were also decreasing (Scenario 5), the pressure decreased sharply over time, which was more pronounced than in the other scenarios. With increasing α ( t ) and β ( t ) (Scenario 8), there was also an accumulation of pressure at early stages, but then it weakened due to the exponential decay of γ ( t ) .
The increasing exponential function γ ( t ) led to an increasing influence of fractional derivatives in the late stages of the simulation. This, in turn, can cause a significant decrease in pressure in the system. For a constant α ( t ) and β ( t ) (Scenario 3), the pressure distribution at later times became non-uniform and the pressure dropped sharply. When α ( t ) and β ( t ) decreased (Scenario 6), the pressure dropped significantly at later times. This created conditions under which the influence of decreasing parameters further amplified this drop. When α ( t ) and β ( t ) increase (Scenario 9), a strong decrease in pressure can be expected towards the end of the simulation, especially at high time values.

4. Conclusions

The following key results were achieved as a result of the conducted research:
(1) The choice of the fractional derivative order functions significantly affects the flow pattern. From the analysis of the computational experiment conducted with various combinations of monotone functions of fractional derivative orders, it was found that the pressure distribution at the final time depends on the initial values of the functions α t and β t , and the final values of the function γ t . In contrast to equations with constant order fractional derivatives, widely used in the works of other authors such as [5,83,84], the variable-order fractional-differential model allows flexible adjustment of the process parameters depending on the properties of the medium and fluid. Therefore, researchers have the opportunity to take into account the variability of the physical characteristics of a medium, which is especially important for problems in hydrogeology and the oil and gas industry. Compared to our previous work [16], which also used equations with fractional derivatives of constant order, significant progress can be noted.
The results of our study align with existing research on fluid flow modeling in porous media and provide additional insights into this process. For example, [85] emphasized how fracture properties, such as width and aspect ratio, influence fluid displacement; our results similarly demonstrate the significant impact of these factors on fluid flow. The stochastic models proposed in [86] for simulating variable porosity and permeability support our focus on heterogeneity, highlighting the importance of these factors for accurate fluid flow modeling. The works of [87,88] emphasized the significance of accounting for structural features, which complements our method of detailed structural modeling of a porous medium. In contrast to previous studies, our numerical solution for filtration in heterogeneous media, using variable-order fractional derivatives, allows us to simulate complex flow processes while accounting for temporal and spatial variations in the medium’s properties, demonstrating the unique advantages and high accuracy of our approach.
(2) For the first time, a finite element method was developed for solving fractional-order filtration equations in heterogeneous fractured-porous media with variable orders of fractional derivatives. The conducted a priori estimates and numerical experiments confirmed the stability of the proposed numerical scheme and its convergence order O h 2 + τ 2 . This makes it promising for further application, not only in filtration modeling problems, but also in other problems related to modeling processes in complex media.
(3) Further research could be aimed at adapting the proposed methods to model filtration processes in even more complex and multiscale natural systems, including taking into account nonlinear effects and stochastic factors. Further studies using field data are needed to confirm the practical applicability of the proposed methods in real conditions. This may include testing on the various types of porous media encountered in hydrogeology and the oil and gas industry. Future research may also focus on creating new algorithms that take into account variable orders of fractional derivatives, which will improve the accuracy and efficiency of modeling in complex heterogeneous media. It is important to study the possibility of integrating the developed methods with existing software packages used in industry and science, which will ensure wider dissemination and application of these methods in real projects.
Thus, the conducted study opens up new possibilities in the field of the numerical modeling of filtration processes and lays the foundation for further scientific developments aimed at solving problems in hydrogeology, the oil and gas industry, and related fields.

Author Contributions

Conceptualization, N.A. and A.B. (Abdumauvlen Berdyshev); methodology, N.A. and A.B. (Aibek Bakishev); software, N.A. and A.B. (Aibek Bakishev); validation, N.A. and A.B. (Aibek Bakishev); formal analysis, N.A. and A.B. (Abdumauvlen Berdyshev); investigation, N.A. and A.B. (Aibek Bakishev); writing-original draft preparation, N.A.; writing—review and editing, N.A., A.B. (Abdumauvlen Berdyshev) and A.B. (Aibek Bakishev); visualization, N.A. and A.B. (Aibek Bakishev); supervision, N.A.; project administration, N.A.; funding acquisition, N.A. All authors have read and agreed to the published version of the manuscript.

