Sign in to use this feature.

Years

Between: -

Subjects

remove_circle_outline
remove_circle_outline
remove_circle_outline
remove_circle_outline
remove_circle_outline
remove_circle_outline
remove_circle_outline
remove_circle_outline
remove_circle_outline

Journals

remove_circle_outline
remove_circle_outline
remove_circle_outline
remove_circle_outline
remove_circle_outline
remove_circle_outline
remove_circle_outline
remove_circle_outline
remove_circle_outline
remove_circle_outline
remove_circle_outline
remove_circle_outline
remove_circle_outline
remove_circle_outline
remove_circle_outline
remove_circle_outline

Article Types

Countries / Regions

remove_circle_outline
remove_circle_outline
remove_circle_outline
remove_circle_outline
remove_circle_outline
remove_circle_outline

Search Results (1,024)

Search Parameters:
Keywords = impulsive control

Order results
Result details
Results per page
Select all
Export citation of selected articles as:
19 pages, 7405 KB  
Article
Design and Evaluation of Stand-to-Sit and Sit-to-Stand Control Protocols for a HIP–Knee–Ankle–Foot Prosthesis with a Motorized Hip Joint
by Farshad Golshan, Natalie Baddour, Hossein Gholizadeh, David Nielen and Edward D. Lemaire
Bioengineering 2026, 13(1), 48; https://doi.org/10.3390/bioengineering13010048 - 31 Dec 2025
Abstract
Background: Sitting and standing with conventional hip–knee–ankle–foot (HKAF) prostheses are demanding tasks for hip disarticulation (HD) amputees due to the passive nature of current prosthetic hip joints that cannot assist with moment generation. This study developed a sitting and standing control strategy for [...] Read more.
Background: Sitting and standing with conventional hip–knee–ankle–foot (HKAF) prostheses are demanding tasks for hip disarticulation (HD) amputees due to the passive nature of current prosthetic hip joints that cannot assist with moment generation. This study developed a sitting and standing control strategy for a motorized hip joint and evaluated whether providing active assistance reduces the intact side demand of these activities. Methods: A dedicated control strategy was developed and implemented for a motorized hip prosthesis (Power Hip) compatible with existing prosthetic knees, feet, and sockets. One HD participant was trained to perform sitting and standing tasks using the Power Hip. Its performance was compared with the participant’s prescribed passive HKAF prosthesis through measurements of ground reaction forces (GRFs), joint moments, and activity durations. GRFs were collected using force plates, kinematics were captured via Theia3D markerless motion capture, and joint moments were computed in Visual3D. Results: The Power Hip enabled more symmetric limb loading and faster stand-to-sit transitions (1.22 ± 0.08 s vs. 2.62 ± 0.41 s), while slightly prolonging sit-to-stand (1.69 ± 0.49 s vs. 1.22 ± 0.40 s) compared to the passive HKAF. The participant exhibited reduced intact-side loading impulses during stand-to-sit (4.97 ± 0.78 N∙s/kg vs. 15.06 ± 2.90 N∙s/kg) and decreased reliance on upper-limb support. Hip moment asymmetries between the intact and prosthetic sides were also reduced during both sit-to-stand (−0.18 ± 0.09 N/kg vs. −0.69 ± 0.67 N/kg) and stand-to-sit transitions (0.77 ± 0.20 N/kg vs. 2.03 ± 0.58 N/kg). Conclusions: The prototype and control strategy demonstrated promising improvements in sitting and standing performance compared to conventional passive prostheses, reducing the physical demand on the intact limb and upper body. Full article
(This article belongs to the Special Issue Joint Biomechanics and Implant Design)
50 pages, 1835 KB  
Review
Overview of the Energy Conservation and Sustainable Transformation of Aerospace Systems with Advanced Ejector Technology
by Yiqiao Li, Hao Huang, Siyuan Liu, Caijing Ge, Jing Huang, Shengqiang Shen, Yali Guo and Yong Yang
Energies 2026, 19(1), 221; https://doi.org/10.3390/en19010221 - 31 Dec 2025
Abstract
As an energy-saving fluid machinery component, the ejector holds significant potential for promoting energy conservation and sustainable transformation in aerospace. This review synthesizes recent progress, identifies persistent challenges, and outlines future directions for ejector technology in this field, addressing a gap in existing [...] Read more.
As an energy-saving fluid machinery component, the ejector holds significant potential for promoting energy conservation and sustainable transformation in aerospace. This review synthesizes recent progress, identifies persistent challenges, and outlines future directions for ejector technology in this field, addressing a gap in existing reviews. (1) In aero-engine systems, performance faces constraints from high-speed compression effects and flow losses. These systems require optimized design across a wide range of speeds. A mixed configuration incorporating a blade mixer achieved a 5~7% thrust increase under static conditions. (2) In high-altitude test facilities, transient start-up and flow instability under off-design conditions demand more precise models and control strategies. An alternative solution using a second throat exhaust diffuser reduced the start-up time by 50~70%. (3) In rocket-based combined cycle engines, development is limited by thermal choking, mode transition, and combustion-flow coupling issues. Optimization of the rocket layout and geometric throat increased the bypass ratio in ejector mode by 35% and improved the specific impulse by 12.5%. Future efforts should focus on constructing multi-physics coupling numerical simulation models for ejectors, analyzing unsteady flow behavior and thermal effects within ejectors, and developing performance optimization strategies based on intelligent control. These approaches are expected to enhance the engineering applicability and system efficiency of ejector technology in the aerospace field, which is increasingly focused on energy conservation and sustainable transformation. Full article
Show Figures

