Novel Techniques for a Verified Simulation of Fractional-Order Differential Equations
Abstract
1. Introduction
- Modeling the formation of multi-robot systems, where each agent has integer-order dynamics but the overall behavior may result in a fractional-order behavior [37];
- Advanced modeling of visco-elastic damping [38];
2. Preliminaries and State-of-the-Art
2.1. System Models under Consideration
2.2. Grünwald–Letnikov Approximation of Fractional Derivatives
2.3. Single Time Step Picard Iteration
2.4. Special Case: “Closed-Form” Solutions
3. Verified Simulation Techniques
3.1. Mittag–Leffler Type State Enclosures for Fractional-Order Differential Equations
3.2. Multi Time Step Picard Iteration
3.3. Truncated Temporal Series Expansion
4. Numerical Case Studies
4.1. Linear System with Point-Valued Parameters
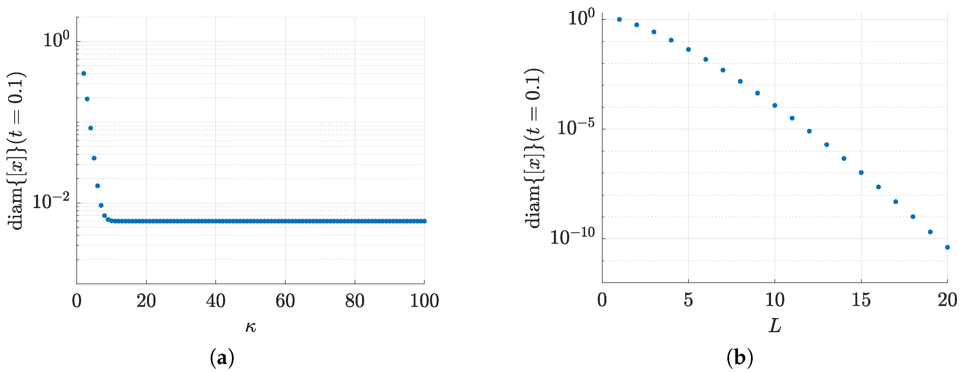
4.2. Linear System with Interval Parameters
4.3. Polynomial System with Point-Valued Parameters
4.4. Polynomial System with Interval Parameters
- Exploit advantages of Theorem 4 in early parts of the simulation (close to ) to further improve Theorem 3;
- Use this combination of both to further implement observer approaches, where measured data are only available at some discrete points of time.
4.5. Nonlinear Higher-Dimensional System Model
- denotes the susceptible part of a population;
- the exposed group of the population;
- the infectious group;
- the non-constant total population size.
- Scenario 1:
- Consideration of point-valued initial conditions in Figure 7 with
- Scenario 2:
- Consideration of a uncertainty in the initial conditions for the compartments of exposed and infectious individuals in Figure 8 with
- Scenario 3:
- Consideration of a uncertainty in the initial conditions for the compartments of exposed and infectious individuals in Figure 9 together with uncertainty in the susceptible class and population size with
5. Conclusions and Outlook on Future Work
Author Contributions
Funding
Data Availability Statement
Conflicts of Interest
References
- Nedialkov, N.S. Interval Tools for ODEs and DAEs. In Proceedings of the 12th GAMM-IMACS Intl. Symposium on Scientific Computing, Computer Arithmetic, and Validated Numerics (SCAN 2006), Duisburg, Germany, 26–29 September 2006. [Google Scholar]
- Easterbrook, S. The Difference between Verification and Validation. 2010. Available online: http://www.easterbrook.ca/steve/2010/11/the-difference-between-verification-and-validation/ (accessed on 9 February 2021).