Funding

This research was funded by the Science Committee of the Ministry of Science and Higher Education of the Republic of Kazakhstan (Grant No. AP14972807).

Institutional Review Board Statement

Not applicable.

Informed Consent Statement

Not applicable.

Data Availability Statement

The original data and software codes presented in the study are openly available on Github at https://github.com/nalimbekova/VariableOrderFractionalFiltration, accessed on 3 September 2024.

Conflicts of Interest

The authors declare no conflicts of interest.

References

  1. Caputo, M. Models of flux in porous media with memory. Water Resour. Res. 2000, 36, 693–705. [Google Scholar] [CrossRef]
  2. Agarwal, R.; Yadav, M.P.; Baleanu, D.; Purohit, S.D. Existence and uniqueness of miscible flow equation through porous media with a non singular fractional derivative. AIMS Math. 2020, 5, 1062–1073. [Google Scholar] [CrossRef]
  3. Kasmi, L.; Guerfi, A.; Mesloub, S. Existence of solution for 2-D time-fractional differential equations with a boundary integral condition. Adv. Differ. Equ. 2019, 2019, 511. [Google Scholar] [CrossRef]
  4. Obembe, A.D.; Hossain, M.E.; Abu-Khamsin, S.A. Variable-order derivative time fractional diffusion model for heterogeneous porous media. J. Pet. Sci. Eng. 2017, 152, 391–405. [Google Scholar] [CrossRef]
  5. Gazizov, R.K.; Lukashchuk, S.Y. Drobno-differencial’nyj podhod k modelirovaniyu processov fil’tracii v slozhnyh neodnorodnyh poristyh sredah. Vestn. UGATU 2017, 21, 104–112. [Google Scholar]
  6. Jia, J.; Wang, H.; Zheng, X. A preconditioned fast finite element approximation to variable-order time-fractional diffusion equations in multiple space dimensions. Appl. Numer. Math. 2021, 163, 15–29. [Google Scholar] [CrossRef]
  7. Wei, L.; Li, W. Local discontinuous Galerkin approximations to variable-order time-fractional diffusion model based on the Caputo–Fabrizio fractional derivative. Math. Comput. Simul. 2021, 188, 280–290. [Google Scholar] [CrossRef]
  8. Rajput, P.; Srivastava, N.; Singh, V.K. A high order numerical method for the variable order timefractional reaction-subdiffusion equation. Chin. J. Phys. 2023, 85, 431–444. [Google Scholar] [CrossRef]
  9. Li, J.; Kang, X.; Shi, X.; Song, Y. A second-order numerical method for nonlinear variable-order fractional diffusion equation with time delay. Math. Comput. Simul. 2024, 219, 101–111. [Google Scholar] [CrossRef]
  10. Alimbekova, N.; Berdyshev, A.; Baigereyev, D. A Priori Estimates for the Solution of an Initial Boundary Value Problem of Fluid Flow through Fractured Porous Media. Axioms 2022, 8, 408. [Google Scholar] [CrossRef]
  11. Baigereyev, D.; Omariyeva, D.; Temirbekov, N.; Yergaliyev, Y.; Boranbek, K. Numerical Method for a Filtration Model Involving a Nonlinear Partial Integro-Differential Equation. Mathematics 2022, 10, 1319. [Google Scholar] [CrossRef]
  12. Baigereyev, D.R.; Berdyshev, A.S.; Alimbekova, N.B. Galerkin Approximations for an Initial Boundary Problem of Transient Flow in Fractured Porous Media. Lobachevskii J. Math. 2022, 43, 3048–3056. [Google Scholar] [CrossRef]
  13. Wei, Q.; Zhou, H.; Yang, S. Non-Darcy flow models in porous media via Atangana-Baleanu derivative. Chaos Solitons Fractals 2020, 141, 110335. [Google Scholar] [CrossRef]
