Next Article in Journal
Distributed Adaptive Formation Control for Fractional-Order Multi-Agent Systems with Actuator Failures and Switching Topologies
Next Article in Special Issue
Does a Fractional-Order Recurrent Neural Network Improve the Identification of Chaotic Dynamics?
Previous Article in Journal
Distributed Consensus Fuzzy Control Method and Fractional Order Control for Power Sharing in Field Medical Microgrids under FDI Attacks
 
 
Font Type:
Arial Georgia Verdana
Font Size:
Aa Aa Aa
Line Spacing:
Column Width:
Background:
Article

Dynamics Analysis and Adaptive Synchronization of a Class of Fractional-Order Chaotic Financial Systems

by
Panhong Zhang
1 and
Qingyi Wang
2,*
1
School of Finance, Hubei University of Economics, Wuhan 430205, China
2
School of Automation, China University of Geosciences, Wuhan 430074, China
*
Author to whom correspondence should be addressed.
Fractal Fract. 2024, 8(10), 562; https://doi.org/10.3390/fractalfract8100562
Submission received: 1 September 2024 / Revised: 24 September 2024 / Accepted: 25 September 2024 / Published: 27 September 2024

Abstract

It is of practical significance to realize a stable and controllable financial system by using chaotic synchronization theory. In this paper, the dynamics and synchronization are studied for a class of fractional-order chaotic financial systems. First, the stability and dynamics of the fractional-order chaotic financial system are analyzed by using the phase trajectory diagram, time series diagram, bifurcation diagram, and Lyapunov exponential diagram. Meanwhile, we obtain the range of each parameter that puts the system in a periodic state, and we also reveal the relationship of the derivative order and the chaotic behaviors. Then, the adaptive control strategy is designed to achieve synchronization of the chaotic financial system. Finally, the theoretical results and control method are verified by numerical simulations.

1. Introduction

Over the years, financial markets have experienced increasing complexity and uncertainty, a phenomenon widely recognized as being caused by the nonlinear interaction effects of the financial system. There are multiple subsystems in financial markets, such as production, money, securities, and labor markets, each interacting with each other, resulting in market behavior that exhibits highly complex dynamic characteristics. This nonlinear cross-coupling effect often manifests itself as a chaotic phenomenon, which poses a great theoretical challenge in macroeconomics and financial systems. Since the phenomenon of chaos was first discovered, it has had a profound impact on mainstream economic theory, prompting researchers to explore this complex dynamic behavior through mathematical modeling [1,2,3,4,5,6,7]. For instance, the authors in [1] proposed a method of modeling the interaction between factors in a financial system by using a set of differential equations. Then, the authors in [2,3,4] studied the external or internal shocks based on the system as well as the contagion effect of the system, and authors in [5,6,7] discussed the chaotic dynamic behaviors as well as the synchronization problem of a class of chaotic financial systems. Building upon these foundational studies, the exploration of chaotic dynamics in financial systems has revealed that chaotic behavior, while often viewed as a source of instability, also provides a window into understanding the inherent complexity of market behavior.
It is worth noting that the above studies are limited to financial systems of the integer order. However, complex interactions in financial markets are often accompanied by nonlinear properties and memory effects, which make the behavior of the market difficult to be fully described by traditional integer-order models. Fractional-order calculus has received increasing attention in modeling financial systems in recent years. Fractional orders have more obvious advantages than integer orders in terms of genetic representation and memorability, which not only can more accurately simulate the complex dynamic behavior of financial markets but also provides a more flexible and powerful tool for the regulation of chaotic behavior [8,9]. Therefore, using fractional-order calculus instead of integer-order calculus for modeling chaotic financial systems is a good approach [10]. Recently, lots of developments have emerged for fractional-order financial systems. In [11], the investment incentives was introduced in an integer-order chaotic financial system to achieve a four-dimensional fractional-order chaotic financial system. Further, in [12,13,14,15], the authors addressed the nonlinear dynamics and the chaotic behaviors for fractional-order financial systems.
Unfortunately, chaotic behavior in financial systems not only leads to high market uncertainty but also increases the risk of financial crisis outbreak [16]. The synchronization phenomenon, especially in fractional-order chaotic systems, can help reduce the instability of financial systems and thus improve the controllability and soundness of the market [17,18,19]. An important application of fractional-order synchronization control in economic and financial systems is to ensure that multiple interconnected financial markets or institutions operate in a coordinated manner under similar dynamic behaviors, which plays an important role in preventing systemic risk and financial crises [20]. Recently, the problem of synchronization has made significant progress in [21,22]. In particular, fractional-order financial systems have gradually become an important tool for studying financial chaotic behavior and synchronization problems due to their ability to better capture the long-term dependence and memory effects in financial systems [23,24,25,26]. The authors in [27,28] discussed the adaptive synchronization problem of fractional-order financial systems with uncertainty. The results also have been extended to the fixed-time synchronization by using the finite-time stability theory and nonlinear control method in [29].
However, the study of the dynamics of fractional-order financial systems still faces two major challenges: first, how to reveal the relationship between derivative order and chaotic behavior, and second, how to achieve synchronization control in systems with unknown parameters. These issues not only affect the depth of theoretical research but also directly relate to how to apply these control methods in real financial markets to cope with complex market dynamics. Therefore, further exploration of these issues has important research and application value.
Based on the above discussions, this paper focuses on the development of dynamics analysis and adaptive synchronization of fractional-order chaotic financial systems. The main contributions lie in the following two aspects.
(1)
The dynamics analysis of a fractional-order financial system is studied, including the stability, bifurcation, and chaotic behavior of the system. This paper delves into the relationship between the variation in derivative order, system parameters and chaotic behavior, revealing how fractional-order systems can more accurately simulate the complex dynamic features in financial markets.
(2)
The synchronization problem of fractional-order financial systems with unknown parameters is investigated using an adaptive control method. The designed method is not only applicable to the fractional-order financial system studied in this paper, but also can be extended to the synchronization study of other fractional-order systems with unknown parameters, which broadens the application scope of the method.
The rest of this paper is arranged as follows. Section 2 shows the chaotic financial model. Section 3 describes the dynamical analysis of chaotic financial system and its simulation verification. Then, we design an adaptive synchronization control strategy to achieve the synchronization of chaotic financial systems in Section 4. We confirm the works in Section 5 through numerical simulations. We conclude the entire paper in Section 6.

