Evaluation of Amino Acids Profile as Non-Invasive Biomarkers of Hepatocellular Carcinoma in Egyptians
Abstract
1. Introduction
2. Subjects and Methods
2.1. Study Population
2.2. Eligibility Criteria
- CLD patients with HCV or HBV or co-infection,
- Confirmed HCC patients with viral infection.
- CLD patients due to any causes other than viral infections (such as autoimmune hepatitis, Wilson disease),
- Other liver tumors (such as hepatoblastoma),
- Alcohol intake (considering that alcohol intake is very rare in our country).
2.3. Sample Collection
2.4. Instrument
2.5. Sample Preparation
2.6. Chromatography Conditions and Instrument Parameters
2.7. Instrument Settings
2.8. Statistical Methods
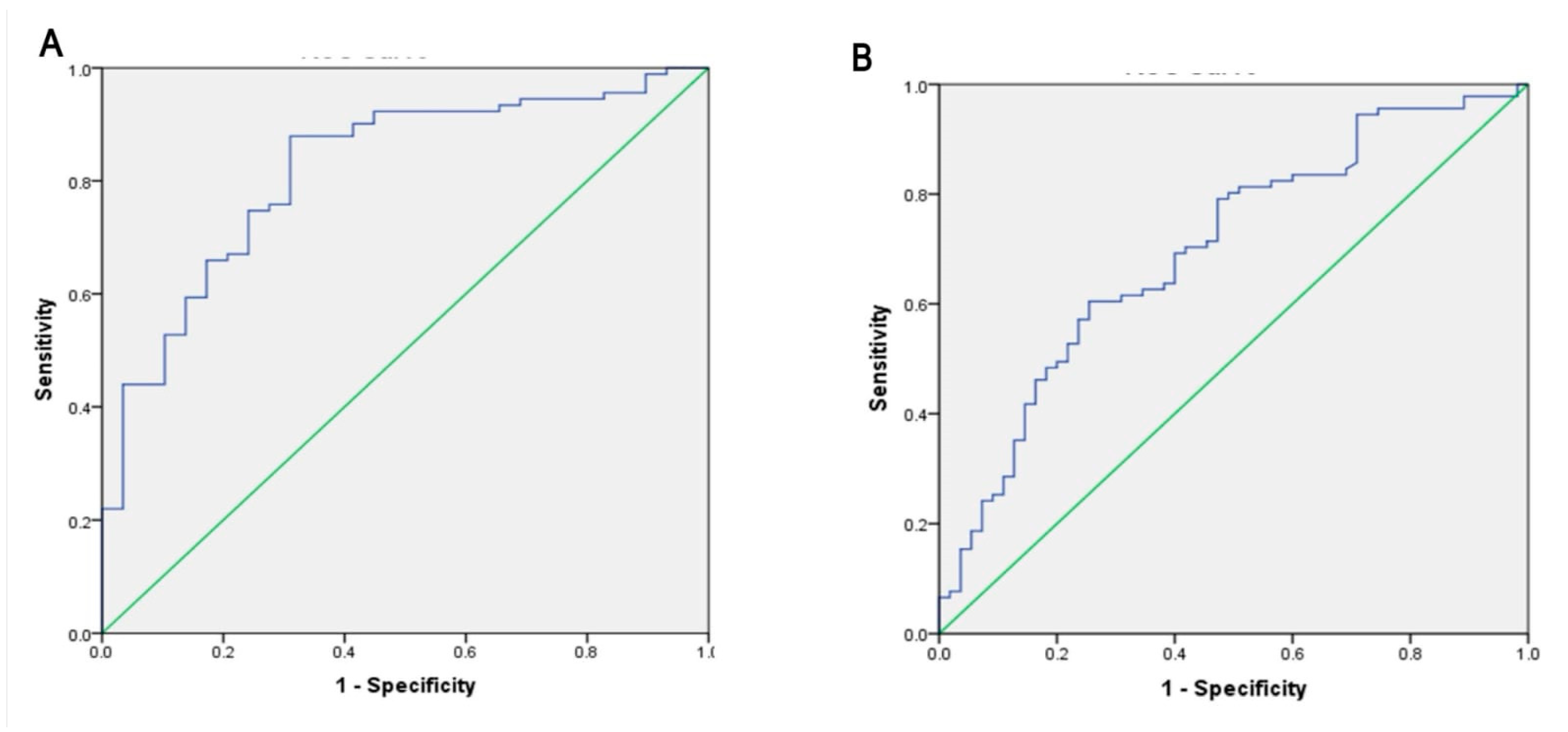
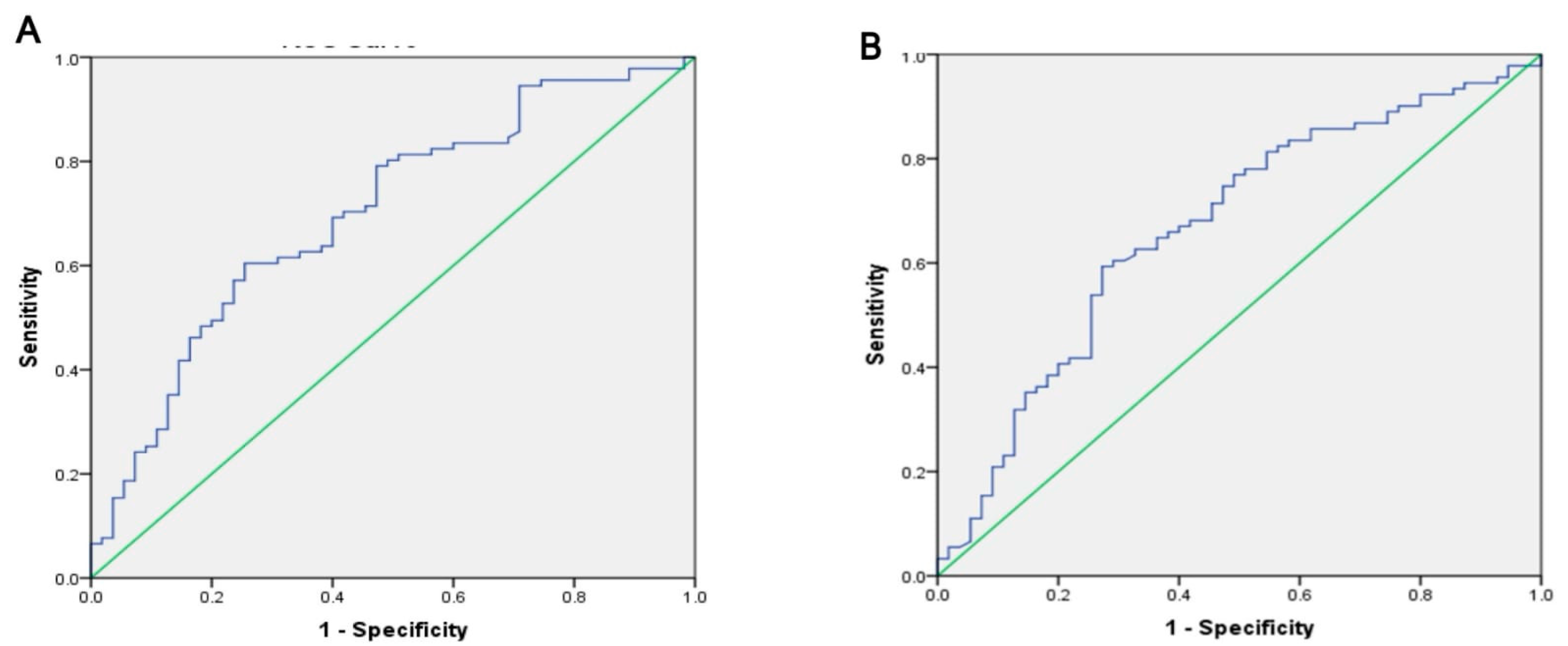
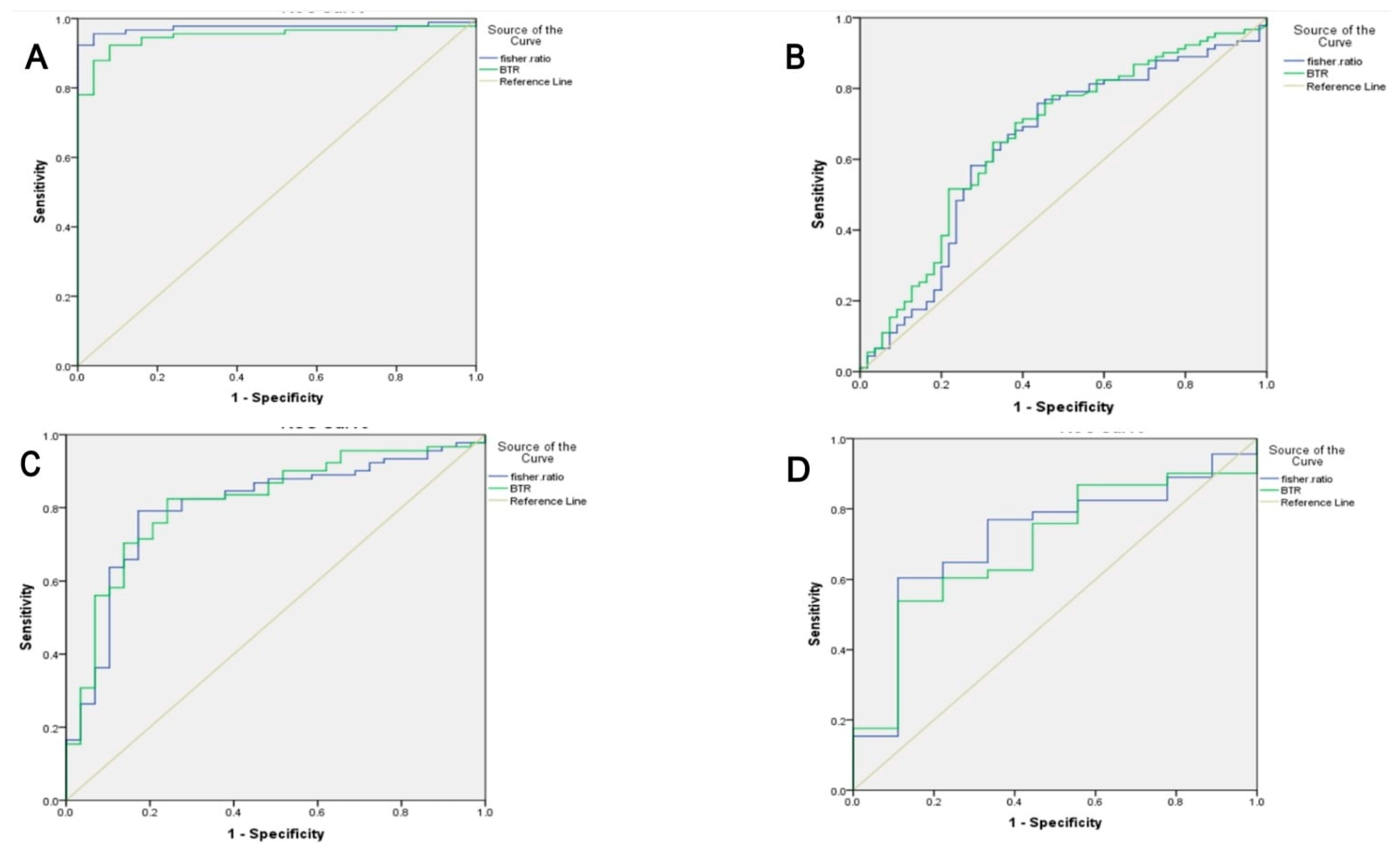
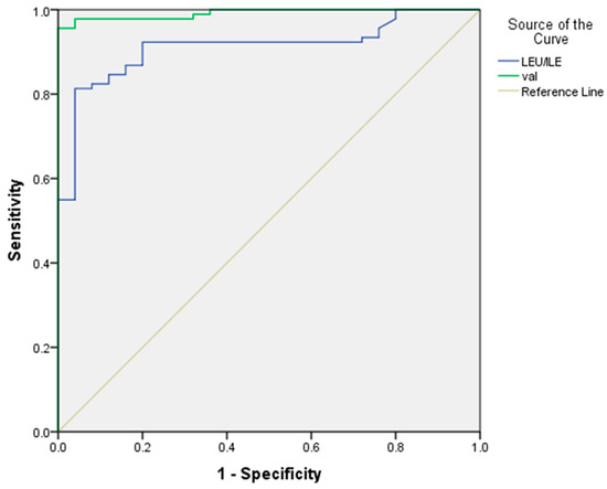
3. Results
3.1. Study Population’s Demographic and Basic Biochemical Data
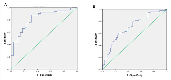
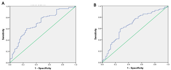
3.2. Comparison of Blood Amino Acids Levels in Study Groups
4. Discussion
4.1. Amino Acids in HBV
4.2. Amino Acids in HCV
5. Conclusions
Author Contributions
Funding
Institutional Review Board Statement
Informed Consent Statement
Data Availability Statement
Acknowledgments
Conflicts of Interest
References
- Chiang, J. Liver Physiology: Metabolism and Detoxification. In Pathobiology of Human Disease, A Dynamic Encyclopedia of Disease Mechanisms; Elsevier: San Diego, CA, USA, 2014; pp. 1770–1782. [Google Scholar]
- Nwosu, Z.C.; Megger, D.A.; Hammad, S. Identification of the consistently altered metabolic targets in human hepatocellular carcinoma. Cell. Mol. Gastroenterol. Hepatol. 2017, 4, 303–323. [Google Scholar] [CrossRef] [PubMed]
- Peng, X.; Chen, Z. Farshidfar F Molecular characterization and clinical relevance of metabolic expression subtypes in human cancers. Cell Rep. 2018, 23, 255–269. [Google Scholar] [CrossRef] [PubMed]
- Rashed, W.M.; Kandeil, M.A.M.; Mahmoud, M.O.; Ezzat, S. Hepatocellular Carcinoma (HCC) in Egypt: A comprehensive overview. J. Egypt. Natl. Cancer Inst. 2020, 32, 5. [Google Scholar] [CrossRef] [PubMed]
- Ferlay, J.; Soerjomataram, I.; Dikshit, R. Cancer incidence and mortality worldwide: Sources, methods and major patterns in GLOBOCAN 2012. Int. J. Cancer 2015, 136, E359–E386. [Google Scholar] [CrossRef] [PubMed]
- Ng, J.; Wu, J. Hepatitis B- and hepatitis C-related hepatocellular carcinomas in the United States: Similarities and differences. Hepat. Mon. 2012, 12, e7635. [Google Scholar] [CrossRef] [PubMed]
- Chen, Y.; Wang, X.; Wang, J.; Yan, Z.; Luo, J. Excess body weight and the risk of primary liver cancer: An updated meta-analysis of prospective studies. Eur. J. Cancer 2012, 48, 2137–2145. [Google Scholar] [CrossRef]
- Schoeman, J.C.; Hou, J.; Harms, A.C.; Vreeken, R.J.; Berger, R.; Hankemeier, T.; Boonstra, A. Metabolic characterization of the natural progression of chronic hepatitis B. Genome Med. 2016, 8, 64. [Google Scholar] [CrossRef] [PubMed]