  14. Atangana, A.; Baleanu, D. Caputo-Fabrizio Derivative Applied to Groundwater Flow within Confined Aquifer. J. Eng. Mech. 2016, 143, D4016005. [Google Scholar] [CrossRef]
  15. Ahmed Khalid, I.A.; Adam Haroon, D.S.; Almutairi, N.; Saber, S. Analytical solutions for a class of variableorder fractional Liu system under time-dependent variable coefficients. Results Phys. 2024, 56, 107311. [Google Scholar] [CrossRef]
  16. Baigereyev, D.; Alimbekova, N.; Berdyshev, A.; Madiyarov, M. Convergence Analysis of a Numerical Method for a Fractional Model of Fluid Flow inFractured Porous Media. Mathematics 2021, 9, 2179. [Google Scholar] [CrossRef]
  17. Sun, H.G.; Chang, A.; Zhang, Y.; Chen, W.V. A Review on Variable-Order Fractional Differential Equations: Mathematical Foundations, Physical Models, Numerical Methods and Applications. Fract. Calc. Appl. Anal. 2019, 22, 27–59. [Google Scholar] [CrossRef]
  18. Xu, Y.; Sun, H.; Zhang, Y.; Sun, H.; Lin, J. A novel meshless method based on RBF for solving variable-order time fractional advection-diffusion-reaction equation in linear or nonlinear systems. Comput. Math. Appl. 2023, 142, 107–120. [Google Scholar] [CrossRef]
  19. Lorenzo, C.F.; Hartley, T.T. Variable Order and Distributed Order Fractional Operators. Nonlinear Dyn. 2002, 29, 57–98. [Google Scholar] [CrossRef]
  20. Ke, R.; Ng, M.; Sun, H. A fast direct method for block triangular Toeplitz-like with tri-diagonal block systems from time-fractional partial differential equations. J. Comput. Phys. 2015, 303, 203–211. [Google Scholar] [CrossRef]
  21. Alimbekova, N.B.; Berdyshev, A.S.; Baigereyev, D.R. Parallel Implementation of the Algorithm for Solving a Partial Differential Equation with a Fractional Derivative in the Sense of Riemann-Liouville. In Proceedings of the 2021 IEEE International Conference on Smart Information Systems and Technologies (SIST), Nur-Sultan, Kazakhstan, 28–30 April 2021; pp. 1–6. [Google Scholar] [CrossRef]
  22. Xu, T.; Lu, S.; Chen, W.; Chen, H. Finite difference scheme for multi-termvariable-order fractional diffusion equation. Adv. Differ. Equations 2018, 2018, 103. [Google Scholar] [CrossRef]
  23. Bhrawy, A.H.; Zaky, M.A. Numerical simulation for two-dimensional variable-order fractional nonlinear cable equation. Nonlinear Dyn. 2014, 80, 101–116. [Google Scholar] [CrossRef]
  24. Zhong, W.; Li, C.; Kou, J. Numerical Fractional-Calculus Model for Two-Phase Flow in fractured media. Adv. Math. Phys. 2013, 2013, 429835. [Google Scholar] [CrossRef]
  25. Feng, L.; Turner, I.; Perré, P.; Burrage, K. An investigation of nonlinear time-fractional anomalous diffusion models for simulating transport processes in heterogeneous binary media. Commun. Nonlinear Sci. Numer. Simul. 2021, 92, 105454. [Google Scholar] [CrossRef]
  26. Shao, B.; Yang, H.; Zhao, H. Scalable fully implicit methods for subsurface flows in porous media with fractional derivative. Comput. Math. Appl. 2023, 134, 55–65. [Google Scholar] [CrossRef]
  27. Wang, Z.; Sun, H.; Tang, Z.; Li, B.; Qian, J.; Zhang, C. A fractional derivative model for nuclides transport in heterogeneous fractured media. J. Contam. Hydrol. 2023, 259, 104265. [Google Scholar] [CrossRef]
  28. El-Amin, M.F. Derivation of fractional-derivative models of multiphase fluid flows in porous media. J. King Saud Univ.-Sci. 2021, 33, 101346. [Google Scholar] [CrossRef]
