Abstract
We investigate some information properties of consecutive k-out-of-n:G systems in light of fractional generalized cumulative residual entropy. We firstly derive a formula to compute fractional generalized cumulative residual entropy related to the system’s lifetime and explore its preservation properties in terms of established stochastic orders. Additionally, we obtain useful bounds. To aid practical applications, we propose two nonparametric estimators for the fractional generalized cumulative residual entropy in these systems. The efficiency and performance of these estimators are illustrated using simulated and real datasets.
1. Introduction
Over the past three decades, extensive research has focused on consecutive k-out-of-n systems and their variations. These models have been applied to various engineering contexts, including telecom microwave stations, oil pipelines, vacuum systems in electron accelerators, computer networks, telecommunications, engineering, and integrated circuit design. A consecutive k-out-of-n system can be classified by the arrangement of its components as either linear or circular, and by its functioning principle as either a failure or a good system. A linear consecutive k-out-of-n:G system comprises n independent and identically distributed (i.i.d.) components arranged linearly and is operational if and only if at least k consecutive components are functioning. The consecutive n-out-of-n:G system, which requires all n components to function, is equivalent to a classical series system. In contrast, the 1-out-of-n:G system, which needs at least one operational component, gives a system with parallel structure. Both the consecutive n-out-of-n:G and 1-out-of-n:G systems have been extensively studied in the literature under various assumptions and analytical frameworks. Comprehensive reviews of previous work on the topic are available in Jung and Kim [], Shen and Zuo [], Kuo and Zuo [], Chang et al. [], Boland and Samaniego [], and Eryılmaz [,], along with their citations.
The derivation of the distribution of the lifetimes of a linear consecutive k-out-of-n:G system is plain in the case where This is because the survival function of the system’s lifetime can be formulated in terms of the probability of the union of disjoint events. In this case, the lifetime of each component is represented by the nonnegative random variables having a common probability density function (p.d.f.) , cumulative distribution function (c.d.f.) , and survival (reliability) function . We denote the system’s lifetime by . When Eryilmaz [] showed that the reliability function of the consecutive k-out-of-n:G system can be expressed as
The concept of entropy is an important criterion for measuring the uncertainty of a random event. The Shannon differential entropy is defined by where “log” means for the natural logarithm, with convention Various attempts have been made to define possible alternative information measures. To this aim, Rao et al. [] introduced the concept of the cumulative residual entropy (CRE) as follows:
where
is the cumulative hazard function and stands for the hazard rate function where is defined for such that In a recent development, Di Crescenzo et al. [] presented the fractional generalized cumulative residual entropy (FGCRE) as follows:
where
for all such that denotes the quantile function of We recall that related results about the FCRE (as a special case of the FGCRE) can be seen in Xiong et al. [], Alomani and Kayid [], and Kayid and Shrahili []. It is worth noting that if is a positive integer, it can easily be seen that (4) becomes the measure of generalized CRE established by Psarrakos and Navarro [].
The study of information properties in reliability systems and order statistics has been explored by several researchers in the literature. For example, Wong and Chen [] showed that the difference between the average entropy of order statistics and the entropy of data distribution is a constant. They also showed that for symmetric distributions, the entropy of order statistics is symmetric about the median. Ebrahimi et al. [] explored some properties of the Shannon entropy of the order statistics and showed that the Kullback–Leibler information functions involving order statistics are distribution-free. Toomaj and Doostparatst [] obtained an expression for the Shannon differential entropy of coherent and mixed systems using the concept of system signature. Moreover, Toomaj and Doostparatst [] have shown that the Kullback–Leibler information functions involving the lifetime of mixed systems and order statistics as well as the parent distribution are distribution-free. Furthermore, Toomaj et al. [] leveraged the concept of system signature to analyze the CRE properties of mixed systems. Similarly, Alomani and Kayid [] employed system signatures to investigate the fractional CRE of coherent systems. For a broader exploration of uncertainty measures in reliability systems, readers can refer to [,,], and the cited references therein. Motivated by the established body of research on information measures in reliability, this paper delves into the uncertainty properties of CRE specifically within the framework of consecutive k-out-of-n systems. By building upon this foundation, we aim to contribute to a deeper understanding of FGCRE properties within this particular system configuration.