- Tenen, D.G.; Chai, L.; Tan, J.L. Metabolic alterations and vulnerabilities in hepatocellular carcinoma. Gastroenterol. Rep. 2021, 9, 1–13. [Google Scholar] [CrossRef]
- Hepatitis, B.; Viruses, C. Isaac Thom Shawa. In Hepatitis B and C Chapter; IntechOpen: London, UK, 2019. [Google Scholar] [CrossRef]
- Mittelstrass, K.; Ried, J.S.; Yu, Z.; Krumsiek, J.; Gieger, C.; Prehn, C.; Roemisch-Margl, W.; Polonikov, A.; Peters, A.; Theis, F.J.; et al. Discovery of sexual dimorphisms in metabolic and genetic biomarkers. PLoS Genet. 2011, 7, e1002215. [Google Scholar] [CrossRef]
- McPhail, M.J.; Shawcross, D.L.; Lewis, M.R.; Coltart, I.; Want, E.J.; Antoniades, C.G.; Veselkov, K.; Triantafyllou, E.; Patel, V.; Pop, O.; et al. Multivariate metabotyping of plasma predicts survival in patients with decompensated cirrhosis. J. Hepatol. 2016, 64, 1058–1067. [Google Scholar] [CrossRef]
- Forner, A.; Llovet, J.M.; Bruix, J. Hepatocellular carcinoma. Lancet 2012, 379, 1245–1255. [Google Scholar] [CrossRef] [PubMed]
- Khalil, A.; Elfert, A.; Ghanem, S.; Helal, M.; Abdelsattar, S.; Elgedawy, G.; Obada, M.; Abdel-Samiee, M.; El-Said, H. The role of metabolomics in hepatocellular carcinomas. Egypt. Liver J. 2021, 11, 41. [Google Scholar] [CrossRef]
- Ishikawa, T. Branched-chain amino acids to tyrosine ratio value as a potential prognostic factor for hepatocellular carcinoma. World J. Gastroenterol. 2012, 18, 2005–2008. [Google Scholar] [CrossRef]
- Raouf, A.A.; El-Sebaey, H.M.; Abd El-Hamead, A.K.; El-Fert, A.Y.; El-Gendy, Y. Plasma free amino acid profile changes in hepatocellular carcinoma patients. Menofia Med. J. 2018, 29, 895–903. [Google Scholar]
- Tajiri, K.; Shimizu, Y. Branched-chain amino acids in liver diseases. Transl. Gastroenterol. Hepatol. 2018, 3, 47. [Google Scholar] [CrossRef] [PubMed]
- Yang, J.D.; Hainaut, P.; Gores, G.J.; Amadou, A.; Plymoth, A.; Roberts, L.R. A global view of hepatocellular carcinoma: Trends, risk, prevention and management. Nat. Rev. Gastroenterol. Hepatol. 2019, 16, 589–604. [Google Scholar] [CrossRef]
- Kimhofer, T.; Fye, H.; Taylor-Robinson, S.; Thursz, M.; Holmes, E. Proteomic and metabonomic biomarkers for hepatocellular carcinoma:a comprehensive review. Br. J. Cancer 2015, 112, 1141–1156. [Google Scholar] [CrossRef] [PubMed]
- Fitian, A.I.; Nelson, D.R.; Liu, C.; Xu, Y.; Ararat, M.; Cabrera, R. Integrated metabolomic profiling of hepatocellular carcinoma in hepatitis C cirrhosis through GC/MS and UPLC/MS-MS. Metab. Hepatocell. Carcinoma 2014, 34, 1428–1444. [Google Scholar] [CrossRef]
- Cai, F.F.; Song, Y.N.; Lu, Y.Y.; Zhang, Y.; Hu, Y.Y.; Su, S.B. Analysis of plasma metabolic profile, characteristics and enzymes in the progression from chronic hepatitis B to hepatocellular carcinoma. Aging 2020, 12, 14949. [Google Scholar] [CrossRef]
- Jee, S.H.; Kim, M.; Kim, M.; Yoo, H.J.; Kim, H.; Jung, K.J.; Hong, S.; Lee, J.H. Metabolomics Profiles of Hepatocellular Carcinoma in a Korean Prospective Cohort: The Korean Cancer Prevention Study-II. Cancer Prev. Res. 2018, 11, 303–312. [Google Scholar] [CrossRef] [PubMed]
