Total Suspended Particulate Matter (TSP)-Bound Carbonaceous Components in a Roadside Area in Eastern Indonesia
Abstract
1. Introduction
2. Methodology
2.1. Study Area
2.2. Sampling Times and Procedures
2.3. Carbon Analyses
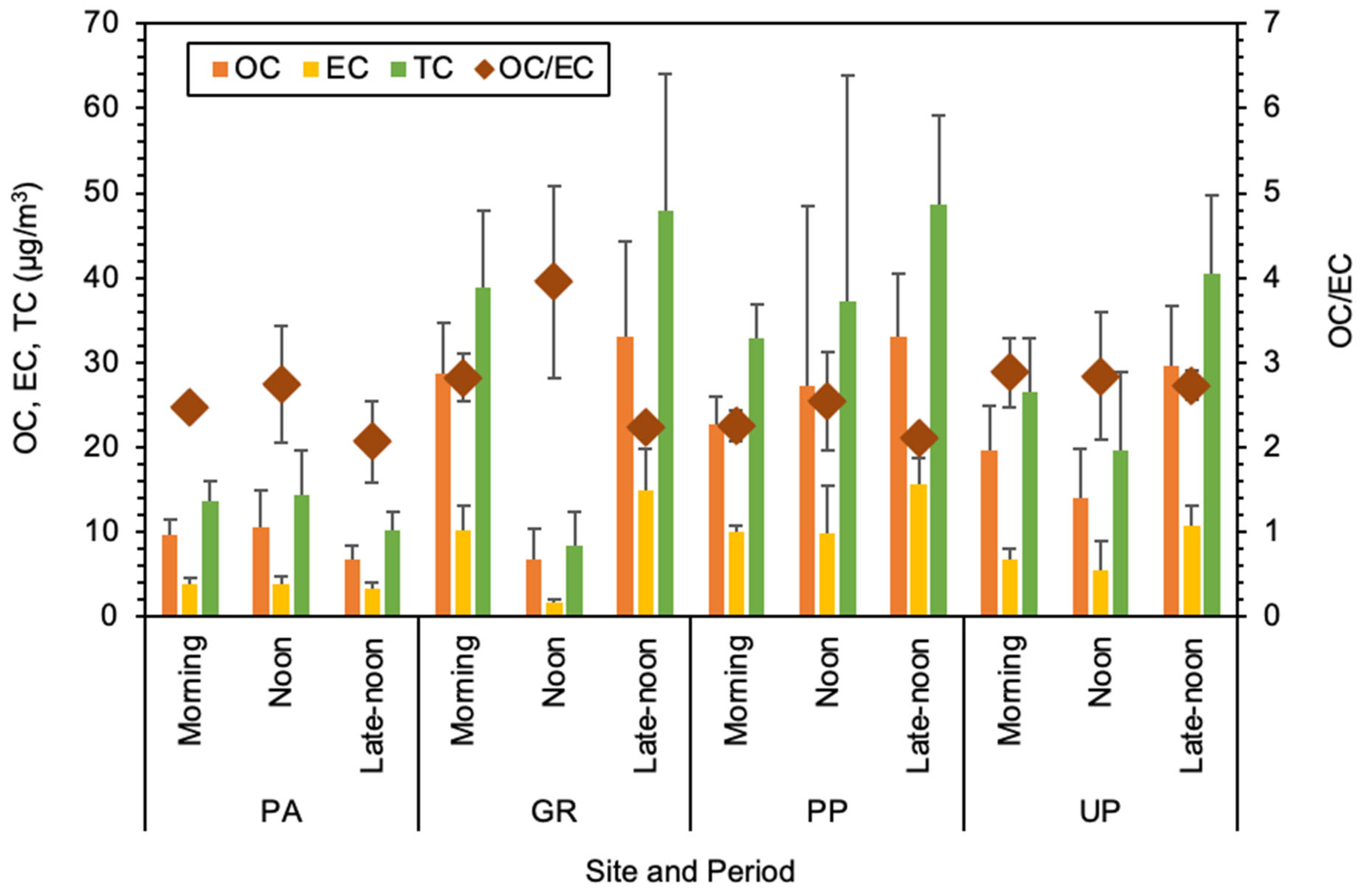
3. Results and Discussion
3.1. Hourly Variability of TSP
3.2. Carbonaceous Fraction in TSP and Their Relation to Emission Sources
3.3. Influence of Exhaust and Non-Exhaust Emission from Road Traffic
3.4. Potential Risk Estimation from EC Exposure
3.5. The Limitation of the Study
4. Conclusions
Supplementary Materials
Author Contributions
Funding
Data Availability Statement
Acknowledgments
Conflicts of Interest
References
- Li, H.; Wang, Q.; Yang, M.; Li, F.; Wang, J.; Sun, Y.; Wang, C.; Wu, H.; Qian, X. Chemical characterization and source apportionment of PM2.5 aerosols in a megacity of Southeast China. Atmos. Res. 2016, 181, 288–299. [Google Scholar] [CrossRef]
- Chuang, H.; Sun, J.; Ni, H.; Tian, J.; Lui, K.H.; Han, Y.; Cao, J.; Huang, R.; Shen, Z.; Ho, K.F. Characterization of the chemical components and bioreactivity of fine particulate matter produced during crop-residue burning in China. Environ. Pollut. 2019, 245, 226–234. [Google Scholar] [CrossRef] [PubMed]
- Chen, B.; Du, K.; Wang, Y.; Chen, J.; Zhao, J.; Wang, K.; Zhang, F.; Xu, L. Emission and Transport of Carbonaceous Aerosols in Urbanized Coastal Areas in China. Aerosol Air Qual. Res. 2012, 12, 371–378. [Google Scholar] [CrossRef]
- Kouassi, A.; Doumbia, M.; Silue, S.; Yao, E.; Dajuma, A.; Adon, M.; Touré, N.; Yoboue, V. Measurement of Atmospheric Black Carbon Concentration in Rural and Urban Environments: Cases of Lamto and Abidjan. J. Environ. Prot. 2021, 12, 855–872. [Google Scholar] [CrossRef]
- Karanasiou, A.; Minguillon, M.C.; Viana, M.; Alastuey Putaud, J.P.; Maenhaut, W.; Panteliadis, P.; Mocnik, G.; Favez, O.; Kuhlbusch, T.A.J. Thermal-optical analysis for the measurement of elemental carbon (EC) and organic carbon (OC) in ambient air a literature review. Atmos. Meas. Tech. 2015, 8, 9649–9712. [Google Scholar]
- Turpin, B.J.; Huntzicker, J.J. Identification of secondary organic aerosol episodes and quantitation of primary and secondary organic aerosol concentrations during SCAQS. Atmos. Environ. Part A Gen. Top. 1991, 25, 2071–2081. [Google Scholar] [CrossRef]
- Lyu, R.; Zhang, J.; Wu, J.; Feng, Y. Primary Carbonaceous Particle Emission from Four Power Plants with Ultralow Emission in China. ACS Omega 2021, 6, 1309–1315. [Google Scholar] [CrossRef] [PubMed]