2. Model and Preliminaries

According to [30], a financial model consisting of a production sub-block, a monetary sub-block, a securities sub-block and a labor sub-block is given as follows:
x ˙ = z + ( y a ) x y ˙ = 1 b y x 2 z ˙ = x c z
where x, y, and z are the interest rate, the investment demand, and the price indicator, respectively. The parameters of a > 0 , b > 0 and c > 0 are the amount of savings, the unit cost of investment, and the elasticity of demand for the commodity, respectively.
In traditional integer-order systems like (1), the time evolution of these variables is described by ordinary differential equations. However, real-world financial systems often exhibit complex behaviors such as memory effects and long-term dependencies, which cannot be fully captured by integer-order models. To address this limitation, fractional-order calculus provides a more flexible framework by introducing noninteger-order derivatives, which better represent the hereditary and memory properties of financial systems. Following the work of [31], the above integer-order financial system can be extended to a fractional-order system as follows:
D α x 1 = z 1 + ( y a ) x 1 D α y 1 = 1 b y 1 x 1 2 D α z 1 = x 1 c z 1
where D α represents the fractional derivative of order with 0 < α < 1 , which depends on both theoretical considerations and empirical data. x 1 , y 1 , and z 1 are the interest rate, the investment demand, and the price indicator, respectively.
To investigate the stability of the financial system, it is important to understand the definition and lemmas related to Caputo fractional-order derivatives.
Definition 1. 
The Caputo derivative of the fractional-order α of the function ( t ) is defined as
t 0 c D t α χ t = 1 Γ ( m α ) t 0 t χ ( m ) ( τ ) ( t τ ) α m + 1 d τ
where χ C n ( [ t 0 , ) , R ) and m 1 < α m . In particular, when 0 < α < 1 , we obtain
t 0 c D t α χ t = 1 Γ ( 1 α ) t 0 t x ( τ ) ( t τ ) α d τ .
Lemma 1 
([8]). Suppose a fractional-order system
D α χ ( t ) = W ( χ , t )
where W ( χ , t ) fulfills the Lipschitz condition with a Lipschitz constant ϱ > 0 and system order 0 < α < 1 . If there exists a Lyapunov function V ( x ) and a K-class function α i ( i = 1 , 2 , 3 ) that satisfy α 1 ( χ ) V ( χ ) α 2 ( χ ) , D β V ( χ ) α 3 ( χ ) for β ( 0 , 1 ) , then the fractional-order nonlinear system is asymptotically stable.
Lemma 2 
([9]). If w ( t ) R is a continuously derivable function, then 1 2 D α w 2 ( t ) w ( t ) D α w ( t ) for t t 0 with 0 < α < 1 .
Lemma 3 
([32]). If ν is a constant and order β > 0 , the Caputo fractional-order derivative satisfies D β ν = 0 .
Lemma 4 
([32]). The Caputo fractional-order derivative satisfies the following linear characteristic D α ν 1 W 1 ( t ) + ν 2 W 2 ( t ) = a 1 D α W 1 ( t ) + a 2 D α W 2 ( t ) , as functions W 1 ( t ) and W 2 ( t ) , and ν 1 and ν 2 are constants.

