Abstract
The pore structure and mineral characteristics affect the accumulation and migration of hydrocarbons in shale, which determines the production capacity of shale oil. In this study, shale samples from the Chang 7 member of the Ordos Basin in China were selected to investigate the pore space characteristics, the effect of hydrocarbon accumulation on pore heterogeneity, and the hydrocarbon migration changes based on fractal theory, and a series of experiments were conducted involving X-ray diffraction (XRD), total organic carbon (TOC), Soxhlet extraction, and low-temperature nitrogen (N2) and carbon dioxide (CO2) adsorption. Then, the factors affecting extraction efficiency in shale pores were discussed. The interparticle pores contributed most to the accumulation of shale oil, and the organic matter (OM) pores contributed positively to the adsorption of hydrocarbons. The accumulation of hydrocarbons in the pore space did not increase the heterogeneity of the shale pore structure. The contents, states, and positions of hydrocarbons changed during the extraction process. Hydrocarbons were redistributed on the pore surface after Soxhlet extraction, and the heterogeneity of hydrocarbon adsorption and pore surface roughness were improved. Some heavy hydrocarbons and adsorbed components were pyrolyzed, resulting in the gradual escape of the adsorbed layer in the large pores. However, the free oil in the small pores diffused to the large pores and reaggregated on the surface, restoring a stable adsorption layer. The extraction rate was closely related to the pore throat structure and the wettability of mineral surfaces. The configuration between pores and throats had a crucial influence on the extraction rate. A high proportion of meso-pores, which effectively connect micro- and macro-pores, had a higher diffusion efficiency and a higher extraction rate. The OM pores with high energy adsorption were located in the micro-pores, and the shale oil existed in a dissolved state with high mobile capacity. The wettability of mineral surfaces affected the adsorption behavior during extraction, and strong oil wetting promoted hydrocarbon re-adsorption in clay minerals, so that the volume of micro-pores was smaller after extraction.
1. Introduction
Unconventional resources have received more attention as important alternative energy in recent years [1,2,3]. Shale reservoirs are known for their low porosity and low permeability, integrated source, storage, and rich organic matter [4,5,6]. With the development of shale oil and gas exploration and exploitation technology, China has stepped into a rapid development stage [7,8]. China is rich in shale oil resources, characterized by multiple layers, large thickness, high clay mineral contents, strong heterogeneity of pore throat structure, complex mineral composition, hydrocarbon accumulation space, and low exploitation efficiency [3,9,10]. The pore structure and mineral composition affect the accumulation and migration of shale oil, and further determine the productivity. Therefore, the characterization of pore space in shale has received more attention [11,12,13,14], which established the geological foundation for the exploration and exploitation of shale oil.
Nano- and micro-pores are the main accumulation space for shale oil, and the volume of nanoscale pores in shale accounts for more than 80% of the total pore volume [15,16]. According to the International Union of Pure and Applied Chemistry (IUPAC) system, pores in shales can be divided into micro- (<2 nm), meso- (2–50 nm), and macro-pores (>50 nm). The pore types of shale mainly include interparticle pores, dissolution pores, intercrystalline pores, organic pores, and micro-fractures [5,17]. The physical and chemical properties of shale reservoirs are different from conventional reservoirs [18], such as capillary force, molecular diffusion, interface effect, etc., which makes permeability and porosity measurements lose accuracy when evaluating reservoir properties. Therefore, quantitative evaluation of pore characteristics in shale from a microscopic perspective is of great significance for understanding shale oil reservoirs.
In recent years, the qualitative–quantitative characterization of the pore structure of shale has gradually become a hot topic in unconventional oil research, including the pore type, size, morphology, structure, and controlling factors [19,20,21,22,23]. Scanning electron microscopy (SEM), transmission electron microscopy (TEM), the mercury intrusion method (MIP), the gas adsorption method (CO2 and N2), and nuclear magnetic resonance (NMR) have been used to characterize shale pore space [24,25,26,27]. The pore radius range obtained by each method has limitations [28,29]. For instance, the two-dimensional image method can reflect pores from 1 nm to 1 cm, the three-dimensional reconstruction can generally characterize those larger than 0.1 μm, and the quantitative characterization range is between 0.01 μm and 0.01 mm. Low-pressure gas adsorption is considered to be a common method for quantifying shale pore space, which is adaptable and widely accepted for evaluating shale pore space [21,30,31]. Also, the fractal theory has been regarded as a priority method to understand the complexity of pore throat structure [32,33,34,35,36].
The oil exists in organic-rich shale in a variety of states, including free, adsorbed, and dissolved [37,38,39,40]. As exploitation proceeds, the state of oil and its location in the pore space are complex and variable, affecting the migration of shale oil, and resulting in extremely low recovery rates from shale oil reservoirs. It is generally believed that shale oil is predominantly free in bedding and cracks, as well as in large interparticle and dissolution pores, and forms continuous aggregates of hydrocarbons, which are predominantly adsorbed in clay mineral intercrystalline pores, OM pores, and pyrite intercrystalline pores [40].
Crude oil in shale pore spaces can be extracted by high-temperature Soxhlet extraction [41]. The comparative analysis of pore distribution characteristics before and after Soxhlet extraction is of great significance for understanding hydrocarbon accumulation and migration in shale reservoirs. The extraction process has indicative significance for clarifying the mobility of shale oil and its migration in the pore space, because it is consistent with the shale oil exploitation process. Previous studies have proved that temperature, wettability, and capillary imbibition have important effects on the extraction process. Under high temperatures, some heavy hydrocarbons (heavy components of free hydrocarbons) and adsorption components are pyrolyzed, the extraction process is accelerated [37,42], and the accumulation state of soluble organic matter in shale is changed dynamically [7]. The imbibition of capillary forces causes the fluid to redistribute in the pore space. Pore throat structure is crucial to the accumulation and migration of shale oil [43]. In the extraction process, oil in nanoscale pores is replaced by water under capillary action. The water is imbibed into the small pores, and then diffused into the meso- and macro-pores [44,45]. Moreover, the movable capacity of shale oil is related to the wettability of mineral surfaces. Complex physical and chemical reactions occur on different mineral surfaces with different properties of hydrocarbons [7].
Therefore, shale samples from the Chang 7 member of the Yanchang Formation in Ordos Basin, China were selected in this study, with the aim of understanding the characteristics of shale pore space and the hydrocarbon migration in pores before and after extraction. The changes in shale oil content and accumulation state in different sizes of pores before and after extraction were clarified by comparing the N2 and CO2 adsorption characteristics. Further, the complexity changes of pore space before and after extraction were compared by combining the analysis with fractal theory. The characteristics of hydrocarbon migration and re-adsorption in shale pores after extraction were studied based on mineral characteristics, TOC content, and pore structure. This study is the basic work to evaluate the mobility and migration of shale oil and has important theoretical significance for enhancing the recovery of shale oil.
2. Samples and Methods
2.1. Geological Background and Samples
The Ordos Basin is a large petroliferous basin in China [46,47], among which the Yanchang Formation of the Triassic system is the main oil reservoir. During the sedimentary period, the Yanchang Formation experienced the process of lake formation, development, and disappearance, and developed the river, delta, and lacustrine sedimentary system [48]. The Yanchang Formation was divided into 10 members from top to bottom (Figure 1). During the sedimentary period of Chang 7, the climate became warmer, and the salinity of the lake decreased. Deep lacustrine and semi-deep lacustrine deposits were formed under the influence of the paleoclimate, and dark lamina-layered shale and massive mudstone were developed. Zhangjiatan shale of Chang 7 is the main source rock in the basin, with a large thickness, high TOC content, and high maturity of organic matter [1,49], and is also the main shale oil reservoir in the basin.
Figure 1.
Tectonic units and study area and sampling points in the Ordos Basin.
Six typical shale samples were collected from the Chang 7 member in the Huaqing area in this study. The lithology of the six samples is mainly dark, massive, and lamina-layered shale, and the depth ranged from 2064.3 m to 2205.7 m.
2.2. Experiments
The mineral composition and geochemical characteristics of six samples were determined by petrological and geochemical analysis. Soxhlet extraction was used to remove hydrocarbons. Low-temperature N2 and CO2 adsorption was performed to study the pore structure of shale samples before and after extraction, respectively.
