Application of Fractional Calculus to Establish Equations of State for Solid Metals
Abstract
1. Introduction
2. Two-Parameter Equation of State
3. Three-Parameter Equation of State
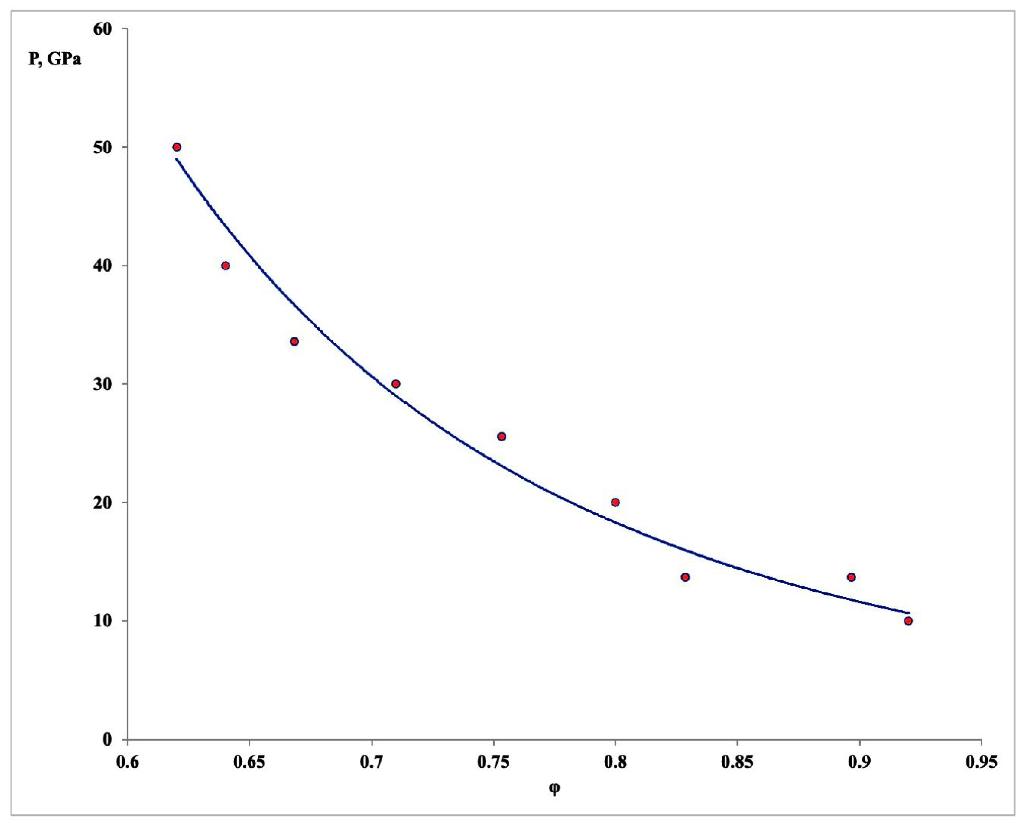
4. Model Validation
5. General Discussion
Author Contributions
Funding
Data Availability Statement
Acknowledgments
Conflicts of Interest
References
- Zharkov, V.N.; Kalinin, V.A. Equations of State of Solids at High Pressures and Temperatures; Nauka: Moscow, Russia, 1968. [Google Scholar]
- Bushman, A.V.; Fortov, V.E. Models of the equation of state of matter. Adv. Phys. Sci. 1983, 140, 177–232. [Google Scholar]
- Fortov, E.A. Thermodynamics and Equations of State for Matter: From Ideal Gas to Quark-Gluon Plasma; World Scientific: Singapore, 2016. [Google Scholar]
- Kontogeorgis, M.G.; Liang, X.D.; Arya, A.; Tsivintzelis, I. Equations of state in three centuries. Are we closer to arriving to a single model for all applications? Chem. Eng. Sci. X 2020, 7, 100060. [Google Scholar]
- Oldham, K.; Spanier, J. The Fractional Calculus; Academic Press: Cambridge, MA, USA, 1974. [Google Scholar]
- Hilfer, R. Applications of Fractional Calculus in Physics; World Scientific: Singapore, 2000. [Google Scholar]
- Kulish, V. A Non-field Analytical Method for Solving Energy Transport Equations. J. Heat Transfer. 2020, 142, 042102. [Google Scholar] [CrossRef]
- Rekhviashvili, S.S. Application of Fractional Integro-Differentiation to the Calculation of the Thermodynamic Properties of Surfaces. Phys. Solid State 2007, 49, 796–799. [Google Scholar] [CrossRef]
- Rekhviashvili, S.S. Equation of State of a Solid with Fractal Structure. Tech. Phys. Lett. 2010, 36, 798–800. [Google Scholar] [CrossRef]
- Liley, P.E. Some Simple Equations for Refrigerant 134a Properties. Int. J. Mech. Eng. Educ. 1996, 24, 191–194. [Google Scholar] [CrossRef]
- Herrick, D.R.; O’Connor, S. Inverse virial symmetry of diatomic potential curves. J. Chem. Phys. 1998, 109, 11–19. [Google Scholar] [CrossRef]
- Stacey, F.D.; Hodgkinson, J.H. Thermodynamics with the Grüneisen parameter: Fundamentals and applications to high pressure physics and geophysics. Phys. Earth Planet. Inter. 2019, 286, 42–68. [Google Scholar] [CrossRef]
- Trunin, R.F.; Simakov, G.V.; Sutulov, Y.N.; Medvedev, A.B.; Rogozkin, B.D.; Fedorov, Y.E. Compressibility of porous metals at shock waves. J. Exp. Theor. Phys. 1989, 96, 1024–1038. [Google Scholar]
- Sin’ko, G.V.; Smirnov, N.A. Ab Initio Calculations of Elastic Constants and Thermodynamic Properties of BCC, FCC, and HCP Al Crystals under Pressure. J. Phys. Condens. Matter 2002, 14, 6989–7005. [Google Scholar]
- Sin’ko, G.V.; Smirnov, N.A. Relative Stability and Elastic Properties of HCP, BCC, and FCC Beryllium under Pressure. Phys. Rev. B Condens. Matter Mater. Phys. 2005, 71, 214108. [Google Scholar] [CrossRef]
- Katsnelson, M.I.; Sin’ko, G.V.; Smirnov, N.A.; Trefilov, A.V.; Khromov, K.Y. Structure, Elastic Moduli, and Thermodynamics of Sodium and Potassium at Ultrahigh Pressures. Phys. Rev. B Condens. Matter Mater. Phys. 2000, 61, 14420–14424. [Google Scholar] [CrossRef]