- Hallquist, M.; Wenger, J.C.; Baltensperger, U.; Rudich, Y.; Simpson, D.; Claeys, M.; Dommen, J.; Donahue, N.M.; George, C.; Goldstein, A.H.; et al. The formation, properties, and impact of secondary organic aerosol: Current and emerging issues. Atmos. Chem. Phys. 2009, 9, 5155–5236. [Google Scholar] [CrossRef]
- Moretti, S.; Tassone, A.; Andreoli, V.; Carbone, F.; Pirrone, N.; Sprovieri, F.; Naccarato, A. Analytical study on the primary and secondary organic carbon and elemental carbon in the particulate matter at the high-altitude Monte Curcio GAW station, Italy. Environ. Sci. Pollut. Res. 2021, 28, 60221–60234. [Google Scholar] [CrossRef]
- Volkamer, R.; Jimenez, J.L.; San Martini, F.; Džepina, K.; Zhang, Q.; Salcedo, D.; Molina, L.T.; Worsnop, D.R.; Molina, M.J. Secondary organic aerosol formation from anthropogenic air pollution: Rapid and higher than expected. Geophys. Res. Lett. 2006, 33, L17811. [Google Scholar] [CrossRef]
- Choochuay, C.; Pongpiachan, S.; Tipmanee, D.; Suttinun, O.; Deelaman, W.; Wang, Q.; Xing, L.; Li, G.; Han, Y.; Palakun, J.; et al. Impacts of PM2.5 sources on variations in particulate chemical compounds in ambient air of Bangkok, Thailand. Atmos. Pollut. Res. 2020, 11, 1657–1667. [Google Scholar] [CrossRef]
- Mishra, M.K.; Kulshrestha, U.C. Source Impact Analysis Using Char-EC/Soot-EC Ratios in the Central Indo-Gangetic Plain (IGP) of India. Aerosol Air Qual. Res. 2021, 21, 200628. [Google Scholar] [CrossRef]
- Kumar, A.; Singh, S.; Kumar, N.; Singh, N.K.; Kumar, K.; Chourasiya, S. Assessment of carbonaceous fractions in ambient aerosols at high altitude and lowland urban locations of Kumaon Province, Indian Himalaya. SN Appl. Sci. 2021, 3, 83. [Google Scholar] [CrossRef]
- Vilcassim, M.J.; Thurston, G.D.; Peltier, R.E.; Gordon, T. Black Carbon and Particulate Matter (PM2.5) Concentrations in New York City’s Subway Stations. Environ. Sci. Technol. 2014, 48, 14738–14745. [Google Scholar] [CrossRef] [PubMed]
- Healy, R.M.; Wang, J.M.; Jeong, C.; Lee, A.K.; Willis, M.D.; Jaroudi, E.; Zimmerman, N.; Hilker, N.; Murphy, M.; Eckhardt, S.; et al. Light-absorbing properties of ambient black carbon and brown carbon from fossil fuel and biomass burning sources. J. Geophys. Res. Atmos. 2015, 120, 6619–6633. [Google Scholar] [CrossRef]
- Han, Y.M.; Cao, J.J.; Chow, J.C.; Watson, J.G.; An, Z.S.; Jin, Z.D.; Fung, K.; Liu, S.X. Evaluation of the thermal/optical reflectance method for dis-crimination between char-and soot-EC. Chemosphere 2007, 69, 569–574. [Google Scholar] [CrossRef] [PubMed]
- Han, Y.M.; Cao, J.J.; Lee, S.C.; Ho, K.F.; An, Z.S. Different characteristicsof char and soot in the atmosphere and their ratio as an indicator forsource identification in Xi’an, China. Atmos. Chem. Phys. 2010, 10, 595–607. [Google Scholar] [CrossRef]