2.2.1. XRD and TOC
XRD was performed in the State Key Laboratory of Continental Dynamics at Northwest University, P. R. China. Before tests, samples were crushed into powder of more than 200 mesh (74 μm) in an agate mortar. Then, the powder was placed on a glass slide to test.
TOC is an important indicator of the enrichment of organic matter in shale. The TOC content was tested by the LECO-CS230 carbon sulfur analyzer (MI, USA) in the State Key Laboratory of Continental Dynamics at Northwest University, P. R., China. Firstly, about 0.2 g of powder samples of more than 200 mesh were weighed and hydrolyzed with excess hydrogen chloride to remove carbonates. The reaction temperature was maintained at 60~80 °C for about 3 h. Then, the reaction solution was washed to neutral with distilled water, and the TOC content was determined after drying the samples. The unit of total organic carbon content is wt%.
2.2.2. Low-Temperature N2 and CO2 Adsorption
The experiments were conducted by a Quanta-chrome Autosorb automatic specific surface and pore analyzer (FL, USA) at the Petroleum Laboratory at Xi’an Shiyou University, P. R. China. Firstly, the samples were crushed and screened by a standard mesh sieve to the particle size of 80~100 mesh and dried for 48 h in a drying oven. N2 and CO2 adsorption were performed.
The pore size, measured by nitrogen adsorption, is between 2 and 100 nm [50]. Powder samples of 2–3 g were selected and then loaded into the tube that connected with the adsorption instrument. The powder samples were then dehydrated and degassed at 110 °C for 12 h to remove internal water and volatile materials, and vacuumed to remove other gas components. Then, the samples were backfilled with nitrogen, and the partial pressure of gas was gradually increased and decreased at a constant temperature to measure the adsorption and desorption amount of the sample under the corresponding pressure. According to the IUPAC report of 2015, when the specific surface area of plate pores with a size less than 10 nm is calculated based on the Kelvin equation (such as when using the BJH method), the results will be underestimated by 20~30%. The molecular model and density functional theory (DFT) method can effectively avoid the error caused by the calculation of the Kelvin equation. The accuracy of the calculation result is higher than that of the classical BET method [21]. Therefore, the DFT method was used to obtain parameters such as the pore volume and specific surface area of meso- and macro-pores by N2 adsorption. The experimental temperature was set at 77 K, and 76 pressure spot recordings were set during adsorption and desorption, with the relative pressure (P/P0) ranging from 0.05 to 0.99.
The pore size obtained by CO2 adsorption is mainly less than 2 nm, and 2–3 g powder samples were also selected for testing. The DFT method was also used to interpret the experimental data of CO2 adsorption and to calculate the parameters such as the volume and specific surface area of micro-pores. The experimental temperature was set at 273.15 K, and 50 pressure spot recordings were set during adsorption.
After the CO2 and N2 adsorption, the powder samples were extracted with benzene and chloroform (volume ratio of 1:3) by the Soxhlet extraction method; dissolved residual organic compounds were removed after 60 days and vacuum-dried at 100 °C for 48 h. Then, N2 and CO2 adsorption experiments and pore volume and specific surface area analyses were carried out again.
2.3. Methods
The fractal theory has been widely used to study the complexity and irregularity of pore throat structure since Mandelbrot put forward the fractal theory in 1967 [32,51,52,53]. The application of fractal theory in the pore throat structure of shale realizes the quantitative characterization of the complexity of pore structure and provides a powerful means for the comparison of the complexity of different samples, which covers the shortage of the uniformity of pore throat structure parameters measured by conventional experiments. The fractal theory is usually combined with experimental parameters from HPMI, CRMI, N2 adsorption, and NMR to study the complexity of tight reservoirs. Based on the combination of N2 adsorption and fractal theory, this study compared the complexity of shale pore structure before and after Soxhlet extraction, quantitatively studies the complexity change in shale pore structure, and evaluates the influence of shale oil on pore structure, which is helpful to understand the migration of shale oil.
The Frenkel–Halsey–Hill (FHH) fractal model was used to calculate the fractal dimensions from N2 adsorption, which was considered to be effective in studying the complexity of pores with different radii [54,55]. The fractal dimension of the shale reservoir is between 2 and 3, and the higher the value, the higher the complexity and irregularity of the pore structure [53]. The FHH model can be expressed as
where V and P represent the equilibrium volume (cm3/g) and the equilibrium pressure (MPa) of N2 adsorption, respectively. P0 stands for saturation pressure (MPa). C is a constant, and dimensionless. D−3 denotes the linear correction coefficient, where D is the fractal dimension. Using lnlnP0/P as the horizontal axis and lnV as the vertical axis to make a scatter diagram, the fractal dimension of different samples can be found by fitting the regressed slopes.
3. Results
3.1. TOC and Mineral Composition
The TOC content of the six samples ranged from 0.34 wt% to 13.26 wt%, with an average of 3.84 wt%, representing a high potential for oil production. The XRD results show that clay, quartz, and feldspar are the main minerals (Table 1). The content of clay minerals ranged from 37.3% to 54.5%, averaging 44.6%; the quartz content ranged from 15.5% to 30.6%, averaging 22.9%; and the feldspar content ranged from 21.5% to 34.2%, averaging 25.9%. In addition, carbonatite and pyrite were also developed, with small average contents of 3.7% and 2.5%, respectively. A small amount of siderite existed in samples C4 and C6, with an average content of 1.2%. Illite is the main clay mineral, with an average content of 60.4%, followed by an I/S mixed layer with an average of 28.2%. The chlorite content averaged 11.3%, and smectite and kaolinite were not developed.
Table 1.
TOC and mineral composition of samples.
3.2. CO2 and N2 Adsorption before and after Soxhlet Extraction
Figure 2 shows the comparison of CO2 adsorption isotherms of shale samples before and after Soxhlet extraction. The volume of CO2 adsorption gradually increased with the increase in relative pressure. According to the updated classification of the IUPAC [21], the CO2 adsorption curve exhibits the type I isotherm, which represents CO2 adsorption in the micro-pores as a monomolecular layer or micro-pore-filled state. The CO2 adsorption volume of the initial samples ranged from 0.3169 to 1.2886, and that of samples after extraction ranged from 0.4508 cm3/g to 1.7221 cm3/g, up to 17% to 78% from the initial state (Table 2).
Figure 2.
Characteristics of CO2 adsorption isotherms. (a) Sample C1. (b) Sample C2. (c) Sample C3. (d) Sample C4. (e) Sample C5. (f) Sample C6.
Table 2.
Parameters of CO2 adsorption in initial and Soxhlet extraction samples.
The N2 isothermal adsorption curves of the six samples before and after extraction are shown in Figure 3. With the increase in relative pressure, the volume of N2 adsorption gradually increased, and the nitrogen adsorption curve exhibits an inverse “S” pattern. In the low-pressure stage (P/P0 < 0.8), adsorption gradually changed from micro-pore-filling and monomolecular layer adsorption to multilayer adsorption, where the rapid increase in adsorption volume with the relative pressure was less obvious and was followed by a slow increase in adsorption volume. The amount of adsorbed nitrogen was increased significantly but did not reach saturation at higher relative pressures (P/P0 > 0.8), indicating that capillary condensation of nitrogen occurred. The adsorption and desorption curves clearly show a hysteresis loop, and they did not overlap at relative pressures of 0.45 to 0.9, resulting in an adsorption hysteresis that was mostly caused by capillary condensation in meso-and macro-pores [56,57].
Figure 3.
N2 adsorption and desorption isotherms. (a) Sample C1. (b) Sample C2. (c) Sample C3. (d) Sample C4. (e) Sample C5. (f) Sample C6.
The adsorption and desorption curves show forced closure after the relative pressure dropped to 0.45, which was caused by nitrogen evaporation in the capillary [58]. This showed that the pores of shale were primarily micro- and meso-pores, and capillary condensation occurred in the meso-pores [11,56]. According to the IUPAC, the hysteresis loop types are mainly H3 and H4 [21], indicating that shale pores are dominated by narrow slit-like parallel plate pores [59] and non-rigid aggregates of lamellar particles (like clay minerals). The nitrogen adsorption volume of the samples after extraction was higher than that in the initial state (Figure 3, Table 3).