- Sin’ko, G.V.; Smirnov, N.A. Ab Initio Calculations of Elastic Properties of Magnesium under Pressure. Phys. Rev. B Condens. Matter Mater. Phys. 2009, 80, 104113. [Google Scholar] [CrossRef]
- Rudin, S.; Jones, M.D.; Greeff, C.W.; Albers, R.C. First-Principles-Based Thermodynamic Description of Solid Copper Using the Tight-Binding Approach. Phys. Rev. B Condens. Matter Mater. Phys. 2002, 65, 235114. [Google Scholar] [CrossRef]
- Christensen, N.E.; Ruoff, A.L.; Rodriquez, C.O. Pressure Strengthening: A Way to Multimegabar Static Pressures. Phys. Rev. B Condens. Matter 1995, 52, 9121–9124. [Google Scholar] [CrossRef] [PubMed]
- Ruoff, A.L.; Rodriquez, C.O.; Christensen, N.E. Elastic Moduli of Tungsten to 15 Mbar, Phase Transition at 6.5 Mbar, and Rheology to 6 Mbar. Phys. Rev. B Condens. Matter Mater. Phys. 1998, 58, 2998–3002. [Google Scholar] [CrossRef]
- Apfelbaum, E.M.; Vorob’ev, V.S.; Martynov, G.A. The unit compressibility factor and critical parameters of mercury. Chem. Phys. Lett. 2005, 413, 342–345. [Google Scholar] [CrossRef]
- Apfelbaum, E.M.; Vorob’ev, V.S. The Line of the Unit Compressibility Factor (Zeno-Line) for Crystal States. J. Phys. Chem. B 2020, 124, 5021–5027. [Google Scholar] [CrossRef] [PubMed]

| Metal | Be | Na | Mg | Al | K | Fe | Cu | W | Pb |
|---|---|---|---|---|---|---|---|---|---|
| 4.39 | 4.50 | 4.43 | 3.71 | 3.39 | 3.87 | 4.95 | 5.00 | 5.64 |
Disclaimer/Publisher’s Note: The statements, opinions and data contained in all publications are solely those of the individual author(s) and contributor(s) and not of MDPI and/or the editor(s). MDPI and/or the editor(s) disclaim responsibility for any injury to people or property resulting from any ideas, methods, instructions or products referred to in the content. |
© 2023 by the authors. Licensee MDPI, Basel, Switzerland. This article is an open access article distributed under the terms and conditions of the Creative Commons Attribution (CC BY) license (https://creativecommons.org/licenses/by/4.0/).
Share and Cite
Kulish, V.; Aslfattahi, N.; Schmirler, M. Application of Fractional Calculus to Establish Equations of State for Solid Metals. Fractal Fract. 2023, 7, 403. https://doi.org/10.3390/fractalfract7050403
Kulish V, Aslfattahi N, Schmirler M. Application of Fractional Calculus to Establish Equations of State for Solid Metals. Fractal and Fractional. 2023; 7(5):403. https://doi.org/10.3390/fractalfract7050403
Chicago/Turabian StyleKulish, Vladimir, Navid Aslfattahi, and Michal Schmirler. 2023. "Application of Fractional Calculus to Establish Equations of State for Solid Metals" Fractal and Fractional 7, no. 5: 403. https://doi.org/10.3390/fractalfract7050403
APA StyleKulish, V., Aslfattahi, N., & Schmirler, M. (2023). Application of Fractional Calculus to Establish Equations of State for Solid Metals. Fractal and Fractional, 7(5), 403. https://doi.org/10.3390/fractalfract7050403