  29. Hashan, M.; Jahana, L.N.; Zaman, T.U.; Imtiaz, S.; Hossain, M.E. Modelling of fluid flow through porous media using memory approach: A review. Math. Comput. Simul. 2020, 177, 643–673. [Google Scholar] [CrossRef]
  30. Obembe, A.D.; Hossain, M.E.; Mustapha, K.; Abu-Khamsin, S.A. A modified memory-based mathematical model describing fluid flow in porous media. Comput. Amp, Math. Appl. 2017, 73, 1385–1402. [Google Scholar] [CrossRef]
  31. Meilanov, R.R.; Akhmedov, E.N.; Beybalaev, V.D.; Magomedov, R.A.; Ragimkhanov, G.B.; Aliverdiev, A.A. To the theory of non-local non-isothermal filtration in porous medium. IOP Conf. Ser. J. Phys. Conf. Ser. 2018, 946, 012076. [Google Scholar] [CrossRef]
  32. Li, J.; Li, B.; Meng, Y. Solving generalized fractional problem on a funnel-shaped domain depicting viscoelastic fluid in porous medium. Appl. Math. Lett. 2022, 134, 108335. [Google Scholar] [CrossRef]
  33. Hashan, M.; Zaman, T.U.; Jahan, L.N.; Elhaj, M.; Imtiaz, S. Application of Memory Formalism and Fractional Derivative in Reservoir Simulation. In Proceedings of the SPE Trinidad and Tobago Section Energy Resources Conference, Port of Spain, Trinidad and Tobago, 25–26 June 2018; p. SPE-191213-MS. [Google Scholar]
  34. Jia, J.; Wang, H. Analysis of a hidden memory variably distributed-order space-fractional diffusion equation. Appl. Math. Lett. 2022, 124, 107617. [Google Scholar] [CrossRef]
  35. Blaszczyk, T.; Bekus, K.; Szajek, K.; Sumelka, W. Approximation and application of the Riesz-Caputo fractional derivative of variable order with fixed memory. Meccanica 2021, 57, 861–870. [Google Scholar] [CrossRef]
  36. Tvyordyj, D.A. Hereditary Riccati Equation with Fractional Derivative of Variable Order. J. Math. Sci. 2021, 253, 564–572. [Google Scholar] [CrossRef]
  37. Parovik, R.I. Explicit Finite-Difference Scheme for the Numerical Solution of the Model Equation of Nonlinear Hereditary Oscillator with Variable-Order Fractional Derivatives. Arch. Control Sci. 2016, 26, 429–435. [Google Scholar] [CrossRef]
  38. Sun, H.G.; Chen, W.; Sheng, H.; Chen, Y.Q. On mean square displacement behaviors of anomalous diffusions with variable and random orders. Phys. Lett. A 2010, 374, 906–910. [Google Scholar] [CrossRef]
  39. Hioual, A.; Ouannas, A.; Grassi, G.; Oussaeif, T. Nonlinear nabla variable-order fractional discrete systems: Asymptotic stability and application to neural networks. J. Comput. Appl. Math. 2023, 423, 114939. [Google Scholar] [CrossRef]
  40. Wang, S.; Zhang, H.; Jiang, X. Physics-informed neural network algorithm for solving forward and inverse problems of variable-order space-fractional advection–diffusion equations. Neurocomputing 2023, 535, 64–82. [Google Scholar] [CrossRef]
  41. Cooper, G.R.J.; Cowan, D.R. Filtering using variable order vertical derivatives. Comput. Geosci. 2004, 30, 455–459. [Google Scholar] [CrossRef]
  42. Sun, H.G.; Chen, W.; Chen, Y.Q. Variable-order fractional differential operators in anomalous diffusion modeling. Phys. A Stat. Mech. Its Appl. 2009, 388, 4586–4592. [Google Scholar] [CrossRef]
  43. Fu, Z.; Chen, W.; Ling, L. Method of approximate particular solutions for constant- and variable-order fractional diffusion models. Eng. Anal. Bound. Elem. 2015, 57, 37–46. [Google Scholar] [CrossRef]
