Combined Liouville–Caputo Fractional Differential Equation
Abstract
1. Introduction
2. Preliminary Concepts
Formulation of the Solution
3. Main Results
3.1. Well-Posedness
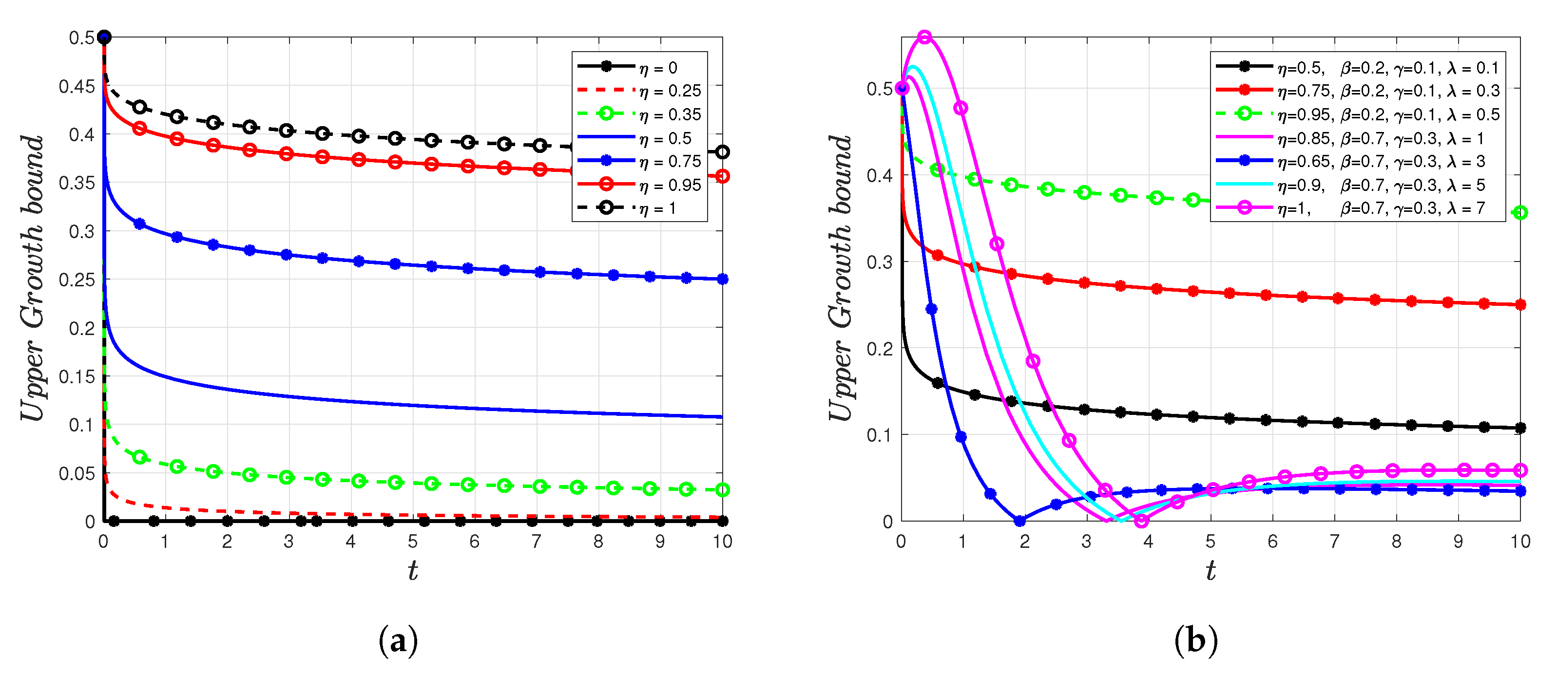
3.2. Upper Growth Bound
3.3. Asymptotic Behaviours
4. Examples
Numerical Comparisons
5. Stochastic Combined Fractional Differential Equation
5.1. Well-Posedness of the Solution to Equation (13)
5.2. Growth Moment Bound
6. Conclusions
Author Contributions
Funding
Data Availability Statement
Acknowledgments
Conflicts of Interest
References
- Baleanu, D.; Fernadez, A.; Akgul, A. On a Fractional Combining proportional and Classical Differintegrals. Mathematics 2020, 8, 360. [Google Scholar] [CrossRef]
- Voyiadjis, G.Z.; Sumelka, W. Brain modelling in the framework of anisotropic hyperelasticity with time fractional damage evolution governed by the Caputo–Almeida fractional derivative. J. Mech. Behav. Biomed. Mater. 2019, 89, 209–216. [Google Scholar] [CrossRef] [PubMed]
- Johansyah, M.D.; Supriatna, A.K.; Rusyaman, E.; Saputra, J. Application of fractional differential equation in economic growth model: A Systematic review approach. Aims Math. 2021, 6, 10266–10280. [Google Scholar] [CrossRef]
- Mu’lla, M. Fractional calculus, Fractional Differential Equations and Applications. Open Access Libr. J. 2020, 7, 1–9. [Google Scholar] [CrossRef]
- Kilbas, A.A.; Srivastava, H.M.; Trujillo, J.J. Theory and Applications of Fractional Differential Equations, 1st ed.; North–Holland Mathematics Studies; Elsevier: Amsterdam, The Netherlands, 2006; Volume 204, pp. 1–523. [Google Scholar]
- Baleanu, D.; Machado, J.A.T.; Luo, A.C. Fractional Dynamics and Control; Springer Science and Business Mdeia: Berlin, Germany, 2011. [Google Scholar]
- Malinowska, A.B.; Torres, D.F.M. Fractional calculus of variations for a combined Caputo derivative. Fract. Calc. Appl. Anal. 2011, 14, 523–537. [Google Scholar] [CrossRef]
- Malinowska, A.B.; Torres, D.F.M. The diamond-alpha Riemann integral and mean value theorems on time scales. Dynam. Syst. Appl. 2009, 18, 469–482. [Google Scholar]
- Sidi Ammi, M.R.; Ferreira, R.A.C.; Torres, D.F.M. Diamond-α Jensen’s Inequality on time scales. J. Inequal. Appl. 2008, 576876. [Google Scholar] [CrossRef]
- Atasever, N.A. On Diamond-Alpha Dynamic Equations and Inequalities. Master’s Thesis, Georgia Southern University, Statesboro, GA, USA, 2011. [Google Scholar]
