The Fractional Soliton Wave Propagation of Non-Linear Volatility and Option Pricing Systems with a Sensitive Demonstration
Abstract
:1. Introduction
2. The Formation of Solitary Wave Solutions
2.1. The Description of the -Expansion Approach
2.2. Analytical Traveling-Wave Solutions
- Solution set:
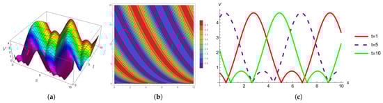
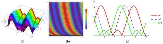
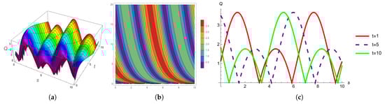
3. Dynamical Analysis
Sensitive Analysis
4. Conclusions
Author Contributions
Funding
Data Availability Statement
Acknowledgments
Conflicts of Interest
Abbreviations
| MDPI | Multidisciplinary Digital Publishing Institute |
| DOAJ | Directory of Open Access Journals |
| TLA | three-letter acronym |
| LD | linear dichroism |
References
- Fujioka, J.; Espinosa, A.; Rodríguez, R.F. Fractional optical solitons. Phys. Lett. 2010, 374, 1126. [Google Scholar] [CrossRef]
- Arshed, S.; Rahman, R.U.; Raza, N.; Khan, A.K.; Inc, M. A variety of fractional soliton solutions for three important coupled models arising in mathematical physics. Int. J. Mod. Phys. 2022, 36, 2250002. [Google Scholar] [CrossRef]
- Azamia, S.; Fasihi-Ramandia, G. Hyperbolic Ricci soliton on warped product manifolds. Filomat 2023, 37, 6843. [Google Scholar]
- Boujemaa, H.; Oulgiht, B.; Ragusa, M.A. A new class of fractional Orlicz-Sobolev space and singular elliptic problems. J. Math. Anal. Appl. 2023, 526, 127342. [Google Scholar] [CrossRef]
- Meerschaert, M.M.; Sikorskii, A. Stochastic Models for Fractional Calculus; Walter de Gruyter GmbH and Co. KG: Berlin, Germany, 2019; Volume 43. [Google Scholar]
- Ding, W.; Patnaik, S.; Semperlotti, F. Multiscale nonlocal elasticity: A distributed order fractional formulation. Int. J. Mech. Sci. 2022, 226, 107381. [Google Scholar] [CrossRef]
- Hashemi, M.S. A novel approach to find exact solutions of fractional evolution equations with non-singular kernel derivative. Chaos Solitons Fractals 2021, 152, 111367. [Google Scholar] [CrossRef]
- Batool, F.; Rezazadeh, H.; Akinyemi, L.; Inc, M. New explicit soliton solutions for the generalized coupled integrable disperssionless system. Opt. Quantum Electron. 2022, 54, 724. [Google Scholar] [CrossRef]
- Zafar, A.; Shakeel, M.; Ali, A.; Akinyemi, L.; Rezazadeh, H. Optical solitons of nonlinear complex Ginzburg–Landau equation via two modified expansion schemes. Opt. Quantum Electron. 2022, 54, 1. [Google Scholar] [CrossRef]
- Sun, H.; Chang, A.; Zhang, Y.; Chen, W. A review on variable-order fractional differential equations: Mathematical foundations, physical models, numerical methods and applications. Fract. Calc. Appl. Anal. 2019, 22, 27. [Google Scholar] [CrossRef]
- Kharazmi, E.; Zayernouri, M. Fractional sensitivity equation method: Application to fractional model construction. J. Sci. Comput. 2019, 80, 110. [Google Scholar] [CrossRef]
- Yao, S.W.; Arqub, O.A.; Tayebi, S.; Osman, M.S.; Mahmoud, W.; Inc, M.; Alsulami, H. A novel collective algorithm using cubic uniform spline and finite difference approaches to solving fractional diffusion singular wave model through damping-reaction forces. Fractals 2023, 31, 2340069. [Google Scholar] [CrossRef]
- Ma, X.; Xie, M.; Wu, W.; Zeng, B.; Wang, Y.; Wu, X. The novel fractional discrete multivariate grey system model and its applications. Appl. Math. Model. 2019, 70, 402. [Google Scholar] [CrossRef]
- Obeidat, N.A.; Bentil, D.E. Convergence analysis of the fractional decomposition method with applications to time-fractional biological population models. Numer. Methods Partial. Differ. Equ. 2023, 39, 696. [Google Scholar] [CrossRef]
- Aljahdali, M.; El-Sherif, A.A.; Shoukry, M.M.; Mohamed, S.E. Potentiometric and thermodynamic studies of binary and ternary transition metal (II) complexes of imidazole-4-acetic acid and some bio-relevant ligands. J. Solut. Chem. 2013, 42, 1028. [Google Scholar] [CrossRef]