Figure 1

18 pages, 3586 KB  
Article
Influence of Geometric and Material Uncertainties on the Behavior of Monostable and Bistable Electromagnetic Energy Harvesters
by Petr Sosna and Zdeněk Hadaš
Sensors 2026, 26(1), 253; https://doi.org/10.3390/s26010253 - 31 Dec 2025
Abstract
Uncertainties in geometry, material properties, and excitation forces critically influence the performance of nonlinear electromagnetic vibration energy harvesters, which are promising power sources for wireless sensor networks in industrial environments. These nonlinear harvesters rely on tunable magnetic stiffness to achieve broadband operation, but [...] Read more.
Uncertainties in geometry, material properties, and excitation forces critically influence the performance of nonlinear electromagnetic vibration energy harvesters, which are promising power sources for wireless sensor networks in industrial environments. These nonlinear harvesters rely on tunable magnetic stiffness to achieve broadband operation, but their strong nonlinear coupling makes them highly sensitive to small parameter deviations. This study investigates how geometric tolerances, variability of magnetic material properties, and excitation irregularities affect the dynamic response and harvested output power of electromagnetic vibration energy harvesters. Nonlinear magnetic restoring forces were obtained using Finite Element Method Magnetics simulations and implemented in a one-degree-of-freedom model for numerical analysis. The results show that deviations as small as ±0.1 mm in geometry or ±5% in magnetic coercivity can shift the system between monostable, bistable, and chaotic regimes, which could dramatically change wireless sensor operation. Controlled asymmetry of design and impulsive excitation were found to facilitate high-energy orbits, enhancing stability and energy conversion. These findings demonstrate that understanding and managing uncertainty amplification across geometric, material, and excitation domains is essential for reproducible and reliable operation, supporting the design of robust nonlinear electromagnetic harvesters for industrial applications of wireless sensor networks. Full article
(This article belongs to the Special Issue Wireless Sensor Networks with Energy Harvesting)
Show Figures

