Approximate Analytical Solutions for Systems of Fractional Nonlinear Integro-Differential Equations Using the Polynomial Least Squares Method
Abstract
1. Introduction
- In 2006, Momani and Qaralleh used the Adomian Decomposition Method [1] to find approximate solutions for a type of system of equations similar to (1) but including only the Volterra term (and not the Fredholm one). The method decomposes the solution of the problem into a rapidly convergent series and replaces the nonlinear term by a series of the Adomian polynomials. The method worked well but unfortunately no error reports were included in the paper.
- In 2009, Zurigat et al. employed the well-known Homotopy Analysis Method [2] and in 2020 Akbar et al. employed the Optimal Homotopy Analysis Method [3] to find approximate solutions for systems of fractional integro-differential equations also of Volterra type only. These methods are based on the concept of the homotopy from topology and generate a convergent series solution for nonlinear systems. The experimental results were good with low errors. An interesting feature of the Homotopy Analysis Method is the existence of the auxiliary parameters which can be adjusted to control the convergence region of the solution series. Unfortunately the best choices of these parameters are not always clear. On the other hand, in [2] the authors showed that for certain values of these parameters the Homotopy Analysis Method can also replicate the results obtained in [1] by means of the Adomian Decomposition Method.
- In 2010, Saeed and Sdeq employed the widely used Homotopy Perturbation Method [4] to find approximate solutions for systems of linear Fredholm fractional integro-differential equations. The Homotopy Perturbation Method combines the traditional perturbation method and the concept of homotopy from topology and its best feature is that it does not require the existence of a small parameter regarding the perturbation. The errors corresponding to the approximations are presented and the convergence of the method is fast: from the experimental data it follows that the order of the error seems to be proportional to the number of terms considered in the sum of the series.
- The Chebyshev Pseudo-Spectral Method, employed in 2013 by Khader and Sweilam [5] and in 2017 by Zedan et al. [6] to find approximate for a type of system of equations similar to (1), but including only Volterra integrals, uses the properties of Chebyshev polynomials to reduce the problem to a linear or non-linear system of algebraic equations. From the numerical data the convergence again appears fast, with an order of the error roughly proportional to the numbers of terms in the series sum.
- In 2014, Bushnaq et al. presented the Reproducing Kernel Hilbert Space Method [7], which is a kernel-based approximation method, to find approximate solutions for systems of Volterra fractional integro-differential equations. The errors presented are relatively low but, while the absolute convergence of the method is proved, from the experimental data no information about the speed of the convergence can be extracted.
- Chebyshev Wavelets Expansion Methods were used in 2014 by Heydary et al. [8] to solve systems of nonlinear singular fractional Volterra integro-differential equations, in 2018 by Zhou and Xu [9] and in 2021 by Bargamadi et al. [10] to solve fractional Volterra–Fredholm integro-differential equations. This category of methods utilizes Chebyshev wavelets as a basis and transforms the problem into a system of algebraic equations. These methods usually yield solutions with very low errors which converge relatively fast.
- In 2015, Al-Marashi used a B-Spline Method [11] to find approximate solutions for systems of linear fractional integro-differential Volterra equations. The method uses B-Spline functions of different degrees to transform the problem into a system of linear equations. The examples show that the errors are relatively low and the convergence is illustrated by the decreasing of the errors with the increase in the degree.
- In 2015, Khalil and Khan used the Shifted Legendre Polynomials Method [12] to solve a coupled system of linear Fredholm integro-differential equations. In this method the initial problem is transformed into a series of algebraic equations of the shifted Legendre expansion coefficients. The errors are low enough and the examples clearly illustrate the convergence of the method.
- In 2015, Asgari introduced a method based on a new Operational Matrix of Triangular Functions [13]. The method is applied to a system of linear fractional integro-differential Volterra equations and transforms it by using triangular functions into a system of linear algebraic equations and the corresponding errors are sufficiently low.