Table 3.
Parameters of N2 adsorption isotherms in initial and Soxhlet extraction samples.
3.3. Pore Volumes and Specific Surface Areas
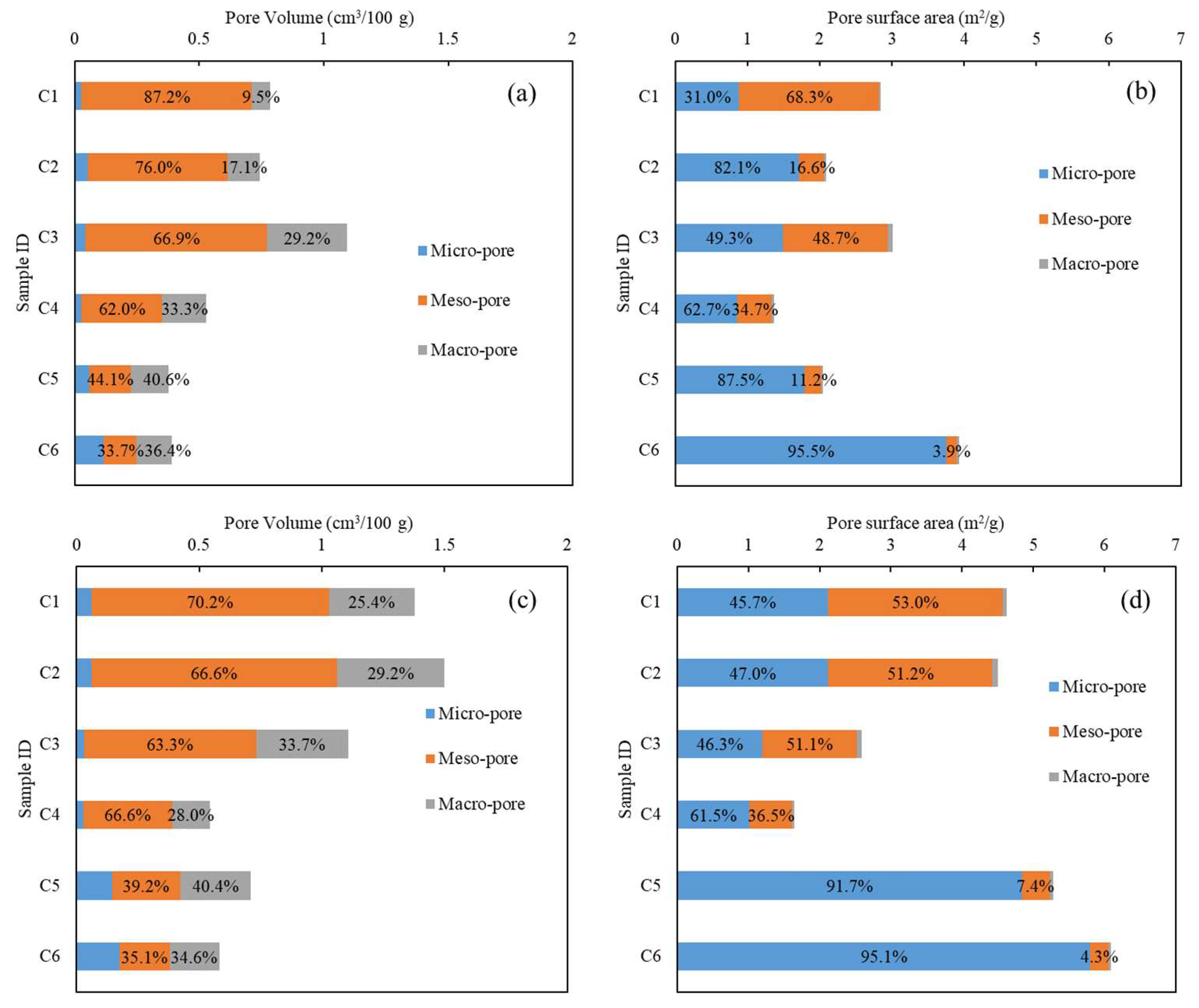
Table 2 and Table 3 show, using the DFT model, the pore volumes and specific surface areas of the micro-pores, meso-pores, and macro-pores of shale samples before and after extraction. The specific surface areas of micro-pores ranged from 0.8550 to 3.7492 m2/g, with an average of 1.7446 m2/g, while the pore volumes before and after extraction ranged from 0.0249 to 0.1162 cm3/100 g. The meso-pore volumes ranged from 0.1314 to 0.7307 cm3/100 g, with an average of 0.4338 cm3/100 g, and the specific surface areas ranged from 0.1518 to 1.93 m2/g, with an average of 0.7672 m2/g. The pore volumes of macro-pores ranged from 0.0748 to 0.3793 cm3/100 g, with an average of 0.1653 cm3/100 g, and the specific surface areas ranged from 0.0202 to 0.0604 m2/g, with an average of 0.0326 m2/g. The average pore volume and specific surface area of micro-pores after extraction were 0.0843 cm3/100 g and 2.8453 m2/g, respectively. The average pore volume of meso-pores was 0.5855 cm3/100 g, and 0.3004 m2/g was the average for specific surface area. The average pore volume of macro-pores was 1.2228 cm3/100 g, and the average specific surface area was 0.0544 m2/g.
Hydrocarbons mainly existed in meso-pores and macro-pores (Figure 4a,c), and the proportion of meso-pores volume in the total volume after extraction ranged from 35.1 to 70.2%, with an average of 56.8%, followed by macro-pores, with an average of 31.9%. The specific surface area of extracted samples was mainly contributed by micro-pores (Figure 4b,d), which accounted for an average of 68.0% of the specific surface area of the extracted samples.
Figure 4.
Pore volume and specific surface area distribution of initial and extracted samples. (a) Pore volume of initial samples. (b) Pore surface area of initial samples. (c) Pore volume of Soxhlet extraction samples. (d) Pore surface area of Soxhlet extraction samples.
3.4. Fractal Dimensions before and after Soxhlet Extraction
The complexity of pore size distribution, pore structure, and specific surface area is an important index for evaluating shale oil. Based on N2 adsorption, the fractal theory was used to study the complexity of the pore structure of shale. Under different pressures, N2 has different adsorption forms and fractal characteristics in the pore throat structure [60]. With the principle of maximizing the fitting coefficient, the isothermal adsorption curves were divided into two intervals, the low-pressure section and the high-pressure section. The least squares principle was used to fit the trend lines of the two sections, respectively, to obtain the slopes and the correlation coefficients R2 of the different intervals of the samples before and after extraction (Figure 5), and the fractal dimensions D1, D2 of the initial samples and the D1s and D2s of the extraction samples (Table 4) were calculated by using Equation (1). D1 is the fractal dimension under low pressure, which is controlled by van der Waals forces and can be used as an indicator of pore surface roughness. Whereas N2 adsorption at relatively high pressure is affected by multilayer adsorption, D2 can be used as an indicator of the irregularity of the pore structure, and D2 becomes larger as the shale pore structure becomes complex. The fractal dimensions D1 and D1s ranged from 2.4909 to 2.6708 and 2.4896 to 2.6386, respectively. The fractal dimensions D2 and D2s ranged from 2.6356 to 2.8770 and 2.6678 to 2.8537, respectively (Table 4), with high values, which confirms the complex pore structure of shale.
Figure 5.
ln V versus ln(ln(P0/P)) of Sample C4. (a) Initial sample. (b) After Soxhlet extraction.
Table 4.
Pore volume occupied by hydrocarbons and fractal dimensions of initial and Soxhlet extraction samples.
4. Discussions
4.1. Discussion on Pore Space Occupied by Hydrocarbons
The adsorption volume after extraction was higher than that before extraction except for that of sample C3 (Table 2), based on CO2 adsorption. This finding indicated that hydrocarbons are present in the micro-pores of shale and that these pores help to accumulate hydrocarbons. The adsorption volume of sample C3 after extraction was lower than before extraction. A decrease in the volume of adsorption occurred as a result of the effect of temperature and capillary pressure during extraction, which probably caused the pyrolysis of heavy hydrocarbons and adsorbed components and re-enrichment by adsorption in organic matter pores. This effect will be further examined in the study that follows. The nitrogen adsorption volume of the samples after extraction was higher than that in the initial state, indicating that the meso-pores and macro-pores are also the pore spaces occupied by hydrocarbons (Figure 3, Table 3).