3. Dynamical Behavior Analysis

Fractional-order financial systems have rich dynamical behaviors, deserving further investigation. The fractional-order system can be considered a generalization of the integer-order system. In the case that one financial system has chaotic attractors, then the financial market will be out of control. Thus, the instability and complicacy make the market uncertain, and the probability of financial risk increases. The operation and development of the financial market can be macro-regulated by adjusting the system order of the fractional-order chaotic financial system. In this way, the order of the system can realize the accurate portrayal of the operation of the financial market. At the same time, the adjustment of system parameters can realize the avoidance and elimination of financial system chaos. Thus, the goal of avoiding financial risks and even financial crises can be realized.
This subsection analyzes the dynamics of chaotic financial systems. The stability analysis of the system equilibrium point is carried out by using fractional-order stability theory, in order to determine whether the chaotic financial system has chaotic characteristics. The Lyapunov exponential method, phase diagram, bifurcation diagram method, and other methods are used to qualitatively and quantitatively analyze the dynamics of the system by choosing different parameters a , b , and c and different orders α .
When c b a b c > 0 , it is easy to obtain that system (2) has three equilibrium points:
p 1 = 0 , 1 b , 0 , p 2 = c b a b c c , 1 + a c c , 1 c c b a b c c , p 3 = c b a b c c , 1 + a c c , 1 c c b a b c c .
Let a = 1 , b = 0.2 , c = 1 , then the equilibrium points are p 1 ( 0 , 5 , 0 ) , p 2 3 5 , 2 , 3 5 and p 3 3 5 , 2 , 3 5 , respectively. Additionally, take the value α = 0.98 .
The Jacobian matrix corresponding to system (2) at the equilibrium point p = ( υ , ϕ , φ ) is
Δ = ϕ a υ 1 2 υ b 0 1 0 c .
The characteristic polynomial of the matrix Δ is
| λ E Δ | = λ 3 + A 1 λ 2 + A 2 λ + A 3 = 0
where A 1 = a + b + c ϕ , A 2 = a b + b c + a c ( b + c ) ϕ + 2 ( υ ) 2 + 1 , A 3 = a b c b c ϕ + 2 c υ 2 + b . Bringing a = 1 , b = 0.2 , c = 1 into (6) yields the characteristic root corresponding to p 1 ( 0 , 5 , 0 ) as λ 1 = 3.79 , λ 2 = 0.79 , λ 3 = 0.2 , respectively. Therefore, p 1 is an unstable equilibrium. Bringing a = 1 , b = 0.2 , c = 1 into (6) yields the characteristic root corresponding to p 2 and p 3 as λ 1 = 0.746 , λ 2 = 0.27 + 1.24 i , λ 3 = 0.27 1.24 i , respectively. Therefore, p 2 and p 3 are unstable equilibriums.
Figure 1 illustrates the state trajectories of the system with initial value ( x 0 , y 0 , z 0 ) = ( 0.01 , 5.01 , 0.01 ) . It can be seen from the figure that the equilibrium point of the system is unstable.
Next, we analyze the dynamics of the system qualitatively and quantitatively by selecting the maximum Lyapunov exponential method and the bifurcation diagram method by choosing different parameters a , b , c and different orders α .

3.1. Analysis of Dynamical Behavior with Fixed Order and Varying System Parameters

To analyze the influence of system parameters on the dynamics of system (2), a, b, and c are varied as control parameters. Specifically, b = 0.2 and c = 1 are fixed when varying a; a = 1 and c = 1 are fixed when varying b; and a = 1 and b = 0.2 are fixed when varying c. The initial conditions are set as ( x 0 , y 0 , z 0 ) = ( 0.1 , 0.1 , 0.1 ) .

3.1.1. Dynamical Analysis with a as the Control Parameter

In Figure 2, the bifurcation diagram and maximum Lyapunov exponent plot illustrate the system’s rich dynamical behavior, as a varies within the interval [0, 5]. When a ( 4 , 5 ] , the system exhibits a period-one state, with a period-doubling bifurcation occurring at a = 4 . For a ( 3 , 4 ] , the system transitions to an unstable cyclic state, while for a ( 0 , 3 ] , the system remains in a fully chaotic state. The maximum Lyapunov exponent, shown in Figure 2b, exceeds zero when a < 3 , indicating chaotic behavior. It fluctuates around zero for a ( 3 , 4 ] , and becomes negative for a ( 4 , 5 ] , indicating periodic behavior. The bifurcation diagram is consistent with the behavior indicated by the maximum Lyapunov exponent. The phenomenon of the fractional dimension is closely linked to chaos, forming a crucial part of fractal theory. According to the Kaplan–Yorke dimension, a fractional dimension indicates chaotic dynamics, whereas an integer dimension, less than the state space dimension, corresponds to an ordered state.
Equation (8) is the Kaplan–Yorke dimensionality formula
D L = j + 1 | λ j + 1 | i = 1 j λ j
where j is the smallest integer value that makes the sum of Lyapunov exponents in each direction greater than or equal to zero, and λ is the value of the Lyapunov exponent.
The Lyapunov exponents in the three directions of the system are 0.7521, −0.2, and −1, when the initial value is ( x 0 , y 0 , z 0 ) = ( 0.1 , 0.1 , 0.1 ) , with a = 1 , b = 0.2 and c = 1 . According to Equation (7), the corresponding Kaplan–Yorke dimension can be calculated by Lyapunov exponentiation to be 2.5521. Therefore, the conclusion of the Kaplan–Yorke dimension is the same as that of the maximum Lyapunov exponentiation method, which proves that the system sates are chaotic at this time.
Multi-dimensional systems are too computationally intensive if the Lyapunov exponent is calculated for each direction. So the maximum Lyapunov exponent is commonly applied to determine the chaotic state of the system. The Kaplan–Yorke dimension depends on the Lyapunov exponent, and the conclusion of the Kaplan–Yorke dimension method is the same as that of the maximum Lyapunov exponent method. Therefore, only the maximum Lyapunov exponent method is used to analyze the dynamics of the system in the following sections.