- Gao, H.; Lu, Q.; Liu, X.; Cong, H.; Zhao, L.; Wang, H.; Lin, D. Application of 1H NMR-based metabonomics in the study of metabolic profiling of human hepatocellular carcinoma and liver cirrhosis. Cancer Sci. 2009, 100, 782–785. [Google Scholar] [CrossRef] [PubMed]
- Jain, M.; Nilsson, R.; Sharma, S.; Madhusudhan, N.; Kitami, T.; Souza, A.L.; Kafri, R.; Kirschner, M.W.; Clish, C.B.; Mootha, V.K. Metabolite profiling identifies a key role for glycine in rapid cancer cell proliferation. Science 2012, 336, 1040–1044. [Google Scholar] [CrossRef] [PubMed]
- Amelio, I.; Cutruzzolá, F.; Antonov, A.; Agostini, M.; Melino, G. Serine and glycine metabolism in cancer. Trends Biochem. Sci. 2014, 39, 191–198. [Google Scholar] [CrossRef]
- Nilsson, A.; Haanstra, J.R.; Engqvist, M.; Gerding, A.; Bakker, B.M.; Klingmüller, U.; Teusink, B.; Nielsen, J. Quantitative analysis of amino acid metabolism in liver cancer links glutamate excretion to nucleotide synthesis. Proc. Natl. Acad. Sci. USA 2020, 117, 10294–10304. [Google Scholar] [CrossRef] [PubMed]
- Fitian, A.; Cabrera, R. Disease monitoring of hepatocellular carcinoma through metabolomics. World J. Hepatol. 2017, 9, 1–17. [Google Scholar] [CrossRef] [PubMed]
- Fages, A.; Duarte-Salles, T.; Stepien, M.; Ferrari, P.; Fedirko, V.; Pontoizeau, C.; Trichopoulou, A.; Aleksandrova, K.; Tjønneland, A.; Olsen, A.; et al. Metabolomic profiles of hepatocellular carcinoma in a European prospective cohort. BMC Med. 2015, 13, 242. [Google Scholar] [CrossRef] [PubMed]
- Lee, J.-C.; Chen, M.-J.; Chang, C.-H.; Tiai, Y.-F.; Lin, P.-W.; Lai, H.-S.; Wang, S.-T. Plasma amino acid levels in patients with colorectal cancers and liver cirrhosis with hepatocellular carcinoma. Hepato-gastroenterology 2003, 50, 1269–1273. [Google Scholar]
- Zhang, Y.; Ding, N.; Cao, Y.; Zhu, Z.; Gao, P. Differential diagnosis between hepatocellular carcinoma and cirrhosis by serum amino acids and acylcarnitines. Int. J. Clin. Exp. Pathol. 2018, 11, 1763–1769. [Google Scholar]
- Chen, T.; Xie, G.; Wang, X.; Fan, J.; Qiu, Y.; Zheng, X.; Qi, X.; Cao, Y.; Su, M.; Wang, X.; et al. Serum and urine metabolite profiling reveals potential biomarkers of human hepatocellular carcinoma. Mol. Cell. Proteom. 2011, 10, M110.004945. [Google Scholar]
- Yue, D.; Zhang, Y.; Cheng, L.; Ma, J.; Xi, Y.; Yang, L.; Su, C.; Shao, B.; Huang, A.; Xiang, R.; et al. Hepatitis B virus X protein (HBx)- induced abnormalities of nucleic acid metabolism revealed by 1H-NMR-based metabonomics. Sci. Rep. 2016, 6, 24430. [Google Scholar]
- Wu, T.; Zheng, X.; Yang, M.; Zhao, A.; Xiang, H.; Chen, T.; Jia, W.; Ji, G. Serum Amino Acid Profiles Predict the Development of Hepatocellular Carcinoma in Patients with Chronic HBV Infection. ACS Omega 2022, 7, 15795–15808. [Google Scholar] [CrossRef] [PubMed]
- Roe, B.; Kensicki, E.; Mohney, R.; Hall, W.W. Metabolomic Profile of Hepatitis C Virus-Infected Hepatocytes. PLoS ONE 2011, 6, e23641. [Google Scholar] [CrossRef] [PubMed]