- In 2016, [14] and in 2018 [15] Deif and Grace used the Iterative Refinement Method to find approximate solutions for systems of linear fractional integro-differential Volterra and Fredholm equations.The method employs an approximate solution which is repeatedly updated based upon a computed residual to adjust the system input. The examples show low errors and relatively fast convergence.
- Block-Pulse Functions Methods were applied in 2018 by Hesameddini and Shahbazi [16] and in 2019 by Xie and Yi [17] to find approximate solutions for systems of nonlinear fractional integro-differential Volterra and Fredholm equations. By means of Block–Pulse functions (or hybrid Bernstein Block–Pulse functions), the initial problem is reduced to a system of algebraic equations. The examples show relatively low errors and good convergence properties.
- In 2018, Wang et al. employed the Bernoulli Wavelets Method [18] to solve coupled systems of nonlinear fractional integro-differential Volterra equations. The method transforms the problem into a system of algebraic equations by means of a Bernoulli wavelets basis expansion and the examples show relatively low errors and illustrate the convergence.
- In 2019, Mohammed and Malik employed a Power Series Method [19] to find approximate solutions for a system of linear fractional integro-differential Volterra equations. The solution of the problem is computed approximately as a partial sum of a power series. The numerical results are in good agreement with results obtained by using other methods but unfortunately no clear information regarding accuracy and speed of convergence could be extracted from the examples.
- In 2020, Didgar et al. used a Taylor Expansion Method [20] to solve systems of linear fractional integro-differential Volterra–Fredholm equations. The method transforms the problem into a system of linear equations by approximating the solutions via mth-order Taylor polynomials. The exact solutions of all the examples included are polynomial functions and due to its nature the method is able to find the exact solutions.
