Next Article in Journal
A Local Radial Basis Function Method for Numerical Approximation of Multidimensional Multi-Term Time-Fractional Mixed Wave-Diffusion and Subdiffusion Equation Arising in Fluid Mechanics
Next Article in Special Issue
Finite-Time Stability of Fractional-Order Switched Systems Based on Lyapunov Method
Previous Article in Journal
The Uniqueness and Iterative Properties of Positive Solution for a Coupled Singular Tempered Fractional System with Different Characteristics
Previous Article in Special Issue
Dynamic Analysis and Field-Programmable Gate Array Implementation of a 5D Fractional-Order Memristive Hyperchaotic System with Multiple Coexisting Attractors
 
 
Font Type:
Arial Georgia Verdana
Font Size:
Aa Aa Aa
Line Spacing:
Column Width:
Background:
Article

Exponential Quasi-Synchronization of Fractional-Order Fuzzy Cellular Neural Networks via Impulsive Control

by
Yiyao Zhang
1,
Mengqing Wang
1,
Fei Wang
1,*,
Junfeng Guo
1 and
Xin Sui
2
1
School of Mathematical Sciences, Qufu Normal University, Qufu 273165, China
2
School of Mathematics and Information Science, Yantai University, Yantai 264005, China
*
Author to whom correspondence should be addressed.
Fractal Fract. 2024, 8(11), 637; https://doi.org/10.3390/fractalfract8110637
Submission received: 9 September 2024 / Revised: 23 October 2024 / Accepted: 26 October 2024 / Published: 29 October 2024
(This article belongs to the Special Issue Advances in Fractional-Order Chaotic and Complex Systems)

Abstract

This paper investigates the exponential quasi-synchronization of fractional-order fuzzy cellular neural networks with parameters mismatch via impulsive control. Firstly, under the framework of the generalized Caputo fractional-order derivative, a new fractional-order impulsive differential inequality is established. Secondly, based on this fractional-order impulsive differential inequality, a general criterion for the quasi-synchronization of fractional-order systems is obtained. Then, specific to the fractional-order fuzzy cellular neural network model in this paper, the criteria and error estimation of the exponential quasi-synchronization of fractional-order fuzzy cellular neural networks can be obtained. Finally, two numerical examples are given to illustrate the effectiveness of the obtained results.

1. Introduction

Since the 1990s, theoretical research on fractional-order neural networks (FONNs) [1] has gradually emerged and has made remarkable progress in recent years. The development of FONNs stems from the improvement and expansion of the traditional integer-order neural network model. Integer-order neural networks have limitations in dealing with some complex systems with memory and genetic characteristics, while FONNs do not have them [2,3,4,5], so FONNs can describe the dynamic behavior of the system more accurately by introducing fractional-order differential equations. There are many types of FONNs, such as fractional-order bidirectional associative memory neural networks [6], fractional-order Hopfield neural networks [7], fractional-order cellular neural networks (FOCNNs) [8], etc. Among them, the fractional-order cellular neural network model has attracted much attention in recent years due to its wide application in the field of pattern recognition, prediction analysis and secret communication [9]. The existing results show that fractional-order increases the degree of freedom of the system and makes FOCNNs more flexible in dealing with complex systems [10,11,12,13], so fractional-order fuzzy cellular neural networks (FOFCNNs) will have broader development prospects and wider potential applications in the future.
Fuzzy systems have experienced remarkable development since they were put forward by Zadeh in the 1960s. Nowadays, fuzzy systems have developed into mature intelligent systems, which have wide applications [14,15,16,17]. These applications show the unique advantages of fuzzy systems in dealing with complex system control and uncertainty. In recent years, fuzzy factors have been considered in fractional-order cellular neural network models [15]. These systems not only combine the powerful learning ability of neural networks, but also integrate the fuzzy processing ability of fuzzy systems, so that the systems can make intelligent decisions in uncertain environment [18]. For example, in [19], the finite-time stability of FOFCNNs with time delay is studied, the global asymptotic stability of complex-valued FOFCNNs with impulsive effects and time-varying delays is studied in [20], and the asymptotic stability of FOFCNNs with fixed-time impulse and time delay is investigated in [21]. At the same time, it can be foreseen that the application prospects of fuzzy systems will be broader with the continuous application of fuzzy systems to other fields, such as in image recognition [22], natural language processing [23] and other fields. Furthermore, the research into FOFCNNs will be more and more in-depth. In this paper, the properties of FOFCNNs are studied and corresponding conclusions are given.
The synchronization of FOCNNs is a widely studied problem and many results have been obtained. However, sometimes synchronization cannot be achieved by only the dynamics of the system itself; therefore, some synchronization control methods are needed. The main control methods include continuous-time feedback control and discontinuous-time feedback control. Discontinuous-time feedback control is more resource-saving in practice, so it is widely used. As a typical kind of discontinuous-time feedback control, impulsive control was originally applied in the field of mechanical control [24], later it was gradually used in chaotic synchronization control [25], and now it is also frequently used in FOCNNs [26,27,28,29]. In this paper, the synchronization problem of FOFCNNs is studied based on impulsive control.
In cellular neural networks, due to the different functions and the differences of environment, the model parameters are usually different. At this time, complete synchronization cannot be achieved by static linear feedback control alone—only quasi-synchronization can be achieved. With the in-depth study of systems with parameters mismatch, faster quasi-synchronization speed and smaller system error have particularly been considered. Although the quasi-synchronization problem of FONNs has been studied by many people, and fuzzy systems have also been considered in neural networks, few researchers have paid attention to controlling FOFCNNs by impulsive control to achieve exponential quasi-synchronization.
Based on the issues highlighted in the above discussion, and considering the general cellular neural network model, this paper studies the exponential quasi-synchronization of FOFCNNs with parameters mismatch under impulsive control and gives the relevant controller. The main contributions of this paper are as follows:
  • Compared with the general cellular neural network model [30,31,32], fuzzy terms and parameters mismatch are considered in the model of cellular neural networks, which has a deep connection with other models. The results of this paper are all based on fuzzy cellular neural networks with parameters mismatch, so these conclusions can be generalized and they have strong application potential, especially in the case of high uncertainty.
  • In this paper, a new fractional-order impulsive differential inequality is proposed. The differential inequality is analyzed by using the Laplace transform and related properties. It can be found that the inequality can be used as a tool for the stability analysis of fractional-order impulsive systems. Compared with reference [33], the impulsive differential inequality proposed in this paper is more general, which is of great significance for future research on the exponential quasi-synchronization of fractional-order systems based on impulsive control.
  • Based on impulsive control, this paper obtains the quasi-synchronization criteria of FOFCNNs with parameters mismatch. As a corollary, the complete synchronization criterion of FOFCNNs with parameters match is given. The quasi-synchronization error bound, which is very close to the real error of the system, is estimated.
The rest of the article is organized as follows: In Section 2, the definition of a fractional-order derivative and the system model are introduced. Some assumptions about the system and a description of the impulsive controller are also given in this section. In Section 3, by introducing the definition of a Dini derivative, the Caputo fractional-order derivative is generalized, and its corresponding properties are also generalized. In Section 4, a new fractional-order impulsive differential inequality is proposed; by analyzing the inequality, the estimation of the solution of the inequality is obtained. In Section 5, the criteria for FOFCNNs to achieve exponential quasi-synchronization are derived. In order to prove the effectiveness of the results of this paper, some simulation examples are given in Section 6. Section 7 is a summary of the content of this paper and the prospects for future work.

2. Preliminaries and Problem Formulation

This section reviews the definition of fractional-order derivatives, and the definition and related properties of the Mittag–Leffler function are introduced. Related models, assumptions and lemmas are also introduced in this section.

2.1. Preliminaries of Fractional-Order Calculus

Definition 1
([34]). For a Lebesgue-integrable function ψ: [ a , b ] R , the fractional-order integral of order α ( 0 , + ) is defined by
I t α a ψ ( t ) = 1 Γ ( α ) a t ( t τ ) α 1 ψ ( τ ) d τ .
Definition 2
([34]). Let function ψ: [ a , b ] R be differentiable; the Caputo fractional-order derivative of order α ( 0 , 1 ) for ψ is defined as
D t α t 0 C ψ ( t ) = 1 Γ ( 1 α ) t 0 t ψ ˙ ( τ ) ( t τ ) α d τ .
Remark 1.
The Caputo fractional-order derivative defined by Definition 2 requires that the function to be derived must be differentiable, which limits the application of the Caputo fractional-order derivative. For example, for the absolute value function, the Caputo fractional-order derivative can not be used, which greatly limits the research on the consistency of FOCNNs. In Section 3, the Dini derivative, which can relax this constraint, will be introduced.
In the study of fractional-order differential equations, the Mittag–Leffler function not only provides the basis of the theoretical framework, but also plays an irreplaceable role in solving and approximating these equations. In the following, the definition and properties of the Mittag–Leffler function are introduced.
Definition 3
([29]). The two-parameter Mittag–Leffler function is defined by
E α , β ( z ) = k = 0 z k Γ ( α k + β ) ,
where α > 0 , β > 0 , z C .
For β = 1 , its one-parameter form is
E α = k = 0 z k Γ ( α k + 1 ) = E α , 1 ( z ) .
The Laplace transform is an important tool for studying fractional-order differential equations. Next, the Laplace transform formulas of the Mittag–Leffler function are introduced and the monotonicity of the Mittag–Leffler function will be given in special cases.
Lemma 1
([35]). For p i , r i R , n N , the following statements are correct:
1. 
if β = α , then the following equality holds:
L 1 i = 1 n r i s α + p i = i = 1 n r i t α 1 E α , α ( p i t α ) ,
2. 
if β = α + 1 , the following equality holds:
L 1 i = 1 n r i s ( s α + p i ) = i = 1 n r i t α E α , α + 1 ( p i t α ) = i = 1 n r i p i [ 1 E α ( p i t α ) ] .
Lemma 2
([36]). Let 0 < α < 1 and t t 0 , then function E α ( μ ( t t 0 ) α ) is non-negative and
1. 
E α ( μ ( t t 0 ) α ) is monotonically non-increasing and 0 E α ( μ ( t t 0 ) α ) 1 for t t 0 when μ 0 ;
2. 
E α ( μ ( t t 0 ) α ) is monotonically non-decreasing and E α ( μ ( t t 0 ) α ) 1 for t t 0 when μ 0 .