3.1.2. Dynamical Analysis with b as the Control Parameter

In Figure 3, the bifurcation diagram and maximum Lyapunov exponent plot illustrate the system’s dynamical behavior with b as the control variable, while a = c = 1 . As b varies in the interval [0, 1], the system demonstrates rich dynamical behaviors, transitioning from a periodic state to a chaotic state through an inverse multiplicative bifurcation. Specifically, for b ( 0.505 , 1 ) , the system remains in a periodic state, with a bifurcation occurring at b = 0.505 . When b decreases below 0.505, the system enters a fully chaotic state. The maximum Lyapunov exponent, as shown in the plot, is negative when b > 0.505 , indicating the system is in a periodic state. As b decreases below 0.505, the maximum Lyapunov exponent becomes positive, signifying chaotic behavior. The results from the maximum Lyapunov exponent plot align with the bifurcation diagram.

3.1.3. Dynamical Analysis with c as the Control Parameter

In Figure 4, the bifurcation diagram and maximum Lyapunov exponent plot depict the system’s behavior with c as the control variable. The system exhibits a cyclic state when c > 2.094 , with a bifurcation occurring at c = 2.094 . For c ( 1.6 , 2.094 ) , the system enters a chaotic state, with another bifurcation occurring at c = 1.6 . When c ( 1.35 , 1.6 ) , the system transitions to a doubled-cycle state, and a bifurcation occurs at c = 1.35 . Between c ( 0.6 , 1.35 ) , the system remains chaotic, while for c < 0.6 , the system returns to a cyclic state. The maximum Lyapunov exponent plot confirms the results shown in the bifurcation diagram.
The parameters of the financial system critically influence the evolution of its dynamics. When the system is in a cyclical state, variables such as real interest rates and investment demand exhibit periodic behavior within a certain range, contributing to the system stability. However, as the total savings and unit investment costs change, the system may become chaotic, which could be detrimental to real-world financial systems. Therefore, appropriate adjustments and controls are necessary to keep these parameters within optimal ranges, ensuring that the system evolves into a more stable and organized state.

3.2. Dynamics Analysis with Fixed Parameters and Varying Orders

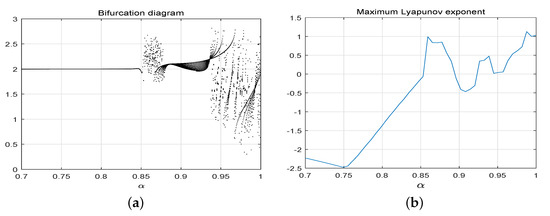
For the purpose of analyzing the effect of the fractional-order α , the parameters are chosen as a = 1 , b = 0.2 , c = 1 , and the step size is chosen as h = 0.01 . Figure 5 illustrates the bifurcation diagram of the system for α in the interval (0.7, 1). The system states are cyclic when α ( 0.7 , 0.86 ) . The system bifurcates at α = 0.86 . The system states are chaotic when α ( 0.86 , 0.89 ) . The system states are in a doubled cycle when α ( 0.89 , 0.93 ) . The bifurcation occurs again at α = 0.93 and remains chaotic thereafter. Correspondingly, the maximum Lyapunov exponent plot yields the same results as the bifurcation plot.
Some specific values are chosen to visualize more intuitively the dynamics of system (2). The states of system (2) are in chaotic motion as shown by the bifurcation diagram when α = 0.98 . The corresponding chaotic attractors are shown in Figure 6, and the system state trajectories are shown in Figure 7.
System (2) is out of chaos by the bifurcation diagram when α = 0.7 . The phase diagram is shown in Figure 8, and the system state trajectories are shown in Figure 9. These plots are consistent with the results of the bifurcation diagram and the maximum Lyapunov exponent diagram, which implies the complicated interactions among the real interest rate, the investment demand, and the price indicator.
Remark 1. 
In the practical financial system, there may be a situation where changing the parameters cannot eliminate the chaos when α = 1 in the case of the integer-order financial system. In this case, we can establish a financial model closer to the real financial system through the fractional-order model, and eliminate chaos by adjusting the fractional-order of the system. Generally, the system states eventually evolve from order to chaos as the order α increases. The states of the financial system gradually evolve from the chaotic region to the ordered region as a or b increases. Therefore, adjusting the parameters of the fractional-order financial system and the fractional-order so that they reach a reasonable region can avoid financial risk. Ultimately, the orderly development of the financial market can be realized.

