The Caputo Nonlocal Structural Derivative Ultraslow Diffusion Model of Language Change and the Microscopic Mechanism
Abstract
1. Introduction
2. Theory
2.1. The Caputo Nonlocal Structural Derivative
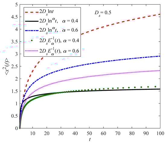
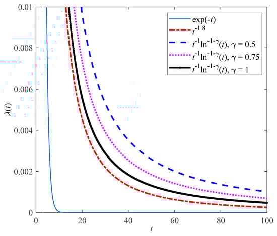
2.2. The Caputo Nonlocal Structural Derivative Ultraslow Diffusion Model
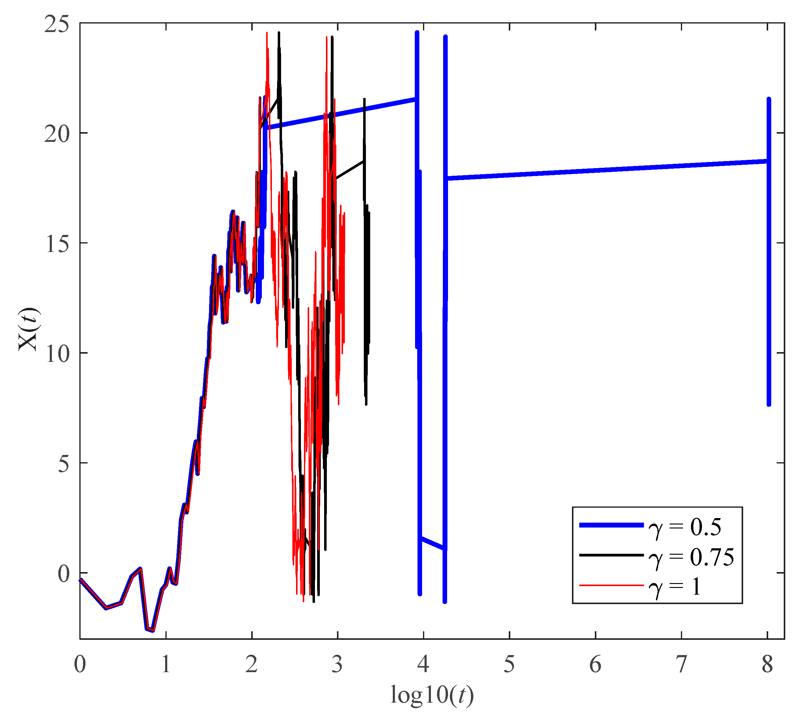
3. Applications and the CTRW Model of Language Change
3.1. Applications and Results
3.2. The CTRW Model of Language Change
4. Discussion
5. Conclusions
- By employing a logarithmic function family, the Caputo nonlocal structural derivative diffusion model provides a new model for the ultraslow diffusion of language change. Its MSD is inversely proportional to the structural function.
- The MSD of the continuous time random walk model is equivalent to the Caputo nonlocal structural derivative diffusion model, which provides a new way to find the statistical moments of language change.
- Compared to the random diffusion model, the Caputo nonlocal structural derivative diffusion model is more effective in characterizing ultraslow diffusion of language change, as demonstrated by improved fitting curves and errors.
Author Contributions
Funding
Data Availability Statement
Conflicts of Interest
Appendix A. Tauberian Theorem
Appendix B. Laplace Transform of the Long-Tailed Pausing Time Densities
References
- Epps, P.; Law, D.; Pat-El, N. Historical Linguistics and Endangered Languages: Exploring Diversity in Language Change; Routledge: New York, NY, USA, 2021; pp. 1–10. [Google Scholar]
- Michaud, J. Dynamic preferences and self-actuation of changes in language dynamic. Lang. Dyn. Chang. 2019, 9, 61–103. [Google Scholar] [CrossRef]
- Burridge, J.; Blaxter, T. Inferring the drivers of language change using spatial models. J. Phys. Complex. 2021, 2, 035018. [Google Scholar] [CrossRef]
- Nevalainen, T.; Raumolin-Brunberg, H.; Mannila, H. The diffusion of language change in real time: Progressive and conservative individuals and the time depth of change. Lang. Var. Chang. 2011, 23, 1–43. [Google Scholar] [CrossRef]
- Eisenstein, J.; O’Connor, B.; Smith, N.A.; Xing, E.P. Diffusion of lexical change in social media. PLoS ONE 2014, 9, e113114. [Google Scholar] [CrossRef] [PubMed]
- Ebeling, W.; Neiman, A. Long-range correlations between letters and sentences in texts. Phys. A 2012, 215, 233–241. [Google Scholar] [CrossRef]
- Yang, T.; Gu, C.; Yang, H.; Gao, Z. Long-range correlations in sentence series from A Story of the Stone. PLoS ONE 2016, 11, e0162423. [Google Scholar] [CrossRef] [PubMed]
- Watanabe, H. Empirical observations of ultraslow diffusion driven by the fractional dynamics in languages. Phys. Rev. E 2018, 98, 012308. [Google Scholar] [CrossRef]
- Lieberman, E.; Michel, J.B.; Jackson, J.; Tang, T.; Nowak, M.A. Quantifying the evolutionary dynamics of language. Nature 2007, 449, 713–716. [Google Scholar] [CrossRef]
- Zhang, Y.; Benson, D.A.; Meerschaert, M.; LaBolle, E.; Scheffler, H. Random walk approximation of fractional-order multiscaling anomalous diffusion. Phys. Rev. E 2006, 74, 026706. [Google Scholar] [CrossRef]
- Metzler, R.; Klafter, J. The random walk’s guide to anomalous diffusion: A fractional dynamics approach. Phys. Rep. 2000, 339, 1–77. [Google Scholar] [CrossRef]