- Sugiyama, K.; Ebinuma, H.; Nakamoto, N.; Sakasegawa, N.; Murakami, Y.; Chu, P.-S.; Usui, S.; Ishibashi, Y.; Wakayama, Y.; Taniki, N.; et al. Prominent steatosis with hypermetabolism of the cell line permissive for years of infection with hepatitis C virus. PLoS ONE 2014, 9, e94460. [Google Scholar] [CrossRef]
- Li, Z.; Wang, F.; Liang, B.; Su, Y.; Sun, S.; Xia, S.; Shao, J.; Zhang, Z.; Hong, M.; Zhang, F.; et al. Methionine metabolism in chronic liver diseases: An update on molecular mechanism and therapeutic implication. Signal Transduct. Target. Ther. 2020, 5, 280. [Google Scholar] [CrossRef] [PubMed]
- Wei, S.; Suryani, Y.; Gowda, G.N.; Skill, N.; Maluccio, M.; Raftery, D. Differentiating Hepatocellular Carcinoma from Hepatitis C Using Metabolite Profiling. Metabolites 2012, 2, 701–716. [Google Scholar] [CrossRef]
- Gaggini, M.; Carli, F.; Rosso, C.; Younes, R.; D’Aurizio, R.; Bugianesi, E.; Gastaldelli, A. Altered Metabolic Profile and Adipocyte Insulin Resistance Mark Severe Liver Fibrosis in Patients with Chronic Liver Disease Melania. Int. J. Mol. Sci. 2019, 20, 6333. [Google Scholar] [CrossRef]
- Newgard, C. Interplay between lipids and branched-chain amino acids in development of insulin resistance. Cell Metab. 2012, 15, 606–614. [Google Scholar] [CrossRef]
- Tada, T.; Kumada, T.; Toyoda, H.; Kiriyama, S.; Tanikawa, M.; Hisanaga, Y.; Kanamori, A.; Kitabatake, S.; Yama, T. Impact of the branched-chain amino acid to tyrosine ratio and branched-chain amino acid granule therapy in patients with hepatocellular carcinoma: A propensity score analysis. J. Gastroenterol. Hepatol. 2015, 30, 1412–1419. [Google Scholar] [CrossRef]
- Michitaka, K.; Hiraoka, A.; Kume, M.; Uehara, T.; Hidaka, S.; Ninomiya, T.; Hasebe, A.; Miyamoto, Y.; Ichiryu, M.; Tanihira, T.; et al. Amino acid imbalance in patients with chronic liver diseases. Hepatol. Res. 2010, 40, 393–398. [Google Scholar] [CrossRef] [PubMed]
- Ressom, H.W.; Xiao, J.F.; Tuli, L.; Varghese, R.S.; Zhou, B.; Tsai, T.-H.; Ranjbar, M.R.N.; Zhao, Y.; Wang, J.; Di Poto, C.; et al. Utilization of metabolomics to identify serum biomarkers for hepatocellular carcinoma in patients with liver cirrhosis. Anal. Chim. Acta 2012, 743, 90–100. [Google Scholar] [CrossRef] [PubMed]
- Adeva, M.M.; Calvino, J.; Souto, G.; Donapetry, C. Insulin resistance and the metabolism of branched chain amino acids in humans. Amino Acids 2012, 43, 171–181. [Google Scholar] [CrossRef] [PubMed]





| Controls (n = 50) | HCC (n = 97) | HBV (n = 56) | HCV (n = 81) | Coinfection (n = 18) | p Value | Post Hoc Test | |
|---|---|---|---|---|---|---|---|
| Age Mean ± SD | 57.62 ± 6.05 | 59.44 ± 7.6 | 57.05 ± 6.04 | 58.06 ± 7.85 | 56.78 ± 4.6 | 0.23 | |
| Gender Male Female | 45(90.0%) 5 (10.0%) | 83 (85.6%) 14 (14.4%) | 48 ( 85.7%) 8(14.3%) | 69 (85.2) 12 (14.8%) | 16 (88.9%) 2 (11.1%) | 0.93 | |
| HB (g/dl) | 12.25 (11.8–12.9) | 13.6 (12.5–14.8) | 12.0 (11.42–13.2) | 12.0 (11.9–13.2) | 12.0 (11.9–13.2) | <0.001 | P1 = 0.001, P2 = 0.99, P3 = <0.001, P4 = 0.99, P5 = 0.001, P6 = 0.21, P7 = 0.13, P8 = <0.001, P9 = 1.0, P10 = 0.003. |