  44. Jafari, H.; Ganji, R.M.; Salati, S.; Johnston, S.J. A mixed-method to numerical simulation of variable order stochastic advection diffusion equations. Alex. Eng. J. 2024, 89, 60–70. [Google Scholar] [CrossRef]
  45. Diaz, G.; Coimbra, C.F.M. Nonlinear dynamics and control of a variable order oscillator with application to the van der Pol equation. Nonlinear Dyn. 2008, 56, 145–157. [Google Scholar] [CrossRef]
  46. Ramirez, L.E.S.; Coimbra, C.F.M. A variable order constitutive relation for viscoelasticity. Ann. Phys. 2007, 519, 543–552. [Google Scholar] [CrossRef]
  47. Shen, S.; Liu, F.; Liu, Q.; Anh, V. Numerical simulation of anomalous infiltration in porous media. Numer. Algorithms 2014, 68, 443–454. [Google Scholar] [CrossRef]
  48. Gerasimov, D.N.; Kondratieva, V.A.; Sinkevich, O.A. An anomalous non-self-similar infiltration and fractional diffusion equation. Phys. D Nonlinear Phenom. 2010, 239, 1593–1597. [Google Scholar] [CrossRef]
  49. Zhang, M.; Jia, J.; Hendy, A.S.; Zaky, M.A.; Zheng, X. Fast numerical scheme for the time-fractional option pricing model with asset-price-dependent variable order. Appl. Numer. Math. 2023, 192, 414–430. [Google Scholar] [CrossRef]
  50. Bushnaq, S.; Shafiullah; Sarwar, M.; Alrabaiah, H. Existence theory and numerical simulations of variable order model of infectious disease. Results Appl. Math. 2023, 19, 100395. [Google Scholar] [CrossRef]
  51. Moualkia, S. Mathematical analysis of new variant Omicron model driven by Lévy noise and with variable-order fractional derivatives. Chaos Solitons Fractals 2023, 167, 113030. [Google Scholar] [CrossRef]
  52. Cai, W.; Chen, W.; Fang, J.; Holm, S. A Survey on Fractional Derivative Modeling of Power-Law Frequency-Dependent Viscous Dissipative and Scattering Attenuation in Acoustic Wave Propagation. Appl. Mech. Rev. 2018, 70, 030802. [Google Scholar] [CrossRef]
  53. Chen, W.; Zhang, J.; Zhang, J. A variable-order time-fractional derivative model for chloride ions sub-diffusion inconcrete structures. Fract. Calc. Appl. Anal. 2013, 16, 76–92. [Google Scholar] [CrossRef]
  54. Duc, T.M.; Van, H.N. Stabilization of impulsive fractional-order dynamic systems involving the Caputo fractional derivative of variable-order via a linear feedback controller. Chaos Solitons Fractals 2021, 153, 111525. [Google Scholar] [CrossRef]
  55. Avcı, İ.; Hussain, A.; Kanwal, T. Investigating the impact of memory effects on computer virus population dynamics: A fractal–fractional approach with numerical analysis. Chaos Solitons Fractals 2023, 174, 113845. [Google Scholar] [CrossRef]
  56. Patnaik, S.; Hollkamp, J.P.; Semperlotti, F. Applications of variable-order fractional operators: A review. Proc. R. Soc. A Math. Phys. Eng. Sci. 2020, 476, 20190498. [Google Scholar] [CrossRef]
  57. Sarwar, S. On the Existence and Stability of Variable Order Caputo Type Fractional Differential Equations. Fractal Fract. 2022, 6, 51. [Google Scholar] [CrossRef]
  58. Hussain, A.N.; Atangana, A.; Alkahtani, B.S. Study of a cauchy problem of fractional order derivative with variable order fractal dimension. Results Phys. 2023, 49, 106524. [Google Scholar] [CrossRef]
  59. Zhang, S.; Su, X. Unique existence of solution to initial value problem for fractional differential equation involving with fractional derivative of variable order. Chaos Solitons Fractals 2021, 148, 111040. [Google Scholar] [CrossRef]