Figure 1

18 pages, 3721 KB  
Article
Research on Longitudinal Dynamics of 20,000-Ton Heavy Haul Trains Considering Braking Characteristics
by Bo Zhang, Guoyun Liu, Shun Guo, Zhaorui Chang, Siqi Hu, Xingwen Wu and Wubin Cai
Mathematics 2026, 14(1), 158; https://doi.org/10.3390/math14010158 - 31 Dec 2025
Abstract
With the development of heavy-haul trains towards long formation and large axle load, the longitudinal impulse problem of trains is aggravated not only by improving the transport capacity of railway freight cars, but also by the braking characteristics such as the asymmetry in [...] Read more.
With the development of heavy-haul trains towards long formation and large axle load, the longitudinal impulse problem of trains is aggravated not only by improving the transport capacity of railway freight cars, but also by the braking characteristics such as the asymmetry in brake release, which has a greater impact on the longitudinal impulse of trains, seriously affecting the operation safety of trains. In this paper, a 20,000-ton heavy-haul train is taken as the research object, a train air brake system model is established by the parallel method, and the train longitudinal dynamics model is co-simulated to study the influence of braking characteristics on the longitudinal force of the train. The results indicate that the train is primarily subjected to compressive coupler forces during braking, with the maximum compressive force occurring at car 109. Compared to the maximum compressive coupler force observed under a 50 kPa reduction in brake pipe pressure, the maximum forces under 70 kPa and 100 kPa reductions increased by 16.8% and 36.8%, respectively. The controllable tail system influences the braking of middle and rear cars by supplying a braking source to the last car. When the delay time of the controllable tail system is set to 3 s, braking synchronization can be improved. Furthermore, compared to scenarios without last-car charging, the installation of a last-car charging device reduces the maximum tensile coupler force from 780 kN to 489 kN, representing a 37% decrease. The findings of this study provide theoretical insights for ensuring the safe operation of heavy-haul trains and contribute to enhancing their operational performance. Full article
(This article belongs to the Special Issue Recent Developments in Vehicle System Dynamics)
Show Figures

Figure 1

17 pages, 665 KB  
Article
Investigating Uniform Stability of Fractional-Order Complex-Valued Stochastic Neural Networks with Impulses via a Direct Method
by Jianglian Xiang, Tiantian Tang and Xiaoli Huang
Axioms 2026, 15(1), 17; https://doi.org/10.3390/axioms15010017 - 26 Dec 2025
Viewed by 135
Abstract
This paper focuses on exploring the existence and uniqueness of solutions for a specific type of impulsive fractional-order complex-valued stochastic neural network within the complex domain, a topic hitherto undocumented. The combination of fractional order, stochastic nature, complex values, and impulses allows the [...] Read more.
This paper focuses on exploring the existence and uniqueness of solutions for a specific type of impulsive fractional-order complex-valued stochastic neural network within the complex domain, a topic hitherto undocumented. The combination of fractional order, stochastic nature, complex values, and impulses allows the model to seize memory-related, noise-resilient, phase-sensitive, and discontinuous dynamics. These dynamics are crucial for applications in neuroscience, signal processing, engineering control, and time-series prediction. In contrast to more simplistic models, this framework provides greater fidelity when simulating real-world systems and wider applicability without the need for redundant component splitting, thus justifying the requirement for such a comprehensive model. Leveraging the contraction mapping principle and contradiction, sufficient conditions are deduced to guarantee the existence and uniform stability (in the distribution sense) of solutions for the impulsive fractional-order complex-valued stochastic neural networks under study. Finally, a numerical example is presented to illustrate the feasibility and precision of our findings. Full article
(This article belongs to the Special Issue Advances in Nonlinear Dynamics: Theory and Application)
Show Figures

Figure 1

16 pages, 605 KB  
Article
Impact of Psychiatric Comorbidity on Cognitive Performance and EEG Theta/Beta Ratio: A Preliminary Study
by Wendy Verónica Herrera-Morales, Karen Nicte-Ha Tuz-Castellanos, Julián Valeriano Reyes-López, Efraín Santiago-Rodríguez and Luis Núñez-Jaramillo
Brain Sci. 2026, 16(1), 34; https://doi.org/10.3390/brainsci16010034 - 25 Dec 2025
Viewed by 189
Abstract
Background/Objectives: Psychiatric conditions are highly prevalent and among the leading causes of disability worldwide. Comorbidities are common in psychiatric patients but are not adequately addressed in diagnostic manuals such as the DSM-5. Understanding the impact of comorbidities on patients’ symptoms and brain activity [...] Read more.
Background/Objectives: Psychiatric conditions are highly prevalent and among the leading causes of disability worldwide. Comorbidities are common in psychiatric patients but are not adequately addressed in diagnostic manuals such as the DSM-5. Understanding the impact of comorbidities on patients’ symptoms and brain activity could improve the personalization of therapeutic approaches, leading to better outcomes. Given the complexity of this task, a feasible strategy is to examine how comorbidities affect brain activity and a condition commonly observed in psychiatric patients, such as cognitive impairment. Methods: In this study, we assessed impulsiveness, working memory performance, and theta/beta ratio in controls and in subjects exhibiting symptoms of depression, ADHD, and suicide risk. Participants differed in the presence of alcohol use disorders, in addition to the aforementioned symptoms, either presenting no alcohol use disorder (DAS), hazardous alcohol consumption (DAS-H), or risk of alcohol dependence (DAS-D). Results: All three comorbid groups (DAS, DAS-H, DAS-D) showed increased impulsiveness compared with controls, while the DAS-D group also exhibited higher motor impulsiveness than both the DAS and DAS-H groups. A widespread increase in theta/beta ratio was observed only in the DAS group. Conclusions: These results indicate that comorbid alcohol use disorders modulate motor impulsiveness and theta/beta ratio in subjects with symptoms of depression, ADHD, and suicide risk. The findings underscore the importance of considering comorbidities when personalizing treatment strategies for psychiatric patients. Full article
Show Figures