- Banoo, R.; Sharma, S.K.; Rani, M.; Mandal, T.K. Source and Source Region of Carbonaceous Species and Trace Elements in PM10 over Delhi, India. Environ. Sci. Proc. 2021, 8, 2. [Google Scholar] [CrossRef]
- Amin, M.; Putri, R.M.; Handika, R.A.; Ullah, A.; Goembira, F.; Phairuang, W.; Ikemori, F.; Hata, M.; Tekasakul, P.; Furuuchi, M. Size-Segregated Particulate Matter down to PM0.1 and Carbon Content during the Rainy and Dry Seasons in Sumatra Island, Indonesia. Atmosphere 2021, 12, 1441. [Google Scholar] [CrossRef]
- Pio, C.; Cerqueira, M.; Harrison, R.M.; Nunes, T.; Mirante, F.; Alves, C.A.; Oliveira, C.; Campa, A.M.; Artíñano, B.; Matos, M. OC/EC ratio observations in Europe: Re-thinking the approach for apportionment between primary and secondary organic carbon. Atmos. Environ. 2011, 45, 6121–6132. [Google Scholar] [CrossRef]
- Yoo, H.; Kim, K.A.; Kim, Y.P.; Jung, C.H.; Shin, H.J.; Moon, K.; Park, S.; Lee, J. Validation of SOC Estimation Using OC and EC Concentration in PM2.5 Measured at Seoul. Aerosol Air Qual. Res. 2020, 16, 19–30. [Google Scholar] [CrossRef]
- Amin, M.; Handika, R.A.; Putri, R.M.; Phairuang, W.; Hata, M.; Tekasakul, P.; Furuuchi, M. Size-Segregated Particulate Mass and Carbonaceous Components in Roadside and Riverside Environments. Appl. Sci. 2021, 11, 10214. [Google Scholar] [CrossRef]
- Fujii, Y.; Mahmud, M.; Oda, M.; Tohno, S.; Matsumoto, J.; Mizohata, A. A key indicator of transboundary particulate matter pollution derived from Indonesian peatland fires in Malaysia. Aerosol Air Qual. Res. 2017, 16, 69–78. [Google Scholar] [CrossRef]
- Fujii, Y.; Iriana, W.; Oda, M.; Puriwigati, A.; Tohno, S.; Lestari, P.; Mizohata, A.; Huboyo, H.S. Characteristics of carbonaceous aerosols emitted from peatland fire in Riau, Sumatra, Indonesia. Atmos. Environ. 2014, 87, 164–169. [Google Scholar] [CrossRef]
- Fujii, Y.; Kawamoto, H.; Tohno SOda, M.; Iriana, W.; Lestari, P. Characteristics of carbonaceous aerosols emitted from peatland fire in Riau, Sumatra, Indonesia (2): Identification of organic compounds. Atmos. Environ. 2015, 110, 1–7. [Google Scholar] [CrossRef]
- Putri, R.M.; Amin, M.; Suciari, T.F.; Faisal AF, M.; Auliani, R.; Ikemori, F.; Wada, M.; Hata, M.; Tesakul, P.; Furuuchi, M. Site-Specific Variation in Mass Concen-tration and Chemical Components in Ambient Nanoparticles (PM0.1) in North Suma-tra Province-Indonesia. Atmos. Pollut. Res. 2021, 12, 101062. [Google Scholar] [CrossRef]