- Siddique, I.; Jaradat, M.M.; Zafar, A.; Mehdi, K.B.; Osman, M.S. Exact traveling wave solutions for two prolific conformable M-Fractional differential equations via three diverse approaches. Results Phys. 2021, 28, 104557. [Google Scholar] [CrossRef]
- Malik, S.; Almusawa, H.; Kumar, S.; Wazwaz, A.M.; Osman, M.S. A (2+1)-dimensional Kadomtsev–Petviashvili equation with competing dispersion effect: Painlevé analysis, dynamical behavior and invariant solutions. Results Phys. 2021, 23, 104043. [Google Scholar] [CrossRef]
- Chala, G.T.; Ma’arof, M.I.N.; Guangul, F.M. Tidal and wave energy potential assessment. Clean Energy Oppor. Trop. Ctries. 2021, 39, 217. [Google Scholar]
- Djennadi, S.; Shawagfeh, N.; Osman, M.S.; Gómez-Aguilar, J.F.; Arqub, O.A. The Tikhonov regularization method for the inverse source problem of time fractional heat equation in the view of ABC-fractional technique. Phys. Scr. 2021, 96, 094006. [Google Scholar] [CrossRef]
- Akbulut, A.; Kaplan, M. Auxiliary equation method for time-fractional differential equations with conformable derivative. Comput. Math. Appl. 2018, 75, 876. [Google Scholar] [CrossRef]
- Barman, H.K.; Roy, R.; Mahmud, F.; Akbar, M.A.; Osman, M.S. Harmonizing wave solutions to the Fokas-Lenells model through the generalized Kudryashov method. Optik 2021, 229, 166294. [Google Scholar] [CrossRef]
- Yao, S.W.; Behera, S.; Inc, M.; Rezazadeh, H.; Virdi, J.P.S.; Mahmoud, W.; Arqub, O.A.; Osman, M.S. Analytical solutions of conformable Drinfel’d–Sokolov–Wilson and Boiti Leon Pempinelli equations via sine–cosine method. Results Phys. 2022, 42, 105990. [Google Scholar] [CrossRef]
- Akinyemi, L.; Mirzazadeh, M.; Amin Badri, S.; Hosseini, K. Dynamical solitons for the perturbated Biswas–Milovic equation with Kudryashov’s law of refractive index using the first integral method. J. Mod. Opt. 2022, 69, 172. [Google Scholar] [CrossRef]
- Baskonus, H.M.; Bulut, H.; Sulaiman, T.A. New complex hyperbolic structures to the lonngren-wave equation by using sine-gordon expansion method. Appl. Math. Nonlinear Sci. 2019, 4, 129. [Google Scholar] [CrossRef]
- Zayed, E.M.E.; Al-Nowehy, A.G.; Elshater, M.E.M. New ϕ6-model expansion method and its applications to the resonant nonlinear Schrödinger equation with parabolic law nonlinearity. Eur. Phys. J. Plus 2018, 133, 417. [Google Scholar] [CrossRef]
- Mohanty, S.K.; Kravchenko, O.V.; Deka, M.K.; Dev, A.N.; Churikov, D.V. The exact solutions of the (2+1)–dimensional Kadomtsev–Petviashvili equation with variable coefficients by extended generalized G′G-expansion method. J. King Saud-Univ.-Sci. 2023, 35, 102358. [Google Scholar] [CrossRef]
- Tariq, K.U.; Wazwaz, A.M.; Javed, R. Construction of different wave structures, stability analysis and modulation instability of the coupled nonlinear Drinfel’d–Sokolov–Wilson model. Chaos Solitons Fractals 2023, 166, 112903. [Google Scholar] [CrossRef]
- Wang, S. Novel soliton solutions of CNLSEs with Hirota bilinear method. J. Opt. 2023, 1, 1–6. [Google Scholar] [CrossRef]
- Black, F.; Scholes, M. The pricing of options and corporate liabilities. J. Political Econ. 1973, 81, 637. [Google Scholar] [CrossRef]
- Ito, K.; Itô, K.; Mathématicien, J. On Stochastic Differential Equations; American Mathematical Society: New York, NY, USA, 1951; Volume 4, p. 289. [Google Scholar]
- Kijima, M. Stochastic Processes with Applications to Finance; Chapman and Hall/CRC: Boca Raton, FL, USA, 2002. [Google Scholar]
- Steele, J.M. Stochastic Calculus and Financial Applications; Springer: New York, NY, USA, 2001; Volume 1. [Google Scholar]