Figure 1

20 pages, 3302 KB  
Article
Laser Propulsion in Confinement Regime: The Role of Film Thickness in the Impulse Generation Process
by Pietro Battocchio, Meriem Bembli, Nicola Bazzanella, Mattia Biesuz, Marina Scarpa, Gian Domenico Sorarù and Antonio Miotello
Appl. Sci. 2026, 16(1), 224; https://doi.org/10.3390/app16010224 - 25 Dec 2025
Viewed by 86
Abstract
A small amount of mass is generally ejected with high exhaust velocities from the surface of materials irradiated by intense laser pulses, so that a net impulse is generated on the target because of momentum conservation. This phenomenon proved to be a potential [...] Read more.
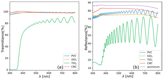
A small amount of mass is generally ejected with high exhaust velocities from the surface of materials irradiated by intense laser pulses, so that a net impulse is generated on the target because of momentum conservation. This phenomenon proved to be a potential solution to generate thrust on far objects, with promising application in space debris removal and control of nanosatellites. Among the different tested strategies, the deposition on the surface of the target of a layer transparent to laser radiation results in a considerable increase in the generated impulse, due to the confinement of the expansion of the ablation plume. In this work impulse generation was measured, using aluminum as target, and PVC, SiO2, TiO2 and CNCs (cellulose nanocrystals) as confinement layers with thickness 0.35 μm. The results show that the generated impulses increase with the thickness of the ejected confinement layer. Additionally, the kinetic energy of the confinement layer, for a given material, does not depend on its thickness, but it is affected by the energy dissipation paths during the interaction with the laser pulse, where the strength of substrate–film adhesion and the Young’s modulus of the latter are shown to play an important role. Full article
Show Figures

Figure 1

23 pages, 2999 KB  
Article
Fault Diagnosis of Flywheel Energy Storage System Bearing Based on Improved MOMEDA Period Extraction and Residual Neural Networks
by Guo Zhao, Ningfeng Song, Jiawen Luo, Yikang Tan, Haoqian Guo and Zhize Pan
Appl. Sci. 2026, 16(1), 214; https://doi.org/10.3390/app16010214 - 24 Dec 2025
Viewed by 238
Abstract
Flywheel energy storage systems play an important role in frequency regulation and power quality control within modern power grids, yet the fault signals generated by defects in their rolling bearings are typically indistinct, making direct diagnosis difficult. Raw noisy signals often yield unsatisfactory [...] Read more.
Flywheel energy storage systems play an important role in frequency regulation and power quality control within modern power grids, yet the fault signals generated by defects in their rolling bearings are typically indistinct, making direct diagnosis difficult. Raw noisy signals often yield unsatisfactory diagnostic performance when directly processed by neural networks. Although MOMEDA (Multipoint Optimal Minimum Entropy Deconvolution Adjusted) can effectively extract impulsive fault components, its performance is highly dependent on the selected fault period and filter length. To address these issues, this paper proposes an improved fault diagnosis method that integrates MOMEDA-based periodic extraction with a neural network classifier. The Artificial Fish Swarm Algorithm (AFSA) is employed to adaptively determine the key parameters of MOMEDA using multi-point kurtosis as the optimization objective, and the optimized parameters are used to enhance impulsive fault features. The filtered signals are then converted into image representations and fed into a ResNet-18 network (a compact 18-layer deep convolutional neural network from the residual network family) to achieve intelligent identification and classification of bearing faults. Experimental results demonstrate that the proposed method can effectively extract and diagnose bearing fault signals. Full article
Show Figures