Hydrocarbons mainly existed in meso-pores and macro-pores (Figure 4a,c). By comprehensive comparison, the specific surface area of extracted samples was mainly contributed by micro-pores (Figure 4b,d), indicating that although the pore volume was small, the specific surface area of micro-pores was large [57,58]. This was mainly related to the large number of organic pores in the micro-pores, which provided a large amount of surface area for hydrocarbon adsorption [5]. It is an important occurrence mode of shale oil.
The volume of micro-pores is positively correlated with TOC (Figure 6a). With higher TOC content, organic pores in shale are more developed and micro-pores are larger. The DFT pore volume calculated based on nitrogen adsorption shows a negative correlation with TOC content (Figure 6b), indicating that organic pores were less developed in meso-pores and macro-pores. The DFT pore volume is positively correlated with the carbonate content (Figure 6d), and negatively correlated with clay mineral content (Figure 6c).
Figure 6.
TOC content and mineral contents vs. CO2 and N2 quantity adsorbed. (a) CO2 quantity adsorbed vs. TOC. (b) N2 quantity adsorbed vs. TOC. (c) N2 quantity adsorbed vs. clay mineral content. (d) N2 quantity adsorbed vs. carbonate content.
After extraction, the hydrocarbon volume of samples C3 and C4 increased in a certain pore radius, suggesting that these samples have a low residual hydrocarbon content and that the majority of them are in an adsorption state. When hydrocarbons are extracted at high temperatures, their condition changes, and capillary force causes them to reaccumulate in the pores. Figure 4 shows that hydrocarbons were mainly present in meso- and macro-pores, and shale oil was most commonly found with pore radii higher than 5 nm (Figure 7 and Figure 8). The pore distribution curves show that there are obvious peaks between 50 and 100 nm and over 200 nm. The hydrocarbon content in the meso- and macro-pores of samples C1 and C2 was high, and the hydrocarbons in samples C5 and C6 mainly existed in the meso-pores (Figure 8), indicating that inorganic pores are more contributing to the production of shale oil.
Figure 7.
Micro-pore distribution of initial and Soxhlet extraction samples. (a) Sample C1. (b) Sample C2. (c) Sample C3. (d) Sample C4. (e) Sample C5. (f) Sample C6.
Figure 8.
Meso- and macro-pore distribution of initial and Soxhlet extraction samples. (a) Sample C1. (b) Sample C2. (c) Sample C3. (d) Sample C4. (e) Sample C5. (f) Sample C6.
The pore distribution of samples before and after extraction shows obvious differences, especially in micro-pores, suggesting a complex distribution of shale oil in the pores. After extraction, obvious single or multiple peaks appeared in the pore interval of 0.5–0.6 nm and at 0.8 nm (Figure 7). The N2 adsorption hysteresis loops before and after extraction of meso-pores and macro-pores did not change much (Figure 3), i.e., the hysteresis loop types were all dominated by parallel plates, implying that hydrocarbons existed in the shale pores mainly in an adsorbed state.
4.2. Complexity Change in Pores before and after Extraction
D1s was generally smaller than D1 (Table 4), and the pore surface roughness of the samples after extraction was smaller, indicating that the oil adsorption in the initial samples was heterogeneous, resulting in a high fractal dimension. During the high-temperature extraction process, the residual hydrocarbons in the pore space changed; the heavy components were cracked into light hydrocarbons, most of the light components were extracted, and the residual light components were redistributed on the pore surface, resulting in a smooth pore surface with a more homogeneous roughness. The variation between D2 and D2s was irregular (Table 4), and the accumulation of hydrocarbons in pores did not aggravate the complexity of the pore structure.
According to the relationship between D2, D2s, and pore volume, the pore volume was large and D2 and D2s were large (Figure 9a). For example, in sample C2, the pores were mainly composed of meso-pores and macro-pores, with a high content of brittle minerals, a large proportion of inorganic pores, and a complex pore network formed by intergranular pores, dissolution pores, and organic pores. In both the initial and Soxhlet extraction sample, the complexity of pores was stronger, and the fractal dimension was large. Meanwhile, the high proportion of inorganic pores also implies a large degree of heterogeneity of pore surface, and because of the large differences in roughness on the surfaces of quartz, feldspar, and clay minerals, D1 and D1s of sample C2 were also large (Figure 9a).
Figure 9.
Fractal dimensions vs. pore characteristics and TOC. (a) Pore volume vs. D. (b) TOC vs. D. (c) Mineral content vs. D. (d) Mineral content vs. pore volume.
The contents and existence forms of minerals directly affect the complexity of the pore throat structure and the roughness of the pore throat surface [61,62,63]. Therefore, the difference in mineral composition among different samples is the basic geological factor affecting the accumulation of shale oil. The content of brittle minerals is positively correlated with the pore volume (Figure 9d), and the high content of brittle minerals is conducive to the development of primary intergranular pores. In the middle and late diagenesis, part or all of the intergranular pores were filled and cut by clay minerals, forming parallel plate-like pores and providing a large amount of hydrocarbon accumulation space. The dissolution of carbonate minerals increased the reservoir space (Figure 9d). There is no correlation between quartz and pore volume. We found that the addition of I/S greatly increased the complexity of the shale pore space (Figure 9c), and I/S filled or semi-filled intergranular pores and developed curved sheet pores with diverse morphologies, which exacerbated the complexity of pore throat structure.
However, the hydrocarbon accumulation space in shale is not only controlled by minerals but also has a strong relationship with the occurrence of kerogen. D2 and D2s are negatively correlated with TOC content (Figure 9b). The higher the TOC content, the higher the proportion of organic matter pores, and the pores are alveolate-connected, resulting in a lower complexity and fractal dimension of pore space. Meanwhile, we found that D1 and D1s are weakly negatively correlated with TOC (Figure 9b), and the surface of the organic matter pores was smooth. The higher the content of organic matter, the lower the roughness of the pore surface of the sample, that is, the smaller the D1 and D1s. This shows that in shale, the occurrence of organic matter has a constructive effect on the homogeneity of the pore throat system and pore surface smoothness.
4.3. The Change in Hydrocarbon Accumulation before and after Extraction
Figure 7 and Figure 8 show the volume change of micro-pores, meso-pores, and macro-pores before and after extraction. The pore volume increased after extraction, but not all pore throat size segments of the shale were enlarged. As shown in Figure 8, hydrocarbons in the meso- and macro-pores of samples C1, C2, C5, and C6 were extracted, and it can be seen that the pore volume increased obviously, but the pore volume changes in C3 and C4 were smaller. The volume changes in micro-pores before and after extraction were more complicated, implying that the content, state, and location of hydrocarbons changed during extraction, which also proves that Soxhlet extraction cannot completely remove hydrocarbons in the pore space. Therefore, in the follow-up study, the gas displacement and extraction method can be further used to clarify the characteristics of shale oil accumulation in the pore throat.
4.3.1. Migration and Re-Adsorption of Light Hydrocarbons
Shale oil is characterized by multilayer adsorption in the pore space, showing a solid or solid-like form near the surface of mineral particles, and is mainly free liquid in the center of the pores [7]. However, different from shale gas, it is difficult to define the adsorption state and free state in a single pore, and there is no obvious boundary between the two states [16]. High temperature and high pressure can improve the extraction efficiency of shale oil; a long-term high-temperature action, especially, will cause the pyrolysis of some heavy hydrocarbons and adsorbed components, and the higher the content of heavy components, the greater the content of adsorbed oil. A high-temperature extraction at 150 °C is enough to transform the adsorption components into the free state, and the viscosity of the oil is reduced, so that the extraction efficiency is higher. Also, molecular dynamics simulation confirmed that temperature has an effect on oil fluidity [42]. Previous studies, through adsorption experiments and molecular dynamics simulations, found that the thickness of the oil film showed an obvious pore size effect in micro-pores and meso-pores. The thickness of the oil film increased with the increase in the pore size, and the number of adsorbed layers changed from 1 to 3. However, in macro-pores, the relationship between adsorbed oil film thickness and pore size is weak, and the number of adsorbed layers remains stable at 3–4 layers [64,65].