- In 2020, Saemi et al. used a Müntz–Legendre Wavelets Method [21] to find approximate solutions for systems of nonlinear fractional integro-differential Volterra–Fredholm equations. Employing Müntz–Legendre wavelets, the method converts the system of integro-differential equations into a system of linear or nonlinear algebraic equations. The examples show low errors and good convergence properties.
- In 2021, Duangpan et al. used the Finite Integration Method [22] to find approximate solutions for systems of linear fractional Volterra integro-equations by transforming them in systems of algebraic equations via Shifted Chebyshev Polynomials. The examples show very low errors and relatively fast convergence.
2. The Polynomial Least Squares Method
- Next we compute as the values which give the minimum of the functional (9) and again as functions of by using the conditions.
- Using the constants thus determined, we consider the set of polynomials:
3. Numerical Examples
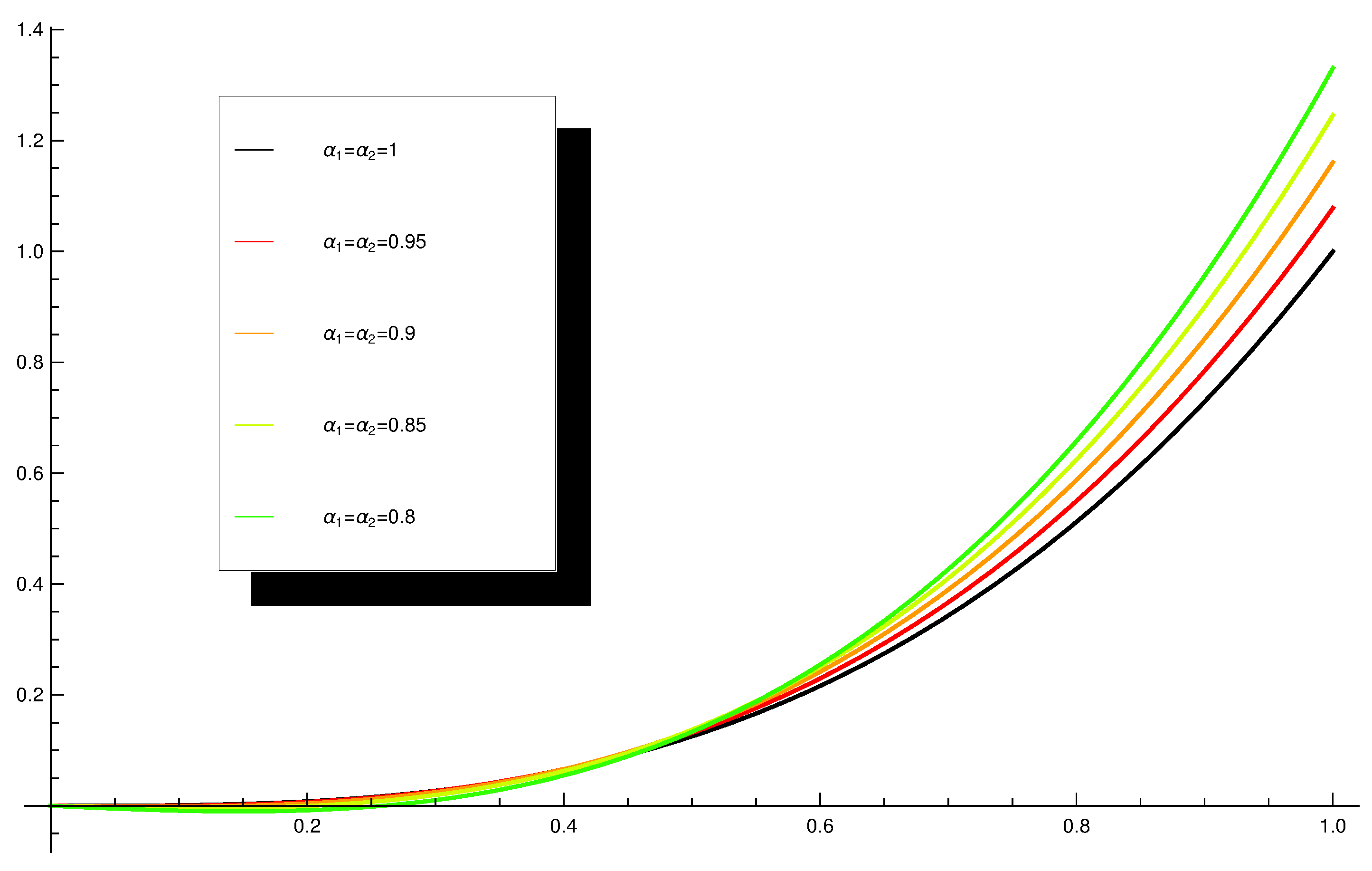
3.1. Application 1: System of Fractional Fredholm Integro-Differential Equations
- Regarding the choice of the degree of the polynomial approximation, in the computations we usually start with the lowest degree (i.e., first degree polynomial) and compute successively higher degree approximation, until the error (see next item) is considered low enough from a practical point of view for the given problem (or, in the case of a test problem, until the error is lower than the error corresponding to the solutions obtained by other methods). Of course, in the case of a test problem when the known solution is a polynomial, one may start directly with the corresponding degree, but this is just a shortcut and by no means necessary when using the method.
- If the exact solution of the problem is not known, as would be the case of a real-life problem, and as a consequence the error can not be computed, then instead of the actual error we can consider as an estimation of the error the value of the remainder R (4) corresponding to the computed approximation, as mentioned in the end of Section 2.
- If the problem has an (unknown) exact polynomial solution it is easy to see if PLSM finds it since the value of the minimum of the functional in this case is actually zero. In this situation, if we keep increasing the degree (even though there is no point in that), from the computation we obtain that the coefficients of the higher degrees are actually zero.