This paper is structured as goes after. In Section 2, we introduce a representation of the FGCRE for consecutive k-out-of-n systems with lifetime from a sample drawn from any c.d.f. F. This representation is defined in terms of the FGCRE for consecutive k-out-of-n systems from a sample drawn from the uniform distribution. We then provide an in-depth analysis examining the preservation of stochastic ordering properties for this type of system. In the sequel part, we provide a number of bounds of the FGCRE of consecutive k-out-of-n systems. Several characterization results are achieved in Section 3. In Section 4, we present computational studies to validate and confirm the achieved outcomes. Specifically, we propose two nonparametric estimators for estimating the FGCRE of consecutive systems and demonstrate their application using both real and simulated data, emphasizing the potential practical value of these new estimators. In Section 5, the paper is concluded by presenting some essential points and, further, outlining some possible future investigations.
2. FGCRE of Consecutive -out-of-:G System
This section is organized into two key subsections. We first present a useful expression for the FGCRE of the lifetime of the consecutive k-out-of-n:G system. This analytical formulation serves as the foundation for the subsequent in-depth examination of the preservation of stochastic ordering properties inherent to this class of systems. In the second subsection, we establish and provide some useful bounds that offer remarkable utility in situations where the number of the components of the consecutive k-out-of-n:G systems is large.
2.1. Expression and Stochastic Orders
We now find an explicit expression for the FGCRE of the consecutive k-out-of-n:G system with lifetime , where the component lifetimes have a common continuous c.d.f. F. To achieve this, we use the probability integral transformation . It is known that the corresponding transformations of the system’s components, denoted as for , are independent and identically distributed (i.i.d.) random variables (r.v.s) that follow a uniform distribution on the interval . Using Equation (1), when , the survival function of is given by
for all We now give the next theorem.
Theorem 1.
Proof.
The following example demonstrates the application of Equation (7) in the consecutive k-out-of-n:G system.
Example 1.
Let us consider a linear consecutive 3-out-of-5:G system as shown in Figure 1 with a lifetime

Figure 1.
Figure of the linear consecutive 3-out-of-5:G system.
As illustrated in Figure 1, this system can be regarded as a mixed system with shared components. This concept is explored further in Sections 5 and 6 of the works referenced in [,]. Assume further that the lifetimes of the components are i.i.d. following the common Lomax distribution, also known as the Pareto Type II distribution. The p.d.f. of the Lomax distribution is given by
where denotes the scale parameters. It is clear that for all . Through algebraic manipulations and recalling (7), we can derive the following expression:
It is clear that the FGCRE is an increasing function of the scale parameter λ for all This means that as the scale parameter λ increases, the system’s uncertainty concerning the FGCRE increases. Therefore, this gives the significant impact of the Lomax distribution with the scale parameter λ on the FGCRE, and, thus, the uncertainty of the system lifetime.
We now demonstrate that the FGCRE of the consecutive k-out-of-n:G systems is preserved under the dispersive and location-independent riskier orders. To begin with, let us review some stochastic orders and aging notion concepts. Hereafter, we denote the set of absolutely continuous nonnegative r.v.s with support as
Definition 1.
Let be r.v.s with pdfs and cdfs and survival functions and and hazard rate orders and respectively. Then, we say that
- 1.
- X has decreasing failure rate (DFR) if is decreasing in
- 2.
- X is smaller than Y in the hazard rate order (denoted by ) if for all
- 3.
- X is smaller than Y in the dispersive order (denoted by ) if for all
- 4.
- X is smaller than Y in the location-independent riskier order (denoted by ) if for all
The dispersive order was initially explored by Bickel and Lehmann [] in nonparametric statistics, while the order was proposed by Jewitt [] in expected utility theory and its applications in insurance. We recall that is equivalent to
Additionally, the following implications are well recognized:
Since for all and , relations (4) and (12) imply that when . Consequently, from implication (13), we obtain the following corollary.
Corollary 1.
If and either X or Y is DFR, then for all
If Z is an r.v. with c.d.f. then the cumulative reversed hazard function is defined as
Landsberger and Meilijson [] showed that
where denotes the left continuous version of . Here, we present a theorem demonstrating that the FGCRE of a series system with k components is lower than that of a consecutive k-out-of-n:G system, assuming both systems’ components exhibit the DFR property.
Theorem 2.
For let be the lifetime of consecutive k-out-of-n:G system having the common p.d.f. and c.d.f. If X is DFR, then for all
Proof.
Since X is DFR, is also DFR. By applying Theorem 4.5 from Eryılmaz and Navarro [], we have . Therefore, Corollary 1 completes the proof. □
The next theorem outlines the conditions for preserving the dispersive order in consecutive systems. The proof is omitted as it is deemed straightforward.