- Wilmott, P.; Howison, S.; Dewynne, J. The Mathematics of Financial Derivatives: A Student Introduction; Cambridge University Press: Cambridge, UK, 1995. [Google Scholar]
- Hong, B.; Zhou, J.; Zhu, X.; Wang, Y. Some Novel Optical Solutions for the Generalized-Fractional Coupled NLS System. J. Funct. Spaces 2023, 2023, 8283092. [Google Scholar] [CrossRef]
- Ivancevic, V.G. Adaptive-wave alternative for the Black-Scholes option pricing model. Cogn. Comput. 2010, 2, 17. [Google Scholar] [CrossRef]
- Lo, A.W. The adaptive markets hypothesis: Market efficiency from an evolutionary perspective. J. Portf. Manag. 2004; Forthcoming. [Google Scholar]
- Lo, A.W. Reconciling efficient markets with behavioral finance: The adaptive markets hypothesis. J. Invest. Consult. 2005, 7, 2. [Google Scholar]
- Prechter, R.R.; Frost, A.J. Elliott Wave Principle: Key to Market Behavior. In Elliott Wave International, 10th ed.; Wiley: New York, NY, USA, 1978. [Google Scholar]
- Poser, S.W. Applying Elliot Wave Theory Profitably; John Wiley and Sons: Hoboken, NJ, USA, 2003; Volume 169. [Google Scholar]
- Ivancevic, V.G.; Ivancevic, T.T. Quantum Neural Computation; Springer Science and Business Media: Berlin/Heidelberg, Germany, 2010; Volume 40. [Google Scholar]
- Yan, Z. Financial rogue waves appearing in the coupled nonlinear volatility and option pricing model. arXiv 2011, arXiv:1101.3107. [Google Scholar]
- Roman, H.E.; Porto, M.; Dose, C. Skewness, long-time memory, and non-stationarity: Application to leverage effect in financial time series. Europhys. Lett. 2008, 84, 28001. [Google Scholar] [CrossRef]
- Black, F. Studies of stock market volatility changes. In Proceedings of the 1976 Meeting of the Business and Economic Statistics Section, Washington, DC, USA; 1976; pp. 177–181. [Google Scholar]






















| The Jacobi Elliptic Functions | |||
|---|---|---|---|
| No. | Functions | ||
| 1 | |||
| 2 | 1 | ||
| 3 | |||
| 4 | |||
| 5 | |||
| 6 | |||
| 7 | |||
| 8 | |||
| 9 | 1 | ||
| 10 | |||
Disclaimer/Publisher’s Note: The statements, opinions and data contained in all publications are solely those of the individual author(s) and contributor(s) and not of MDPI and/or the editor(s). MDPI and/or the editor(s) disclaim responsibility for any injury to people or property resulting from any ideas, methods, instructions or products referred to in the content. |
© 2023 by the authors. Licensee MDPI, Basel, Switzerland. This article is an open access article distributed under the terms and conditions of the Creative Commons Attribution (CC BY) license (https://creativecommons.org/licenses/by/4.0/).
Share and Cite
Riaz, M.B.; Ansari, A.R.; Jhangeer, A.; Imran, M.; Chan, C.K. The Fractional Soliton Wave Propagation of Non-Linear Volatility and Option Pricing Systems with a Sensitive Demonstration. Fractal Fract. 2023, 7, 809. https://doi.org/10.3390/fractalfract7110809
Riaz MB, Ansari AR, Jhangeer A, Imran M, Chan CK. The Fractional Soliton Wave Propagation of Non-Linear Volatility and Option Pricing Systems with a Sensitive Demonstration. Fractal and Fractional. 2023; 7(11):809. https://doi.org/10.3390/fractalfract7110809
Chicago/Turabian StyleRiaz, Muhammad Bilal, Ali Raza Ansari, Adil Jhangeer, Muddassar Imran, and Choon Kit Chan. 2023. "The Fractional Soliton Wave Propagation of Non-Linear Volatility and Option Pricing Systems with a Sensitive Demonstration" Fractal and Fractional 7, no. 11: 809. https://doi.org/10.3390/fractalfract7110809
APA StyleRiaz, M. B., Ansari, A. R., Jhangeer, A., Imran, M., & Chan, C. K. (2023). The Fractional Soliton Wave Propagation of Non-Linear Volatility and Option Pricing Systems with a Sensitive Demonstration. Fractal and Fractional, 7(11), 809. https://doi.org/10.3390/fractalfract7110809