- Almeida, R. A Gronwall inequality for a general Caputo fractional operator. Math. Inequalities Appl. 2017, 20, 1089–1105. [Google Scholar] [CrossRef]
- Abdeljawad, T. On Riemann and Caputo fractional differences. Comput. Math. Appl. 2011, 62, 1602–1611. [Google Scholar] [CrossRef]
- Agarwal, R.P.; Deng, S.; Zhang, W. Generalization of a retarded Gronwall-like inequality and its applications. Appl. Math. Comput. 2005, 165, 599–612. [Google Scholar] [CrossRef]
- Omaba, M.E.; Enyi, C.D. Atangana–Baleanu time-fractional stochastic integro-differential equation. Partial. Differ. Equations Appl. Math. 2021, 4, 100100. [Google Scholar] [CrossRef]
- Omaba, M.E.; Nweze, E.R. A Nonlinear Fractional Langevin Equation of Two Fractional Orders with Multiplicative Noise. Fractal Fract. 2022, 6, 290. [Google Scholar] [CrossRef]






Disclaimer/Publisher’s Note: The statements, opinions and data contained in all publications are solely those of the individual author(s) and contributor(s) and not of MDPI and/or the editor(s). MDPI and/or the editor(s) disclaim responsibility for any injury to people or property resulting from any ideas, methods, instructions or products referred to in the content. |
© 2023 by the authors. Licensee MDPI, Basel, Switzerland. This article is an open access article distributed under the terms and conditions of the Creative Commons Attribution (CC BY) license (https://creativecommons.org/licenses/by/4.0/).
Share and Cite
Omaba, M.E.; Al Sulaimani, H.; Mukiawa, S.E.; Enyi, C.D.; Apalara, T.A.-A. Combined Liouville–Caputo Fractional Differential Equation. Fractal Fract. 2023, 7, 366. https://doi.org/10.3390/fractalfract7050366
Omaba ME, Al Sulaimani H, Mukiawa SE, Enyi CD, Apalara TA-A. Combined Liouville–Caputo Fractional Differential Equation. Fractal and Fractional. 2023; 7(5):366. https://doi.org/10.3390/fractalfract7050366
Chicago/Turabian StyleOmaba, McSylvester Ejighikeme, Hamdan Al Sulaimani, Soh Edwin Mukiawa, Cyril Dennis Enyi, and Tijani Abdul-Aziz Apalara. 2023. "Combined Liouville–Caputo Fractional Differential Equation" Fractal and Fractional 7, no. 5: 366. https://doi.org/10.3390/fractalfract7050366
APA StyleOmaba, M. E., Al Sulaimani, H., Mukiawa, S. E., Enyi, C. D., & Apalara, T. A.-A. (2023). Combined Liouville–Caputo Fractional Differential Equation. Fractal and Fractional, 7(5), 366. https://doi.org/10.3390/fractalfract7050366