2.2. System Model and Assumptions

Next, the specific model of FOFCNNs is introduced and the related system properties are explained.
Considering the following m-dimensional FOFCNNs [31] as:
D t α t n C x i ( t ) = c i x i ( t ) + k = 1 m a i k f k x k ( t ) + k = 1 m b i k v k + k = 1 m α i k h k ( x k ( t ) ) + k = 1 m β i k h k ( x k ( t ) ) + k = 1 m w i k v k + k = 1 m q i k v k + I ˜ i ,
under the initial conditions x i ( t 0 ) = ψ i , where i I { 1 , 2 , , m } , x i ( t ) represents the state variable of the i th neuron at time t. a i k , b i k denote the elements of the fuzzy feedback templates, c i represents the passive decay rate of the i th neuron; ⋀ and ⋁, denote the fuzzy AND and fuzzy OR operations, α i k and β i k denote the fuzzy minimum and maximum feedback templates, respectively; w i k and q i k denote the fuzzy minimum and maximum feed-forward templates, respectively. I ˜ i and v i denote the bias and input of i th neuron, f k and h k represent the activation functions and interaction functions of the k th neurons at time t, and { t n , n N + } is the impulsive sequence. Here, ψ ( t ) = ( ψ 1 ( t ) , ψ 2 ( t ) , , ψ m ( t ) ) T R m represents the Banach space of all continuous functions with p norm ( p > 0 is an integer) given as
| | ψ | | p = sup t N i = 1 m | ψ i ( t ) | p 1 p .
Definition 4
([29]). Let r > 0 and
χ ( t ) = 1 r , 0 t < r 0 , t r ,
the limiting form of χ ( t ) , denoted by δ ( t ) , is called the D i r a c delta function, delta impulse, Dirac impulse, or unit impulse, that is, δ ( t ) = lim r 0 χ ( t ) .
This paper considers system (1) as the drive system and the response system is
D t α t n C y i ( t ) = c ˜ i y i ( t ) + k = 1 m a ˜ i k f k y k ( t ) + k = 1 m b ˜ i k v k + k = 1 m α i k h k ( y k ( t ) ) + k = 1 m β i k h k ( y k ( t ) ) + k = 1 m w i k v k + k = 1 m q i k v k + I ˜ i + u i ( t ) ,
under the initial conditions y i ( t 0 ) = φ i , where c ˜ i represents the passive decay rate for the ith neuron, a ˜ i k , b ˜ i k are the elements of the feed-back templates, and u i ( t ) is the control input.
Here, this paper assumes θ i ( t ) = y i ( t ) x i ( t ) , i I , that is,
θ ( t ) = [ θ 1 ( t ) , θ 2 ( t ) , , θ m ( t ) ] T ,
denotes the error vector, and the error system is
D t α t n C θ i ( t ) = c ˜ i θ i ( t ) + k = 1 m a ˜ i k f k ( y k ( t ) ) f k ( x k ( t ) ) + k = 1 m ( b ˜ i k b i k ) v k + k = 1 m α i k h k ( y k ( t ) ) k = 1 m α i k h k ( x k ( t ) ) + k = 1 m β i k h k ( y k ( t ) ) k = 1 m β i k h k ( x k ( t ) ) + g i ( x i ( t ) ) + u i ( t ) ,
where g i ( x i ( t ) ) = Δ c i x i ( t ) + k = 1 m Δ a i f k ( x k ( t ) ) , Δ c i = c ˜ i c i and Δ a i = a i k a ˜ i k .
Using Definition 4, the impulsive controller u i ( t ) is defined by
u i ( t ) = d i δ ( t t n ) × θ i ( t n ) ,
in which i = 1 , 2 , , m , d i 0 is the control gain.
Definition 5
([30]). The average impulsive interval of the impulsive sequence { t n , n N + } is equal to T a if there is a non-negative number N 0 and a positive number T a such that
t t 0 T a N 0 N ( t , t 0 ) t t 0 T a + N 0 ,
where N ( t , t 0 ) denotes the number of impulsive times of the impulsive sequence on the interval ( t 0 , t ) .
Assumption 1.
The average impulsive interval of the impulsive sequence is ( t n 1 , t n ) and there are two constants 0 < T min < T max < + such that T min t n t n 1 T max for all n N + .
Note that:
D t α t n C θ i ( t ) = σ i ( t ) + u i ( t ) ,
where
σ i ( t ) = c ˜ i θ i ( t ) + k = 1 m a ˜ i k f k ( y k ( t ) ) f k ( x k ( t ) ) + k = 1 m ( b ˜ i k b i k ) v k + k = 1 m α i k h k ( y k ( t ) ) k = 1 m α i k h k ( x k ( t ) ) + k = 1 m β i k h k ( y k ( t ) ) k = 1 m β i k h k ( x k ( t ) ) + g i ( x i ( t ) ) .
In order to better analyze the impulsive system, similar to the method in  [29], we can use the following lemma to transform the impulsive differential equality into the impulsive differential equation.
Lemma 3
([29]). This paper considers the following fractional-order controlled system
D t α t n C z ( t ) = f ( t , z ( t ) ) + u ( t ) , t n < t t n + 1 u ( t ) = I n + 1 z ( t n + 1 ) δ ( t t n + 1 ) , n N ,
where δ is the function defined in Definition 4, t n < t n + 1 for each n N + and lim n + t n = + , I n : R m R m is called the impulsive function satisfying I n ( 0 ) = 0 for n N + .
Then, the above system (7) can be rewritten as the following impulsive differential equations:
D t α t n C z ( t ) = f ( t , z ( t ) ) , t n < t t n + 1 Δ z ( t n + 1 ) = z ( t n + 1 + ) z ( t n + 1 ) = I ( z ( t n + 1 ) ) Γ ( α + 1 ) , n N ,
where z ( t 0 ) = z ( t 0 + ) and z ( t n ) = z ( t n ) for n N + .
According to Lemma 3, the error system (6) can be rewritten as follows:
D t α t n C θ i ( t ) = σ i ( t ) , t n < t t n + 1 Δ θ i ( t n + 1 ) = θ i ( t n + 1 + ) θ i ( t n + 1 ) = d i Γ ( α + 1 ) θ i ( t n + 1 ) , n N .
Assumption 2.
The neuron activation functions f k , h k have Lipschitz continuity, then k I , L k > 0 and H k > 0 , such that
| f k ( x ) f k ( y ) | L k | x y | , x , y R ,
| h k ( x ) h k ( y ) | H k | x y | , x , y R .
Assumption 3.
Suppose that x ( t ) is bounded, then t > 0 and p N + , M > 0 , such that
| | x ( t ) | | p M , t > 0 .
Remark 2.
Therefore, because of the continuity of f i , there is M ¯ i > 0 in the interval ( t n , t n + 1 ] , i I , and there is
g i ( x i ( t ) ) M ¯ i , t ( t n , t n + 1 ] .
Assumption 4.
Suppose the input of the ith neuron is bounded. Then, i I , M ˜ i > 0 , such that
v i M ˜ i , i I .
The following result is significant in fuzzy systems. Although it has been proved in [33], there is another way to prove it.
x and y are the i-th neurons of system 1 and 2, respectively.
Lemma 4.
If x i and y i  are the ith neurons of the FOFCNN (1) and (3), respectively, i = 1 , 2 , , m , then one has
k = 1 m α i k h k ( x k ) k = 1 m α i k h k ( y k ) k = 1 m α i k h k ( x k ) h k ( y k ) ,
k = 1 m β i k h k ( x k ) k = 1 m β i k h k ( y k ) k = 1 m β i k h k ( x k ) h k ( y k ) ,
where the meaning of each symbol is the same as that in (1).
Proof. 
First, proving the first inequality. According to the definition of the fuzzy intersection operator, suppose j , l I , such that
k = 1 m α i k h k ( x k ) = min 1 k m { α i k h k ( x k ) } = α i j h j ( x j ) ,
k = 1 m α i k h k ( y k ) = min 1 k m { α i k h k ( y k ) } = α i l h l ( y l ) .
It may be assumed here that α i j h j ( x j ) α i l h l ( y l ) , then we have:
Case
1:  α i j h j ( x j ) α i l h l ( x l ) α i l h l ( y l ) ,
By the definition of α i l h l ( y l ) : α i j h j ( x j ) α i l h l ( x l ) α i l h l ( y l ) α i j h j ( y j ) ,
and we have
α i j h j ( x j ) α i l h l ( y l ) α i j h j ( x j ) α i j h j ( y j ) max α i j h j ( x j ) α i j h j ( y j ) , α i l h l ( x l ) α i l h l ( y l ) ;
Case
2:  α i l h l ( y l ) α i l h l ( x l ) α i j h j ( y j ) ,
By the definition of α i l h l ( y l ) : α i j h j ( x j ) α i l h l ( y l ) α i l h l ( x l ) α i j h j ( y j ) ,
and we have:
α i j h j ( x j ) α i l h l ( y l ) α i j h j ( x j ) α i j h j ( y j ) max α i j h j ( x j ) α i j h j ( y j ) , α i l h l ( x l ) α i l h l ( y l ) ;
Case
3:  α i l h l ( x l ) α i j h j ( y j ) ,
By the definition of α i l h l ( y l ) : α i j h j ( x j ) α i l h l ( y l ) α i j h j ( y j ) α i l h l ( x l ) ,
and we can obtain:
α i j h j ( x j ) α i l h l ( y l ) α i j h j ( x j ) α i j h j ( y j ) max α i j h j ( x j ) α i j h j ( y j ) , α i l h l ( x l ) α i l h l ( y l ) .
To sum up, when α i j h j ( x j ) α i l h l ( y l ) , there is:
α i j h j ( x j ) α i l h l ( y l ) max α i j h j ( x j ) α i j h j ( y j ) , α i l h l ( x l ) α i l h l ( y l ) .
Similarly, when α i l h l ( y l ) α i j h j ( x j ) , there is:
α i j h j ( x j ) α i l h l ( y l ) α i l h l ( x l ) α i l h l ( y l ) max α i j h j ( x j ) α i j h j ( y j ) , α i l h l ( x l ) α i l h l ( y l ) ,
then,
k = 1 m α i k h k ( x k ) k = 1 m α i k h k ( y k ) = α i j h j ( x j ) α i l h l ( y l ) max α i j h j ( x j ) α i j h j ( y j ) , α i l h l ( x l ) α i l h l ( y l ) k = 1 m α i k h k ( x k ) h k ( y k ) . .
This conclusion is proved.    □