During the extraction process, the adsorption layer in the macro-pore decreases step by step, and the free oil extracted from the micro-pore can reaggregate in the macro-pore and adsorb again to restore a stable adsorption layer, resulting in extraction difficulties (Figure 10(a-1–a-3)). By sequential solvent extraction, it was believed that free oil mainly existed in pores larger than 5 nm. The maturity of the samples was low, and the residual hydrocarbons were mainly macromolecular heavy hydrocarbons, which mainly existed in meso- and macro-pores. The content of light hydrocarbons was low, and the micro-pores were mainly composed of adsorbed light hydrocarbons. Due to the influence of pore throat structure, the adsorbed hydrocarbons in the micro-pores of samples C3 and C4 were difficult to utilize, resulting in the phenomenon that the hydrocarbons in the micro-pores and meso-pores were almost not extracted. Meso-pores were the main storage space, and the high proportion of meso-pores in samples C1, C2, C5, and C6 facilitated the migration of free oil during the extraction process, resulting in a high extraction rate.
Figure 10.
Schematic of hydrocarbon migration in different pore throat structures. (a-1) Hydrocarbon distribution of sample with large pores and narrow throat in initial state. (a-2) Hydrocarbon distribution of sample with large pores and narrow throat during extraction. (a-3) Hydrocarbon distribution of sample with large pores and narrow throat after extraction. (b-1) Hydrocarbon distribution of sample with large pores and large throat (homogeneous) in initial state. (b-2) Hydrocarbon distribution of sample with large pores and large throat (homogeneous) during extraction. (b-3) Hydrocarbon distribution of sample with large pores and large throat (homogeneous) after extraction. (c-1) Hydrocarbon distribution of sample with small pores and narrow throat in initial state. (c-2) Hydrocarbon distribution of sample with small pores and narrow throat during extraction. (c-3) Hydrocarbon distribution of sample with small pores and narrow throat after extraction. (d-1) Hydrocarbon distribution of sample with clay mineral pores in initial state. (d-2) Hydrocarbon distribution of sample with clay mineral pores during extraction. (d-3) Hydrocarbon distribution of sample with clay mineral pores after extraction.
4.3.2. Effect of Pore Throat Structure on Extraction Process
Shale oil diffuses and redistributes along the particle surface. In a well-connected pore structure, shale oil in the adsorption layer of small pores will migrate into large pores as the oil in large pores decreases. The oil in the pores with a large size and good connectivity is easy to extract, and the oil in the nanoscale pores is displaced by capillary force during extraction and then enters into meso- and macro-pores under the action of diffusion. If the pore structure is well connected and the diffusion ability is strong, the shale oil extraction rate is high. Organic pores in samples C5 and C6 were developed, and the proportion of micro-pores, meso-pores, and macro-pores accounted for a small difference, and the pore throat structure was homogeneous (Table 4). The diffusion capacity was strong, and the residual hydrocarbons in organic pores easily entered into meso- and macro-pores, so the extraction rates of micro-pores, meso-pores, and macro-pores were higher (Figure 10(b-1–b-3)). The proportion of meso-pores in samples C3 and C4 was the lowest, and the connectivity between macro- and micro-pores was limited. During extraction, although the capillary force was strong, the diffusion capacity was poor, and shale oil continued to be adsorbed on the particle surfaces where the distribution of pore throats was heterogeneous, resulting in pore blockage and the lowest amount of shale oil extraction (Figure 10(c-1–c-3)).
Samples C1 and C2, with high brittle mineral content (Table 1), had large intergranular pores and a high proportion of meso-pores. Although the extraction rate of residual hydrocarbons in micro-pores was low, the proportion of shale oil in meso- and macro-pores was high, and it was easy to extract, so the extracted oil amount was high. On the other hand, the extraction solvent had fully reacted with the adsorbed oil as well as free heavy oil in the macro-pores during the gradual entry into the small pores, and a long extraction time can also lead to a high extraction rate. Pore throat configuration has a crucial impact on the extraction rate of shale oil. The pore structure of shale is complex, and organic matter pores develop; if meso-pores can effectively communicate with organic matter pores, clay mineral intercrystalline pores, and intergranular pores, higher recovery efficiency can be obtained even if the pore size is small.
4.3.3. Effect of Mineral Surface Wettability on the Extraction Process
The interfacial properties between fluids and solids affect oil accumulation in shale, and hydrocarbon compounds with different properties undergo complex physical–chemical reactions. In general, the more oil-wetting characteristics the mineral surface has, the greater the thickness of the adsorption layer on it, and the smaller the movable amount of free oil. Mineral surfaces can adsorb both light hydrocarbon components and large molecules such as non-hydrocarbons and asphaltene with larger polarities. The adsorption of light hydrocarbon components on the mineral surface mainly depends on the physical adsorption from the van der Waals force, which is small, and it is easy to extract the hydrocarbons. Asphaltenes and non-hydrocarbon components contain a large number of polar functional groups with strong polarity, which are more easily adsorbed on the surface of minerals and kerogen through ionic or hydrogen bonds than hydrocarbons [66].
Sample C3 had a high content of chlorite (Table 1), which was mainly a lining filled in in intergranular pores [67], and clay minerals such as chlorite show strong oil-wetting characteristics during diagenetic evolution, which is favorable for the adsorption of shale oil [68,69]. Clay mineral (chlorite) intercrystalline pores are oil-wetting and contain a large number of lipophilic groups. During the extraction process, the residual hydrocarbons in the intergranular pores were further adsorbed by the oil-wetting intergranular pores under the action of capillary force. Secondly, the high fractal dimension of sample C3 (Table 4) and the poor diffusion of oil in it also accelerated the re-aggregation of hydrocarbons in the micro-pores and meso-pores (Figure 10(d-1–d-3)).
A large number of lipophilic groups exist on the surface of organic matter, which can form high-energy adsorption sites with strong adsorption capacity, and shale oil in organic matter pores will exist in a dissolved state with strong fluidity under this strong adsorption. Samples C5 and C6 had a high TOC content, and the micro-pores were dominated by organic matter pores, so the movable oil content was high (Figure 7e,f). Secondly, organic matter pores provided a large number of adsorption sites; the specific surface area of organic matter pores in samples C5 and C6 increased significantly after extraction (Figure 4b,d). If bound water exists on the mineral surface, the amount of adsorbed oil is greatly reduced. In water-bearing samples, the surface of clay, calcite, and quartz can show hydrophilicity [70,71], at which time there is no regularity in the adsorption characteristics of mineral surfaces, and the adsorption amount of oil in shale may be related only to TOC. However, the water saturation of the shale samples from the Yanchang Formation in the study area was less than 10%, so the influence of bound water on extraction is not discussed in this study.
It should be noted that pores provide space for shale oil enrichment, but not all pores contained shale oil, and the properties of the mineral surface determine the state, content, and mobility of the oil in the pore. The exploitation of unconventional reservoirs should pay attention not only to the configuration of pore structure, but also to the wettability of the mineral surface.
5. Conclusions
The hydrocarbon accumulation space characteristics, the effect of hydrocarbon accumulation on pore heterogeneity, the hydrocarbon migration changes, and the factors affecting extraction efficiency in shale pores were investigated in this paper.
Hydrocarbons are mainly found in meso- and macro-pores. The hydrocarbons in the pore space of shale do not aggravate the complexity of the pore structure.
The content, state, and location of hydrocarbons change in a complex process during extraction. After extraction, the hydrocarbons are redistributed on the pore surface, resulting in a decrease in pore surface roughness. Some heavy hydrocarbons and adsorbed components are pyrolyzed by long-term high-temperature extraction, and the adsorption layer in the macro-pores is gradually reduced. The free oil in the small pores diffuses into the large pores and accumulates again, and then is adsorbed on the surface of the large pores again, restoring the stable adsorption layer, resulting in difficult extraction.