Theorem 3.
For let and be the lifetimes of two consecutive k-out-of-n:G systems having the common pdfs and and cdfs and respectively. If then for all
The following example illustrates the application of Theorem 3.
Example 2.
Consider two consecutive k-out-of-n:G systems with lifetimes and respectively. The system has i.i.d. component lifetimes , which follow a Makeham distribution with the survival function , where and . Moreover, the system has i.i.d. component lifetimes that follow an exponential distribution with the survival function . It is clear that and . Comparing the hazard rate functions shows that for , indicating that . Given that Y has the DFR property, relation (13) leads to . Consequently, by Corollary 3, we have for all This indicates that the uncertainty of the system with lifetime is less than or equal to that of the system with lifetime , according to the FGCRE measure.
The next theorem outlines the conditions for preserving location-independent riskier orders in the formation of consecutive systems.
Theorem 4.
In the setting of Theorem 3, let For if and
is a decreasing function of t for all , then for all .
Proof.
It is clear that Equation (1) can be represented as From (15), recalling (14), we derive
which implies that
for all From relations (1) and (4), we obtain
The inequality arises from Equation (17) and using the fact that is a decreasing function of Furthermore, by setting , we have
Upon using this, the last term of (18) reduces to
The final equality in the previous relation follows from the fact that , implying that Hence, the theorem. □
2.2. Some Bounds
Due to the absence of closed-form expressions for the FGCRE of consecutive systems across various distributions and with numerous components, it is essential to employ bounding techniques to estimate the FGCRE of the system’s lifetime. Recognizing this challenge, we aim to explore the effectiveness of these bounds in characterizing the FGCRE of consecutive systems. The initial finding establishes a bound on the system’s FGCRE based on the common FGCRE of its components.
Theorem 5.
For the FGCRE of are bounded as follows:
where ,
Proof.
The upper bound can be identified from (7) as follows:
The lower bound can be similarly derived. □
The upcoming theorem introduces additional useful bounds based on the extremes of the p.d.f. and the function
Theorem 6.
Let be the lifetime of consecutive k-out-of-n:G system having the common pdfs and c.d.f. If S is the support of f, and such that then
where
Proof.
Since , we have
Upon recalling Equation (7), we have the result. □
The term denotes the FGCRE of a consecutive k-out-of-n:G system with a uniform distribution on the interval . The bounds in Equation (19) depend on the extremes of the p.d.f. f. If the lower bound m is zero, an upper bound does not exist. Conversely, if the upper bound M is infinite, a lower bound is absent. The following example illustrates the application of the bounds from Theorems 5 and 6 for a consecutive k-out-of-n:G system.
Example 3.
Consider a linear consecutive 6-out-of-10:G system. The system lifetime, denoted by , is defined as the maximum of the minimum values within consecutive blocks of nine components. Specifically, where for Assuming an exponential distribution with mean μ, it is easy to see that and Moreover, one can see that for all On the other hand, one can obtain for all Through algebraic manipulations, we can derive the following expression:
for all It is not easy to come up with an exact expression for the value and given bounds, so we have to use numerical computations. In Table 1, we listed the values of these expressions. The bounds mentioned in Theorem 6 are important, easy, and useful for the application.

Table 1.
The exact value and bounds for for different choices of .
3. Characterization Results
The aim of this section is to present some characterization results using the FGCRE properties of consecutive k-out-of-n:G systems. To start, we need the following lemma which is a direct corollary of the Stone–Weierstrass Theorem (see Aliprantis and Burkinshaw []). The given lemma will be used to prove the main results in this subsection.
Lemma 1.
If ζ is a continuous function on such that for all then for any
Building upon this foundational result, we can establish that the parent distribution of a lifetime r.v. can be uniquely characterized by the FGCRE of where is a strictly increasing sequence of positive integers.
Theorem 7.
Let and be lifetimes of two consecutive k-out-of-n:G systems having the common pdfs and and cdfs and respectively. Then and are members of one family of distributions if, and only if, for a fixed
for all
Proof.
The necessity is trivial; therefore, we need to prove the sufficiency part. First, note that Equation (7) can be rewritten as follows:
where
such that for all A similar argument holds for From (22), we have
According to Lemma 1, we can conclude that
or, equivalently, So, it follows that , where d is a constant. By noting that for all we have This relationship implies that and are members of one family of distributions. □
Since a consecutive n-out-of-n:G system is a series system (as mentioned before), the next corollary details its characteristics.