  60. Abuasbeh, K.; Asia, K.; Ramsha, S.; Bilal, T.; Muna, A.A.; Muath, A. A Method for Solving Time-Fractional Initial Boundary Value Problems of Variable Order. Symmetry 2023, 15, 519. [Google Scholar] [CrossRef]
  61. Guo, Y.; Ye, G. Existence and Uniqueness of Weak Solutions to Variable-Order Fractional Laplacian Equations with Variable Exponents. J. Funct. Spaces 2021, 2021, 6686213. [Google Scholar] [CrossRef]
  62. Jong, K.S.; Choi, H.C.; Kim, M.C.; Kim, K.H.; Jo, S.H.; Ri, O. On the solvability and approximate solution of a one-dimensional singular problem for a p-Laplacian fractional differential equation. Chaos Solitons Fractals 2021, 147, 110948. [Google Scholar] [CrossRef]
  63. Van Bockstal, K. Existence of a unique weak solution to a non-autonomous time-fractional diffusion equation with space-dependent variable order. Adv. Differ. Equations 2021, 2021, 314. [Google Scholar] [CrossRef]
  64. Jiang, J.; Guirao, J.L.G.; Saeed, T. The existence of the extremal solution for the boundary value problems of variable fractional order differential equation with causal operator. Fractals 2020, 28, 2040025. [Google Scholar] [CrossRef]
  65. Refice, A.; Souid, M.S.; Yakar, A. Some qualitative properties of nonlinear fractional integrodifferential equations of variable order. Int. J. Optim. Control Theor. Appl. (IJOCTA) 2021, 11, 68–78. [Google Scholar] [CrossRef]
  66. Adel, M. Finite difference approach for variable order reaction–subdiffusion equations. Adv. Differ. Equations 2018, 2018, 406. [Google Scholar] [CrossRef]
  67. Ahmed, H.F.; Hashem, W.A. A fully spectral tau method for a class of linear and nonlinear variable-order timefractional partial differential equations in multi-dimensions. Math. Comput. Simul. 2023, 214, 388–408. [Google Scholar] [CrossRef]
  68. Ayazi, N.; Mokhtary, P.; Moghaddam, B.P. Efficiently solving fractional delay differential equations of variable order via an adjusted spectral element approach. Chaos Solitons Fractals 2024, 181, 114635. [Google Scholar] [CrossRef]
  69. Liu, J.; Li, X.; Wu, L. An Operational Matrix Technique for Solving Variable Order Fractional Differential-Integral Equation Based on the Second Kind of Chebyshev Polynomials. Adv. Math. Phys. 2016, 2016, 6345978. [Google Scholar] [CrossRef]
  70. Heydari, M.H.; Avazzadeh, Z. An operational matrix method for solving variable-order fractional biharmonic equation. Comput. Appl. Math. 2018, 37, 4397–4411. [Google Scholar] [CrossRef]
  71. Zhao, T.; Wu, Y. Hermite Cubic Spline Collocation Method for Nonlinear Fractional Differential Equations with Variable-Order. Symmetry 2021, 13, 872. [Google Scholar] [CrossRef]
  72. Moghaddam, B.P.; Machado, J.A.T.; Behforooz, H. An integro quadratic spline approach for a class of variable-order fractional initial value problems. Chaos Solitons Fractals 2017, 102, 354–360. [Google Scholar] [CrossRef]
  73. Zhao, X.; Zhong, S.Z.; Karniadakis, G.E. Second-order approximations for variable order fractional derivatives: Algorithms and applications. J. Comput. Phys. 2015, 293, 184–200. [Google Scholar] [CrossRef]
  74. Ju, Y.; Liu, Z.; Yang, J.; Xu, Q. Meshfree methods for the nonlinear variable-order fractional advection–diffusion equation. Eng. Anal. Bound. Elem. 2023, 156, 126–143. [Google Scholar] [CrossRef]