| WBCs (109/L) | 4.0 (3.8–4.2) | 5.4 (4.4–7.0) | 6.0 (4.72–7.0) | 6.2 (4.75–7.35) | 6.2 (4.75–7.35) | <0.001 | P1 = <0.001, P2 = <0.001, P3 = <0.001, P4 = 0.002, P5 = 0.98, P6 = <0.001, P7 = 0.99, P8 = 0.006, P9 = 1.00, P10 = 0.33. |
| Platelets (109/L) | 378.0 (340–401) | 142.0 (102.5–171.0) | 209.5 (184.0–248.7) | 204.0 (147.5–223.7) | 204.0 (147.5–223.7) | <0.001 | P1 = <0.001, P2 = <0.001, P3 = <0.001, P4 = <0.001, P5 = <0.001, P6 = <0.001, P7 = 0.05, P8 = 0.60, P9 = 0.89, P10 = 0.17. |
| ALT (IU/L) | 25.0 (18.0–30.0) | 52.0 (42.0–64.0) | 39.5 (20.5–64.0) | 56.0(37.7–62.0) | 56.0 (37.7–62.0) | <0.001 | P1 = <0.001, P2 = 0.06, P3 = <0.001, P4 = 0.001, P5 = 1.0, P6 = 0.79, P7 = 0.61, P8 = 0.99, P9 = 0.99, P10 = 1.0. |
| AST (IU/L) | 25.0 (22.0–28.2) | 56.0 (44.5–71.0) | 35.0 (24.0–57.75) | 57.0 (40.7–67.0) | 57.0 (40.7–67.0) | <0.001 | P1 = <0.001, P2 = 0.008, P3 = <0.001, P4 = <0.001, P5 = 0.26, P6 = 0.01, P7 = 0.72, P8 = 1.0, P9 = 0.99, P10 = 0.95. |
| Albumin (g/dL) | 4.10 (4.20–4.42) | 3.7 (3.05–4.0) | 4.1 (4.0–4.3) | 4.0 (3.9–4.15) | 4.0 (3.9–4.15) | <0.001 | P1 = <0.001, P2 = 0.57, P3 = 0.95, P4 = 0.33, P5 = <0.001, P6 = <0.001, P7 = 0.001, P8 = 0.99, P9 = 0.98, P10 = 0.74, |
| Bilirubin total (mg/dl) | 0.80 (0.65–0.82) | 0.90 (0.69–1.2) | 0.8 (0.63–1.0) | 0.75 (0.70–0.82) | 0.75 (0.70–0.82) | <0.001 | P1 = <0.001, P2 = 0.37, P3 = 0.008, P4 = 0.69, P5 = 0.81, P6 = <0.001, P7 = 0.29, P8 = 0.008, P9 = 1.0, P10 = 0.02, |
| Bilirubin D (mg/dl) | 0.20 (0.20–0.30) | 0.34 (0.20–0.60) | 0.30 (0.28–0.60) | 0.35 (0.30–0.55) | 0.35 (0.30–0.55) | <0.001 | P1 = <0.001, P2 = 0.005, P3 = 1.0, P4 = 0.005, P5 = 1.0, P6 = <0.001, P7 = 1.0, P8 = 0.004, P9 = 0.99, P10 = 0.004, |
| PT (minutes) | 91.0 (89.0–93.0) | 82.0 (73.0–88.5) | 83.5 (79.2–90.0) | 84.0 (77.5–90.5) | 84.0 (77.5–90.5) | <0.001 | P1 = <0.001, P2 = <0.001, P3 = 1.0, P4 = 0.01, P5 = 0.80, P6 = <0.001, P7 = 0.99, P8 = <0.001, P9 = 1.0, P10 = 0.007, |
| INR | 2.9 (2.8–3.1) | 1.14 (1.10–1.26) | 1.2 (1.1–1.2) | 1.16 (1.09–1.22) | 1.16 (1.09–1.22) | <0.001 | P1 = <0.001, P2 = <0.001, P3 = <0.001, P4 = <0.001, P5 = 0.99, P6 = <0.001, P7 = 1.0, P8 = <0.001, P9 = 1.0, P10 = 0.01, |
| Creatinine (mg/dL) | 0.9 (0.8–0.9) | 0.90 (0.79–1.0) | 0.8 (0.70–0.90) | 0.72 (0.61–0.82) | 0.80 (0.70–0.86) | <0.001 | P1 = 0.29, P2 = 0.25, P3 = <0.001, P4 = 0.98, P5 = 0.01, P6 = <0.001, P7 = 0.45, P8 = 0.12, P9 = 1.0, P10 = 0.48, |
| AFP (ng/mL) | 1.10 (0.80–1.55) | 75.95 (11.24–272.5) | 3.3 (2.7–5.0) | 3.0 (2.1–6.05) | 3.1 (2.75–6.74) | <0.001 | P1 = 0.27, P2 = <0.001, P3 = 0.03, P4 = 0.001, P5 = 0.03, P6 = 0.02, P7 = 0.16, P8 = 0.98, P9 = 1.0, P10 = 0.99 |
| Studied variables | ALT (IU/L) | AST (IU/L) | Albumin (g/dL) | Bilirubin T (mg/dl) | Bilirubin D (mg/dl) | PT% | INR | Creatinine (mg/dl) | AFP (ng/mL) | Child Score |
|---|---|---|---|---|---|---|---|---|---|---|
| Aspartate (μmol/L) | *−0.167 | *−0.171 | 0.068 | −0.083 | −0.094 | 0.079 | *0.283 | 0.009 | *−0.206 | *−0.563 |
| ctr: phe | *−0.142 | *−0.175 | 0.048 | 0.037 | −0.005 | 0.101 | *0.335 | *0.156 | *−0.221 | *−0.510 |