4. Adaptive Control Strategy Design

From the previous section, it can be seen that the states of system (2) will be chaotic when the values of the savings and unit investment cost are too low. Without the external control, the two financial systems with diverse initial values will perform unusual dynamical behaviors. In the cause of keeping the stability of the two systems, the adaptive controller is designed for synchronizing the two financial systems.
Let system (2) be the drive system, then system (9) is the response system after adding the external control:
D α x 2 = z 2 + ( y 2 a ^ ) x 2 + u 1 D α y 2 = 1 b ^ y 2 x 2 2 + u 2 D α z 2 = x 2 c ^ z 2 + u 3
where u i ( i = 1 , 2 , 3 ) are the controller inputs.
Simultaneously, define the error signals e i ( t ) ( i = 1 , 2 , 3 ) as e 1 ( t ) = x 2 ( t ) x 1 ( t ) , e 2 ( t ) = y 2 ( t ) y 1 ( t ) , e 3 ( t ) = z 2 ( t ) z 1 ( t ) . Then, the error system (10) can be obtained as
D α e 1 = D α x 2 D α x 1 = e 3 + y 2 x 2 y 1 x 1 a ^ x 2 + a x 1 + u 1 D α e 2 = D α y 2 D α y 1 = b ^ y 2 + b y 1 x 2 2 + x 1 2 + u 2 D α e 3 = D α z 2 D α z 1 = e 1 c ^ z 2 + c z 1 + u 3 .
Design the controller as follows:
u 1 = e 3 y 2 x 2 + y 1 x 1 a ^ ˜ x 2 a ˜ x 1 h 1 e 1 u 2 = b ^ ˜ y 2 b ˜ y 1 + x 2 2 x 1 2 h 2 e 2 u 3 = e 1 + c ^ ˜ z 2 c ˜ z 1 h 3 e 3
where a ^ , b ^ , c ^ , a ^ ˜ , b ^ ˜ ,   a n d   c ^ ˜ are the estimations of the unknown positive parameters a , b , c , a ^ , b ^ , c ^ , and h i ( i = 1 , 2 , 3 ) are all normals.
Substituting the controller (11) into (10) yields
D α e 1 = ( a ^ ˜ a ^ ) x 2 + ( a a ˜ ) x 1 h 1 e 1 D α e 2 = ( b ^ ˜ b ^ ) y 2 + ( b b ˜ ) y 1 h 2 e 2 D α e 3 = ( c ^ ˜ c ^ ) z 2 + ( c c ˜ ) z 1 h 3 e 3 .
Define the unknown constant parameter estimation errors as
e a = a a ˜ , e a ^ = a ^ a ^ ˜ e b = b b ˜ , e b ^ = b ^ b ^ ˜ e c = a c ˜ , e c ^ = c ^ c ^ ˜ .
Substituting (13) into (12) yields
D α e 1 = e a ^ x 2 + e a x 1 h 1 e 1 D α e 2 = e b ^ y 2 + e b y 1 h 2 e 2 D α e 3 = e c ^ z 2 + e c z 1 h 3 e 3 .
Define the update law of the estimated parameters as follows:
D α a ˜ = e 1 x 1 + h 4 e a , D α a ^ ˜ = e 1 x 2 + h 7 e a ^ , D α b ˜ = e 2 y 1 + h 5 e b , D α b ^ ˜ = e 2 y 2 + h 8 e b ^ , D α c ˜ = e 3 z 1 + h 6 e c , D α c ^ ˜ = e 3 z 2 + h 9 e c ^ ,
where h 4 , h 5 , h 6 , h 7 , h 8 , h 9 are positive numbers.
Theorem 1. 
The fractional-order error system is asymptotically stable under the action of the controller (11) with the estimated parameter update law (15).
Proof. 
Construct the Lyapunov function as follows:
V = 1 2 e 1 2 + e 2 2 + e 3 2 + e a 2 + e b 2 + e c 2 + e a ^ 2 + e b ^ 2 + e c ^ 2 .
The fractional-order derivatives of (13) are
D α e a = D α a ˜ , D α e a ^ = D α a ^ ˜ , D α e b = D α b ˜ , D α e b ^ = D α b ^ ˜ , D α e c = D α c ˜ , D α e c ^ = D α c ^ ˜ .
The fractional-order derivative of (16) is
D α V = 1 2 D α e 1 2 + e 2 2 + e 3 2 + e a 2 + e b 2 + e c 2 + e a ^ 2 + e b ^ 2 + e c ^ 2 .
From Lemma 2, it follows that
D α V e 1 D α e 1 + e 2 D α e 2 + e 3 D α e 3 + e a D α e a + e b D α e b + e c D α e c + e a D α e a + e b D α e b + e c D α e c .
Substituting (14) and (17) into (19) yields
D α V h 1 e 1 2 h 2 e 2 2 h 3 e 3 2 + e a e 1 x 1 D α a ˜ + e b e 2 y 1 D α b ˜ + e c e 3 z 1 D α c ˜ e a ^ e 1 x 2 D α a ^ ˜ e b e 2 y 2 D α b ^ ˜ e c e 3 z 2 D α c ^ ˜ .
Substituting (15) into (20) yields
D α V h 1 e 1 2 h 2 e 2 2 h 3 e 3 2 h 4 e a 2 h 5 e b 2 h 6 e c 2 h 7 e a ^ 2 h 8 e b ^ 2 h 9 e c ^ 2 0 .
It shows that the fractional-order error system is asymptotically stable, which implies that drive system (2) and response system (9) are synchronized. □
Remark 2. 
Compared to the previous studies in [11,14,27,29,33], our result demonstrates several notable advantages. In particular, different from [27], this paper offers a deeper analysis of the relationship between varying derivative orders, system parameters, and chaotic behaviors, providing more comprehensive insight into how financial systems’ long-term dynamics evolve. The adaptive synchronization method proposed in this paper is not only effective for systems with unknown parameters but also has broader applicability to other fractional-order systems, offering a more flexible and generalized approach than the method in previous results. Furthermore, this paper goes beyond simulation and addresses system robustness in the presence of external disturbances and uncertainties, offering a more complete theoretical framework for managing system stability.