- Jayarathne, T.; Stockwell, C.E.; Gilbert, A.A.; Daugherty, K.; Cochrane, M.A.; Ryan, K.C.; Putra, E.I.; Saharjo, B.H.; Nurhayati, A.; Albar, I.; et al. Chemical characterization of fine particulate matter emitted by peat fires in Central Kalimantan, Indonesia, during the 2015 El Niño. Atmos. Chem. Phys. 2017, 18, 2585–2600. [Google Scholar] [CrossRef]
- Santoso, M.; Dwiana Lestiani, D.; Hopke, P.K. Atmospheric black carbon in PM2.5 in Indonesian cities. J. Air Waste Manag. Assoc. 2013, 63, 1022–1025. [Google Scholar] [CrossRef] [PubMed]
- Amin, M.; Ramadhani, A.A.; Zakaria, R.; Hanami, Z.A.; Putri, R.M.; Torabi, S.E.; Phairuang, W.; Hata, M.; Masami, F. Carbonaceous component of Total Suspended Particulate (TSP) in Makassar City, Sulawesi Island, Indonesia. IOP Conf. Ser. Earth Environ. Sci. 2023, 1199, 012021. [Google Scholar] [CrossRef]
- BPS (Badan Pusat Statistik or Statistics Agency). Makkasar City in Figure; BPS: Makassar, Indonesia, 2022. [Google Scholar]
- MOEJ (Ministry of Environment of Japan). Chapter 4. Carbonaceous Component Analysis Method 483 (Thermal Optical Reflectance Method), 3rd ed.; Fine Particles (PM2.5) Component 484 Measurement Manual; 2019. Available online: https://www.env.go.jp/content/900400187.pdf (accessed on 14 December 2022). (In Japanese)
- Arp, H.P.H.; Schwarzenbach, R.P.; Goss, K.-U. Equilibrium sorption of gaseous organic chemicals to fiber filters used for aerosol studies. Atmos. Environ. 2007, 41, 8241–8252. [Google Scholar] [CrossRef]
- Chu, S.H. Stable estimate of primary OC/EC ratios in the EC tracer method. Atmos. Environ. 2005, 39, 1383–1392. [Google Scholar] [CrossRef]
- Yu, X.Y.; Cary, R.A.; Laulainen, N.S. Primary and secondary organic carbon downwind of Mexico City. Atmos. Chem. Phys. 2009, 9, 6793–6814. [Google Scholar] [CrossRef]
- Al-Taai, O.; Al-Ghabban, Z.M. The Influence of Relative Humidity on Concentrations (PM10, TSP) in Baghdad City. Mod. Environ. Sci. Eng. 2016, 2, 111–122. [Google Scholar] [CrossRef]
- PPRI (Peraturan Pemerintah Republik Indonesia) Nomor 22 Tahun 2021. Tentang Penyelenggaraan Perlindungan Dan Pengelolaan Lingkungan Hidup; Kementerian Sekretariat Negara Republik Indonesia: Jakarta, Indonesia, 2021. (In Bahasa) [Google Scholar]
- Czarnecka, M.; Kalbarczyk, R.; Kalbarczyk, E. Variability in particulate matter concentrations versus precipitation in Pomerania Region. Pol. J. Nat. Sci. 2007, 22, 645–659. [Google Scholar] [CrossRef]
- Tang, X.; Chen, X.; Tian, Y. Chemical composition and source apportionment of PM2.5—A case study from one-year continuous sampling in the Chang-Zhu-Tan urban agglomeration. Atmos. Pollut. Res. 2017, 8, 885–899. [Google Scholar] [CrossRef]