Figure 1

21 pages, 613 KB  
Review
Menstrual Cycle-Related Hormonal Fluctuations in ADHD: Effect on Cognitive Functioning—A Narrative Review
by Dora Wynchank, Regina M. G. T. M. F. Sutrisno, Emma van Andel and J. J. Sandra Kooij
J. Clin. Med. 2026, 15(1), 121; https://doi.org/10.3390/jcm15010121 - 24 Dec 2025
Viewed by 365
Abstract
Attention-Deficit/Hyperactivity Disorder (ADHD) is a common neurodevelopmental disorder linked to impaired cognition and altered dopamine neurotransmission. Emerging evidence suggests that women with ADHD experience pronounced hormone-related difficulties, with menstrual cycle-related changes in mood and cognition interfering with daily functioning and diminishing treatment efficacy. [...] Read more.
Attention-Deficit/Hyperactivity Disorder (ADHD) is a common neurodevelopmental disorder linked to impaired cognition and altered dopamine neurotransmission. Emerging evidence suggests that women with ADHD experience pronounced hormone-related difficulties, with menstrual cycle-related changes in mood and cognition interfering with daily functioning and diminishing treatment efficacy. This review examines the influence of hormonal fluctuations during the menstrual cycle on cognitive functioning and ADHD symptomatology in women. A comprehensive literature search of Ovid EmBase identified studies published between 2015 and 2025 examining cognitive performance, including attention, executive functioning, working memory, and inhibitory control, across menstrual cycle phases in women with or without ADHD. Twenty-nine studies met inclusion criteria. Neurobiological measurements included hormonal assays, neuroimaging, and neurotransmitter models. Seven studies in non-clinical populations suggested that attentional processing was enhanced during the mid-luteal phase, which may be linked to higher progesterone levels. By contrast, four studies in women with ADHD and six studies in women with mood-related disorders, such as PMS or PMDD, consistently observed impairments in attention, executive function, and impulsivity during the mid-luteal and pre-menstrual phases. These objective findings parallel subjective reports of worsened cognition, heightened mood symptoms, and diminished medication efficacy during the luteal phase. Current evidence indicates that ADHD-related cognitive functioning fluctuates with the menstrual cycle, with impairments particularly evident in women with ADHD and/or comorbid mood disorders. These changes may reflect increased sensitivity to allopregnanolone, peri-menstrual oestrogen withdrawal, and the absence of compensatory neural adaptations observed in non-clinical populations. However, findings remain preliminary and sometimes contradictory due to methodological heterogeneity and small sample sizes. Further research is needed to clarify these mechanisms and, importantly, to translate theoretical insights into clinical application through female-specific diagnostic procedures and treatment strategies. Full article
Show Figures

Figure 1

27 pages, 2187 KB  
Article
Fixed/Preassigned-Time Synchronization of Quaternion-Valued Stochastic BAM Neural Networks with Discontinuous Activations Using Impulsive Control Technique
by Abuduwali Abudukeremu and Mairemunisa Abudusaimaiti
Math. Comput. Appl. 2026, 31(1), 3; https://doi.org/10.3390/mca31010003 - 23 Dec 2025
Viewed by 124
Abstract
In this study, a comprehensive analysis of the fixed/preassigned-time synchronization of a class of quaternion-valued BAM (QBAM) neural networks with stochastic and impulsive effects is conducted. Unlike previous analysis methods, our method features a direct analysis approach. First, to clarify the combined impact [...] Read more.
In this study, a comprehensive analysis of the fixed/preassigned-time synchronization of a class of quaternion-valued BAM (QBAM) neural networks with stochastic and impulsive effects is conducted. Unlike previous analysis methods, our method features a direct analysis approach. First, to clarify the combined impact of impulsive and stochastic phenomena on synchronization behavior, we establish a QBAM neural network system incorporating stochastic and impulsive effects. Notably, differing from prior relevant studies, we assume that the activation function is discontinuous, thereby enhancing the practical relevance of this research. Second, leveraging the quaternion-valued sign function and its properties, we implement impulsive control via the direct analysis method to achieve Fixed/Predefined-Time synchronization of the considered system. Finally, numerical simulations are performed to verify the ability of the theoretical analysis and the proposed control protocol to realize synchronization under impulsive and stochastic effects. Full article
Show Figures