3. Generalized Caputo Fractional-Order Derivative

In Remark 1, the limitation of the Caputo derivative has been analyzed. In order to relax the requirement of the derivative function, the generalized Caputo fractional-order derivative is introduced and the related properties are generalized in this section. At the same time, with regard to the generalized Caputo derivative, a very important lemma is introduced, which is about the estimation of the solution of the generalized fractional-order differential inequality.
Definition 6
([37]). For 0 < α < 1 , the generalized Caputo fractional-order derivative is defined as
D t α + t 0 C ψ ( t ) = 1 Γ ( 1 α ) t 0 t D + ψ ( τ ) ( t τ ) α d τ ,
in which D + ψ ( t ) = lim sup h 0 + ψ ( t + h ) ψ ( t ) h is the upper right-hand Dini derivative of ψ ( t ) .
Remark 3.
In this definition, the so-called Dini derivative of the function is the left/right limit of the upper/lower supremum of this function, which usually exists, even if the function is not differentiable. Therefore, the Caputo fractional-order derivative defined by the Dini derivative reduces the dependence on the differentiability of the function and has been used in the analysis of various fractional-order systems [31,38,39,40].
In order to better apply the generalized Caputo fractional-order derivative in system analysis, some of its basic properties are introduced.
Lemma 5
([29]). Let f ( t ) be a continuous and differential function on an interval I R , then
D t α + t 0 C | f ( t ) | sign f ( t ) D t α t 0 C f ( t ) ,
where t 0 , t I , and t t 0 .
Lemma 6
([29]). Let function f ( t ) be continuous on an interval I R . Then, for t 0 I and 0 < α < 1
I t α t 0 D t α + t 0 C f ( t ) = f ( t ) f ( t 0 ) ,
where t I and t t 0 .
Lemma 7.
Let V ( t ) be a continuous and non-negative function defined on [ t 0 , T ] and which satisfies
D t α + t 0 C V ( t ) ρ V ( t ) + λ ,
where 0 < α < 1 , T t t 0 , and ρ are constants. Then,
V ( t ) V ( t 0 ) E α ρ ( t t 0 ) α λ ρ [ 1 E α ( ρ ( t t 0 ) α ) ] .
Remark 4.
The above results are also valid for Caputo fractional-order derivatives, because the results of the integration of these two kinds of fractional-order derivative are the same, and the proof process is roughly the same, which is not proved further in detail here. And if λ = 0 , then the result in [29] can also be given. Namely, let V ( t ) be a continuous and non-negative function defined on [ t 0 , T ] and which satisfies
D t α + t 0 C V ( t ) ρ V ( t ) ,
where 0 < α < 1 , T t t 0 , and ρ are constants. Then,
V ( t ) V ( t 0 ) E α ρ ( t t 0 ) α .
It shows that this is the special case of Lemma 7 when λ = 0 . In this paper, the case of parameters mismatch is considered, so λ 0 , which makes the proof process more complicated, but the obtained result is more general and practical than the conclusion in [29].

4. A Novel Impulsive Fractional-Order Differential Inequality

In this section, a new fractional-order impulsive differential inequality is proposed. By analyzing the solution of this inequality, the solution of this differential inequality can be estimated by the initial value condition, so it can be applied to the exponential quasi-synchronization analysis of FOFCNNs.
Theorem 1.
Under the premise of Assumption 1, suppose that V ( t ) is a piecewise continuous and non-negative function which satisfies the following inequalities:
D t α + t n C V ( t ) μ V ( t ) + λ , t n < t t n + 1 V ( t n + 1 + ) V ( t n + 1 ) , n N ,
where V ( t 0 + ) = V ( t 0 ) , 0 < α < 1 , μ R , R + , λ 0 . Then, the following statement is true:
1. 
If μ 0 and a < 1 , then V ( t ) ( a ) N 0 e ln ( a ) T a ( t t 0 ) V ( t 0 ) + b 1 ( a ) N 0 e ln ( a ) T a ( t t 0 ) 1 a + b ,
2. 
If μ > 0 and a ¯ < 1 , then V ( t ) [ a ¯ ( a ¯ ) N 0 ] e ln ( a ¯ ) T a ( t t 0 ) V ( t 0 ) + b 1 ( a ¯ ) N 0 e ln ( a ¯ ) T a ( t t 0 ) 1 a ¯ + b ,
where a = E α μ T min α < 1 , a ¯ = E α ( μ T max α ) > 1 , b = λ μ [ E α ( μ T max α ) 1 ] > 0 , and N 0 are positive integers defined by Definition 5.
Proof. 
On the one hand, based on Lemma 7, for t t 0
V ( t ) V ( t 0 ) E α μ ( t t 0 ) α λ μ [ 1 E α ( μ ( t t 0 ) α ) ] .
For t t 1 , n ¯ N + such that t n ¯ < t t n ¯ + 1 , with Assumption 1 and Lemma 2.
When μ 0 , for t t 0 , E α ( μ ( t t 0 ) α ) 1 ; so, we have:
V ( t ) V ( t n ¯ + ) E α μ ( t t n ¯ ) α λ μ [ 1 E α ( μ ( t t n ¯ ) α ) ] V ( t n ¯ + ) λ μ [ 1 E α ( μ T max α ) ] = V ( t n ¯ + ) + b ,
where b = λ μ [ 1 E α ( μ T max α ) ] > 0 .
On the other hand, for n N + ,
V ( t n + ) V ( t n ) [ V ( t n 1 + ) E α μ ( t n t n 1 ) α λ μ 1 E α ( μ ( t n t n 1 ) α ) ] [ a V ( t n 1 + ) + b ] ,
where a = E α μ T min α < 1 .
Hence, by the use of recursion
V ( t n ¯ + ) [ a V ( t n ¯ 1 + ) + b ] a [ a V ( t n ¯ 2 + ) + b ] + b a n ¯ n ¯ V ( t 0 ) + n ¯ a n ¯ 1 b + + 2 a b + b = n ¯ a n ¯ V ( t 0 ) + b n ¯ + 1 a n ¯ 1 a = e n ¯ ln ( a ) V ( t 0 ) + b 1 e n ¯ ln ( a ) 1 a + b .
Based on the Definition 5, there exists a positive integer N 0 such that for any t n ¯ < t t n ¯ + 1 ,
t t 0 T a N 0 n ¯ t t 0 T a + N 0 ,
then by a = E α ( μ T min α ) < 1 , there is:
V ( t ) ( a ) N 0 e ln ( a ) T a ( t t 0 ) V ( t 0 ) + b 1 ( a ) N 0 e ln ( a ) T a ( t t 0 ) 1 a + b .
When μ > 0 , for t t 0 , E α ( μ ( t t 0 ) α ) 1 , there is:
V ( t ) V ( t n ¯ + ) E α ( μ ( t t n ¯ ) α ) λ μ [ 1 E α ( μ ( t t n ¯ ) α ) ] V ( t n ¯ + ) E α ( μ T max α ) λ μ [ 1 E α ( μ T max α ) ] = a ¯ V ( t n ¯ + ) + b ,
where a ¯ = E α ( μ T max α ) > 1 , b = λ μ [ 1 E α ( μ T max α ) ] > 0 .
Based on a ¯ = E α ( μ T max α ) < 1 , in a similar way, N 0 N + , such that:
V ( t ) [ a ¯ ( a ¯ ) N 0 ] e ln ( a ¯ ) T a ( t t 0 ) V ( t 0 ) + b 1 ( a ¯ ) N 0 e ln ( a ¯ ) T a ( t t 0 ) 1 a ¯ + b .
Finally, the conclusion is proved.    □
Remark 5.
By using the recursive method to prove Theorem 1, we can see that there are still similar results in the general Caputo fractional-order derivative and the integer-order derivative, which can be guaranteed by the fact that the Remark 4 and the integer order is a special fractional order. At the same time, Theorem 2 in [29] is a special case of the above theorem when λ = 0 .
The result of Theorem 1 is obtained when the impulsive sequence is not periodic. As a special case, the result that the impulsive sequence is periodic can still be obtained, which is expressed in the following corollary:
Corollary 1.
The impulsive sequence is { t n , n N + } and there is a constant T < + such that t n t n 1 = T for all n N . Suppose that V ( t ) is a piecewise continuous and non-negative function which satisfies the inequalities (9) and the corresponding conditions. Then, the following statements are true:
1. 
If μ 0 and a < 1 , then V ( t ) ( a ) N 0 e ln ( a ) T ( t t 0 ) V ( t 0 ) + b 1 ( a ) N 0 e ln ( a ) T ( t t 0 ) 1 a + b ,
2. 
If μ > 0 and a < 1 , then V ( t ) [ a ( a ) N 0 ] e ln ( a ) T ( t t 0 ) V ( t 0 ) + b 1 ( a ) N 0 e ln ( a ) T ( t t 0 ) 1 a + b ,
where a = E α μ T α and b = λ μ [ 1 E α ( μ T α ) ] > 0 , N 0 is a positive integer.
For the Theorem 1, using the norm to limit the function V ( t ) when the V ( t ) is a vector of error θ ( t ) , the following theorem is right:
Theorem 2.
Under Assumption 1, if there exists a piece-wise continuous function V ( t , θ ( t ) ) : [ t 0 , + ) × R m N with V ( t , 0 ) = 0 and constants ȷ 1 > 0 , ȷ 2 > 0 , ı > 0   > 0 , and λ , η R + , such that
ȷ 1 | | θ ( t ) | | p ı V ( t , θ ( t ) ) ȷ 2 | | θ ( t ) | | p ı ,
D t α + t n C V ( t , θ ( t ) ) | | θ ( t ) | | p ı + λ , t n < t t n + 1 ,
V ( t n + 1 + , θ ( t n + 1 + ) ) η V ( t n + 1 , θ ( t n + 1 ) ) , n N ,
then, the following statements are true:
1. 
If 0 and η a < 1 , then
| | θ ( t ) | | p ı 1 ȷ 1 ( η a ) N 0 e ln ( η a ) T a ( t t 0 ) V ( t 0 , θ ( t 0 ) ) + 1 ȷ 1 b η 1 ( η a ) N 0 e ln ( η a ) T a ( t t 0 ) 1 η a + b ȷ 1 ,
2. 
If > 0 and η a ¯ < 1 , then
| | θ ( t ) | | p ı 1 ȷ 1 [ a ¯ ( η a ¯ ) N 0 ] e ln ( η a ¯ ) T a ( t t 0 ) V ( t 0 , θ ( t 0 ) ) + 1 ȷ 1 b 1 ( η a ¯ ) N 0 e ln ( η a ¯ ) T a ( t t 0 ) 1 η a ¯ + b ȷ 1 ,
and the corresponding systems can realize exponential quasi-synchronization.
Proof. 
Based on (10) and (11), the following inequalities can be easily derived:
D t α + t n C V ( t , θ ( t ) ) ȷ 2 V ( t , θ ( t ) ) + λ ȷ 2 , 0 , n N D t α + t n C V ( t , θ ( t ) ) ȷ 1 V ( t , θ ( t ) ) + λ ȷ 1 , > 0 , n N .
For t t 1 , n ¯ N + , t n ¯ < t t n ¯ + 1 , based on Theorem 1 and Definition 5, we have:
If 0 , then, when η a = η E α ( ȷ 2 T min α ) < 1 , we have
V ( t , θ ( t ) ) ( η a ) N 0 e ln ( η a ) T a ( t t 0 ) V ( t 0 , θ ( t 0 ) ) + b η 1 ( η a ) N 0 e ln ( η a ) T a ( t t 0 ) 1 η a + b ,
where b = λ [ 1 E α ( ȷ 2 T max α ) ] and N 0 is a positive integer defined by Definition 5.
Similarly, if > 0 , then, when η a ¯ = η E α ( ȷ 1 T max α ) < 1 , we have
V ( t , θ ( t ) ) [ a ¯ ( η a ¯ ) N 0 ] e ln ( η a ¯ ) T a ( t t 0 ) V ( t 0 , θ ( t 0 ) ) + b 1 ( η a ¯ ) N 0 e ln ( η a ¯ ) T a ( t t 0 ) 1 η a ¯ + b .
Based on (10),
| | θ ( t ) | | p ı 1 ȷ 1 V ( t , θ ( t ) ) ,
then the conclusions are proved.    □
Remark 6.
Theorem 2 generalizes the existed Lyapunov method for the stability analysis of impulsive fractional-order systems and plays an important role in synchronization analysis. Compared with the previous conclusions, the conclusion of Theorem 2 is more operable in practice.