Corollary 2.
Under the conditions of Theorem 7, and are members of one family of distributions if, and only if,
for all
A further characterization is established in the following theorem.
Theorem 8.
In the setting of Theorem 7, and are members of one family of distributions with a change in the scale if, and only if, for a fixed
for all
Proof.
The necessity is trivial; hence, it remains to prove the sufficiency part. From (22), we can write
A similar argument can be obtained for From (24) and (25), we obtain
where is defined in (23) such that for all Let us set Then, (26) can be expressed as
Now, by using similar arguments to Theorem 7, we can complete the proof of the theorem. □
Using Theorem 8, we obtain the following corollary.
Corollary 3.
Under the assumptions given in Theorem 8, and are members of one family of distributions with a change in the scale if, and only if,
for all
4. Nonparametric Estimation
Hereafter, we present two nonparametric estimators of the FGCRE of consecutive k-out-of-n:G systems. To achieve this, let us consider a sequence of absolutely continuous, nonnegative, i.i.d. r.v.s , where denote their order statistics. By recalling (7), the FGCRE of can be rewritten as
which holds for Based on (27), we estimate the FGCRE This approach uses derivative estimates of the inverse distribution function at the sample points. Following Vasicek [], we estimate the derivative by approximating it as the slope, defined as
where for and for In this case, N is the sample size and m is a positive integer referred to as the window size, satisfying This allows us to obtain the first estimator for given by
for all and We now introduce the second estimator based on the empirical survival function for the sample corresponding to as
where if Upon recalling (8), the empirical FGCRE estimator for the consecutive k-out-of-n:G system can be obtained as
where , denotes the sample spacings.
To evaluate the performance of the proposed estimators and , we conduct a simulation study with exponential data. We assess the average bias and root mean square error (RMSE) for sample sizes of and various values of k and
To assess the performance of the proposed estimators and we perform a simulation study by employing exponential data. We evaluate the average bias and root mean square error (RMSE) of both estimators for different sample sizes (), various values of k and n, and To specify the value of the smoothing parameter m for a given sample size N, we use the heuristic formula , where denotes the integer part of x. The simulation involves 5000 iterations, and the results are presented in Table 2, Table 3, Table 4, Table 5, Table 6 and Table 7. After analyzing the information presented in the given tables, we have derived the following outcomes:

Table 2.
The bias and RMSE of the first estimator .

Table 3.
The bias and RMSE of the first estimator .

Table 4.
The bias and RMSE of the first estimator .

Table 5.
The bias and RMSE of the second estimator .

Table 6.
The bias and RMSE of the second estimator .

Table 7.
The bias and RMSE of the second estimator .
- For all k and as the sample size N increases, both bias and RMSE of the estimators decrease.
- For fixed n and as the number of consecutive working components k increases, both bias and RMSE of the estimator increase.
Generally, we can conclude that the number of components n and the number of consecutive working components k affect the efficiency of the estimator.
Real Data Analysis
We apply the given estimator to real data to examine how closely the FGCRE estimators from consecutive k-out-of-n:G systems align with the theoretical entropy value. The dataset consists of 15 observations of time intervals between successive failures of air conditioning equipment in a Boeing 720 as follows: 74, 57, 48, 29, 502, 12, 70, 21, 29, 386, 59, 27, 153, 26, 326. These data are modeled using the exponential distribution with the p.d.f.
As described by Shanker et al. [], we analyzed the dataset using the maximum likelihood estimator method to estimate the parameter , resulting in Additionally, we calculated the Kolmogorov–Smirnov statistic, yielding a value of and a p-value of These statistics confirm the goodness-of-fit between the observed data and the fitted exponential distribution.
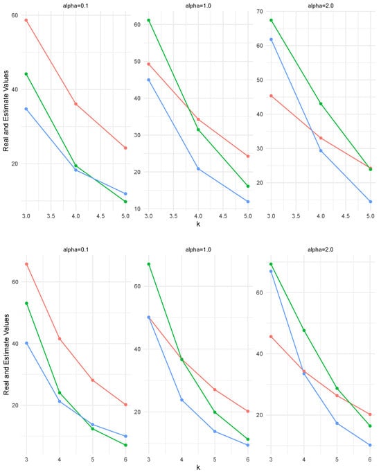
Table 8 provides a comprehensive overview of the and combinations analyzed, while Figure 2 visually represents these combinations. The results indicate that there is a close agreement between the theoretical entropy value and its estimation when the number of functioning components approaches half of the total number of components (n). This observation suggests that the accuracy of the entropy estimation is higher when the system operates with approximately half of its components in a working state.