- Lohner, R. On the Ubiquity of the Wrapping Effect in the Computation of the Error Bounds. In Perspectives on Enclosure Methods; Kulisch, U., Lohner, R., Facius, A., Eds.; Springer: Wien, Austria; New York, NY, USA, 2001; pp. 201–217. [Google Scholar]
- Lohner, R. Enclosing the Solutions of Ordinary Initial and Boundary Value Problems. In Computer Arithmetic: Scientific Computation and Programming Languages; Kaucher, E.W., Kulisch, U.W., Ullrich, C., Eds.; Wiley-Teubner Series in Computer Science: Stuttgart, Germany, 1987; pp. 255–286. [Google Scholar]
- Kapela, T.; Mrozek, M.; Wilczak, D.; Zgliczynski, P. CAPD::DynSys: A Flexible C++ Toolbox for Rigorous Numerical Analysis of Dynamical Systems. Commun. Nonlinear Sci. Numer. Simul. 2020, 105578. [Google Scholar] [CrossRef]
- Berz, M.; Makino, K. COSY INFINITY Version 8.1. User’s Guide and Reference Manual; Technical Report MSU HEP 20704; Michigan State University: East Lansing, MI, USA, 2002. [Google Scholar]
- Hoefkens, J. Rigorous Numerical Analysis with High-Order Taylor Models. Ph.D. Thesis, Michigan State University, East Lansing, MI, USA, 2001. [Google Scholar]
- Alexandre dit Sandretto, J.; Chapoutot, A. Validated Explicit and Implicit Runge–Kutta Methods. Reliab. Comput. 2016, 22, 79–103. [Google Scholar]
- Mullier, O.; Chapoutot, A.; Alexandre dit Sandretto, J. Validated Computation of the Local Truncation Error of Runge–Kutta Methods with Automatic Differentiation. Optim. Methods Softw. 2018, 33, 718–728. [Google Scholar] [CrossRef]
- Rauh, A.; Auer, E.; Hofer, E.P. ValEncIA-IVP: A Comparison with Other Initial Value Problem Solvers. In Proceedings of the 12th GAMM-IMACS International Symposium on Scientific Computing, Computer Arithmetic, and Validated Numerics (SCAN 2006), Duisburg, Germany, 26–29 September 2006. [Google Scholar]
- Auer, E.; Rauh, A.; Hofer, E.P.; Luther, W. Validated Modeling of Mechanical Systems with SmartMOBILE: Improvement of Performance by ValEncIA-IVP. In Lecture Notes in Computer Science, Proceedings of the Dagstuhl Seminar 06021: Reliable Implementation of Real Number Algorithms: Theory and Practice, Wadern, Germany, 8–13 January 2008; Springer: Berlin, Germany; pp. 1–27.
- Nedialkov, N.S. Computing Rigorous Bounds on the Solution of an Initial Value Problem for an Ordinary Differential Equation. Ph.D. Thesis, University of Toronto, Toronto, ON, Canada, 1999. [Google Scholar]
- Nedialkov, N.S. Implementing a Rigorous ODE Solver through Literate Programming. In Modeling, Design, and Simulation of Systems with Uncertainties; Rauh, A., Auer, E., Eds.; Mathematical Engineering; Springer: Berlin/Heidenberg, Germany, 2011; pp. 3–19. [Google Scholar]
- Lin, Y.; Stadtherr, M.A. Validated Solutions of Initial Value Problems for Parametric ODEs. Appl. Numer. Math. 2007, 57, 1145–1162. [Google Scholar] [CrossRef]
- Kühn, W. Rigorous Error Bounds for the Initial Value Problem Based on Defect Estimation. Technical Report. 1999. Available online: http://www.decatur.de/personal/papers/defect.zip (accessed on 14 January 2021).