5. Main Results

In this section, the exponential quasi-synchronization problem of FOFCNNs is analyzed. By providing a suitable impulsive controller to control the system, the conditions under which the system can achieve exponential quasi-synchronization are obtained.
Definition 7
([32]). It is said that a drive system (1) and response system (3) with impulsive control (5) can achieve exponential quasi-synchronization with an error bound δ 0 if there exist constants M > 0 and r > 0 such that
| | θ ( t ) | | p M e r ( t t 0 ) + δ ,
for any t 0 ; here, r is said to be the exponential convergence rate and θ ( t ) is the system error. In particular, a drive system (1) and response system (3) with impulsive control (5) are said to be exponentially synchronized when δ = 0 .
In order to more clearly show the overall framework of this article, this article presents the flowchart below. From Figure 1, the key steps required for the processing system which are conducive to the application of this article and subsequent simulation can be clearly seen.
Now, based on the rewritten error system (8), the exponential quasi-synchronization problem of FOFCNNs under the controller (5) is studied. The results are as follows:
Theorem 3.
Let λ = i = 1 m | k = 1 m b ˜ i k b i k v k | + M ¯ i and ϕ = max i I 1 d i Γ ( α + 1 ) , then under the Assumptions 1–4, drive-response systems (1) and (3) can achieve exponential quasi-synchronization with the impulsive controller (5) and the corresponding quasi-synchronization error bound δ can also be obtained if one of the following conditions holds:
1. 
If 0 , and ϕ E α ( T min α ) < 1 ;
2. 
If > 0 , and ϕ E α ( T max α ) < 1 ,
where = max i = 1 , 2 , , n c ˜ i + k = 1 m | a ˜ i k | L k + k = 1 m ( | α i k | + | β i k | ) H k ,
and the corresponding upper bound of the quasi-synchronization errors is also estimated:
1. 
If 0 , and ϕ E α ( T min α ) < 1 , then the quasi-synchronization error bound δ is b ϕ 1 ϕ a + b ;
2. 
If > 0 , and ϕ E α ( T max α ) < 1 , then the quasi-synchronization error bound δ is b ϕ 1 ϕ a ¯ + b .
Proof. 
Choose a candidate Lyapunov function as follows:
V ( t ) = i = 1 m | θ i ( t ) | .
For any t ( t n , t n + 1 ] , n N , taking the derivative of V ( t ) along the trajectories of the error system (4) and using Lemma 5 with regard to the inequalities of the generalized Caputo derivatives:
D t α + t n C V ( t ) = D t α + t n C i = 1 m | θ i ( t ) | i = 1 m sign θ i ( t ) · D t α t n C θ i ( t ) = i = 1 m sign ( θ i ( t ) ) c ˜ i θ i ( t ) + k = 1 m a ˜ i k f k ( y k ( t ) ) f k ( x k ( t ) ) + k = 1 m ( b ˜ i k b i k ) v k + k = 1 m α i k h k ( y k ( t ) ) k = 1 m α i k h k ( x k ( t ) + k = 1 m β i k h k ( y k ( t ) ) k = 1 m β i k h k ( x k ( t ) ) + g i ( x i ( t ) ) i = 1 m sign ( θ i ( t ) ) c ˜ i θ i ( t ) + k = 1 m | a ˜ i k | L k | y k ( t ) x k ( t ) | + k = 1 m ( b ˜ i k b i k ) v k + k = 1 m | α i k | | h k ( y k ) h k ( x k ) | + k = 1 m | β i k | | h k ( y k ( t ) ) h k ( x k ( t ) ) | + g i ( x i ( t ) ) i = 1 m sign ( θ i ( t ) ) c ˜ i θ i ( t ) + k = 1 m | a ˜ i k | L k | θ k ( t ) | + k = 1 m ( b ˜ i k b i k ) v k + k = 1 m | α i k | H k | y k x k | + k = 1 m | β i k | H k | y k x k | + g i ( x i ( t ) ) i = 1 m c ˜ i + k = 1 m | a ˜ i k | L k + k = 1 m | α i k | H k + k = 1 m | β i k | H k | θ i ( t ) | + i = 1 m | k = 1 m ( b ˜ i k b i k ) v k | + M ¯ i .
Let
= max i = 1 , 2 , , m c ˜ i + k = 1 m | a ˜ i k | L k + k = 1 m | α i k | H k + k = 1 m | β i k | H k ,
λ = i = 1 m | k = 1 m b ˜ i k b i k v k | + M ¯ i ,
so λ is bounded based on Remark 2 and Assumption 4.
Then, the following form is obtained:
D t α t n C V ( t ) i = 1 m | θ i ( t ) | + λ .
By the definition of p-norm in Formula (2), we have:
D t α t n C V ( t ) | | θ ( t ) | | 1 + λ .
When n N , it can be obtained from Equation (8):
V ( t n + 1 + ) = i = 1 m | θ i ( t n + 1 + ) | = i = 1 m 1 d i Γ ( α + 1 ) | θ i ( t ) | = 1 d i Γ ( α + 1 ) V ( t n + 1 ) .
Based on the definition of ϕ , we have:
V ( t n + 1 + ) ϕ V ( t n + 1 ) .
Then, from Theorem 2, let ȷ 1 = ȷ 2 = 1 and ı = p = 1 , according to Formulas (14) and (15), we can obtain:
  • If 0 and ϕ a < 1 , then | | θ ( t ) | | 1 ( ϕ a ) N 0 e ln ( ϕ a ) T a ( t t 0 ) V ( t 0 ) + b ϕ 1 ( ϕ a ) N 0 e ln ( ϕ a ) T a ( t t 0 ) 1 ϕ a + b and the quasi-synchronization error bound δ is b ϕ 1 ϕ a + b ;
  • If > 0 and ϕ a ¯ < 1 , then, | | θ ( t ) | | 1 [ a ¯ ( ϕ a ¯ ) N 0 ] e ln ( ϕ a ¯ ) T a ( t t 0 ) V ( t 0 ) + b ϕ 1 ( ϕ a ¯ ) N 0 e ln ( ϕ a ¯ ) T a ( t t 0 ) 1 ϕ a ¯ + b and the quasi-synchronization error bound δ is b ϕ 1 ϕ a ¯ + b
where a = E α T min α < 1 , a ¯ = E α ( T max α ) > 1 and b = λ [ E α ( T max α ) 1 ] > 0 are constants.
Furthermore, when 0 , and ϕ a < 1 , let M = ( ϕ a ) N 0 V ( t 0 ) b ϕ ( ϕ a ) N 0 1 ϕ a , r = ln ( ϕ a ) T a and δ = b ϕ 1 ϕ a + b , then
| | θ ( t ) | | 1 M e r ( t t 0 ) + δ ,
so, by Definition 7, the system (1) and (3) can achieve exponential quasi-synchronization.
Or else, when > 0 , and ϕ a ¯ < 1 , let M = a ¯ ( ϕ a ¯ ) N 0 V ( t 0 ) b ϕ ( ϕ a ¯ ) N 0 1 ϕ a ¯ , r = ln ( ϕ a ¯ ) T a and δ = b ϕ 1 ϕ a ¯ + b , the conclusion is still valid.    □
Remark 7.
For the above results, we can see that when 0 , the system itself can have exponential quasi-synchronization. At this time, the impulsive controller (5) acts as an impulsive interference with the exponential quasi-synchronization of the system, but finally, the system can still reach exponential quasi-synchronization. When > 0 , the system itself does not have exponential quasi-synchronization, but it can achieve exponential quasi-synchronization under the action of impulsive control.
Remark 8.
When the minimum impulsive interval of the system increases, T min becomes larger. When 0 , a = E α ( T min α ) does not increase at this time; that is, as a decreases with the increase in T min , then b ϕ 1 ϕ a + b decreases. That is, for the impulsive interference, the number of impulsive times decreases, and the exponential quasi-synchronization effect of the system is better. When > 0 , a ¯ = E α ( T max α ) and a ¯ is not reduced, so a ¯ increases with increase in T max , then b ϕ 1 ϕ a ¯ + b increases; that is, for impulsive control, the number of impulsive times decreases, and the exponential quasi-synchronization effect of the system becomes weak. The above two cases are in line with common sense.
Obviously, if the impulsive time is periodic, which as a special case, using the Corollary 1, it can be proved that the system has exponential quasi-synchronization under the ϕ E α μ T α < 1 . Otherwise, if the drive system (1) and response system (3) are a parameters match, that is, c ˜ i = c i , a ˜ i k = a i k and b ˜ i k = b i k , at this point, it is easy to obtain λ = 0 , and then b = 0 , so δ = 0 in Theorem 3. That is, complete exponential synchronization is obtained and the result is expressed in the following corollary:
Corollary 2.
Considering system (1) as the drive system and let the response system be
D t α t n C y i ( t ) = c i y i ( t ) + k = 1 m a i k f k y k ( t ) + k = 1 m b i k v k + k = 1 m α i k h k ( y k ( t ) ) + k = 1 m β i k h k ( y k ( t ) ) + k = 1 m w i k v k + k = 1 m q i k v k + I ˜ i + u i ( t ) .
Under Assumption 3 and Lemma 4 with the impulsive controller (5), the exponential synchronization between the drive system (1) and the response system (16) can be realized, if one of the following conditions holds:
1. 
0 , and ϕ E α ( T min α ) < 1 ;
2. 
> 0 , and ϕ E α ( T max α ) < 1 ,
where = max i = 1 , 2 , , m c i + k = 1 m | a i k | L k + k = 1 m ( | α i k | + | β i k | ) H k , ϕ = max i I { 1 d i Γ ( α + 1 ) } .
In order to better simulate the system and increase the readability of the article, the algorithm of Theorem 3 is shown in Algorithm 1.
Algorithm 1 The algorithm to implement the Theorem 3
     Calculating the L k , H k , M , M ˜ i such that f k ( · ) , h k ( · ) can satisfy the Assumption 1, and x ( t ) and v i satisfy the Assumptions 3 and 4, respectively;
       Input: Parameters of the drive-response systems (1) and (3) as follows:
           constants c i , c ˜ i , d i , a i k , a ˜ i k , b i k , b ˜ i k , α i k , β i k , w i k and q i k ;
       Step1: The Conversion of Impulsive Differential Equality
           Using Lemma 3, the error system (4) can be transformed into the impulsive differential equation;
       Step2: Impulsive Control Strategy
           The Mittag–Leffler function and Gamma function are calculated by MATLAB (R2018b) to obtain a ( o r a ¯ ) , b and ϕ , then we can estimate the error δ .