- Cao, J.; Lee, S.; Ho, K.F.; Fung, K.K.; Chow, J.C.; Watson, J.G. Characterization of Roadside Fine Particulate Carbon and its Eight Fractions in Hong Kong. Aerosol Air Qual. Res. 2003, 6, 106–122. [Google Scholar] [CrossRef]
- Kim, K.; Sekiguchi, K.; Kudo, S.; Sakamoto, K. Characteristics of Atmospheric Elemental Carbon (Char and Soot) in Ultrafine and Fine Particles in a Roadside Environment, Japan. Aerosol Air Qual. Res. 2011, 11, 1–12. [Google Scholar] [CrossRef]
- Demir, T.; Yenisoy-Karakaş, S.; Karakaş, D. PAHs, elemental and organic carbons in a highway tunnel atmosphere and road dust: Discrimination of diesel and gasoline emissions. Build. Environ. 2019, 160, 106166. [Google Scholar] [CrossRef]
- Shandilya, K.K.; Kumar, A. Carbon speciation of exhaust particulate matter of public transit buses running on alternative fuels. Fuel 2014, 115, 678–684. [Google Scholar] [CrossRef]
- Yan, C.; Zheng, M.; Shen, G.; Cheng, Y.; Ma, S.; Sun, J.; Cui, M.; Zhang, F.; Han, Y.; Chen, Y. Characterization of carbon fractions in carbonaceous aerosols from typical fossil fuel combustion sources. Fuel 2019, 254, 115620. [Google Scholar] [CrossRef]
- Pipal, A.S.; Satsangi, P.G. Study of carbonaceous species, morphology and sources of fine (PM2.5) and coarse (PM10) particles along with their climatic nature in India. Atmos. Res. 2015, 154, 103–115. [Google Scholar] [CrossRef]
- Etyemezian, V.; Kuhns, H.D.; Gillies, J.A.; Chow, J.C.; Hendrickson, K.; McGown, M.; Pitchford, M.L. Vehicle-based road dust emission measurement (III): Effect of speed, traffic volume, location, and season on PM10 road dust emissions in the Treasure Valley, ID. Atmos. Environ. 2003, 37, 4583–4593. [Google Scholar] [CrossRef]
- Yuwono, A.S.; Mulyanto, B.; Fauzan, M.; Mulyani, F.; Munthe, C.R. Generation of Total Suspended Particulate (TSP) In Ambient Air from Four Soil Types in Indonesia. Int. J. Appl. Environ. Sci. 2016, 11, 995–1006. [Google Scholar]
- Williams, D.S.; Shukla, M.K.; Ross, J. Particulate matter emission by a vehicle running on unpaved road. Atmos. Environ. 2008, 42, 3899–3905. [Google Scholar] [CrossRef]
- Kuhns, H.D.; Gillies, J.A.; Etyemezian, V.; Nikolich, G.; King, J.; Zhu, D.; Uppapalli, S.; Engelbrecht, J.P.; Kohl, S.D. Effect of Soil Type and Momentum on Unpaved Road Particulate Matter Emissions from Wheeled and Tracked Vehicles. Aerosol Sci. Technol. 2010, 44, 187–196. [Google Scholar] [CrossRef]
- Gillies, J.A.; Etyemezian, V.; Kuhns, H.D.; Nikolić, D.; Gillette, D.A. Effect of vehicle characteristics on unpaved road dust emissions. Atmos. Environ. 2005, 39, 2341–2347. [Google Scholar] [CrossRef]