- Bünger, F. A Taylor Model Toolbox for Solving ODEs Implemented in MATLAB/INTLAB. J. Comput. Appl. Math. 2020, 368, 112511. [Google Scholar] [CrossRef]
- Rauh, A.; Dötschel, T.; Aschemann, H. Experimental Parameter Identification for a Control-Oriented Model of the Thermal Behavior of High-Temperature Fuel Cells. In Proceedings of the IEEE International Conference on Methods and Models in Automation and Robotics (MMAR), Miedzyzdroje, Poland, 22–25 August 2011. [Google Scholar]
- Rauh, A.; Dötschel, T.; Auer, E.; Aschemann, H. Interval Methods for Control-Oriented Modeling of the Thermal Behavior of High-Temperature Fuel Cell Stacks. In Proceedings of the 16th IFAC Symposium on System Identification (SysID 2012), Brussels, Belgium, 11–13 July 2012. [Google Scholar]
- Rauh, A.; Hofer, E.P. Interval Methods for Optimal Control. In Proceedings of the 47th Workshop on Variational Analysis and Aerospace Engineering 2007, School of Mathematics, Erice, Italy, 8–16 September 2007; Frediani, A., Buttazzo, G., Eds.; Springer: Erice, Italy, 2009; pp. 397–418. [Google Scholar]
- Klischat, M.; Althoff, M. A Multi-Step Approach to Accelerate the Computation of Reachable Sets for Road Vehicles. In Proceedings of the IEEE 23rd International Conference on Intelligent Transportation Systems (ITSC), Rhodes, Greece, 20–23 September 2020. [Google Scholar]
- Kochdumper, N.; Althoff, M. Sparse Polynomial Zonotopes: A Novel Set Representation for Reachability Analysis. IEEE Trans. Autom. Control 2020. [Google Scholar] [CrossRef]
- Zhang, W.; Wang, Z.; Shen, Y.; Guo, S.; Zhu, F. Interval Estimation of Actuator Fault by Interval Analysis. IET Control Theory Appl. 2019, 13, 2717–2724. [Google Scholar] [CrossRef]
- Paradowski, T.; Lerch, S.; Damaszek, M.; Dehnert, R.; Tibken, B. Observability of Uncertain Nonlinear Systems Using Interval Analysis. Algorithms 2020, 13, 66. [Google Scholar] [CrossRef]
- Auer, E.; Kiel, S.; Rauh, A. A Verified Method for Solving Piecewise Smooth Initial Value Problems. Int. J. Appl. Math. Comput. Sci. AMCS 2013, 23, 731–747. [Google Scholar] [CrossRef]
- Rauh, A.; Siebert, C.; Aschemann, H. Verified Simulation and Optimization of Dynamic Systems with Friction and Hysteresis. In Proceedings of the ENOC 2011, Rome, Italy, 24–29 July 2011. [Google Scholar]
- Rauh, A.; Kersten, J.; Aschemann, H. Interval-Based Identification of Friction and Hysteresis Models. Reliab. Comput. 2017, 25, 133–147. [Google Scholar]
- Eggers, A.; Ramdani, N.; Nedialkov, N.; Fränzle, M. Improving the SAT Modulo ODE Approach to Hybrid Systems Analysis by Combining Different Enclosure Methods. In Proceedings of the 9th International Conference, (SEFM 2011), Montevideo, Uruguay, 14–18 November 2011; Volume 14, pp. 172–187. [Google Scholar]
- Podlubny, I. Fractional Differential Equations: An Introduction to Fractional Derivatives, Fractional Differential Equations, to Methods of Their Solution and Some of Their Applications; Mathematics in Science and Engineering; Academic Press: London, UK, 1999. [Google Scholar]
- Oustaloup, A. La Dérivation Non Entière: Théorie, Synthèse et Applications; Hermès: Paris, France, 1995. (In French) [Google Scholar]
- Farges, C.; Moze, M.; Sabatier, J. Pseudo-State Feedback Stabilization of Commensurate Fractional Order Systems. In Proceedings of the 2009 European Control Conference (ECC), Budapest, Hungary, 23–26 August 2009; pp. 3395–3400. [Google Scholar]