6. Numerical Simulation

In this section, two specific numerical simulations are given to verify the validity of the results.
Example 1.
Contemplating the FOFCNNs (1) and (3) using the given parameters: m = 2 , α = 0.9 , f k ( x k ) = sin ( x k ) , h k ( x k ) = cos ( x k ) , I k = 0 , k = 1 , 2 ,
c 1 c 2 = 0.1 0.1 , c ˜ 1 c ˜ 2 = 0.11 0.09 , v 1 v 2 = 0 0 ,
d 1 d 2 = 0.6 1.2 , ( a i k ) 2 × 2 = 1 0 0 1 , ( a ˜ i k ) 2 × 2 = 0.9 0 0 1.1 ,
( b i k ) 2 × 2 = 1.1 0.8 1.3 0.7 , ( b ˜ i k ) 2 × 2 = 1 0.7 1.6 0.75 , ( α i k ) 2 × 2 = 1.1 2 0.3 1.5 ,
( β i k ) 2 × 2 = 0.2 0.5 0.4 0.7 , ( w i k ) 2 × 2 = 0.9 0.2 0.3 1.5 , ( q i k ) 2 × 2 = 0.8 0.4 1.2 3 .
Then, the constants in Assumption 2–4 and Remark 2 can be calculated as: i , k = 1 , 2 , L k = H k = 1 , M ˜ i = 0 , let M = 2 , then M ¯ 1 = 0.1200 , M ¯ 2 = 0.1200 , λ = 0.2400 , and ϕ = 0.3761 and = 4.5900 by the definition of ϕ and ℏ. Select T min = 0.02 and T max = 0.1 .
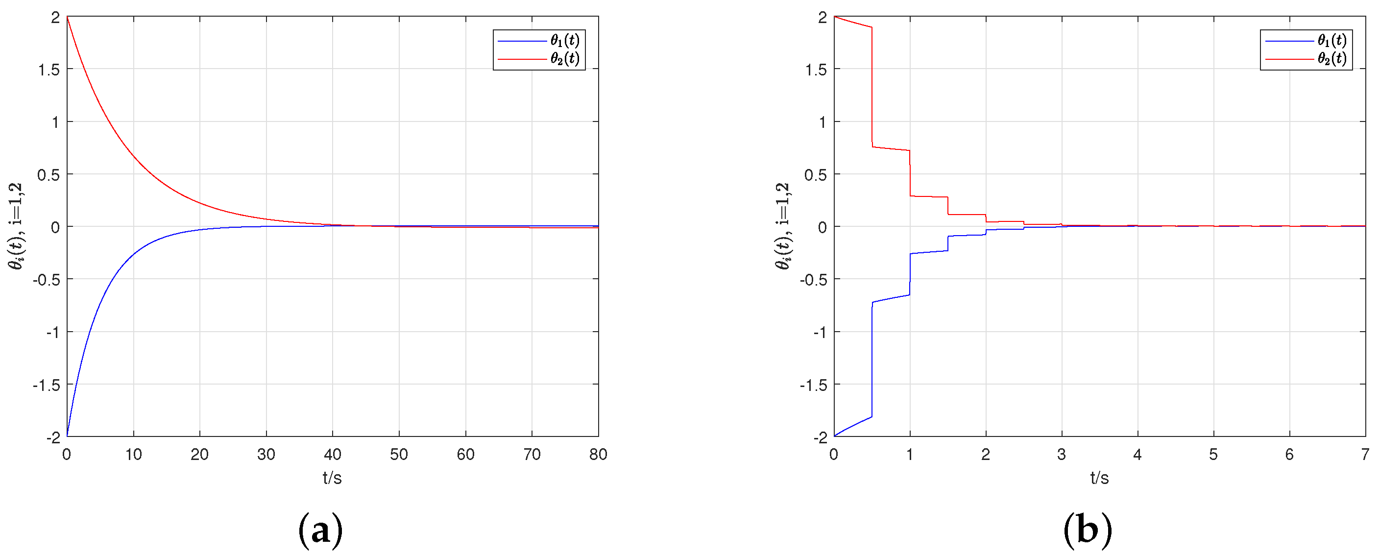
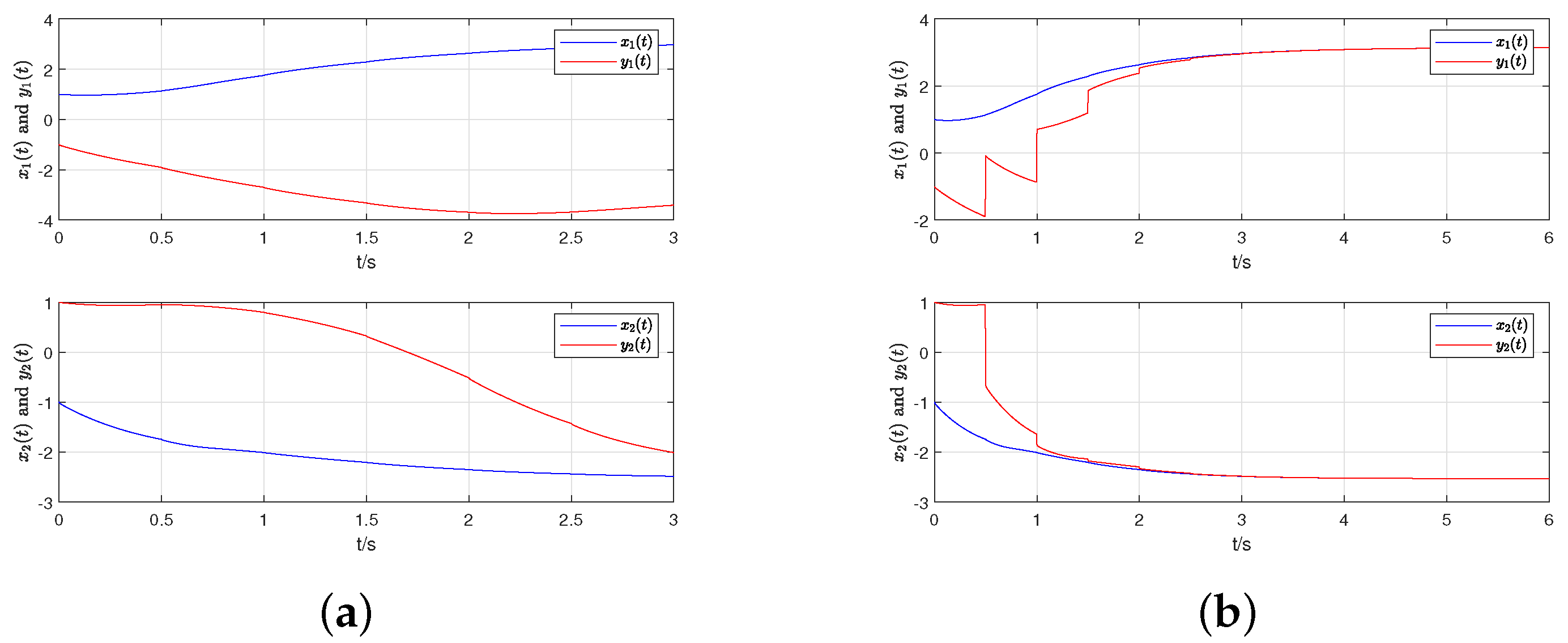
When = 4.5900 > 0 , there are ϕ E α ( T max α ) = 0.6980 < 1 , b = λ [ 1 E α ( T max α ) ] = 0.0447 by Theorem 3, the above systems can achieve exponential quasi-synchronization and eventually, the system error will converge to δ, where δ = b ϕ 1 ϕ E α ( T max α ) + b = 0.1003 . Select the impulsive period to be T = 0.5 and the initial value to ψ 1 ( 0 ) = 1 , ψ 2 ( 0 ) = 1 and φ 1 ( 0 ) = 1 , φ 2 ( 0 ) = 1 . The quasi-synchronous evolution of the system is shown in Figure 2; both the control and control outcomes are included in Figure 2a,b. It can be seen that after impulsive control, the divergent error system can converge to a region of no more than 0.03733, which is close to the error region δ = 0.1003 estimated by Theorem 3, which also shows that the selected impulsive controller has good performance. The state error of each system is shown in Figure 3; both the control and non-control outcomes are included in Figure 3a,b. It can be seen that the effect of the controller (5) on the state error of each system is obvious. Further, the trajectory of each subsystem is shown in Figure 4a, and the trajectory under the action of the controller is shown in Figure 4b.
Remark 9.
The results are still right when < 0 by changing the parameters. In order to obtain the result of < 0 , some parameters are changed. The changed parameters are as follows:
c 1 c 2 = 0.2 0.1 , c ˜ 1 c ˜ 2 = 0.19 0.11 , ( a i k ) 2 × 2 = 0.02 0 0 0.01 ,
( a ˜ i k ) 2 × 2 = 0.021 0 0 0.009 , ( α i k ) 2 × 2 = 0.01 0.02 0.025 0.015 , ( β i k ) 2 × 2 = 0.03 0.01 0.015 0.015 .
Then, = 0.031 < 0 , there are λ = 0.042 , E α ( T min α ) = 0.9970 , ϕ = 0.3761 and ϕ E α ( T min α ) = 0.3757 < 1 , so, b = 0.0014 ; the above two FOFCNNs can achieve exponential quasi-synchronization by Theorem 3 and eventually, the system error will converge to δ, where δ = b ϕ 1 ϕ E α ( T min α ) + b = 0.0022 .
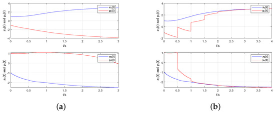
When = 0.031 < 0 , the system itself can achieve quasi-synchronization, as shown in Figure 5a, and for this system, the quasi-synchronization error does not exceed 0.01239, but it can be found that it takes a long time to achieve this process. However, after the controller (5) works, as shown in Figure 5b, the system can achieve quasi-synchronization faster, and the quasi-synchronization error can be controlled within the range of 0.002114, which shows that the controller (5) is very useful. The state error of each system is shown in Figure 6; both the control and non-control outcomes are included in Figure 6a,b. Comparing the two Figures, it can be found that the controller makes the state error of each system decrease rapidly. Further, the trajectory of each subsystem is shown in Figure 7a, and the trajectory under the action of the controller is shown in Figure 7b.
Figure 8 shows the impulsive inference on the system, which makes the system diverge. Comparing the two, Figure 8a and Figure 8b of Figure 8, it can be found that the system error can converge to a certain bounded value, but after the action of controller (5), the system error increases or even diverges. Of course, by comparing with Figure 5, it can be found that not all impulsive control will have a negative impact on the system, because this is related to the impulsive period T and the impulsive gain d.
Remark 10.
The existing synchronous control of FOFCNNs includes nonlinear control [41], nonlinear feedback control [42], adaptive control [43], sliding mode control [44] and so on. These control methods are based on continuous-time feedback, and the control cost is relatively high. The impulsive control designed in this paper is only controlled at some moments, and it is discontinuous control, which can greatly reduce the consumption of control resources. And impulsive control has low cost and simple operation, so has been widely considered and has developed rapidly in the control field.
By changing the parameters of the above systems, the system when the parameters are matched is obtained, and the results of the response can also be derived. The specific process is shown in Example 2.
Example 2.
Contemplating the FOFCNNs (1) and (3) with parameters match, that is, c ˜ i = c i , a ˜ i k = a i k and b ˜ i k = b i k and using the given parameters: m = 2 , α = 0.9 , f k ( x k ) = sin ( x k ) , h k ( x k ) = cos ( x k ) , I k = 0 , k = 1 , 2 ,
c 1 c 2 = 0.1 0.1 , d 1 d 2 = 0.6 1.2 , v 1 v 2 = 0 0 ,
( a i k ) 2 × 2 = 1 0 0 1 , ( b i k ) 2 × 2 = 1.1 0.8 1.3 0.7 , ( α i k ) 2 × 2 = 1.1 2 0.3 1.5 ,
( β i k ) 2 × 2 = 0.2 0.5 0.4 0.7 , ( w i k ) 2 × 2 = 0.9 0.2 0.3 1.5 , ( q i k ) 2 × 2 = 0.8 0.4 1.2 3 .
It is easy to obtain λ = 0 , and then b = 0 , so δ = 0 in Theorem 3. Let i , k = 1 , 2 , L k = H k = 1 , M ˜ i = 0 , let M = 2 , then M ¯ 1 = M ¯ 2 = 0 , and ϕ = 0.3761 and = 4.7000 by the definition of ϕ and ℏ. Select the impulsive period to be T = 1 and set the initial values to ψ 1 ( 0 ) = 1 , ψ 2 ( 0 ) = 1 and φ 1 ( 0 ) = 1 , φ 2 ( 0 ) = 1 .
When = 4.7000 > 0 , there are ϕ E α ( T max α ) = 0.7088 < 1 , and the above two FOFCNNs can eventually achieve exponential synchronization. The corresponding errors and model trajectories are shown in Figure 9, Figure 10 and Figure 11. Among them, Figure 9 shows the evolution of the global error when the system is controlled and not controlled, and Figure 10 and Figure 11 show the evolution of the error and state of each subsystem, respectively. By comparison, the results reported in this paper are still valid when the parameters are matched. As a special result of parameters mismatch, this is obviously also in line with our cognition.