- Thorpe, A.J.; Harrison, R.M. Sources and properties of non-exhaust particulate matter from road traffic: A review. Sci. Total Environ. 2008, 400, 270–282. [Google Scholar] [CrossRef] [PubMed]
- Zhang, J.; McCreanor, J.E.; Cullinan, P.; Chung, K.F.; Ohman-Strickland, P.; Han, I.; Järup, L.; Nieuwenhuijsen, M.J. Health effects of real-world exposure to diesel exhaust in persons with asthma. Res. Rep. 2009, 138, 5–109. [Google Scholar]
- Barraza-Villarreal, A.; Escamilla-Núñez, M.C.; Hernández-Cadena, L.; Texcalac-Sangrador, J.L.; Sienra-Monge, J.J.; Del Río-Navarro, B.E.; Cortez-Lugo, M.; Sly, P.D.; Romieu, I. Elemental carbon exposure and lung function in schoolchildren from Mexico City. Eur. Respir. J. 2011, 38, 548–552. [Google Scholar] [CrossRef]
- Amin, M.; Prajati, G.; Humairoh, G.P.; Putri, R.M.; Phairuang, W.; Hata, M.; Furuuchi, M. Characterization of size-fractionated carbonaceous particles in the small to nano-size range in Batam city, Indonesia. Heliyon 2023, 9, e15936. [Google Scholar] [CrossRef]







| No | Site | Coordinate | Description | Date | Time |
|---|---|---|---|---|---|
| 1 | PA | 5°10′31.0″ S 119°26′01.7″ E | Paved, around ±31 m from intersection (Makassar city and Gowa district) | 28 March 2022 | Morning, noon, late noon |
| 2 | GR | 5°11′11.9″ S 119°26′27.4″ E | Gravel, nearby U-turn and surrounded by open area cover by sand | 29 March 2022 | Morning, noon, late noon |
| 3 | PP | 5°10′31.0″ S 119°26′01.7″ E | Paved with pedestrian walk, in front of bus stop and UIN Alauddin hospital | 30 March 2022 | Morning, noon, late noon |
| 4 | UP | 5°10′29.0″ S 119°25′57.9″ E | Unpaved, nearby residential area (Pelindo resident) | 31 March 2022 | Morning, noon, late noon |
| Location | Vehicle Types | Time | ||
|---|---|---|---|---|
| Morning | Noon | Late Noon | ||
| PA | MC | 4123 | 1667 | 2284 |
| LV | 1429 | 1106 | 806 | |
| HV | 59 | 77 | 58 | |
| GR | MC | 5142 | 3633 | 3494 |
| LV | 1521 | 1499 | 1136 | |
| HV | 72 | 79 | 60 | |
| PP | MC | 2733 | 2830 | 1895 |
| LV | 866 | 1062 | 3922 | |
| HV | 69 | 76 | 66 | |
| UP | MC | 2504 | 2409 | 2842 |
| LV | 934 | 1230 | 1332 | |
| HV | 69 | 80 | 74 | |
| Site | Date | Period | TSP (μg/m3) |
|---|---|---|---|
| PA | Monday, 28 March 2022 | Morning | 100 |
| 36 | |||
| 110 | |||
| Noon | 55 | ||
| 46 | |||
| 26 | |||
| Late-noon | 22 | ||
| 30 | |||
| 46 | |||
| GR | Tuesday, 29 March 2022 | Morning | 546 |
| 776 | |||
| 839 | |||
| Noon | 149 | ||
| 59 | |||
| 93 | |||
| Late-noon | 576 | ||
| 583 | |||
| 822 | |||
| PP | Wednesday, 30 March 2022 | Morning | 226 |