| Citrulline (μmol/L) | 0.127 | *0.210 | −0.115 | 0.076 | *0.135 | −0.110 | *−0.286 | 0.092 | *0.277 | *0.430 |
| Glutamate (μmol/L) | −0.079 | −0.018 | 0.039 | −0.019 | −0.016 | 0.101 | *0.201 | 0.010 | −0.104 | *−0.304 |
| Glycine (μmol/L) | *−0.209 | *−0.144 | 0.027 | 0.002 | 0.022 | −0.043 | *0.189 | 0.018 | −0.122 | *−0.180 |
| Gly/ALA | 0.041 | 0.049 | *−0.137 | 0.027 | −0.060 | *−0.131 | −0.106 | −0.055 | *0.166 | *0.292 |
| LEU/ILE | *−0.267 | *−0.301 | *0.362 | *−0.151 | *−0.157 | *0.239 | *0.309 | 0.024 | *−0.401 | *−0.681 |
| LUE/ALA | 0.027 | −0.032 | *0.147 | *−0.144 | −0.107 | 0.081 | −0.123 | −0.057 | −0.030 | −0.060 |
| LUE/PHE | *−0.175 | *−0.213 | *0.319 | *−0.188 | −0.114 | *0.258 | −0.064 | −0.099 | *−0.232 | *−0.317 |
| Methionine (μmol/L) | −0.089 | −0.100 | −0.034 | 0.127 | 0.001 | −0.038 | *0.520 | *0.241 | *−0.161 | *−0.495 |
| met:ph | −0.129 | *−0.154 | −0.006 | 0.085 | −0.057 | 0.016 | *0.514 | *0.231 | *−0.196 | *−0.620 |
| ornithine | −0.079 | −0.050 | 0.036 | −0.038 | −0.054 | 0.036 | *0.197 | 0.057 | *−0.148 | *−0.254 |
| Proline (μmol/L) | *−0.162 | *−0.178 | *0.179 | −0.048 | *−0.177 | 0.054 | *0.263 | 0.067 | *−0.274 | *−0.444 |
| phenylalanine(μmol/L) | *0.176 | *0.275 | *−0.136 | 0.116 | 0.121 | *−0.201 | *−0.224 | −0.040 | *0.310 | *0.403 |
| ph:tyr | *−0.175 | *−0.182 | *0.152 | *−0.153 | −0.093 | *0.171 | −0.124 | −0.037 | *−0.226 | *−0.201 |
| Tyrosine (μmol/L) | *0.243 | *0.295 | *−0.212 | *0.181 | *0.147 | *−0.267 | −0.022 | 0.035 | *0.338 | *0.354 |
| Valine (μmol/L) | *−0.191 | *−0.216 | *0.171 | −0.036 | −0.073 | *0.161 | *0.378 | 0.040 | *−0.299 | *−0.786 |
| alanine (μmol/L) | *−0.163 | −0.103 | 0.059 | *0.114 | 0.066 | 0.013 | *0.367 | 0.074 | *−0.196 | *−0.524 |
| arginine (μmol/L) | *−0.145 | −0.107 | 0.053 | 0.042 | −0.008 | 0.030 | *0.426 | 0.086 | *−0.277 | *−0.657 |
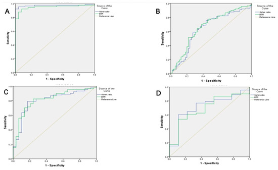
| Fischer‘s ratio | *−0.421 | *−0.497 | *0.422 | *−0.229 | *−0.241 | *0.399 | *0.331 | 0.010 | *−0.610 | *−0.749 |
| BTR | *−0.423 | *−0.480 | *0.407 | *−0.250 | *−0.244 | *0.393 | *0.268 | −0.017 | *−0.583 | *−0.711 |
| Controls (n = 50) | HCC (n = 97) | HBV (n = 56) | HCV (n = 81) | Coinfection (n = 18) | p Value | Post Hoc Test | |
|---|---|---|---|---|---|---|---|
| ASP | 52.1 (40.4–56.2) | 109.0 (58.5–164.5) | 64.9 (0.0–136.75) | 121.0 (0.0–200.5) | 160.0 (97.92–226.25) | <0.001 | P1 = <0.001, P2 = 0.40, P3 = <0.001, P4 = 0.001, P5 = 0.005, P6 = 1.00, P7 = 0.67, P8 = 0.06, P9 = 0.01, P10 = 0.51 |
| Cit. phe | 0.35 (0.28–0.43) | 0.30 (0.21–0.40) | 0.18 (0.0–0.36) | 0.24 (0.0–0.36) | 0.30 (0.28–0.33) | <0.001 | P1 = 0.15, P2 = <0.001, P3 = <0.001, P4 = 0.57, P5 = <0.001, P6 = 0.01, P7 = 1.00, P8 = 0.88, P9 = 0.001, P10 = 0.02 |
| Citruline | 18.2 (14.15–24.7) | 30.6 (22.9–36.8) | 27.9 (20.5–35.13) | 31.6 (25.33–39.0) | 27.6 (22.3–37.6) | <0.001 | P1 = <0.001, P2 = 0.002, P3 = <0.001, P4 = 0.01, P5 = 0.99, P6 = 0.80, P7 = 0.99, P8 = 0.53, P9 = 0.96, P10 = 1.0 |