5. Numerical Simulations

Let the parameters be h i = 5 ( i = 1 , 2 , , 9 ) of the adaptive controller (11) and renewal rule (15). The initial values of the adaptive control parameters are a ˜ ( 0 ) = 2 , b ˜ ( 0 ) = 5 , b ˜ ( 0 ) = 1 , a ^ ˜ ( 0 ) = 6 , b ^ ˜ ( 0 ) = 3.5 , b ^ ˜ ( 0 ) = 3 . The initial value of the drive system is selected as (−2, 3, 4), and the initial value of the response system is selected as (0.1, 0.1, 0.1). The synchronization control effect is tracked through MATLAB R2023b simulations. The results are shown in Figure 10 and Figure 11.
Figure 10 shows an evolution of the errors over time, where each error variable converges to 0 after a certain period of time. Figure 11 illustrates the trend of the trajectories of the two systems as the corresponding variables converge to synchronization. It is more straightforward to show the effect of synchronization of the systems under the action of the controller. It also can be seen that all the error signals converge to 0 in approximately 1.2 s and stabilize around 0 later from Figure 10, which implies the synchronization of the state variables.
We change the initial value of response system to (0.1, 0.2, 1). Figure 12 shows an image of the error variables of the two systems. Figure 13 shows the trajectories of the synchronization of the corresponding state variables of the two systems, which visually demonstrates the effect of the synchronization of the two systems under the action of the controller.
From Figure 12, it can be seen that all the error signals also converge to 0 in about 1.2 s and stabilize at 0. It thus implies that the drive–response systems achieve synchronization under the action of the adaptive controller.

6. Conclusions

In this paper, a fractional-order financial system is obtained by applying Caputo’s fractional-order differential operator to an integer-order financial system through fractional-order theory. The stability of the three equilibrium points of the system is analyzed through the fractional-order stability theory. The phase diagram of the system is plotted, and the dynamics phenomenon of the parameter change when the fractional order is fixed, and the dynamical behaviors of the fractional-order change when the parameter is fixed are also analyzed by numerical simulation. The results show that low total savings, unit investment cost, and high fractional order will lead the financial system into chaos.

Author Contributions

Methodology, P.Z.; Software, Q.W.; Formal analysis, Q.W.; Investigation, P.Z.; Writing—original draft, P.Z.; Visualization, Q.W.; Supervision, Q.W. All authors have read and agreed to the published version of the manuscript.

Funding

This work was supported by the Fundamental Research Funds for the Central Universities, China Universities of Geosciences (Wuhan) under Grant G1323524005.

Data Availability Statement

The data presented in this study are available on request from the corresponding author.

Conflicts of Interest

The authors declare no conflicts of interest.