  75. Ju, Y.; Yang, J.; Liu, Z.; Xu, Q. Meshfree methods for the variable-order fractional advection–diffusion equation. Math. Comput. Simul. 2023, 211, 489–514. [Google Scholar] [CrossRef]
  76. Qu, H.D.; Liu, X.; Lu, X.; ur Rahman, M.; She, Z.H. Neural network method for solving nonlinear fractional advection-diffusion equation with spatiotemporal variable-order. Chaos Solitons Fractals 2022, 156, 111856. [Google Scholar] [CrossRef]
  77. Liu, H.; Zheng, X. Mathematical analysis and efficient finite element approximation for variable-order time-fractional reaction–diffusion equation with nonsingular kernel. Math. Methods Appl. Sci. 2021, 46, 8074–8088. [Google Scholar] [CrossRef]
  78. Atangana, A. Extension of rate of change concept: From local to nonlocal operators with applications. Results Phys. 2020, 19, 103515. [Google Scholar] [CrossRef]
  79. Ouyang, Y.; Wang, W. Comparison of Definition of Several Fractional Derivatives. In Proceedings of the 2016 6th International Conference on Education, Management and Computer Science (ICEMC 2016), Shenyang, China, 27–29 May 2016; pp. 553–557. [Google Scholar]
  80. Brezzi, F.; Fortin, M. Mixed and Hybrid Finite Element Methods; Springer: New York, NY, USA, 1991. [Google Scholar]
  81. Baigereyev, D.R.; Alimbekova, N.B.; Oskorbin, N.M. Error estimates of the numerical method for the filtration problem with Caputo-Fabrizio fractional derivatives. J. Math. Mech. Comput. Sci. 2022, 2, 101–116. [Google Scholar] [CrossRef]
  82. Yergaliyev, Y.; Madiyarov, M. Implicit Iterative Schemes for Solving Stationary Problems of an Incompressible Fluid with a Large Margin of Stability. In Computational and Information Technologies in Science, Engineering and Education, Proceedings of the 9th International Conference, CITech 2018, Ust-Kamenogorsk, Kazakhstan, 25–28 September 2018; Communications in Computer and Information Science; Shokin, Y., Shaimardanov, Z., Eds.; Springer: Cham, Switzerland, 2018; Volume 998. [Google Scholar] [CrossRef]
  83. Gazizov, R.K.; Kasatkin, A.A.; Lukashchuk, S.Y. Symmetries and exact solutions of fractional filtration equations. AIP Conf. Proc. 2017, 1907, 020010. [Google Scholar]
  84. Bulavatsky, V.M. Solutions of some problems of fractional-differential filtration dynamics based on models with ABC-fractional derivative. Cybern. Syst. Anal. 2017, 53, 732–742. [Google Scholar] [CrossRef]
  85. Qiu, X.; Lin, M.; Cao, G.; Jiang, W.; Ji, L. Dynamic simulation of immiscible displacement in fractured porous media. Phys. Fluids 2024, 36, 53105. [Google Scholar] [CrossRef]
  86. Ramirez, A.; Gonzalez, J.L.; Carrillo, F.; Lopez, S. Simulation of uncompressible fluid flow through a porous media. Chaos Solitons Fractals 2009, 39, 1753–1763. [Google Scholar] [CrossRef]
  87. Borgman, O.; Darwent, T.; Segre, E.; Goehring, L. and Holtzman, R. Immiscible fluid displacement in porous media with spatially correlated particle sizes. Adv. Water Resour. 2019, 128, 158–167. [Google Scholar] [CrossRef]
  88. Kamrava, S.; Sahimi, M. and Tahmasebi, P. Simulating fluid flow in complex porous materials by integrating the governing equations with deep-layered machines. NPJ Comput. Mater. 2021, 7, 127. [Google Scholar] [CrossRef]
Figure 1. Comparison of convergence orders in case of α = β = γ = 0.5 for h = 1 / 1000 [16].
Figure 1. Comparison of convergence orders in case of α = β = γ = 0.5 for h = 1 / 1000 [16].