- Metzler, R.; Jeon, J.H.; Cherstvy, A.G.; Barkai, E. Anomalous diffusion models and their properties: Non-stationarity, non-ergodicity, and ageing at the centenary of single particle tracking. Phys. Chem. Chem. Phys. 2014, 16, 24128–24164. [Google Scholar] [CrossRef]
- Liang, Y.; Wang, S.; Chen, W.; Zhou, Z.; Magin, R. A survey of models of ultraslow diffusion in heterogeneous materials. Appl. Mech. Rev. 2019, 71, 040802. [Google Scholar] [CrossRef]
- Sanders, L.P.; Lomholt, M.A.; Lizana, L.; Fogelmark, K.; Metzler, R.; Ambjörnsson, T. Severe slowing-down and universality of the dynamics in disordered interacting many-body systems: Ageing and ultraslow diffusion. New J. Phys. 2014, 16, 113050. [Google Scholar] [CrossRef]
- Wang, L.; Schönhoff, M.; Möhwald, H. Lipids coupled to polyelectrolyte multilayers: Ultraslow diffusion and the dynamics of electrostatic interactions. J. Phys. Chem. B 2002, 106, 9135–9142. [Google Scholar] [CrossRef]
- Stanley, H.E.; Havlin, S. Generalisation of the Sinai anomalous diffusion law. J. Phys. A-Math. Theor. 1999, 20, L615. [Google Scholar] [CrossRef]
- Sinai, Y.G. The limit behavior of a one-dimensional random walk in a random medium. Teor. Vero. Prim. 1983, 27, 256–268. [Google Scholar]
- Lomholt, M.A.; Lizana, L.; Metzler, R.; Ambjörnsson, T. Microscopic origin of the logarithmic time evolution of aging processes in complex systems. Phys. Rev. Lett. 2013, 110, 208301. [Google Scholar] [CrossRef] [PubMed]
- Chechkin, A.V.; Klafter, J.; Sokolov, I.M. Fractional Fokker-Planck equation for ultraslow kinetics. Europhys. Lett. 2003, 63, 326. [Google Scholar] [CrossRef]
- Kemppainen, J.T.; Zacher, R. Long-time behaviour of non-local in time Fokker-Planck equations via the entropy method. Math. Mod. Meth. Appl. Sci. 2019, 29, 209–235. [Google Scholar] [CrossRef]
- Sandev, T.; Iomin, A.; Kantz, H.; Metzler, R.; Chechkin, A. Comb model with slow and ultraslow diffusion. Math. Modell. Nat. Phenom. 2016, 11, 18–33. [Google Scholar] [CrossRef]
- Liang, Y.; Chen, W. A non-local structural derivative model for characterization of ultraslow diffusion in dense colloids. Commun. Nonlinear Sci. 2018, 56, 131–137. [Google Scholar] [CrossRef]
- Kochubei, A.N. Distributed order calculus and equations of ultraslow diffusion. J. Math. Anal. Appl. 2008, 340, 252–281. [Google Scholar] [CrossRef]
- Gorenflo, R.; Mainardi, F.; Moretti, D.; Pagnini, G.; Paradisi, P. Discrete random walk models for space-time fractional diffusion. Chem. Phys. 2002, 284, 521–541. [Google Scholar] [CrossRef]
- Denisov, S.; Bystrik, Y.; Kantz, H. Limiting distributions of continuous-time random walks with superheavy-tailed waiting times. Phys. Rev. E 2013, 87, 022117. [Google Scholar] [CrossRef]
- Meerschaert, M.M.; Scheffler, H.P. Stochastic model for ultraslow diffusion. Stoch. Proc. Appl. 2006, 116, 1215–1235. [Google Scholar] [CrossRef]
- Havlin, S.; Weiss, G.H. A new class of long-tailed pausing time densities for the CTRW. J. Stat. Phys. 1990, 58, 1267–1273. [Google Scholar] [CrossRef]
- Liang, Y.; Chen, W. Continuous time random walk model with asymptotical probability density of waiting times via inverse Mittag-Leffler function. Commun. Nonlinear Sci. 2018, 57, 439–448. [Google Scholar] [CrossRef]
- Chen, W.; Liang, Y. New methodologies in fractional and fractal derivatives modeling. Chaos Soliton. Fract. 2017, 102, 72–77. [Google Scholar] [CrossRef]