| Glu | 95.7 (76.97–126.7) | 180.0 (135.5–242.5) | 110.5 (0.0–170.2) | 194.0 (0.0–288.5) | 194.0 (171.7–224.25) | <0.001 | P1 = <0.001, P2 = 0.99, P3 = <0.001, P4 = <0.001, P5 = <0.001, P6 = 0.93, P7 = 0.98, P8 = 0.001, P9 = <0.001, P10 = 0.59 |
| Gly | 97.7 (76.02–125.0) | 175.0 (150.0–203.0) | 166.0 (154.0–195.0) | 174.0 (155.0–210.0) | 180.0 (143.0–203.5) | <0.001 | P1 = <0.001, P2 = <0.001, P3 = <0.001, P4 = <0.001, P5 = 1.0, P6 = 1.0, P7 = 0.99, P8 = 1.0, P9 = 1.0, P10 = 0.99 |
| Gly/ALA | 0.59 (0.54–0.73) | 0.95 (0.80–1.09) | 0.98 (0.81–1.18) | 0.96 (0.83–1.13) | 0.80 (0.71–0.93) | <0.001 | P1 = <0.001, P2 = <0.001, P3 = <0.001, P4 = 0.01, P5 = 0.99, P6 = 1.0, P7 = 0.04, P8 = 1.0, P9 = 0.05, P10 = 0.03 |
| Leu. Ile | 187.4 (175.15–198.9) | 121.0 (93.0–140.0) | 119.0 (101.0–145.0) | 127.0 (108.0–151.0) | 140.0 (130.7–153.5) | <0.001 | P1 = <0.001, P2 = <0.001, P3 = <0.001, P4 = <0.001, P5 = 1.0, P6 = 0.74, P7 = 0.04, P8 = 0.99, P9 = 0.32, P10 = 0.55 |
| LUE/ALA | 0.36 (0.28–0.40) | 0.42 (0.38–0.50) | 0.46 (0.42–0.54) | 0.47 (0.40–0.55) | 0.50 (0.43–0.54) | <0.001 | P1 = 0.82, P2 = <0.001, P3 = 0.96, P4 = <0.001, P5 = 0.87, P6 = 1.0, P7 = 0.87, P8 = 0.97, P9 = 1.0, P10 = 0.98 |
| LUE/PHE | 1.56 (1.43–1.82) | 1.40 (1.15–1.68) | 1.84 (1.51–2.07) | 1.58 (1.29–1.81) | 1.68 (1.58–1.79) | <0.001 | P1 = 0.02, P2 = 0.36, P3 = 0.98, P4 = 0.99, P5 = 0.001, P6 = 0.96, P7 = 0.13, P8 = 0.99, P9 = 0.99, P10 = 0.99 |
| Met | 5.15 (4.4–6.3) | 9.09 (6.73–11.9) | 5.18 (4.26–6.81) | 2.91 (4.4–7.09) | 5.65 (5.1–7.6) | <0.001 | P1 = <0.001, P2 = 0.99, P3 = 0.99, P4 = 0.67, P5 = <0.001, P6 = <0.001, P7 = 0.001, P8 = 1.0, P9 = 0.98, P10 = 0.99 |
| Met/Phe | 0.11 (0.09–0.13) | 0.17 (0.12–0.22) | 0.11 (0.09–0.14) | 0.07 (0.05–0.12) | 0.11 (0.09–0.12) | <0.001 | P1 = 0.95, P2 = 0.97, P3 = 0.49, P4 = 0.96, P5 = 0.99, P6 = 0.04, P7 = 0.95, P8 = 0.96, P9 = 0.97, P10 = 0.99 |
| Orn | 100.0 (82.82–112.25) | 119.0 (89.5–149.0) | 87.4 (78.4–105.0) | 122.0 (109.0–137.0) | 128.0 (79.7–148.5) | <0.001 | P1 = <0.001, P2 = 1.0, P3 = <0.001, P4 = 0.48, P5 = 0.01, P6 = 1.0, P7 = 0.99, P8 = 0.006, P9 = 0.69, P10 = 0.98 |
| Proline | 90.4 (66.85–107.25) | 114.0 (91.9–136.0) | 82.8 (103.0–29.5) | 120.0 (96.5–151.0) | 114.0 (96.8–138.5) | <0.001 | P1 = <0.001, P2 = 0.20, P3 = <0.001, P4 = 0.04, P5 = 0.63, P6 = 0.98, P7 = 1.0, P8 = 0.21, P9 = 0.97, P10 = 0.98 |
| Phe | 49.4 (41.05–50.9) | 59.8 (48.5–75.70) | 46.4 (42.65–58.97) | 60.7 (52.5–71.2) | 60.4 (52.2–72.1) | <0.001 | P1 = <0.001, P2 = 0.73, P3 = <0.001, P4 = 0.009, P5 = 0.007, P6 = 0.98, P7 = 1.0, P8 = 0.004, P9 = 0.12, P10 = 1.0 |
| Ph/tyr | 0.84 (0.8–1.02) | 0.79 (0.69–0.94) | 1.0 (0.86–1.23) | 0.97 (0.81–1.23) | 0.90 (0.81–1.19) | <0.001 | P1 = 0.38, P2 = 0.19, P3 = 0.31, P4 = 0.99, P5 = 0.01, P6 = 0.004, P7 = 0.24, P8 = 0.99, P9 = 0.74, P10 = 0.97 |
| Tyrosine | 57.0 (51.57–63.25) | 74.0 (58.0–101.0) | 46.5(38.2–59.2) | 66.3 (52.2–81.2) | 58.0 (46.17- 90.8) | <0.001 | P1 = 0.03, P2 = 0.48, P3 = 0.02, P4 = 0.40, P5 = 0.004, P6 = 0.56, P7 = 0.911, P8 = 0.002, P9 = 0.08, P10 = 1.0 |