Figure 1

21 pages, 6402 KB  
Technical Note
Adaptive Kalman Filter-Based Impulsive Noise Cancellation for Broadband Active Noise Control in Sensitive Environments
by Lichuan Liu, Lilin Du and Xianwen Wu
Acoustics 2026, 8(1), 1; https://doi.org/10.3390/acoustics8010001 - 23 Dec 2025
Viewed by 215
Abstract
Impulsive noise poses a significant challenge to broadband feedforward active noise control (ANC) systems, particularly in sensitive environments such as infant incubators. This paper presents an adaptive impulsive noise cancellation approach based on the Kalman filter, designed to improve noise attenuation performance under [...] Read more.
Impulsive noise poses a significant challenge to broadband feedforward active noise control (ANC) systems, particularly in sensitive environments such as infant incubators. This paper presents an adaptive impulsive noise cancellation approach based on the Kalman filter, designed to improve noise attenuation performance under nonstationary and impulsive interference. The proposed framework integrates impulsive noise detection with a Kalman filter-based suppression scheme. Simulation studies are conducted to evaluate the performance of the combined system in comparison to traditional ANC methods, such as Filtered-x Least Mean Square (FxLMS) and Filtered-x Normalized LMS (FxNLMS). Results demonstrate that the Kalman filter can effectively reduce the influence of impulsive disturbances without degrading overall broadband noise cancellation. A case study involving an infant incubator illustrates the practical effectiveness and robustness of the proposed technique in a real-world healthcare application. The findings support the integration of Kalman filter-based adaptive control in future ANC designs targeting impulsive noise environments. Full article
Show Figures

Figure 1

15 pages, 703 KB  
Article
Levomethadone Selectively Reduces Emotional Impulsivity in ASRS-Positive ADHD–OUD Patients, Independent of Dose Escalation
by Alessandro Pallucchini, Maurizio Varese, Irene Pergentini, Elisa Cerrai, Samuele Gemignani, Elisa Parapetto, Francesco Simonetti, Icro Maremmani and Angelo G. I. Maremmani
J. Clin. Med. 2026, 15(1), 89; https://doi.org/10.3390/jcm15010089 - 23 Dec 2025
Viewed by 156
Abstract
Background: Emotional dysregulation and impulsivity represent key risk factors for adverse trajectories in adults with ADHD and are frequently observed among patients with opioid use disorder (OUD). Levomethadone, the R-enantiomer of methadone, provides more stable dopaminergic modulation than the racemic formulation and may [...] Read more.
Background: Emotional dysregulation and impulsivity represent key risk factors for adverse trajectories in adults with ADHD and are frequently observed among patients with opioid use disorder (OUD). Levomethadone, the R-enantiomer of methadone, provides more stable dopaminergic modulation than the racemic formulation and may improve emotional control. The primary objective was to examine emotional, clinical, and substance use changes after the switch to levomethadone and to determine whether these trajectories differed according to ADHD screening status. This study evaluated emotional, clinical, and behavioral outcomes—including substance use—after transitioning from racemic methadone to levomethadone maintenance therapy, focusing on the moderating role of ADHD symptoms and dose escalation. Methods: Eighty-three OUD patients in methadone maintenance were assessed at baseline, T1 (mean = 2.13 months, SD = 0.65), and T2 (mean = 6.20 months, SD = 0.91). Emotional dysregulation (RIPOST), clinical severity (Clinical Global Impression), and days of substance use were analyzed using Linear Mixed Models (participants with ≥1 valid follow-up). ADHD symptoms (Adult ADHD Self-Report Scale DSM-5) were evaluated with Wilcoxon signed-rank tests. Dose escalation (↑levomethadone) was defined as ≥1 increase during follow-up and was only included in the mixed models. Substance use analyses were restricted to baseline active users. Results: Emotional impulsivity significantly decreased over time only in participants screening positive for ADHD symptoms (ASRS ≥ 14), independent of dose escalation. Emotional instability also declined but across the full cohort. CGI scores improved in all participants. Substance use patterns showed a modest overall improvement, with reductions most evident for sedatives and alcohol. The findings indicate a specific effect of levomethadone on affective regulation and clinical stabilization, particularly in individuals with impulsivity traits. Conclusions: Levomethadone maintenance appears to improve emotional regulation and global functioning beyond dose-related effects, supporting its potential value in complex OUD patients with clinically relevant ADHD symptomatology. Combined treatment with levomethadone and methylphenidate may further enhance executive control and craving regulation in this population. Full article
Show Figures