- Sabatier, J.; Moze, M.; Farges, C. LMI Stability Conditions for Fractional Order Systems. Comput. Math. Appl. 2010, 59, 1594–1609. [Google Scholar] [CrossRef]
- Wang, B.; Liu, Z.; Li, S.; Moura, S.; Peng, H. State-of-Charge Estimation for Lithium-Ion Batteries Based on a Nonlinear Fractional Model. IEEE Trans. Control Syst. Technol. 2017, 25, 3–11. [Google Scholar] [CrossRef]
- Hildebrandt, E.; Kersten, J.; Rauh, A.; Aschemann, H. Robust Interval Observer Design for Fractional-Order Models with Applications to State Estimation of Batteries. In Proceedings of the 21st IFAC World Congress, Berlin, Germany, 12–17 July 2020. [Google Scholar]
- Zou, C.; Zhang, L.; Hu, X.; Wang, Z.; Wik, T.; Pecht, M. A Review of Fractional-Order Techniques Applied to Lithium-Ion Batteries, Lead-Acid Batteries, and Supercapacitors. J. Power Sources 2018, 390, 286–296. [Google Scholar] [CrossRef]
- Delavari, H.; Lanusse, P.; Sabatier, J. Fractional Order Controller Design for A Flexible Link Manipulator Robot. Asian J. Control 2013, 15, 783–795. [Google Scholar] [CrossRef]
- Zhou, B.; Gu, W. Numerical Study of Some Intelligent Robot Systems Governed by the Fractional Differential Equations. IEEE Access 2019, 7, 138548–138555. [Google Scholar] [CrossRef]
- Goodwine, B. Modeling a Multi-Robot System with Fractional-Order Differential Equations. In Proceedings of the 2014 IEEE International Conference on Robotics and Automation (ICRA), Hong Kong, China, 31 May–5 June 2014; pp. 1763–1768. [Google Scholar]
- Kempfle, S.; Schäfer, I.; Beyer, H. Fractional Differential Equations and Viscoelastic Damping. In Proceedings of the 2001 European Control Conference (ECC), Porto, Portugal, 4–7 September 2001; pp. 1738–1743. [Google Scholar]
- Lanusse, P.; Sabatier, J.; Oustaloup, A. Extension of PID to Fractional Orders Controllers: A Frequency-Domain Tutorial Presentation. 19th IFAC World Congress. IFAC Proc. Vol. 2014, 47, 7436–7442. [Google Scholar] [CrossRef]
- Monje, C.A.; Vinagre, B.M.; Feliu, V.; Chen, Y. Tuning and Auto-tuning of Fractional Order Controllers for Industry Applications. Control Eng. Pract. 2008, 16, 798–812. [Google Scholar] [CrossRef]
- Wang, J.; Shao, C.; Chen, Y.Q. Fractional Order Sliding Mode Control via Disturbance Observer for a Class of Fractional Order Systems with Mismatched Disturbance. Mechatronics 2018, 53, 8–19. [Google Scholar] [CrossRef]
- Malti, R.; Victor, S. CRONE Toolbox for System Identification Using Fractional Differentiation Models. In Proceedings of the 17th IFAC Symposium on System Identification SYSID 2015, Beijing, China, 19–21 October 2015; Volume 48, pp. 769–774. [Google Scholar]
- Lazarevic, M.P. Biologically Inspired Control and Modeling of (Bio)Robotic Systems and some Applications of Fractional Calculus in Mechanics. Theor. Appl. Mech. 2013, 40, 163–187. [Google Scholar] [CrossRef]
- Troparevsky, M.; Seminara, S.; Fabio, M. A Review on Fractional Differential Equations and a Numerical Method to Solve Some Boundary Value Problems; InTech Open: London, UK, 2019. [Google Scholar]
- Rauh, A.; Kersten, J. Toward the Development of Iteration Procedures for the Interval-Based Simulation of Fractional-Order Systems. Acta Cybern. 2020. [Google Scholar] [CrossRef]
- Rauh, A.; Kersten, J. Verification and Reachability Analysis of Fractional-Order Differential Equations Using Interval Analysis. In Electronic Proceedings in Theoretical Computer Science, Proceedings of the 6th International Workshop on Symbolic-Numeric Methods for Reasoning About CPS and IoT, Online, 31 August 2020; Dang, T., Ratschan, S., Eds.; Open Publishing Association: Den Haag, The Netherlands, 2021; Volume 331, pp. 18–32. [Google Scholar] [CrossRef]