The extraction rate was closely related to the pore throat structure and the wettability of the mineral surfaces. (1) Pore throat configuration has a crucial influence on extraction efficiency. The diffusion rate and extraction efficiency are higher when the proportion of meso-pores is high and they can effectively communicate with organic matter pores, clay mineral intercrystalline pores, and intergranular pores. A very large number of organic matter pores is conducive to extraction efficiency due to the strong adsorption force, and shale oil exists in the dissolved state with a high content of mobile oil.
(2) The wettability of clay minerals, such as chlorite, exhibit strong oil wetting, and hydrocarbons are further adsorbed in the intercrystalline pores of clay minerals under the action of strong capillary forces formed by a complex pore throat structure, resulting in the volume of micro-pores after extraction being smaller than that before extraction.
Author Contributions
Conceptualization, Y.Q.; Methodology, S.O.; Software, Y.C. and Z.Z.; Validation, J.G. and J.S.; Writing—original draft, Y.Q.; Writing—review & editing, Y.W. and Z.L.; Supervision, W.S. and H.W.; Funding acquisition, Y.Q. All authors have read and agreed to the published version of the manuscript.
Funding
This study was supported by the National Natural Science Foundation of China (grant No: 42202143), the Open Fund (XSTS-202101) of Xi’an Key Laboratory of Tight oil (Shale oil) Development, and the Natural Science Basic Research Program of Shaanxi (Program No. 2023-JC-QN-0374).
Data Availability Statement
All our data have been displayed in the pictures in this paper.
Acknowledgments
The authors sincerely thank the Department of Geology of Northwest University and PetroChina Changqing Oilfield Company for providing the drill cores used in this study.
Conflicts of Interest
Authors Jianwen Gao and Jian Shi were employed by the PetroChina Changqing Oilfield Company. Author Zhou Lyu was employed by the China National Petroleum Corporation. The remaining authors declare that the research was conducted in the absence of any commercial or financial relationships that could be construed as a potential conflict of interest.
References
- Jia, C.; Zou, C.; Li, J.; Li, D.; Zheng, M. Assessment criteria, main types, basic features and resource prospects of the tight oil in China. Acta Pet. Sin. 2012, 33, 343–350. [Google Scholar]
- Hao, F.; Zou, H.; Lu, Y. Mechanisms of shale gas storage: Implications for shale gas exploration in China. AAPG Bull. 2013, 97, 1325–1346. [Google Scholar] [CrossRef]
- Zou, C.; Zhu, R.; Chen, Z.; Ogg, J.; Wu, S.; Dong, D.; Qiu, Z.; Wang, Y.; Wang, L.; Lin, S.; et al. Organic-matter-rich shales of China. Earth-Sci. Rev. 2019, 189, 51–78. [Google Scholar] [CrossRef]
- Katsube, T.; Williamson, M. Effects of diagenesis on shale nanopore structure and implications for sealing capacity. Clay Miner. 1994, 29, 451–461. [Google Scholar] [CrossRef]
- Loucks, R.; Reed, R.; Ruppel, S.; Hammes, U. Spectrum of pore types and networks in mudrocks and a descriptive classification for matrixrelated mudrock pores. AAPG Bull. 2012, 96, 1071–1098. [Google Scholar] [CrossRef]
- Merkel, A.; Fink, R.; Littke, R. High pressure methane sorption characteristics of lacustrine shale from the Middle Valley Basin, Scotland. Fuel 2016, 182, 361–372. [Google Scholar] [CrossRef]
- Jin, Z.; Wang, G.; Liu, G.; Gao, B.; Liu, Q.; Wang, H.; Liang, X.; Wang, R. Research progress and key scientific issues of continental shale oil in China. Acta Pet. Sin. 2021, 42, 821–835. (In Chinese) [Google Scholar] [CrossRef]
- Dong, D.; Gao, S.; Huang, J.; Guan, Q.; Wang, S.; Wang, Y. Discussion on the exploration & development prospect of shale gas in the Sichuan Basin. Nat. Gas Ind. B 2015, 2, 9–23. [Google Scholar] [CrossRef]
- Hu, Q.; Liu, X.; Gao, Z.; Liu, S.; Zhou, W.; Hu, W. Pore structure and tracer migration behavior of typical American and Chinese shales. Pet. Sci. 2015, 12, 651–663. [Google Scholar] [CrossRef]
- Zhang, J.; Li, X.; Wei, Q.; Gao, W.; Liang, W.; Wang, Z.; Wang, F. Quantitative characterization of pore-fracture system of organic-rich marine-continental shale reservoirs: A case study of the Upper Permian Longtan formation, Southern Sichuan Basin, China. Fuel 2017, 200, 272–281. [Google Scholar] [CrossRef]
- Mastalerz, M.; Schimmelmann, A.; Drobniak, A.; Chen, Y. Porosity of Devonian and Mississippian New Albany Shale across a maturation gradient: Insights from organic petrology, gas adsorption, and mercury intrusion. AAPG Bull. 2013, 97, 1621–1643. [Google Scholar] [CrossRef]
- Ji, W.; Hao, F.; Schulz, H.; Song, Y.; Tian, J. The architecture of organic matter and its pores in highly mature gas shales of the Lower Silurian Longmaxi Formation in the Upper Yangtze Platform, south China. AAPG Bull. 2019, 102, 2909–2942. [Google Scholar] [CrossRef]
- Huang, H.; Li, R.; Xiong, F.; Hu, H.; Sun, W.; Jiang, Z.; Chen, L.; Wu, L. A method to probe the pore-throat structure of tight reservoirs based on low-field NMR: Insights from a cylindrical pore model. Mar. Pet. Geol. 2020, 117, 104344. [Google Scholar] [CrossRef]
- Zhang, K.; Song, Y.; Jia, C.; Jiang, Z.; Han, F.; Wang, P.; Yuan, X.; Yang, Y.; Zeng, Y.; Li, Z.; et al. Formation mechanism of the sealing capacity of the roof and floor strata of marine organic-rich shale and shale itself, and its influence on the characteristics of shale gas and organic matter pore development. Mar. Pet. Geol. 2022, 140, 105647. [Google Scholar] [CrossRef]
- Bernard, S.; Horsfield, B. Reply to comment on ‘‘Formation of nanoporous pyrobitumen residues during maturation of the Barnett Shale (Fort Worth Basin)”. Int. J. Coal Geol. 2014, 127, 114–115. [Google Scholar] [CrossRef]
- Lu, S.; Liu, W.; Wang, M.; Zhang, L.; Wang, Z.; Chen, G.; Xiao, D.; Li, Z.; Hu, H. Lacustrine shale oil resource potential of Es3 L sub-member of Bonan Sag, Bohai Bay Basin, Eastern China. J. Earth Sci. 2017, 28, 996–1005. [Google Scholar] [CrossRef]
- Tian, H.; Pan, L.; Zhang, T.; Xiao, X.; Meng, Z.; Huang, B. Pore characterization of organic-rich lower Cambrian shales in Qiannan depression of Guizhou province, southwestern China. Mar. Pet. Geol. 2015, 62, 28–43. [Google Scholar] [CrossRef]
- Lu, H.; Li, Q.; Yue, D.; Wu, Y.; Gao, J.; Wu, S.; Wang, W.; Li, M.; An, K. Quantitative characterization and formation mechanism of the pore system heterogeneity: Examples from organic-rich laminated and organic-poor layered shales of the upper triassic chang 7 member in the southern Ordos Basin, China. Mar. Pet. Geol. 2023, 147, 105999. [Google Scholar] [CrossRef]