References

  1. Liao, Y.; Zhou, Y.; Xu, F.; Shu, X.B. A study on the complexity of a new chaotic financial system. Complexity 2020, 2020, 8821156. [Google Scholar] [CrossRef]
  2. Zhang, X.D.; Liu, X.D.; Zheng, Y.; Liu, C. Chaotic dynamic behavior analysis and control for a financial risk system. Chin. Phys. B 2013, 22, 030509. [Google Scholar] [CrossRef]
  3. Cai, G.; Yu, H.; Li, Y. Localization of compact invariant sets of a new nonlinear finance chaotic system. Nonlinear Dyn. 2012, 69, 2269–2275. [Google Scholar] [CrossRef]
  4. Liping, C.; Khan, M.A.; Atangana, A.; Kumar, S. A new financial chaotic model in Atangana-Baleanu stochastic fractional differential equations. Alex. Eng. J. 2021, 60, 5193–5204. [Google Scholar] [CrossRef]
  5. Vogl, M. Chaos measure dynamics in a multifactor model for financial market predictions. Commun. Nonlinear Sci. Numer. Simul. 2024, 130, 107760. [Google Scholar] [CrossRef]
  6. Harshavarthini, S.; Sakthivel, R.; Ma, Y.K.; Muslim, M. Finite-time resilient fault-tolerant investment policy scheme for chaotic nonlinear finance system. Chaos Solitons Fractals 2020, 132, 109567. [Google Scholar] [CrossRef]
  7. Ma, R.R.; Wu, J.; Wu, K.; Pan, X. Adaptive fixed-time synchronization of Lorenz systems with application in chaotic finance systems. Nonlinear Dyn. 2022, 109, 3145–3156. [Google Scholar] [CrossRef]
  8. Aghababa, M.P. Design of a chatter-free terminal sliding mode controller for nonlinear fractional-order dynamical systems. Int. J. Control 2013, 86, 1744–1756. [Google Scholar] [CrossRef]
  9. Aguila-Camacho, N.; Duarte-Mermoud, M.A.; Gallegos, J.A. Lyapunov functions for fractional order systems. Commun. Nonlinear Sci. Numer. Simul. 2014, 19, 2951–2957. [Google Scholar] [CrossRef]
  10. Ma, Y.; Li, W. Application and research of fractional differential equations in dynamic analysis of supply chain financial chaotic system. Chaos Solitons Fractals 2020, 130, 109417. [Google Scholar] [CrossRef]
  11. Xin, B.; Li, Y. 0–1 test for Chaos in a fractional order financial system with investment incentive. Abstr. Appl. Anal. 2013, 2013, 876298. [Google Scholar] [CrossRef]
  12. Wen, C.; Yang, J. Complexity evolution of chaotic financial systems based on fractional calculus. Chaos Solitons Fractals 2019, 128, 242–251. [Google Scholar] [CrossRef]
  13. Chen, W.C. Nonlinear dynamics and chaos in a fractional-order financial system. Chaos Solitons Fractals 2008, 36, 1305–1314. [Google Scholar] [CrossRef]
  14. Gao, X.; Li, Z.; Wang, Y. Chaotic Dynamic Behavior of a Fractional-Order Financial System with Constant Inelastic Demand. Int. J. Bifurc. Chaos 2024, 34, 2450111. [Google Scholar] [CrossRef]
  15. Tacha, O.I.; Munoz-Pacheco, J.M.; Zambrano-Serrano, E.; Stouboulos, I.N.; Pham, V.T. Determining the chaotic behavior in a fractional-order finance system with negative parameters. Nonlinear Dyn. 2018, 94, 1303–1317. [Google Scholar] [CrossRef]
  16. Musaev, A.; Makshanov, A.; Grigoriev, D. The genesis of uncertainty: Structural analysis of stochastic chaos in finance markets. Complexity 2023, 2023, 1302220. [Google Scholar] [CrossRef]
  17. Kachhia, K.B. Chaos in fractional order financial model with fractal Cfractional derivatives. Partial Differ. Equ. Appl. Math. 2023, 7, 100502. [Google Scholar] [CrossRef]
  18. Rehman, Z.U.; Boulaaras, S.; Jan, R.; Ahmad, I.; Bahramand, S. Computational analysis of financial system through non-integer derivative. J. Comput. Sci. 2024, 75, 102204. [Google Scholar] [CrossRef]
  19. Dousseh, Y.P.; Monwanou, A.V.; Koukpémèdji, A.A.; Miwadinou, C.H.; Chabi Orou, J.B. Dynamics analysis, adaptive control, synchronization and anti-synchronization of a novel modified chaotic financial system. Int. J. Dyn. Control 2023, 11, 862–876. [Google Scholar] [CrossRef]
  20. Azam, A.; Sunny, D.A.; Aqeel, M. Generation of multiscroll chaotic attractors of a finance system with mirror symmetry. Soft Comput. 2023, 27, 2769–2782. [Google Scholar] [CrossRef]
  21. Zhao, X.; Li, Z.; Li, S. Synchronization of a chaotic finance system. Appl. Math. Comput. 2011, 217, 6031–6039. [Google Scholar] [CrossRef]
  22. Chen, H.; Yu, L.; Wang, Y.; Guo, M. Synchronization of a hyperchaotic finance system. Complexity 2021, 2021, 6618435. [Google Scholar] [CrossRef]
  23. Xu, F.; Lai, Y.; Shu, X.B. Chaos in integer order and fractional order financial systems and their synchronization. Chaos Solitons Fractals 2018, 117, 125–136. [Google Scholar] [CrossRef]
  24. Zhang, Y.; Du, Y. Synchronization problem of a novel fractal-fractional orders’ hyperchaotic finance system. Math. Probl. Eng. 2021, 2021, 4152160. [Google Scholar] [CrossRef]
  25. Tusset, A.M.; Fuziki, M.E.; Balthazar, J.M.; Andrade, D.I.; Lenzi, G.G. Dynamic analysis and control of a financial system with chaotic behavior including fractional order. Fractal Fract. 2023, 7, 535. [Google Scholar] [CrossRef]
  26. Shao, S.; Chen, M.; Yan, X. Adaptive sliding mode synchronization for a class of fractional-order chaotic systems with disturbance. Nonlinear Dyn. 2016, 83, 1855–1866. [Google Scholar] [CrossRef]
  27. Gong, X.; Liu, X.; Xiong, X. Chaotic analysis and adaptive synchronization for a class of fractional order financial system. Phys. A Stat. Mech. Its Appl. 2019, 522, 33–42. [Google Scholar] [CrossRef]