7. Conclusions

In this paper, the exponential quasi-synchronization of FOFCNNs with parameters mismatch under impulsive control was studied, and the corresponding criteria were given. Firstly, the generalized fractional-order derivative was introduced, and some properties were introduced, and different from other articles, based on the general fractional-order Caputo derivative, this paper mainly deduced a differential inequality, and the obtained result was more valuable than that in [29]. Secondly, the fractional-order impulsive control system was transformed into an impulsive differential equation, which was the classical method to deal with an impulsive control system. Then, based on some theoretic tools, the criterion of exponential quasi-synchronization of parameters mismatch systems was given, and the adaptability of the impulsive controller to various systems was proved.
The occurrence of Dos attacks is very widespread, such as in drone team performance, driverless cars and so on. How to resist such attacks encountered in the process of information transmission is a problem that we must pay attention to.This is especially so for fractional-order fuzzy cellular neural networks, because human cells can be invaded by viruses at any time, and in order to maintain the body’s function, the brain needs to make corresponding decisions. In order to better describe this process, it is necessary for the FOFCNN model proposed in this paper to consider the attack. In recent years, although research on fuzzy cellular neural networks has attracted more and more attention by researchers, due to the limitations of inequality derivation, there are few attack results in the case of parameters mismatch. In the research process, we can still use the impulsive control method that is proposed in [45], still use impulsive control, or use event-triggered control [46,47], intermittent control [48] and other methods. Interestingly, we can combine event-triggered control with impulsive control or intermittent control to further determine the trigger time and control time, which will be the focus of our future work.

Author Contributions

Writing—original draft, Y.Z.; Writing—review & editing, M.W., F.W., J.G., X.S.; Visualization, F.W.; Funding acquisition, F.W. All authors have read and agreed to the published version of the manuscript.

Funding

This research is supported in part by the Shandong Provincial Natural Science Foundation (Nos: ZR2022QF075, ZR2024MA060), in part by the Project supported by the Foundation of the Key Laboratory of Advanced Process Control for Light Industry (Jiangnan University), Ministry of Education, P.R. China (No: APCLI2403).

Data Availability Statement

The original contributions presented in the study are included in the article, further inquiries can be directed to the corresponding author.

Conflicts of Interest

The authors declare no conflict of interest.