- Tang, X.; Jiang, Z.; Jiang, S.; Li, Z.; Peng, Y.; Xiao, D. Effects of organic matter and mineral compositions on pore structures of shales: A comparative study of lacustrine shale in Ordos Basin and Marine Shale in Sichuan Basin, China. Energy Explor. Exploit. 2018, 36, 28–42. [Google Scholar] [CrossRef]
- Zhao, J.; Jin, Z.; Jin, Z.; Hu, Q.; Hu, Z.; Du, W.; Yan, C.; Geng, Y. Mineral types and organic matters of the Ordovician-Silurian Wufeng and Longmaxi shale in the Sichuan Basin, China: Implications for pore systems, diagenetic pathways, and reservoir quality in fine-grained sedimentary rocks. Mar. Pet. Geol. 2017, 86, 55–674. [Google Scholar] [CrossRef]
- Thommes, M.; Kaneko, K.; Neimark, A.; Olivier, J.; Rodriguez-Reinoso, F.; Rouquerol, J.; Sing, K. Physisorption of gases, with special reference to the evaluation of surface area and pore size distribution (IUPAC Technical Report). Pure Appl. Chem. 2015, 87, 1051–1069. [Google Scholar] [CrossRef]
- Wang, M.; Guan, Y.; Li, C.; Liu, Y.; Lu, S. Qualitative description and full-pore-size quantitative evaluation of pores in lacustrine shale reservoir of Shahejie Formation, Jiyang Depression. Oil Gas Geol. 2018, 39, 1107–1119. [Google Scholar] [CrossRef]
- Vivek, K.; Vinod, A.; Alka, D.; Shashanka, P.; Vikram, P.; Priyanka, S. Significance of organo-mineralogical constituents on pore distribution, fractals and gas sorption mechanism of Permian shale beds in Korba sub-basin of the Son-Mahanadi Valley, India. Geoenergy Sci. Eng. 2023, 231, 212334. [Google Scholar] [CrossRef]
- Chalmers, G.; Bustin, R.; Power, I. Characterization of gas shale pore systems by porosimetry, pycnometry, surface area, and field emission scanning electron microscopy/transmission electron microscopy image analyses: Examples from the Barnett, Woodford, Haynesville, Marcellus, and Doig units. AAPG Bull. 2012, 96, 1099–1119. [Google Scholar] [CrossRef]
- Curtis, M.; Cardott, B.; Sondergeld, C.; Rai, C. Development of organic porosity in the Woodford Shale with increasing thermal maturity. Int. J. Coal Geol. 2012, 103, 26–31. [Google Scholar] [CrossRef]
- Zhou, S.; Liu, D.; Cai, Y.; Karpyn, Z.; Yao, Y. Comparative analysis of nanopore structure and its effect on methane adsorption capacity of Southern Junggar coalfield coals by gas adsorption and FIB-SEM tomography. Microporous Mesoporous Mater. 2018, 272, 117–128. [Google Scholar] [CrossRef]
- Liu, Y.; Yao, Y.; Liu, D.; Zheng, S.; Sun, G.; Chang, Y. Shale pore size classification: An NMR fluid typing method. Mar. Pet. Geol. 2018, 96, 591–601. [Google Scholar] [CrossRef]
- Tian, X.; Duan, X.; Sun, M.; Erfan, M.; Hu, Q.; Mehdi, O.; Liu, B.; Ke, Y.; Pan, Z. Evolution of fractal characteristics in shales with increasing thermal maturity: Evidence from neutron scattering, N2 physisorption, and FE-SEM imaging. Energy 2024, 298, 131342. [Google Scholar] [CrossRef]
- Wang, F.; Wang, L. Pore structure analysis and permeability prediction of shale oil reservoirs with HPMI and NMR: A case study of the Permian Lucaogou Formation in the Jimsar Sag, Junggar Basin, NW China. J. Pet. Sci. Eng. 2022, 214, 110503. [Google Scholar] [CrossRef]
- Liu, K.; Ostadhassan, M.; Zou, J.; Gentzis, T.; Rezaee, R.; Bubach, B.; Carvajal-Ortiz, H. Multifractal analysis of gas adsorption isotherms for pore structure characterization of the Bakken Shale. Fuel 2018, 219, 296–311. [Google Scholar] [CrossRef]
- Turlapati, V.; Prusty, B.; Yarlagadda, D.; Pal, S.; Raja, E. Analysis of micropore size distribution using Dubinin’s theory of volume filling—Effect of particle size on pore characterization of organic-rich Indian shales. J. Nat. Gas Sci. Eng. 2022, 106, 104746. [Google Scholar] [CrossRef]
- Mandelbrot, B.; Passoja, D.; Paullay, A. Fractal character of fracture surfaces of metals. Nature 1984, 308, 721–722. [Google Scholar] [CrossRef]
- Lai, J.; Wang, G. Fractal analysis of tight gas sandstones using high-pressure mercury intrusion techniques. J. Nat. Gas Sci. Eng. 2015, 24, 185–196. [Google Scholar] [CrossRef]
- Huang, H.; Chen, L.; Sun, W.; Xiong, F.; Ji, W.; Jia, J.; Tang, X.; Zhang, S.; Gao, J.; Luo, B. Pore-throat structure and fractal characteristics of Shihezi formation tight gas sandstones in the Ordos Basin, China. Fractals 2018, 26, 1840005. [Google Scholar] [CrossRef]
- Li, X.; Wei, W.; Wang, L.; Ding, P.; Zhu, L.; Cai, J. A new method for evaluating the pore structure complexity of digital rocks based on the relative value of fractal dimension. Mar. Pet. Geol. 2022, 141, 105694. [Google Scholar] [CrossRef]
- Guan, Q.; Dong, D.; Sun, S.; Hu, L.; Qi, L.; Li, C.; Chen, C.; Chen, X. Fractal characteristics of organic-rich shale pore structure and its geological implications: A case study of the Lower Silurian Longmaxi Formation in the Weiyuan block, Sichuan Basin. Nat. Gas. Ind. 2024, 44, 108–118. [Google Scholar]
- Jarvie, D. Shale Resource Systems for Oil and Gas Part 2: Shale-oil Resource Systems. In Shale Reservoirs_Giant Resources for the 21st Century: AAPG Memoir; American Association of Petroleum Geologists; GeoScienceWorld: McLean, VA, USA, 2012; Volume 97. [Google Scholar] [CrossRef]
- Wang, M.; Ma, R.; Li, J.; Lu, S.; Li, C.; Guo, Z.; Li, Z. Occurrence mechanism of lacustrine shale oil in the Paleogene Shahejie Formationof Jiyang Depression, Bohai Bay Basin, China. Pet. Explor. Dev. 2019, 46, 789–802. [Google Scholar] [CrossRef]
- Han, Y.; Horsfield, B.; Wirth, R.; Mahlstedt, N.; Bernard, S. Oil retention and porosity evolution in organic rich shales. AAPG Bull. 2017, 101, 807–827. [Google Scholar] [CrossRef]
- Hu, T.; Pang, X.; Jiang, F.; Wang, Q.; Liu, X.; Wang, Z.; Jiang, S.; Wu, G.; Li, C.; Xu, T.; et al. Movable oil content evaluation of lacustrine organic-rich shales: Methods and a novel quantitative evaluation model. Earth-Sci. Rev. 2021, 214, 103545. [Google Scholar] [CrossRef]
- Zhang, H.; Huang, H.; Li, Z.; Liu, M. Oil physical status in lacustrine shale reservoirs—A case study on Eocene Shahejie Formation shales, Dongying Depression, East China. Fuel 2019, 257, 116027. [Google Scholar] [CrossRef]
- Pernyeszi, t.; Patzkó, Á.; Berkesi, O.; Dékány, I. Asphaltene adsorption on clays and crude oil reservoir rocks. Colloids Surf. A 1998, 137, 373–384. [Google Scholar] [CrossRef]
- Liu, B.; Liu, Y.; Liu, Y.; He, J.; Gao, Y.; Wang, H.; Fan, J.; Fu, X. Prediction of low-maturity shale oil produced by in situ conversion: A case study of the first and second members of Nenjiang Formation in the Central Depression, southern Songliao Basin, Northeast China. Pet. Geol. Exp. 2020, 42, 533–544. [Google Scholar] [CrossRef]
- Guo, J.; Li, M.; Chen, C.; Tao, L.; Liu, Z. Experimental investigation of spontaneous imbibition in tight sandstone reservoirs. J. Pet. Sci. Eng. 2020, 193, 107395. [Google Scholar] [CrossRef]