| 223 | |||
| 235 | |||
| Noon | 161 | ||
| 238 | |||
| 825 | |||
| Late-noon | 307 | ||
| 324 | |||
| UP | Thursday, 31 March 2022 | Morning | 242 |
| 220 | |||
| 226 | |||
| Noon | 150 | ||
| 106 | |||
| 231 | |||
| Late-noon | 428 | ||
| 495 | |||
| 238 |
| Location | Period | POC (μg/m3) | SOC (μg/m3) | POC/SOC (-) |
|---|---|---|---|---|
| PA | Morning | 6.7 | 3.0 | 2.3 |
| Noon | 6.6 | 4.1 | 3.0 | |
| Late-noon | 5.8 | 1.1 | 6.2 | |
| GR | Morning | 17.6 | 11.0 | 1.6 |
| Noon | 2.8 | 3.9 | 0.9 | |
| Late-noon | 25.5 | 7.7 | 3.4 | |
| PP | Morning | 17.2 | 5.6 | 3.5 |
| Noon | 17.0 | 10.2 | 3.1 | |
| Late-noon | 26.8 | 6.3 | 4.3 | |
| UP | Morning | 11.7 | 8.1 | 1.6 |
| Noon | 9.4 | 4.6 | 2.1 | |
| Late-noon | 18.5 | 11.1 | 1.7 |
Disclaimer/Publisher’s Note: The statements, opinions and data contained in all publications are solely those of the individual author(s) and contributor(s) and not of MDPI and/or the editor(s). MDPI and/or the editor(s) disclaim responsibility for any injury to people or property resulting from any ideas, methods, instructions or products referred to in the content. |
© 2024 by the authors. Licensee MDPI, Basel, Switzerland. This article is an open access article distributed under the terms and conditions of the Creative Commons Attribution (CC BY) license (https://creativecommons.org/licenses/by/4.0/).
Share and Cite
Amin, M.; Ramadhani, A.A.T.; Zakaria, R.; Hanami, Z.A.; Putri, R.M.; Phairuang, W.; Hata, M.; Furuuchi, M. Total Suspended Particulate Matter (TSP)-Bound Carbonaceous Components in a Roadside Area in Eastern Indonesia. Urban Sci. 2024, 8, 37. https://doi.org/10.3390/urbansci8020037
Amin M, Ramadhani AAT, Zakaria R, Hanami ZA, Putri RM, Phairuang W, Hata M, Furuuchi M. Total Suspended Particulate Matter (TSP)-Bound Carbonaceous Components in a Roadside Area in Eastern Indonesia. Urban Science. 2024; 8(2):37. https://doi.org/10.3390/urbansci8020037
Chicago/Turabian StyleAmin, Muhammad, Andi Annisa Tenri Ramadhani, Rasdiana Zakaria, Zarah Arwieny Hanami, Rahmi Mulia Putri, Worradorn Phairuang, Mitsuhiko Hata, and Masami Furuuchi. 2024. "Total Suspended Particulate Matter (TSP)-Bound Carbonaceous Components in a Roadside Area in Eastern Indonesia" Urban Science 8, no. 2: 37. https://doi.org/10.3390/urbansci8020037
APA StyleAmin, M., Ramadhani, A. A. T., Zakaria, R., Hanami, Z. A., Putri, R. M., Phairuang, W., Hata, M., & Furuuchi, M. (2024). Total Suspended Particulate Matter (TSP)-Bound Carbonaceous Components in a Roadside Area in Eastern Indonesia. Urban Science, 8(2), 37. https://doi.org/10.3390/urbansci8020037