- Regarding the choice of the optimization method used for the computation of the minimum of the functional (9), if the solution of the problem is a known polynomial (such as in the case of this application and several of the following ones) we usually employ the critical (stationary) points method, because in this way by using PLSM we can easily find the exact solution. Such problems are relatively simple ones; the expression of the functional (9) is also not very complicated and indeed the solutions can usually be computed even by hand (as in the case of this application) and in general no concerns of conditioning or stability arise.However, for a more complicated (real-life) problem, when the solution is not known (or even if the exact solution is known but not polynomial), we would not use the critical points method. In fact, we would not even use an iterative-type method but rather a heuristic algorithm such as Differential Evolution or Simulated Annealing. In our experience with this type of problem even a simple Nelder–Mead type algorithm works well (as was the case for the following Application 7, Application 8 and Application 9).
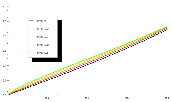
3.2. Application 2: System of Fractional Volterra Integro-Differential Equations
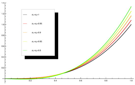
3.3. Application 3: System of Fractional Volterra–Fredholm Integro-Differential Equations
3.4. Application 4: System of Fractional Volterra–Fredholm Integro-Differential Equations with a Weakly Singular Kernel
3.5. Application 5: System of Singular Fractional Volterra–Fredholm Integro-Differential Equations
3.6. Application 6: System of Fractional Volterra–Fredholm Integro-Differential Equations
3.7. Application 7: System of Fractional Volterra Integro-Differential Equations
- Approximate polynomial solutions of the 8th degree:
- Approximate polynomial solutions of the 9th degree:
- Approximate polynomial solutions of the 10th degree:
- Approximate polynomial solutions of the 11th degree:
- For :,,
- For :,,
- For :,,
- For :,,
- For :,,
- For :,.
3.8. Application 8: System of Nonlinear Fractional Integro-Differential Equations
3.9. Application 9: System of Fractional Volterra–Fredholm Integro-Differential Equations
3.10. Application 10: System of Singular Fractional Volterra Integro-Differential Equations
4. Conclusions
- The simplicity of the method—the computations involved in the use of PLSM are as straightforward as it gets; in fact in the case of a lower degree polynomial the computations sometimes can be performed even by hand, as illustrated by the first application.
- The accuracy of the method—clearly illustrated by the applications presented, since by using PLSM we were able to compute approximations at least as good (if not better) than the approximations computed by other methods.
- The simplicity of the approximation—since the approximations are polynomial, they also have the simplest possible form and thus any subsequent computation involving the solution can be performed with ease. While it is true that for some approximation methods which work with polynomial approximations the convergence may be very slow, this is not the case here (see for example Application 7, Application 8 and Application 9, which are representative of the performance of the method).
Funding
Institutional Review Board Statement
Informed Consent Statement
Conflicts of Interest
References
- Momani, S.; Qaralleh, A. An efficient method for solving systems of fractional integro-differential equations. Comput. Math. Appl. 2006, 52, 459–470. [Google Scholar] [CrossRef]