Figure 1

16 pages, 571 KB  
Systematic Review
The Use of vHIT in the Differential Diagnosis Between Vestibular Migraine and Meniere’s Disease: A Systematic Review and Meta-Analysis
by Christos Tsilivigkos, Riccardo Di Micco, Evangelos N. Vitkos and Athanasia Warnecke
Audiol. Res. 2026, 16(1), 1; https://doi.org/10.3390/audiolres16010001 - 19 Dec 2025
Viewed by 272
Abstract
Background/Objectives: The diagnosis of vestibular migraine (VM) and Meniere’s disease (MD) is based mainly on clinical criteria. The aim of this study is to systematically review and investigate the potential role of the video Head Impulse Test (vHIT) in the differential diagnosis between [...] Read more.
Background/Objectives: The diagnosis of vestibular migraine (VM) and Meniere’s disease (MD) is based mainly on clinical criteria. The aim of this study is to systematically review and investigate the potential role of the video Head Impulse Test (vHIT) in the differential diagnosis between VM and MD. Methods: A systematic review of the English-language literature was conducted, including studies from database inception to November 2023, in accordance with PRISMA guidelines. Medline (via PubMed), Cochrane Database and Scopus were reviewed. The review included studies involving adult patients diagnosed with VM, MD, or healthy control individuals who underwent vHIT and reported data on vHIT abnormalities, gain, and refixation saccades. The AXIS tool was applied for risk of bias assessment in all cross-sectional studies. A random-effects meta-analysis was performed to compare vHIT gains between individuals with VM and those with MD. Results: Eleven cross-sectional observational studies with a case–control comparison design were included, comprising a total of 362 patients with VM, 307 patients with MD, and 135 healthy control subjects. All studies applied the same diagnostic criteria for VM; however, varying criteria were used for the diagnosis of MD. Four studies evaluated the duration of vestibular symptoms, two assessed migraine duration, and six provided a rationale for excluding individuals with overlapping VM and MD diagnoses. Criteria for defining an abnormal vHIT result were specified in six studies. Seven studies reported vHIT gain values for the lateral semicircular canal, while eight presented data on saccade incidence and characteristics. Additionally, four studies were included in the meta-analysis, which yielded a mean difference in the vHIT gain of −0.0203 (95% CI: −0.0789 to 0.0383; p = 0.4968), indicating no statistically significant difference between patients with VM and those with MD. Conclusions: In this review, vHIT gain did not differ significantly between VM and MD groups, suggesting that vHIT gain alone has limited utility in their differential diagnosis. Combined saccade patterns may still prove clinically useful as more robust and consistent data become available. Full article
(This article belongs to the Section Balance)
Show Figures