References

  1. Blachman, N.M. See inside back cover for details. IEEE Trans. Acousttcs Speech Signal Process. 1990, 38, 1479. [Google Scholar]
  2. Liu, H.; Pan, Y.; Cao, J.; Wang, H.; Zhou, Y. Adaptive neural network backstepping control of fractional-order nonlinear systems with actuator faults. IEEE Trans. Neural Netw. Learn. Syst. 2020, 31, 5166–5177. [Google Scholar] [CrossRef] [PubMed]
  3. Wu, G.; Luo, M.; Huang, L.; Banerjee, S. Short memory fractional differential equations for new memristor and neural network design. Nonlinear Dyn. 2020, 100, 3611–3623. [Google Scholar] [CrossRef]
  4. Fan, Y.; Huang, X.; Wang, Z.; Li, Y. Nonlinear dynamics and chaos in a simplified memristor-based fractional-order neural network with discontinuous memductance function. Nonlinear Dyn. 2018, 93, 611–627. [Google Scholar] [CrossRef]
  5. Tao, B.; Xiao, M.; Sun, Q.; Cao, J. Hopf bifurcation analysis of a delayed fractional-order genetic regulatory network model. Neurocomputing 2018, 275, 677–686. [Google Scholar] [CrossRef]
  6. Xu, C.; Liu, Z.; Liao, M.; Li, P.; Xiao, Q.; Yuan, S. Fractional-order bidirectional associate memory (bam) neural networks with multiple delays: The case of hopf bifurcation. Math. Comput. Simul. 2021, 182, 471–494. [Google Scholar] [CrossRef]
  7. Deng, Q.; Wang, C.; Lin, H. Memristive Hopfield neural network dynamics with heterogeneous activation functions and its application. Chaos Solitons Fractals 2024, 178, 114387. [Google Scholar] [CrossRef]
  8. Sun, Y.; Liu, Y.; Liu, L. Fixed-time synchronization for fractional-order cellular inertial fuzzy neural networks with mixed yime-varying delays. Fractal Fract. 2024, 8, 97. [Google Scholar] [CrossRef]
  9. Viera-Martin, E.; Gómez-Aguilar, J.; Solís-Pérez, J.; Hernández-Pérez, J.; Escobar-Jiménez, R. Artificial neural networks: A practical review of applications involving fractional calculus. Eur. Phys. J. Spec. Top. 2022, 231, 2059–2095. [Google Scholar] [CrossRef]
  10. He, X.; Lin, S. A fractional black-scholes model with stochastic volatility and european option pricing. Expert Syst. Appl. 2021, 178, 114983. [Google Scholar] [CrossRef]
  11. Zhou, P.; Ma, J.; Tang, J. Clarify the physical process for fractional dynamical systems. Nonlinear Dyn. 2020, 100, 2353–2364. [Google Scholar] [CrossRef]
  12. Kong, F.; Zhang, Y.; Zhang, Y. Non-stationary response power spectrum determination of linear/non-linear systems endowed with fractional derivative elements via harmonic wavelet. Mech. Syst. Signal Process. 2022, 162, 108024. [Google Scholar] [CrossRef]
  13. Santos, K.R.d.; Brudastova, O.; Kougioumtzoglou, I.A. Spectral identification of nonlinear multi-degree-of-freedom structural systems with fractional derivative terms based on incomplete non-stationary data. Struct. Saf. 2020, 86, 101975. [Google Scholar] [CrossRef]
  14. Ji, M.; Wu, Z. Automatic detection and severity analysis of grape black measles disease based on deep learning and fuzzy logic. Comput. Electron. Agric. 2022, 193, 106718. [Google Scholar] [CrossRef]
  15. Wu, K.; Tang, M.; Liu, Z.; Ren, H.; Zhao, L. Pinning synchronization of multiple fractional-order fuzzy complex-valued delayed spatiotemporal neural networks. Chaos Solitons Fractals 2024, 182, 114801. [Google Scholar] [CrossRef]
  16. Wu, B.; Cheng, T.; Yip, T.L.; Wang, Y. Fuzzy logic based dynamic decision-making system for intelligent navigation strategy within inland traffic separation schemes. Ocean Eng. 2020, 197, 106909. [Google Scholar] [CrossRef]
  17. Liu, X.; Wang, Z.; Zhang, S.; Garg, H. Novel correlation coefficient between hesitant fuzzy sets with application to medical diagnosis. Expert Syst. Appl. 2021, 183, 115393. [Google Scholar] [CrossRef]
  18. Liu, H.; Li, S.; Wang, H.; Sun, Y. Adaptive fuzzy control for a class of unknown fractional-order neural networks subject to input nonlinearities and dead-zones. Inf. Sci. 2018, 454, 30–45. [Google Scholar] [CrossRef]
  19. Du, F.; Lu, J. Finite-time stability of fractional-order fuzzy cellular neural networks with time delays. Fuzzy Sets Syst. 2022, 438, 107–120. [Google Scholar] [CrossRef]
  20. Aravind, R.V.; Balasubramaniam, P. Global asymptotic stability of delayed fractional-order complex-valued fuzzy cellular neural networks with impulsive disturbances. J. Appl. Math. Comput. 2022, 68, 4713–4731. [Google Scholar] [CrossRef]
  21. Du, F.; Lu, J.; Zhang, Q. Practical finite-time synchronization of delayed fuzzy cellular neural networks with fractional-order. Inf. Sci. 2024, 667, 120457. [Google Scholar] [CrossRef]
  22. Lu, H.; Zhang, M.; Xu, X.; Li, Y.; Shen, H.T. Deep fuzzy hashing network for efficient image retrieval. IEEE Trans. Fuzzy Syst. 2020, 29, 166–176. [Google Scholar] [CrossRef]
  23. Zheng, Y.; Xu, Z.; Wang, X. The fusion of deep learning and fuzzy systems: A state-of-the-art survey. IEEE Trans. Fuzzy Syst. 2021, 30, 2783–2799. [Google Scholar] [CrossRef]
  24. Wen, Y.; Li, M.; Si, J.; Huang, H. Wearer-prosthesis interaction for symmetrical gait: A study enabled by reinforcement learning prosthesis control. IEEE Trans. Neural Syst. Rehabil. Eng. 2020, 28, 904–913. [Google Scholar] [CrossRef]
  25. LI, X.; Yu, D.; Yang, L.; Fu, Z.; Jia, Y. Energy dependence of synchronization mode transitions in the delay-coupled FitzHugh-Nagumo system driven by chaotic activity. Cogn. Neurodynamics 2024, 18, 685–700. [Google Scholar] [CrossRef]
  26. Zheng, B.; Hu, C.; Yu, J.; Jiang, H. Finite-time synchronization of fully complex-valued neural networks with fractional-order. Neurocomputing 2020, 373, 70–80. [Google Scholar] [CrossRef]
  27. Yao, Z.; Sun, K.; He, S. Synchronization in fractional-order neural networks by the energy balance strategy. Cogn. Neurodynamics 2024, 18, 701–713. [Google Scholar] [CrossRef]
  28. Zhang, T.; Zhou, J.; Liao, Y. Exponentially stable periodic oscillation and mittag–leffler stabilization for fractional-order impulsive control neural networks with piecewise caputo derivatives. IEEE Trans. Cybern. 2021, 52, 9670–9683. [Google Scholar] [CrossRef]
  29. Yang, S.; Hu, C.; Yu, J.; Jiang, H. Exponential stability of fractional-order impulsive control systems with applications in synchronization. IEEE Trans. Cybern. 2019, 50, 3157–3168. [Google Scholar] [CrossRef]
  30. Jiang, B.; Lou, J.; Lu, J.; Shi, K. Synchronization of chaotic neural networks: Average-delay impulsive control. IEEE Trans. Neural Netw. Learn. Syst. 2021, 33, 6007–6012. [Google Scholar] [CrossRef]
  31. Stamova, I. Global mittag-leffler stability and synchronization of impulsive fractional-order neural networks with time-varying delays. Nonlinear Dyn. 2014, 77, 1251–1260. [Google Scholar] [CrossRef]
  32. Chen, J.; Chen, B.; Zeng, Z. Exponential quasi-synchronization of coupled delayed memristive neural networks via intermittent event-triggered control. Neural Netw. 2021, 141, 98–106. [Google Scholar] [CrossRef] [PubMed]
  33. Yang, T.; Yang, L. The global stability of fuzzy cellular neural network. IEEE Trans. Circuits Syst. I Fundam. Theory Appl. 1996, 43, 880–883. [Google Scholar] [CrossRef]
  34. Yu, M.; Yu, K.; Han, T.; Wan, Y.; Zhao, D. Research on application of fractional calculus in signal analysis and processing of stock market. Chaos Solitons Fractals 2020, 131, 109468. [Google Scholar] [CrossRef]
  35. Chamati, H.; Tonchev, N. Generalized mittag–leffler functions in the theory of finite-size scaling for systems with strong anisotropy and/or long-range interaction. J. Phys. A Math. Gen. 2005, 39, 469. [Google Scholar] [CrossRef][Green Version]