- Zurigat, M.; Momani, S.; Alawneh, A. Homotopy Analysis Method for systems of fractional integro-differential equations. Neural Parallel Sci. Comput. 2009, 17, 169–186. [Google Scholar]
- Akbar, M.; Nawaz, R.; Ahsan, S.; Nisar, K.S.; Abdel-Aty, A.-H.; Eleuch, H. New approach to approximate the solution for the system of fractional order Volterra integro-differential equations. Results Phys. 2020, 19, 103453. [Google Scholar] [CrossRef]
- Saeed, R.K.; Sdeq, H.M. Solving a system of linear Fredholm fractional integro-differential equations using Homotopy Perturbation Method. Aust. J. Basic Appl. Sci. 2010, 4, 633–638. [Google Scholar]
- Khader, M.M.; Sweilam, N.H. On the approximate solutions for system of fractional integro-differential equations using Chebyshev pseudo-spectral method. Appl. Math. Model. 2013, 37, 9819–9828. [Google Scholar] [CrossRef]
- Zedan, H.A.; Tantawy, S.S.; Sayed, Y.M. New solutions for system of fractional integro-differential equations and Abel’s integral equations by Chebyshev Spectral Method. Math. Probl. Eng. 2017, 2017, 7853839. [Google Scholar] [CrossRef]
- Bushnaq, S.; Maayah, B.; Momani, S.; Alsaedi, A. A reproducing kernel Hilbert space method for solving systems of fractional integro-differential equations. Abstr. Appl. Anal. 2014, 2014, 103016. [Google Scholar] [CrossRef][Green Version]
- Heydari, M.H.; Hooshmandasl, M.R.; Mohammadi, F.; Cattani, C. Wavelets method for solving systems of nonlinear singular fractional Volterra integro-differential equations. Commun. Nonlinear Sci. Numer. Simul. 2014, 19, 37–48. [Google Scholar] [CrossRef]
- Zhou, F.; Xu, X. Numerical solution of fractional Volterra-Fredholm integro-differential equations with mixed boundary conditions via Chebyshev wavelet method. Int. J. Comput. Math. 2018, 96, 436–456. [Google Scholar] [CrossRef]
- Bargamadi, E.; Torkzadeh, L.; Nouri, K.; Jajarmi, A. Solving a system of fractional-order Volterra-Fredholm integro-differential equations with weakly singular kernels via the second Chebyshev wavelets method. Fractal Fract. 2021, 5, 70. [Google Scholar] [CrossRef]
- Al-Marashi, A.A. Approximate solution of the system of linear fractional integro-differential equations of Volterra using B-Spline method. Am. Rev. Math. Stat. 2015, 3, 39–47. [Google Scholar] [CrossRef][Green Version]
- Khalil, H.; Khan, R.A. Numerical scheme for solution of coupled system of initial value fractional order Fredholm integro-differential equations with smooth solutions. J. Math. Ext. 2015, 9, 39–58. [Google Scholar]
- Asgari, M. Numerical solution for solving a system of fractional integro-differential equations. IAENG Int. J. Appl. Math. 2015, 45, 1–7. [Google Scholar]
- Deif, S.A.; Grace, S.R. Iterative refinement for a system of linear integro-differential equations of fractional type. J. Comput. Appl. Math. 2016, 294, 138–150. [Google Scholar] [CrossRef]
- Deif, S.A.; Grace, S.R. Fast iterative refinement method for mixed systems of integral and fractional integro-differential equations. Comput. Appl. Math. 2018, 37, 2354–2379. [Google Scholar] [CrossRef]
- Hesameddini, E.; Shahbazi, M. Hybrid Bernstein Block-Pulse functions for solving system of fractional integro-differential equations. Int. J. Comput. Math. 2018, 95, 2287–2307. [Google Scholar] [CrossRef]
- Xie, J.; Yi, M. Numerical research of nonlinear system of fractional Volterra–Fredholm integral–differential equations via Block-Pulse functions and error analysis. J. Comput. Appl. Math. 2019, 345, 159–167. [Google Scholar] [CrossRef]