Figure 1

23 pages, 3492 KB  
Article
Multi-Objective Reinforcement Learning for Virtual Impedance Scheduling in Grid-Forming Power Converters Under Nonlinear and Transient Loads
by Jianli Ma, Kaixiang Peng, Xin Qin and Zheng Xu
Energies 2025, 18(24), 6621; https://doi.org/10.3390/en18246621 - 18 Dec 2025
Viewed by 290
Abstract
Grid-forming power converters play a foundational role in modern microgrids and inverter-dominated distribution systems by establishing voltage and frequency references during islanded or low-inertia operation. However, when subjected to nonlinear or impulsive impact-type loads, these converters often suffer from severe harmonic distortion and [...] Read more.
Grid-forming power converters play a foundational role in modern microgrids and inverter-dominated distribution systems by establishing voltage and frequency references during islanded or low-inertia operation. However, when subjected to nonlinear or impulsive impact-type loads, these converters often suffer from severe harmonic distortion and transient current overshoot, leading to waveform degradation and protection-triggered failures. While virtual impedance control has been widely adopted to mitigate these issues, conventional implementations rely on fixed or rule-based tuning heuristics that lack adaptivity and robustness under dynamic, uncertain conditions. This paper proposes a novel reinforcement learning-based framework for real-time virtual impedance scheduling in grid-forming converters, enabling simultaneous optimization of harmonic suppression and impact load resilience. The core of the methodology is a Soft Actor-Critic (SAC) agent that continuously adjusts the converter’s virtual impedance tensor—comprising dynamically tunable resistive, inductive, and capacitive elements—based on real-time observations of voltage harmonics, current derivatives, and historical impedance states. A physics-informed simulation environment is constructed, including nonlinear load models with dominant low-order harmonics and stochastic impact events emulating asynchronous motor startups. The system dynamics are modeled through a high-order nonlinear framework with embedded constraints on impedance smoothness, stability margins, and THD compliance. Extensive training and evaluation demonstrate that the learned impedance policy effectively reduces output voltage total harmonic distortion from over 8% to below 3.5%, while simultaneously limiting current overshoot during impact events by more than 60% compared to baseline methods. The learned controller adapts continuously without requiring explicit load classification or mode switching, and achieves strong generalization across unseen operating conditions. Pareto analysis further reveals the multi-objective trade-offs learned by the agent between waveform quality and transient mitigation. Full article
Show Figures

Figure 1

21 pages, 6002 KB  
Article
Effect of Ultrasonic Treatment of Dispersed Carbon Nanocomposite Media on the Formation, Electrical Conductivity, and Degradation of a Hydrogel for Metallic Stimulation Electrodes
by Mikhail Savelyev, Artem Kuksin, Denis Murashko, Ekaterina Otsupko, Victoria Suchkova, Kristina Efremova, Pavel Vasilevsky, Ulyana Kurilova, Sergey Selishchev and Alexander Gerasimenko
Gels 2025, 11(12), 1004; https://doi.org/10.3390/gels11121004 - 12 Dec 2025
Viewed by 215
Abstract
This study investigates the impact of ultrasonic treatment on the deagglomeration of aggregates of single-walled carbon nanotubes (SWCNTs) and reduced graphene oxide (rGO). The aim of the research is to enhance the electrical conductivity of a biopolymer hydrogel designed for coating metallic neurostimulation [...] Read more.
This study investigates the impact of ultrasonic treatment on the deagglomeration of aggregates of single-walled carbon nanotubes (SWCNTs) and reduced graphene oxide (rGO). The aim of the research is to enhance the electrical conductivity of a biopolymer hydrogel designed for coating metallic neurostimulation electrodes. Biocompatible coating materials are essential for the safe long-term function of implants within the body, enabling the transmission of nerve impulses to external devices for signal conversion and neurostimulation. Dynamic light scattering (DLS) was employed to monitor the dispersion state, in conjunction with measurements of specific electrical conductivity. The mass loss and swelling capacity were evaluated over an 80-day period to account for the effects of degradation during in vitro studies. Samples of flexible–elastic hydrogels for electrodes with complex geometry were formed by the photopolymerization of a photopolymerizable medium, similar to a photoresist. Analysis of the dependence of temperature and normalized optical transmittance on the duration of laser photopolymerization made it possible to determine the optimal polymerization temperature for the photopolymerizable medium as −28 °C. This temperature regime ensures maximum reproducibility of hydrogel formation and eliminates the presence of unpolymerized areas. The article presents a biopolymer hydrogel with SWCNTs and rGO nanoparticles in a 1:1 ratio. It was found that sufficient specific electrical conductivity is achieved using SWCNTs with a characteristic hydrodynamic radius of R = 490 nm and rGO with R = 210 nm (sample Col/BSA/CS/Eosin Y/SWCNTs (490 nm)/rGO 4). The photopolymerized hydrogel 4 demonstrated sufficient biocompatibility, exceeding the control sample by 16%. According to the results of in vitro studies over 80 days, this sample exhibited moderate degradation of 45% while retaining its swelling ability. The swelling degree decreased by 50% compared to the initial value of 170%. The presented hydrogel 4 is a promising coating material for implantable metallic neurostimulation electrodes, enhancing their stability in the physiological environment. Full article
(This article belongs to the Special Issue Innovative Gels: Structure, Properties, and Emerging Applications)
Show Figures

Figure 1

Back to TopTop