Table 8.
Comparison of theoretical values and estimates of FGCRE of based on exponential distribution for successive failures of air conditioning equipment in a Boeing 720.

Figure 2.
The plot of (in red) for (upper) and (lower), along with their estimators (in green) and (in blue), as a function of .
5. Conclusions
In this study, we explored the utilization of the FGCRE concept within consecutive k-out-of-n:G systems. Therefore, it is highlighted that a strong relationship exists between the FGCRE of such systems derived from continuous and uniform distributions. The obtained expression is so useful for the computation of the FGCRE of the system’s lifetime. However, deriving closed-form expressions for FGCRE becomes intricate when dealing with systems with large component lifetimes or having complicated reliability functions. To address this challenge, we introduced a set of bounds for the FGCRE of consecutive k-out-of-n:G systems. The given bounds serve as essential resources for researchers to analyze FGCRE behaviors effectively. Moreover, we introduced two nonparametric estimators for consecutive k-out-of-n:G systems, specifically applicable to real-world applications. In summary, this research significantly advances the understanding of FGCRE within consecutive k-out-of-n:G systems. The insights gained from this study can be extended to other information metrics, such as fractional generalized cumulative entropy, cumulative entropy, cumulative residual Tsallis entropy, and cumulative Tsallis entropy.
Author Contributions
Methodology, M.S.; Software, M.S.; Validation, M.S.; Formal analysis, M.S.; Investigation, M.K.; Resources, M.S.; Writing—original draft, M.K.; Writing—review and editing, M.K. and M.S.; Visualization, M.K.; Supervision, M.K.; Project administration, M.S. All authors have read and agreed to the published version of the manuscript.
Funding
This work was supported by Researchers Supporting Project number (RSP2024R464), King Saud University, Riyadh, Saudi Arabia.
Data Availability Statement
The data used to support the findings of this study are included in the article.
Conflicts of Interest
The authors declare no conflict of interest.
References
- Jung, K.H.; Kim, H. Linear consecutive-k-out-of-n: F system reliability with common-mode forced outages. Reliab. Eng. Syst. Saf. 1993, 41, 49–55. [Google Scholar] [CrossRef]
- Shen, J.; Zuo, M.J. Optimal design of series consecutive-k-out-of-n: G systems. Reliab. Eng. Syst. Saf. 1994, 45, 277–283. [Google Scholar] [CrossRef]
- Kuo, W.; Zuo, M.J. Optimal Reliability Modeling: Principles and Applications; John Wiley & Sons: Hoboken, NJ, USA, 2003. [Google Scholar]
- In-Hang, C.; Cui, L.; Hwang, F.K. Reliabilities of Consecutive-k Systems; Springer Science & Business Media: Berlin, Germany, 2013; Volume 4. [Google Scholar]
- Boland, P.J.; Samaniego, F.J. Stochastic ordering results for consecutive k-out-of-n: F systems. IEEE Trans. Reliab. 2004, 53, 7–10. [Google Scholar] [CrossRef]
- Eryılmaz, S. Mixture representations for the reliability of consecutive-k systems. Math. Comput. Model. 2010, 51, 405–412. [Google Scholar] [CrossRef]
- Eryilmaz, S. Conditional lifetimes of consecutive k-out-of-n systems. IEEE Trans. Reliab. 2010, 59, 178–182. [Google Scholar] [CrossRef]
- Eryılmaz, S. Reliability properties of consecutive k-out-of-n systems of arbitrarily dependent components. Reliab. Eng. Syst. Saf. 2009, 94, 350–356. [Google Scholar] [CrossRef]
- Rao, M.; Chen, Y.; Vemuri, B.C.; Wang, F. Cumulative residual entropy: A new measure of information. IEEE Trans. Inf. Theory 2004, 50, 1220–1228. [Google Scholar] [CrossRef]
- Di Crescenzo, A.; Kayal, S.; Meoli, A. Fractional generalized cumulative entropy and its dynamic version. Commun. Nonlinear Sci. Numer. Simul. 2021, 102, 105899. [Google Scholar] [CrossRef]