- Wang, J.; Xu, T.-Z.; Wei, Y.-Q.; Xie, J.-Q. Numerical simulation for coupled systems of nonlinear fractional order integro-differential equations via wavelets method. Appl. Math. Comput. 2018, 324, 36–50. [Google Scholar]
- Mohammed, O.H.; Malik, A.M. A modified computational algorithm for solving systems of linear integro-differential equations of fractional order. J. King Saud Univ. Sci. 2019, 31, 946–955. [Google Scholar] [CrossRef]
- Didgar, M.; Vahidi, A.R.; Biazar, J. An approximate approach for systems of fractional integro- differential equations based on Taylor expansion. Kragujev. J. Math. 2020, 44, 379–392. [Google Scholar] [CrossRef]
- Saemi, F.; Ebrahimi, H.; Shafiee, M. An effective scheme for solving system of fractional Volterra–Fredholm integro-differential equations based on the Müntz–Legendre wavelets. J. Comput. Appl. Math. 2020, 374, 112773. [Google Scholar] [CrossRef]
- Duangpan, A.; Boonklurb, R.; Juytai, M. Numerical solutions for systems of fractional and classical integro-differential equations via Finite Integration Method based on shifted Chebyshev polynomials. Fractal Fract. 2021, 5, 103. [Google Scholar] [CrossRef]









| t | [5] | [13] | [6] | [16] | [22] | 11-th deg. PLSM |
|---|---|---|---|---|---|---|
| 0.1 | ||||||
| 0.2 | - | |||||
| 0.3 | - | |||||
| 0.4 | - | |||||
| 0.5 | ||||||
| 0.6 | - | |||||
| 0.7 | - | |||||
| 0.8 | - | |||||
| 0.9 |
| t | [5] | [13] | [6] | [16] | [22] | 11-th deg. PLSM |
|---|---|---|---|---|---|---|
| 0.1 | ||||||
| 0.2 | - | |||||
| 0.3 | - | |||||
| 0.4 | - | |||||
| 0.5 | ||||||
| 0.6 | - | |||||
| 0.7 | - | |||||
| 0.8 | - | |||||
| 0.9 |
| t | 8-th deg. PLSM | 9-th deg. PLSM | 10-th deg. PLSM | 11-th deg. PLSM |
|---|---|---|---|---|
| 0.1 | ||||
| 0.2 | ||||
| 0.3 | ||||
| 0.4 | ||||
| 0.5 | ||||
| 0.6 | ||||
| 0.7 | ||||
| 0.8 | ||||
| 0.9 |
| t | 8-th deg. PLSM | 9-th deg. PLSM | 10-th deg. PLSM | 11-th deg. PLSM |
|---|---|---|---|---|
| 0.1 | ||||
| 0.2 | ||||
| 0.3 | ||||
| 0.4 | ||||
| 0.5 | ||||
| 0.6 | ||||
| 0.7 | ||||
| 0.8 | ||||
| 0.9 |
| [21] | PLSM 6-th deg. | PLSM 7-th deg. | PLSM 8-th deg. | |
|---|---|---|---|---|
| PLSM 5-th deg. | PLSM 6-th deg. | PLSM 7-th deg. | PLSM 8-th deg. | |
|---|---|---|---|---|
Publisher’s Note: MDPI stays neutral with regard to jurisdictional claims in published maps and institutional affiliations. |
© 2021 by the author. Licensee MDPI, Basel, Switzerland. This article is an open access article distributed under the terms and conditions of the Creative Commons Attribution (CC BY) license (https://creativecommons.org/licenses/by/4.0/).
Share and Cite
Căruntu, B. Approximate Analytical Solutions for Systems of Fractional Nonlinear Integro-Differential Equations Using the Polynomial Least Squares Method. Fractal Fract. 2021, 5, 198. https://doi.org/10.3390/fractalfract5040198
Căruntu B. Approximate Analytical Solutions for Systems of Fractional Nonlinear Integro-Differential Equations Using the Polynomial Least Squares Method. Fractal and Fractional. 2021; 5(4):198. https://doi.org/10.3390/fractalfract5040198
Chicago/Turabian StyleCăruntu, Bogdan. 2021. "Approximate Analytical Solutions for Systems of Fractional Nonlinear Integro-Differential Equations Using the Polynomial Least Squares Method" Fractal and Fractional 5, no. 4: 198. https://doi.org/10.3390/fractalfract5040198
APA StyleCăruntu, B. (2021). Approximate Analytical Solutions for Systems of Fractional Nonlinear Integro-Differential Equations Using the Polynomial Least Squares Method. Fractal and Fractional, 5(4), 198. https://doi.org/10.3390/fractalfract5040198