  28. Johansyah, M.D.; Sambas, A.; Mobayen, S.; Vaseghi, B.; Al-Azzawi, S.F.; Sukono; Sulaiman, I.M. Dynamical analysis and adaptive finite-time sliding mode control approach of the financial fractional-order chaotic system. Mathematics 2022, 11, 100. [Google Scholar] [CrossRef]
  29. He, Y.; Peng, J.; Zheng, S. Fractional-order financial system and fixed-time synchronization. Fractal Fract. 2022, 6, 507. [Google Scholar] [CrossRef]
  30. Gao, Q.; Ma, J. Chaos and Hopf bifurcation of a finance system. Nonlinear Dyn. 2009, 58, 209–216. [Google Scholar] [CrossRef]
  31. Moghadam, A.M.; Balochian, S. Synchronization of economic systems with fractional order dynamics using active sliding mode control. Asian Econ. Financ. Rev. 2014, 4, 692–704. [Google Scholar]
  32. Li, C.; Deng, W. Remarks on fractional derivatives. Appl. Math. Comput. 2007, 187, 777–784. [Google Scholar] [CrossRef]
  33. Ahmad, I.; Ouannas, A.; Shafiq, M.; Pham, V.T.; Baleanu, D. Finite-time stabilization of a perturbed chaotic finance model. J. Adv. Res. 2021, 32, 1–14. [Google Scholar] [CrossRef] [PubMed]
Figure 1. The state trajectories of system (2) with initial value ( x 0 , y 0 , z 0 ) = ( 0.01 , 5.01 , 0.01 ) .
Figure 1. The state trajectories of system (2) with initial value ( x 0 , y 0 , z 0 ) = ( 0.01 , 5.01 , 0.01 ) .
Fractalfract 08 00562 g001
Figure 2. The bifurcation and maximum Lyapunov exponent diagrams of the system with a as the control variable. (a) The bifurcation diagram. (b) Maximum Lyapunov exponent diagram.
Figure 2. The bifurcation and maximum Lyapunov exponent diagrams of the system with a as the control variable. (a) The bifurcation diagram. (b) Maximum Lyapunov exponent diagram.
Fractalfract 08 00562 g002
Figure 3. The bifurcation and maximum Lyapunov exponent diagrams of the system with b as the control variable. (a) The bifurcation diagram. (b) Maximum Lyapunov exponent diagram.
Figure 3. The bifurcation and maximum Lyapunov exponent diagrams of the system with b as the control variable. (a) The bifurcation diagram. (b) Maximum Lyapunov exponent diagram.
Fractalfract 08 00562 g003
Figure 4. The bifurcation and maximum Lyapunov exponent diagrams of the system with c as the control variable. (a) The bifurcation diagram. (b) Maximum Lyapunov exponent diagram.
Figure 4. The bifurcation and maximum Lyapunov exponent diagrams of the system with c as the control variable. (a) The bifurcation diagram. (b) Maximum Lyapunov exponent diagram.
Fractalfract 08 00562 g004
Figure 5. The bifurcation and maximum Lyapunov exponent diagrams of the system with α as the control variable. (a) The bifurcation diagram. (b) Maximum Lyapunov exponent diagram.
Figure 5. The bifurcation and maximum Lyapunov exponent diagrams of the system with α as the control variable. (a) The bifurcation diagram. (b) Maximum Lyapunov exponent diagram.
Fractalfract 08 00562 g005
Figure 6. Phase diagram with α = 0.98 .
Figure 6. Phase diagram with α = 0.98 .
Fractalfract 08 00562 g006
Figure 7. Chronology diagram with α = 0.98 .
Figure 7. Chronology diagram with α = 0.98 .
Fractalfract 08 00562 g007
Figure 8. Phase diagram with α = 0.7 .
Figure 8. Phase diagram with α = 0.7 .
Fractalfract 08 00562 g008
Figure 9. Chronology diagram with α = 0.7 .
Figure 9. Chronology diagram with α = 0.7 .
Fractalfract 08 00562 g009
Figure 10. Time-domain trajectories of error variables.
Figure 10. Time-domain trajectories of error variables.
Fractalfract 08 00562 g010
Figure 11. Time-domain trajectories of state variables.
Figure 11. Time-domain trajectories of state variables.
Fractalfract 08 00562 g011
Figure 12. Time-domain trajectories of error variables with another initial condition.
Figure 12. Time-domain trajectories of error variables with another initial condition.
Fractalfract 08 00562 g012
Figure 13. Time-domain trajectories of state variables with another initial condition.
Figure 13. Time-domain trajectories of state variables with another initial condition.
Fractalfract 08 00562 g013
Disclaimer/Publisher’s Note: The statements, opinions and data contained in all publications are solely those of the individual author(s) and contributor(s) and not of MDPI and/or the editor(s). MDPI and/or the editor(s) disclaim responsibility for any injury to people or property resulting from any ideas, methods, instructions or products referred to in the content.

Share and Cite

MDPI and ACS Style

Zhang, P.; Wang, Q. Dynamics Analysis and Adaptive Synchronization of a Class of Fractional-Order Chaotic Financial Systems. Fractal Fract. 2024, 8, 562. https://doi.org/10.3390/fractalfract8100562

AMA Style

Zhang P, Wang Q. Dynamics Analysis and Adaptive Synchronization of a Class of Fractional-Order Chaotic Financial Systems. Fractal and Fractional. 2024; 8(10):562. https://doi.org/10.3390/fractalfract8100562

Chicago/Turabian Style

Zhang, Panhong, and Qingyi Wang. 2024. "Dynamics Analysis and Adaptive Synchronization of a Class of Fractional-Order Chaotic Financial Systems" Fractal and Fractional 8, no. 10: 562. https://doi.org/10.3390/fractalfract8100562

APA Style

Zhang, P., & Wang, Q. (2024). Dynamics Analysis and Adaptive Synchronization of a Class of Fractional-Order Chaotic Financial Systems. Fractal and Fractional, 8(10), 562. https://doi.org/10.3390/fractalfract8100562

Article Metrics

Back to TopTop