Fractalfract 08 00640 g001
Figure 2. Fractured media samples considered in Example 2 in which blue lines indicate fractures.
Figure 2. Fractured media samples considered in Example 2 in which blue lines indicate fractures.
Fractalfract 08 00640 g002
Figure 3. Pressure field at different times for Example 2, Case I.
Figure 3. Pressure field at different times for Example 2, Case I.
Fractalfract 08 00640 g003
Figure 4. Pressure field at different times for Example 2, Case II.
Figure 4. Pressure field at different times for Example 2, Case II.
Fractalfract 08 00640 g004
Figure 5. Heterogeneous medium considered in Example 3.
Figure 5. Heterogeneous medium considered in Example 3.
Fractalfract 08 00640 g005
Figure 6. Pressure fields corresponding to considered scenarios at final time for Example 3.
Figure 6. Pressure fields corresponding to considered scenarios at final time for Example 3.
Fractalfract 08 00640 g006
Table 1. Empirical L 2 -error and convergence order of the numerical scheme obtained for Example 1 when h = 10 3 .
Table 1. Empirical L 2 -error and convergence order of the numerical scheme obtained for Example 1 when h = 10 3 .
Case 1Case 2Case 3
L 2 -ErrorOrder L 2 -ErrorOrder L 2 -ErrorOrder
1/10 8.8589 × 10 5 7.9861 × 10 5 5.8086 × 10 5
1/20 2.0255 × 10 5 2.13 1.9646 × 10 5 2.02 1.4374 × 10 5 2.01
1/40 4.9711 × 10 6 2.03 4.9162 × 10 6 2.00 3.6066 × 10 6 1.99
1/80 1.2384 × 10 6 2.01 1.2407 × 10 6 1.99 9.0909 × 10 7 1.99
1/160 3.0871 × 10 7 2.00 3.1442 × 10 7 1.98 2.3125 × 10 7 1.97
Table 2. Comparison of convergence orders in case of α = β = γ = 0.5 for h = 1 / 1000 .
Table 2. Comparison of convergence orders in case of α = β = γ = 0.5 for h = 1 / 1000 .
τ Results from [16]Our Results
L 2 -ErrorOrder L 2 -ErrorOrder
1/10 4.8729 × 10 4 8.1848 × 10 5
1/20 1.7764 × 10 4 1.46 1.9833 × 10 5 2.05
1/40 6.4089 × 10 5 1.47 5.0052 × 10 6 1.99
1/80 2.2962 × 10 5 1.48 1.2689 × 10 6 1.98
Disclaimer/Publisher’s Note: The statements, opinions and data contained in all publications are solely those of the individual author(s) and contributor(s) and not of MDPI and/or the editor(s). MDPI and/or the editor(s) disclaim responsibility for any injury to people or property resulting from any ideas, methods, instructions or products referred to in the content.

Share and Cite

MDPI and ACS Style

Alimbekova, N.; Bakishev, A.; Berdyshev, A. Numerical Method for the Variable-Order Fractional Filtration Equation in Heterogeneous Media. Fractal Fract. 2024, 8, 640. https://doi.org/10.3390/fractalfract8110640

AMA Style

Alimbekova N, Bakishev A, Berdyshev A. Numerical Method for the Variable-Order Fractional Filtration Equation in Heterogeneous Media. Fractal and Fractional. 2024; 8(11):640. https://doi.org/10.3390/fractalfract8110640

Chicago/Turabian Style

Alimbekova, Nurlana, Aibek Bakishev, and Abdumauvlen Berdyshev. 2024. "Numerical Method for the Variable-Order Fractional Filtration Equation in Heterogeneous Media" Fractal and Fractional 8, no. 11: 640. https://doi.org/10.3390/fractalfract8110640

APA Style

Alimbekova, N., Bakishev, A., & Berdyshev, A. (2024). Numerical Method for the Variable-Order Fractional Filtration Equation in Heterogeneous Media. Fractal and Fractional, 8(11), 640. https://doi.org/10.3390/fractalfract8110640

Article Metrics

Back to TopTop