  36. Wang, J.; Feckan, M.; Zhou, Y. Presentation of solutions of impulsive fractional langevin equations and existence results: Impulsive fractional langevin equations. Eur. Phys. J. Spec. Top. 2013, 222, 1857–1874. [Google Scholar] [CrossRef]
  37. Wang, Z.; Yang, D.; Ma, T.; Sun, N. Stability analysis for nonlinear fractional-order systems based on comparison principle. Nonlinear Dyn. 2014, 75, 387–402. [Google Scholar] [CrossRef]
  38. Agarwal, R.; O’Regan, D.; Hristova, S.; Cicek, M. Practical stability with respect to initial time difference for caputo fractional differential equations. Commun. Nonlinear Sci. Numer. Simul. 2017, 42, 106–120. [Google Scholar] [CrossRef]
  39. Lenka, B.K. Fractional comparison method and asymptotic stability results for multivariable fractional order systems. Commun. Nonlinear Sci. Numer. Simul. 2019, 69, 398–415. [Google Scholar] [CrossRef]
  40. Hoa, N.V.; Vu, H.; Duc, T.M. Fuzzy fractional differential equations under caputo–katugampola fractional derivative approach. Fuzzy Sets Syst. 2019, 375, 70–99. [Google Scholar] [CrossRef]
  41. Yang, J.; Li, H.; Zhang, L.; Jiang, H. Quasi-synchronization and complete synchronization of fractional-order fuzzy BAM neural networks via nonlinear control. Neural Process. Lett. 2022, 54, 3303–3319. [Google Scholar] [CrossRef]
  42. Li, H.L.; Cao, J.; Jiang, H.; Alsaedi, A. Synchronization analysis of nabla fractional-order fuzzy neural networks with time delays via nonlinear feedback control. Neural Process. Lett. 2024, 475, 108750. [Google Scholar] [CrossRef]
  43. Mani, P.; Rajan, R.; Shanmugam, L.; Joo, Y.H. Adaptive control for fractional order induced chaotic fuzzy cellular neural networks and its application to image encryption. Inf. Sci. 2019, 491, 74–89. [Google Scholar] [CrossRef]
  44. Zhao, T.; Qin, P.; Dian, S.; Guo, B. Fractional order sliding mode control for an omni-directional mobile robot based on self-organizing interval type-2 fuzzy neural network. Inf. Sci. 2024, 654, 1119819. [Google Scholar] [CrossRef]
  45. Guo, J.; Wang, F.; Xue, Q.; Wang, M. Cluster synchronization control for coupled genetic oscillator networks under denial-of-service attacks: Pinning partial impulsive strategy. Chaos Solitons Fractals 2023, 177, 114294. [Google Scholar] [CrossRef]
  46. Wu, W.; Guo, L.; Chen, H. Mixed H/passive exponential synchronization for delayed memristive neural networks with switching event-triggered control. J. Syst. Sci. Complex. 2024, 37, 294–317. [Google Scholar] [CrossRef]
  47. Wu, J.; Yu, Y.; Ren, G. Leader-following formation control for discrete-time fractional stochastic multi-agent systems by event-triggered strategy. Fractal Fract. 2024, 8, 246. [Google Scholar] [CrossRef]
  48. Xu, Y.; Jiang, Z.; Xie, X.; Li, W.; Wu, Y. Fuzzy-based bipartite quasi-synchronization of fractional-order heterogeneous reaction-diffusion neural networks via intermittent control. IEEE Trans. Circuits Syst. I Regul. Pap. 2024, 71, 3880–3890. [Google Scholar] [CrossRef]
Figure 1. Schematic diagram of the impulsive control.
Figure 1. Schematic diagram of the impulsive control.
Fractalfract 08 00637 g001
Figure 2. The trajectory of the global error over time. (a) Overall error trend without controller. (b) Overall error trend with controller (5).
Figure 2. The trajectory of the global error over time. (a) Overall error trend without controller. (b) Overall error trend with controller (5).
Fractalfract 08 00637 g002
Figure 3. Local error trajectories over time. (a) Local error trend without controller. (b) Local error trend with controller (5).
Figure 3. Local error trajectories over time. (a) Local error trend without controller. (b) Local error trend with controller (5).
Fractalfract 08 00637 g003
Figure 4. Evolution of FOFCNNs trajectory over time. (a) Evolution trend of system without controller; (b) Evolution trend of system with controller (5).
Figure 4. Evolution of FOFCNNs trajectory over time. (a) Evolution trend of system without controller; (b) Evolution trend of system with controller (5).
Fractalfract 08 00637 g004
Figure 5. The trajectory of the global error over time. (a) Overall error trend without controller; (b) Overall error trend with controller (5).
Figure 5. The trajectory of the global error over time. (a) Overall error trend without controller; (b) Overall error trend with controller (5).
Fractalfract 08 00637 g005
Figure 6. Local error trajectories over time. (a) Local error trend without controller; (b) Local error trend with controller (5).
Figure 6. Local error trajectories over time. (a) Local error trend without controller; (b) Local error trend with controller (5).
Fractalfract 08 00637 g006
Figure 7. Evolution of FOFCNNs trajectory over time. (a) Evolution trend of system without controller; (b) Evolution trend of system with controller (5).
Figure 7. Evolution of FOFCNNs trajectory over time. (a) Evolution trend of system without controller; (b) Evolution trend of system with controller (5).
Fractalfract 08 00637 g007
Figure 8. The trajectory of the global error over time. (a) Overall error trend without controller; (b) Overall error trend with controller (5).
Figure 8. The trajectory of the global error over time. (a) Overall error trend without controller; (b) Overall error trend with controller (5).
Fractalfract 08 00637 g008
Figure 9. The trajectory of the global error over time. (a) Overall error trend without controller; (b) Overall error trend with controller (5).
Figure 9. The trajectory of the global error over time. (a) Overall error trend without controller; (b) Overall error trend with controller (5).
Fractalfract 08 00637 g009
Figure 10. Local error trajectories over time. (a) Local error trend without controller; (b) Local error trend with controller (5).
Figure 10. Local error trajectories over time. (a) Local error trend without controller; (b) Local error trend with controller (5).
Fractalfract 08 00637 g010
Figure 11. Evolution of FOFCNNs trajectory over time. (a) Evolution trend of system without controller; (b) Evolution trend of system with controller (5).
Figure 11. Evolution of FOFCNNs trajectory over time. (a) Evolution trend of system without controller; (b) Evolution trend of system with controller (5).
Fractalfract 08 00637 g011
Disclaimer/Publisher’s Note: The statements, opinions and data contained in all publications are solely those of the individual author(s) and contributor(s) and not of MDPI and/or the editor(s). MDPI and/or the editor(s) disclaim responsibility for any injury to people or property resulting from any ideas, methods, instructions or products referred to in the content.

Share and Cite

MDPI and ACS Style

Zhang, Y.; Wang, M.; Wang, F.; Guo, J.; Sui, X. Exponential Quasi-Synchronization of Fractional-Order Fuzzy Cellular Neural Networks via Impulsive Control. Fractal Fract. 2024, 8, 637. https://doi.org/10.3390/fractalfract8110637

AMA Style

Zhang Y, Wang M, Wang F, Guo J, Sui X. Exponential Quasi-Synchronization of Fractional-Order Fuzzy Cellular Neural Networks via Impulsive Control. Fractal and Fractional. 2024; 8(11):637. https://doi.org/10.3390/fractalfract8110637

Chicago/Turabian Style

Zhang, Yiyao, Mengqing Wang, Fei Wang, Junfeng Guo, and Xin Sui. 2024. "Exponential Quasi-Synchronization of Fractional-Order Fuzzy Cellular Neural Networks via Impulsive Control" Fractal and Fractional 8, no. 11: 637. https://doi.org/10.3390/fractalfract8110637

APA Style

Zhang, Y., Wang, M., Wang, F., Guo, J., & Sui, X. (2024). Exponential Quasi-Synchronization of Fractional-Order Fuzzy Cellular Neural Networks via Impulsive Control. Fractal and Fractional, 8(11), 637. https://doi.org/10.3390/fractalfract8110637

Article Metrics

Back to TopTop