- Gao, H.; Wang, Y.; Xie, Y.; Ni, J.; Li, T.; Wang, C.; Xue, J. Imbibition and oil recovery mechanism of fracturing fluids in tight sandstone reservoirs. ACS Omega 2021, 6, 1991–2000. [Google Scholar] [CrossRef] [PubMed]
- Yang, H.; Fu, J.; He, H.; Liu, X.; Zhang, Z.; Deng, X. Formation and distribution of large low-permeability lithologic oil regions in Huaqing, Ordos Basin. Pet. Explor. Dev. 2012, 39, 683–691. [Google Scholar] [CrossRef]
- Li, P.; Jia, C.; Jin, Z.; Liu, Q.; Zheng, M.; Huang, Z. The characteristics of movable fluid in the Triassic lacustrine tight oil reservoir: A case study of the Chang 7 member of Xin’anbian Block, Ordos Basin, China. Mar. Pet. Geol. 2019, 102, 126–137. [Google Scholar] [CrossRef]
- He, C.; Ji, L.; Su, A.; Wu, Y.; Zhang, M.; Zhou, S.; Li, J.; Hao, L.; Ma, Y. Source-rock evaluation and depositional environment of black shales in the Triassic Yanchang Formation, southern Ordos Basin, north-central China. J. Pet. Sci. Eng. 2019, 173, 899–911. [Google Scholar] [CrossRef]
- Fu, J.; Li, S.; Niu, X.; Deng, X.; Zhou, X. Geological characteristics and exploration of shale oil in Chang 7 Member of Triassic Yanchang Formation, Ordos Basin, NW China. Pet. Explor. Dev. 2020, 45, 931–945. [Google Scholar] [CrossRef]
- Lin, W.; Maria, M.; Arndt, S.; Chen, Y. Influence of Soxhlet extractable bitumen and oil on porosity in thermally maturing organic-rich shales. Int. J. Coal Geol. 2014, 132, 38–50. [Google Scholar] [CrossRef]
- Yang, F.; Ning, Z.; Liu, H. Fractal characteristics of shales from a shale gas reservoir in the Sichuan Basin, China. Fuel 2014, 115, 378–384. [Google Scholar] [CrossRef]
- Anitas, E.; Slyamov, A.; Todoran, R.; Szakacs, Z. Small-angle scattering from nanoscale fat fractals. Nanoscale Res. Lett. 2017, 12, 389. [Google Scholar] [CrossRef] [PubMed]
- Li, T.; Song, Y.; Jiang, Z.; Jiang, S.; Li, Q. Pore structure and fractal characteristics of distinct thermally mature shales. Energy Fuels 2019, 33, 5116–5128. [Google Scholar] [CrossRef]
- Mishra, S.; Mendhe, V.; Varma, A.; Kamble, A.; Sharma, S.; Bannerjee, M.; Kalpana, M. Influence of organic and inorganic content on fractal dimensions of Barakar and Barren Measures shale gas reservoirs of Raniganj Basin, India. J. Nat. Gas Sci. Eng. 2018, 49, 393–409. [Google Scholar] [CrossRef]
- Wang, Y.; Liu, L.; Cheng, H. Gas Adsorption Characterization of Pore Structure of Organic-rich Shale: Insights into Contribution of Organic Matter to Shale Pore Network. Nat. Resour. Res. 2021, 30, 2377–2395. [Google Scholar] [CrossRef]
- Gregg, S.; Sing, K. Adsorption, Surface Area and Porosity. 2. Auflage, academic press, London. Berichte Der. Bunsenges. Für. Phys. Chem. 1982, 86, 877–962. [Google Scholar] [CrossRef]
- Sing, K. Reporting physisorption data for gas/solid systems with special reference to the determination of surface area and porosity (Recommendations 1984). Pure Appl. Chem. 1985, 57, 603–619. [Google Scholar] [CrossRef]
- Groen, J.; Peffer, L.; Pérez-Ramírez, J. Pore size determination in modified micro-and mesoporous materials. Pitfalls and limitations in gas adsorption data analysis. Microporous Mesoporous Mater. 2003, 60, 1–17. [Google Scholar] [CrossRef]
- Tang, X.; Jiang, Z.; Li, Z.; Gao, Z.; Bai, Y.; Zhao, S.; Feng, J. The effect of the variation in material composition on the heterogeneous pore structure of high-maturity shale of the Silurian Longmaxi formation in the southeastern Sichuan Basin, China. J. Nat. Gas Sci. Eng. 2015, 23, 464–473. [Google Scholar] [CrossRef]
- Wang, Y.; Zhu, Y.; Liu, S.; Zhang, R. Pore characterization and its impact on methane adsorption capacity for organic-rich marine shales. Fuel 2016, 181, 227–237. [Google Scholar] [CrossRef]
- Sakhaee-Pour, A.; Bryant, S. Effect of pore structure on the producibility of tight-gas sandstones. AAPG Bull. 2014, 98, 663–694. [Google Scholar] [CrossRef]
- Dutton, S.; Loucks, R. Diagenetic controls on evolution of porosity and permeability in lower Tertiary Wilcox sandstones from shallow to ultradeep (200–6700 m) burial, Gulf of Mexico Basin. U. S. A. Mar. Pet. Geol. 2010, 27, 69–81. [Google Scholar] [CrossRef]
- Chang, J.; Fan, X.; Jiang, Z.; Wang, X.; Chen, L.; Li, J.; Zhu, L.; Wan, C.; Chen, Z. Differential impact of clay minerals and organic matter on pore structure and its fractal characteristics of marine and continental shales in China. Appl. Clay Sci. 2022, 216, 106334. [Google Scholar] [CrossRef]
- Wang, S.; Feng, Q.; Javadpour, F.; Xia, T.; Li, Z. Oil adsorption in shale nanopores and its effect on recoverable oil-in-place. Int. J. Coal Geol. 2015, 147, 9–24. [Google Scholar] [CrossRef]
- Burhan, M.; Shahzad, M.; Ng, K. A universal theoretical framework in material characterization for tailored porous surface design. Sci Rep. 2019, 9, 8773. [Google Scholar] [CrossRef]
- Pan, Y.; Liao, Y.; Shi, Q.; Hsu, C. Acidic and neutral polar NSO compounds in heavily biodegraded oils characterized by negative-ion ESI FT-ICR MS. Energry Fuel 2013, 27, 2960–2973. [Google Scholar] [CrossRef]
- Qu, Y.; Sun, W.; Tao, R.; Luo, B.; Chen, L.; Ren, D. Pore-throat structure and fractal characteristics of tight sandstones in Yanchang Formation, Ordos Basin. Mar. Pet. Geol. 2020, 120, 104573. [Google Scholar] [CrossRef]
- Robin, M.; Rosenberg, E.; Fassi-Fihri, O. Wettability studies at the pore level: A new approach by use of Cryo-SEM. SPE Form. Eval. 1995, 10, 11–19. [Google Scholar] [CrossRef]
- Barclay, S.; Worden, R. Effects of reservoir wettability on quartz cementation in oil fields. Quartz Cem. Sandstones 2000, 29, 103–117. [Google Scholar] [CrossRef]
- Chang, X.; Xue, Q.; Li, X.; Zhang, J.; Zhu, L.; He, D.; Zheng, H.; Lu, S.; Liu, Z. Inherent wettability of different rock surfaces at nanoscale: A theoretical study. Appl. Surf. Sci. 2018, 434, 73–81. [Google Scholar] [CrossRef]
- Tian, S.; Erastova, V.; Lu, S.; Greenwell, H.; Underwood, T.; Xue, H.; Zeng, F.; Chen, G.; Wu, C.; Zhao, R. Understanding model crude oil component interactions on kaolinite silicate and aluminol surfaces: Toward improved understanding of shale oil recovery. Energy Fuels 2018, 32, 1155–1165. [Google Scholar] [CrossRef]
Disclaimer/Publisher’s Note: The statements, opinions and data contained in all publications are solely those of the individual author(s) and contributor(s) and not of MDPI and/or the editor(s). MDPI and/or the editor(s) disclaim responsibility for any injury to people or property resulting from any ideas, methods, instructions or products referred to in the content. |
© 2024 by the authors. Licensee MDPI, Basel, Switzerland. This article is an open access article distributed under the terms and conditions of the Creative Commons Attribution (CC BY) license (https://creativecommons.org/licenses/by/4.0/).