| Valine | 168.1 (157.1–173.2) | 86.0 (67.5–108.0) | 58.5 (0.0–99.6) | 85.9 (0.0–106.5) | 95.9 (85.3–101.2) | <0.001 | P1 = <0.001, P2 = <0.001, P3 = <0.001, P4 = <0.001, P5 = <0.001, P6 = 0.09, P7 = 0.18, P8 = 0.49, P9 = <0.001, P10 = 0.001 |
| Alanine | 197.0 (168.7–229.0) | 184.0 (148.0–211.5) | 128.0 (0.0–181.0) | 166.0 (0.0–201.0) | 204.0 (189.7–233.0) | <0.001 | P1 = 0.23, P2 = <0.001, P3 = <0.001, P4 = 1.0, P5 = <0.001, P6 = 0.001, P7 = 0.11, P8 = 0.36, P9 = <0.001, P10 = <0.001 |
| Arg | 5.67 (3.17–8.14) | 10.2 (6.62–15.4) | 1.53 (0.0–8.54) | 6.1 (0.0–14.57) | 10.6 (7.65–19.5) | <0.001 | P1 = <0.001, P2 = 1.0, P3 = 0.08, P4 = 0.02, P5 = 0.002, P6 = 0.25, P7 = 0.85, P8 = 0.60, P9 = 0.03, P10 = 0.24 |
| Fisher ratio | 3.53 (3.07–3.82) | 1.51 (1.26–1.85) | 2.29 (1.96–2.64) | 1.51 (1.91–2.31) | 1.92 (1.70–2.23) | <0.001 | P1 = <0.001, P2 = <0.001, P3 = <0.001, P4 = <0.001, P5 = <0.001, P6 = 0.33, P7 = 0.21, P8 = 0.02, P9 = 0.38, P10 = 0.99 |
| BTR | 6.11 (5.74–7.19) | 2.66 (2.02–3.50) | 4.74 (3.81–5.77) | 3.69 (2.83–5.20) | 3.51 (3.09–4.96) | <0.001 | P1 = <0.001, P2 = <0.001, P3 = <0.001, P4 = <0.001, P5 = 1.0, P6 = 0.99, P7 = 0.99, P8 = 0.07, P9 = 0.19, P10 = 1.0 |
Publisher’s Note: MDPI stays neutral with regard to jurisdictional claims in published maps and institutional affiliations. |
© 2022 by the authors. Licensee MDPI, Basel, Switzerland. This article is an open access article distributed under the terms and conditions of the Creative Commons Attribution (CC BY) license (https://creativecommons.org/licenses/by/4.0/).
Share and Cite
Ghanem, S.E.; Abdel-Samiee, M.; El-Said, H.; Youssef, M.I.; ElZohry, H.A.; Abdelsameea, E.; Moaz, I.; Abdelwahab, S.F.; Elaskary, S.A.; Zaher, E.M.; et al. Evaluation of Amino Acids Profile as Non-Invasive Biomarkers of Hepatocellular Carcinoma in Egyptians. Trop. Med. Infect. Dis. 2022, 7, 437. https://doi.org/10.3390/tropicalmed7120437
Ghanem SE, Abdel-Samiee M, El-Said H, Youssef MI, ElZohry HA, Abdelsameea E, Moaz I, Abdelwahab SF, Elaskary SA, Zaher EM, et al. Evaluation of Amino Acids Profile as Non-Invasive Biomarkers of Hepatocellular Carcinoma in Egyptians. Tropical Medicine and Infectious Disease. 2022; 7(12):437. https://doi.org/10.3390/tropicalmed7120437
Chicago/Turabian StyleGhanem, Samar Ebrahim, Mohamed Abdel-Samiee, Hala El-Said, Mohamed I. Youssef, Hassan Ahmed ElZohry, Eman Abdelsameea, Inas Moaz, Sayed F. Abdelwahab, Shymaa A. Elaskary, Eman Mohammed Zaher, and et al. 2022. "Evaluation of Amino Acids Profile as Non-Invasive Biomarkers of Hepatocellular Carcinoma in Egyptians" Tropical Medicine and Infectious Disease 7, no. 12: 437. https://doi.org/10.3390/tropicalmed7120437
APA StyleGhanem, S. E., Abdel-Samiee, M., El-Said, H., Youssef, M. I., ElZohry, H. A., Abdelsameea, E., Moaz, I., Abdelwahab, S. F., Elaskary, S. A., Zaher, E. M., & Helal, M. L. (2022). Evaluation of Amino Acids Profile as Non-Invasive Biomarkers of Hepatocellular Carcinoma in Egyptians. Tropical Medicine and Infectious Disease, 7(12), 437. https://doi.org/10.3390/tropicalmed7120437