- Rauh, A.; Westphal, R.; Aschemann, H. Verified Simulation of Control Systems with Interval Parameters Using an Exponential State Enclosure Technique. In Proceedings of the IEEE International Conference on Methods and Models in Automation and Robotics (MMAR), Miedzyzdroje, Poland, 26–29 August 2013. [Google Scholar]
- Rauh, A.; Westphal, R.; Aschemann, H.; Auer, E. Exponential Enclosure Techniques for Initial Value Problems with Multiple Conjugate Complex Eigenvalues. In Scientific Computing, Computer Arithmetic, and Validated Numerics; Nehmeier, M., von Gudenberg, J.W., Tucker, W., Eds.; Springer: Cham, Switzerland, 2016; pp. 247–256. [Google Scholar]
- Haubold, H.; Mathai, A.; Saxena, R. Mittag-Leffler Functions and Their Applications. J. Appl. Math. 2011, 2011, 51. [Google Scholar] [CrossRef]
- Dorjgotov, K.; Ochiai, H.; Zunderiya, U. On Solutions of Linear Fractional Differential Equations and Systems Thereof. arXiv 2018, arXiv:1803.09063. [Google Scholar] [CrossRef]
- Garrappa, R. Numerical Evaluation of Two and Three Parameter Mittag-Leffler Functions. SIAM J. Numer. Anal. 2015, 53, 1350–1369. [Google Scholar] [CrossRef]
- Gorenflo, R.; Loutchko, J.; Luchko, Y. Computation of the Mittag-Leffler Function and its Derivatives. Fract. Calc. Appl. Anal. (FCAA) 2002, 5, 491–518. [Google Scholar]
- Graham, R.L.; Knuth, D.E.; Patashnik, O. Concrete Mathematics: A Foundation for Computer Science, 2nd ed.; Addison-Wesley Longman Publishing Co., Inc.: Reading, MA, USA, 1994. [Google Scholar]
- Arfken, G.B.; Weber, H.J.; Harris, F.E. (Eds.) Mathematical Methods for Physicists, 7th ed.; Academic Press: Boston, MA, USA, 2013. [Google Scholar]
- Amairi, M.; Aoun, M.; Najar, S.; Abdelkrim, M. A Constant Enclosure Method for Validating Existence and Uniqueness of the Solution of an Initial Value Problem for a Fractional Differential Equation. Appl. Math. Comput. 2010, 217, 2162–2168. [Google Scholar] [CrossRef]
- Lyons, R.; Vatsala, A.; Chiquet, R. Picard’s Iterative Method for Caputo Fractional Differential Equations with Numerical Results. Mathematics 2017, 5, 65. [Google Scholar] [CrossRef]
- Jaulin, L.; Kieffer, M.; Didrit, O.; Walter, É. Applied Interval Analysis; Springer: London, UK, 2001. [Google Scholar]
- Mayer, G. Interval Analysis and Automatic Result Verification; De Gruyter Studies in Mathematics; De Gruyter: Berlin, Germany; Boston, MA, USA, 2017. [Google Scholar]
- Moore, R.; Kearfott, R.; Cloud, M. Introduction to Interval Analysis; SIAM: Philadelphia, PA, USA, 2009. [Google Scholar]
- Ghosh, U.; Sarkar, S.; Das, S. Solution of System of Linear Fractional Differential Equations with Modified Derivative of Jumarie Type. Am. J. Math. Anal. 2015, 3, 72–84. [Google Scholar]
- Garrappa, R. The Mittag-Leffler Function. MATLAB Central File Exchange. Available online: https://www.mathworks.com/matlabcentral/fileexchange/48154-the-mittag-leffler-function (accessed on 14 January 2021).
- Garrappa, R. Predictor-Corrector PECE Method for Fractional Differential Equations. MATLAB Central File Exchange. Available online: https://www.mathworks.com/matlabcentral/fileexchange/32918-predictor-corrector-pece-method-for-fractional-differential-equations (accessed on 14 January 2020).