- Xiong, H.; Shang, P.; Zhang, Y. Fractional cumulative residual entropy. Commun. Nonlinear Sci. Numer. Simul. 2019, 78, 104879. [Google Scholar] [CrossRef]
- Alomani, G.; Kayid, M. Fractional Survival Functional Entropy of Engineering Systems. Entropy 2022, 24, 1275. [Google Scholar] [CrossRef]
- Kayid, M.; Shrahili, M. Some further results on the fractional cumulative entropy. Entropy 2022, 24, 1037. [Google Scholar] [CrossRef] [PubMed]
- Psarrakos, G.; Economou, P. On the generalized cumulative residual entropy weighted distributions. Commun. Stat.-Theory Methods 2017, 46, 10914–10925. [Google Scholar] [CrossRef]
- Wong, K.M.; Chen, S. The entropy of ordered sequences and order statistics. IEEE Trans. Inf. Theory 1990, 36, 276–284. [Google Scholar] [CrossRef]
- Ebrahimi, N.; Soofi, E.S.; Zahedi, H. Information properties of order statistics and spacings. IEEE Trans. Inf. Theory 2004, 50, 177–183. [Google Scholar] [CrossRef]
- Abdolsaeed, T.; Doostparast, M. A note on signature-based expressions for the entropy of mixed r-out-of-n systems. Nav. Res. Logist. (NRL) 2014, 61, 202–206. [Google Scholar]
- Toomaj, A.; Doostparast, M. On the Kullback-Leibler information for mixed systems. Int. J. Syst. Sci. 2016, 47, 2458–2465. [Google Scholar] [CrossRef]
- Toomaj, A.; Zarei, R. Some new results on information properties of mixture distributions. Filomat 2017, 31, 4225–4230. [Google Scholar] [CrossRef]
- Kayid, M.; Alshehri, M.A. Cumulative Residual Entropy of the Residual Lifetime of a Mixed System at the System Level. Entropy 2023, 25, 1033. [Google Scholar] [CrossRef]
- Kayid, M.; Alshehri, M.A. Tsallis entropy for the past lifetime distribution with application. Axioms 2023, 12, 731. [Google Scholar] [CrossRef]
- Parsa, M.; Di Crescenzo, A.; Jabbari, H. Analysis of reliability systems via Gini-type index. Eur. J. Oper. Res. 2018, 264, 340–353. [Google Scholar] [CrossRef]
- Yin, J.; Cui, L. Reliability for consecutive-k-out-of-n: F systems with shared components between adjacent subsystems. Reliab. Eng. Syst. Safety 2021, 210, 107532. [Google Scholar] [CrossRef]
- Bickel, P.J.; Lehmann, E.L. Descriptive statistics for nonparametric models. III. Dispersion. In Selected Works of EL Lehmann; Springer: Berlin, Germany, 2011; pp. 499–518. [Google Scholar]
- Jewitt, I. Choosing between risky prospects: The characterization of comparative statics results, and location independent risk. Manag. Sci. 1989, 35, 60–70. [Google Scholar] [CrossRef]
- Landsberger, M.; Meilijson, I. The generating process and an extension of Jewitt’s location independent risk concept. Manag. Sci. 1994, 40, 662–669. [Google Scholar] [CrossRef]
- Eryılmaz, S.; Navarro, J. Failure rates of consecutive k-out-of-n systems. J. Korean Stat. Soc. 2012, 41, 1–11. [Google Scholar] [CrossRef]
- Aliprantis, C.D.; Burkinshaw, O. Principles of Real Analysis; Gulf Professional Publishing: Oxford, UK, 1998. [Google Scholar]
- Vasicek, O. A test for normality based on sample entropy. J. R. Stat. Soc. Ser. B Stat. Methodol. 1976, 38, 54–59. [Google Scholar] [CrossRef]
- Shanker, R.; Hagos, F.; Sujatha, S. On modeling of Lifetimes data using exponential and Lindley distributions. Biom. Biostat. Int. J. 2015, 2, 1–9. [Google Scholar] [CrossRef]
Disclaimer/Publisher’s Note: The statements, opinions and data contained in all publications are solely those of the individual author(s) and contributor(s) and not of MDPI and/or the editor(s). MDPI and/or the editor(s) disclaim responsibility for any injury to people or property resulting from any ideas, methods, instructions or products referred to in the content. |
© 2024 by the authors. Licensee MDPI, Basel, Switzerland. This article is an open access article distributed under the terms and conditions of the Creative Commons Attribution (CC BY) license (https://creativecommons.org/licenses/by/4.0/).