- Su, X.; Chen, W.; Xu, W.; Liang, Y. Non-local structural derivative Maxwell model for characterizing ultra-slow rheology in concrete. Constr. Build. Mater. 2018, 190, 342–348. [Google Scholar] [CrossRef]
- Xu, W.; Liang, Y. A non-local structural derivative model based on the Caputo fractional derivative for superfast diffusion in heterogeneous media. Fractals 2020, 28, 2050122. [Google Scholar] [CrossRef]
- Podlubny, I. Fractional Differential Equations; Academic Press: San Diego, Chile, 1999; pp. 14–50. [Google Scholar]
- Giona, M.; Cerbelli, S.; Roman, H.E. Fractional diffusion equation and relaxation in complex viscoelastic materials. Phys. A 1992, 191, 449–453. [Google Scholar] [CrossRef]
- Watanabe, H. Ultraslow diffusion in language: Dynamics of appearance of already popular adjectives on Japanese blogs. arXiv 2017, arXiv:1707.07066v3. [Google Scholar]







| Models | The Caputo Nonlocal Structural Derivative Diffusion Model | The Random Diffusion Model |
|---|---|---|
| Diffusion coefficient | ||
| Parameter | ||
| Maximum absolute error | 0.12 | 0.27 |
| Mean square error | 0.03 | 0.06 |
| Models | The Caputo Nonlocal Structural Derivative Diffusion Model | The Random Diffusion Model |
|---|---|---|
| Diffusion coefficient | ||
| Parameter | ||
| Maximum absolute error | 0.11 | 0.28 |
| Mean square error | 0.04 | 0.08 |
| Models | The Caputo Nonlocal Structural Derivative Diffusion Model | The Random Diffusion Model |
|---|---|---|
| Diffusion coefficient | ||
| Parameter | ||
| Maximum absolute error | 0.16 | 0.18 |
| Mean square error | 0.05 | 0.05 |
| Models | The Caputo Nonlocal Structural Derivative Diffusion Model | The Random Diffusion Model |
|---|---|---|
| Diffusion coefficient | ||
| Parameter | ||
| Maximum absolute error | 0.17 | 0.38 |
| Mean square error | 0.04 | 0.05 |
Disclaimer/Publisher’s Note: The statements, opinions and data contained in all publications are solely those of the individual author(s) and contributor(s) and not of MDPI and/or the editor(s). MDPI and/or the editor(s) disclaim responsibility for any injury to people or property resulting from any ideas, methods, instructions or products referred to in the content. |
© 2024 by the authors. Licensee MDPI, Basel, Switzerland. This article is an open access article distributed under the terms and conditions of the Creative Commons Attribution (CC BY) license (https://creativecommons.org/licenses/by/4.0/).
Share and Cite
Xu, W.; Liu, H.; Liang, Y.; Zhao, S. The Caputo Nonlocal Structural Derivative Ultraslow Diffusion Model of Language Change and the Microscopic Mechanism. Fractal Fract. 2024, 8, 66. https://doi.org/10.3390/fractalfract8010066
Xu W, Liu H, Liang Y, Zhao S. The Caputo Nonlocal Structural Derivative Ultraslow Diffusion Model of Language Change and the Microscopic Mechanism. Fractal and Fractional. 2024; 8(1):66. https://doi.org/10.3390/fractalfract8010066
Chicago/Turabian StyleXu, Wei, Hui Liu, Yingjie Liang, and Shijun Zhao. 2024. "The Caputo Nonlocal Structural Derivative Ultraslow Diffusion Model of Language Change and the Microscopic Mechanism" Fractal and Fractional 8, no. 1: 66. https://doi.org/10.3390/fractalfract8010066
APA StyleXu, W., Liu, H., Liang, Y., & Zhao, S. (2024). The Caputo Nonlocal Structural Derivative Ultraslow Diffusion Model of Language Change and the Microscopic Mechanism. Fractal and Fractional, 8(1), 66. https://doi.org/10.3390/fractalfract8010066