- Rauh, A.; Kersten, J.; Aschemann, H. Techniques for Verified Reachability Analysis of Quasi-Linear Continuous-Time Systems. In Proceedings of the 24th International Conference on Methods and Models in Automation and Robotics, Miedzyzdroje, Poland, 26–29 August 2019. [Google Scholar]
- Rauh, A.; Kersten, J.; Aschemann, H. Interval-Based Verification Techniques for the Analysis of Uncertain Fractional-Order System Models. In Proceedings of the 18th European Control Conference (ECC2020), Saint Petersburg, Russia, 12–15 May 2020. [Google Scholar]
- Alexandre Dit Sandretto, J. Confidence-Based Contractor, Propagation and Potential Clouds for Differential Equations. Acta Cybern. 2021. [Google Scholar] [CrossRef]
- Neumaier, A. Interval Methods for Systems of Equations; Encyclopedia of Mathematics; Cambridge University Press: Cambridge, UK, 1990. [Google Scholar]
- Krawczyk, R. Newton-Algorithmen zur Bestimmung von Nullstellen mit Fehlerschranken. Computing 1969, 4, 189–201. (In German) [Google Scholar] [CrossRef]
- Rump, S. IntLab—INTerval LABoratory. In Developments in Reliable Computing; Csendes, T., Ed.; Kluver Academic Publishers: Amsterdam, The Netherlands, 1999; pp. 77–104. [Google Scholar]
- Demirci, E.; Unal, A.; Ozalp, N. A Fractional Order SEIR Model with Density Dependent Death Rate. Hacet. J. Math. Stat. 2011, 40, 287–295. [Google Scholar]
- Kurzhanskii, A.B.; Vályi, I. Ellipsoidal Calculus for Estimation and Control; Birkhäuser: Boston, MA, USA, 1997. [Google Scholar]
- Neumaier, A. The Wrapping Effect, Ellipsoid Arithmetic, Stability and Confidence Regions. In Validation Numerics: Theory and Applications; Albrecht, R., Alefeld, G., Stetter, H.J., Eds.; Springer: Vienna, Austria, 1993; pp. 175–190. [Google Scholar]
- Bel Haj Frej, G.; Malti, R.; Aoun, M.; Raïssi, T. Fractional Interval Observers and Initialization of Fractional Systems. Commun. Nonlinear Sci. Numer. Simul. 2020, 82, 105030. [Google Scholar] [CrossRef]
- Auer, E.; Rauh, A. VERICOMP: A System to Compare and Assess Verified IVP Solvers. Computing 2012, 94, 163–172. [Google Scholar] [CrossRef]
- Jézéquel, F.; Chesneaux, J.M. CADNA: A Library for Estimating Round-Off Error Propagation. Comput. Phys. Commun. 2008, 178, 933–955. [Google Scholar] [CrossRef]









| Theorem 3 | Theorem 4 | Theorem 5 | ||||
|---|---|---|---|---|---|---|
| Theorem 3 | Theorem 4 | Theorem 5 | ||||
|---|---|---|---|---|---|---|
| Theorem 3 | ||
|---|---|---|
| (a) Theorem 4 | ||
|---|---|---|
| (a) Theorem 5 | ||
Publisher’s Note: MDPI stays neutral with regard to jurisdictional claims in published maps and institutional affiliations. |
© 2021 by the authors. Licensee MDPI, Basel, Switzerland. This article is an open access article distributed under the terms and conditions of the Creative Commons Attribution (CC BY) license (http://creativecommons.org/licenses/by/4.0/).
Share and Cite
Rauh, A.; Jaulin, L. Novel Techniques for a Verified Simulation of Fractional-Order Differential Equations. Fractal Fract. 2021, 5, 17. https://doi.org/10.3390/fractalfract5010017
Rauh A, Jaulin L. Novel Techniques for a Verified Simulation of Fractional-Order Differential Equations. Fractal and Fractional. 2021; 5(1):17. https://doi.org/10.3390/fractalfract5010017
Chicago/Turabian StyleRauh, Andreas, and Luc Jaulin. 2021. "Novel Techniques for a Verified Simulation of Fractional-Order Differential Equations" Fractal and Fractional 5, no. 1: 17. https://doi.org/10.3390/fractalfract5010017
APA StyleRauh, A., & Jaulin, L. (2021). Novel Techniques for a Verified Simulation of Fractional-Order Differential Equations. Fractal and Fractional, 5(1), 17. https://doi.org/10.3390/fractalfract5010017

