Predicting Trajectories of Plate-Type Wind-Borne Debris in Turbulent Wind Flow with Uncertainties
Abstract
:1. Introduction
2. Debris Flight Trajectory Model Establishment
3. Wind Speed Experiments for Debris Trajectory Predictions
3.1. Wind Tunnel Test of Plate-Type Debris Environments
3.2. Experimental Measured Turbulent Wind Flow
3.3. Rationality of the Trajectory Simulation
4. Characteristics of Debris Flight
4.1. Impact Position and Impact Velocity
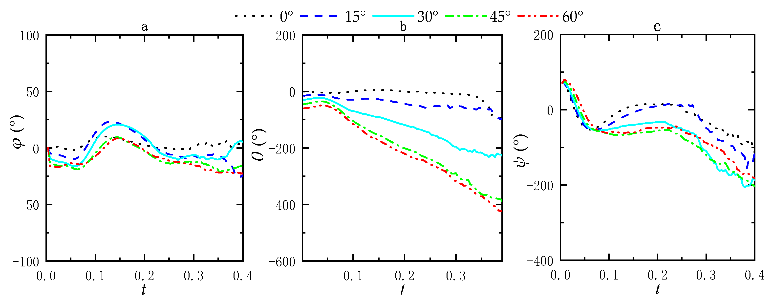
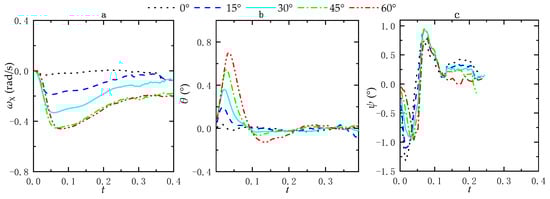
4.2. Angular Displacement and Angular Velocity
5. Conclusions
- The wind attack angle has a significant effect on the flight velocities and trajectories of the debris. At a wind attack angle of 0°, the debris lands within a relatively narrow lateral displacement. Moreover, the debris impact velocity increases with longitudinal displacement, and many pieces of debris impact the ground with a dimensionless velocity larger than 1. The landing positions of the debris are more concentrated in small wind attack angles.
- For wind attack angles between 0° and 60°, the mean value of the dimensionless impact kinetic energy has its maximum and minimum at 0.86 and 0.76 at 0° and 45°, respectively. The cumulative density function shows that about 20% of the debris dimensionless kinetic energy exceeds 1; these cases are the most dangerous for debris impacting a building.
- The debris rotation angle φ is more influenced by the uncertainty of the debris trajectory than the wind attack angle. The debris rotation angular velocities ωX and ωY increase with the wind attack angle, and the mean of ωX and ωY is very close to 0 under a wind attack angle of 0°. On the other hand, the debris rotation angular velocity ωZ decreases with the wind attack angle; the maximum of the mean angular velocity ωZ is 1.2 rad/s under a wind attack angle of 0°.
Author Contributions
Funding
Data Availability Statement
Acknowledgments
Conflicts of Interest
References
- Shu, E.G.; Pope, M.; Wilson, B.; Bauer, M.; Amodeo, M.; Freeman, N.; Porter, J.R. Assessing Property Exposure to Cyclonic Winds under Climate Change. Climate 2023, 11, 217. [Google Scholar] [CrossRef]
- Papathoma-Köhle, M.; Ghazanfari, A.; Mariacher, R.; Huber, W.; Lücksmann, T.; Fuchs, S. Vulnerability of Buildings to Meteorological Hazards: A Web-Based Application Using an Indicator-Based Approach. Appl. Sci. 2023, 13, 6253. [Google Scholar] [CrossRef]
- Kim, J.-M.; Kim, T.; Son, K.; Yum, S.-G.; Ahn, S. Measuring Vulnerability of Typhoon in Residential Facilities: Focusing on Typhoon Maemi in South Korea. Sustainability 2019, 11, 2768. [Google Scholar] [CrossRef]
- Allarané, N.; Azagoun, V.V.A.; Atchadé, A.J.; Hetcheli, F.; Atela, J. Urban Vulnerability and Adaptation Strategies against Recurrent Climate Risks in Central Africa: Evidence from N’Djaména City (Chad). Urban Sci. 2023, 7, 97. [Google Scholar] [CrossRef]
- Xue, L.; Li, Y.; Yao, S. A Statistical Analysis of Tropical Cyclone-Induced Low-Level Winds near Taiwan Island. Atmosphere 2023, 14, 715. [Google Scholar] [CrossRef]
- Grilliot, M.J.; Walker, I.J.; Bauer, B.O. Airflow Dynamics over a Beach and Foredune System with Large Woody Debris. Geosciences 2018, 8, 147. [Google Scholar] [CrossRef]
- Alduse, B.; Pang, W.; Tadinada, S.K.; Khan, S. A Framework to Model the Wind-Induced Losses in Buildings during Hurricanes. Wind 2022, 2, 87–112. [Google Scholar] [CrossRef]
- Shi, Z.; Xu, M.; Pan, Q.; Yan, B.; Zhang, H. LSTM-based flight trajectory prediction. In Proceedings of the 2018 International Joint Conference on Neural Networks, Rio de Janeiro, Brazil, 8–13 July 2018. [Google Scholar]
- Zhang, X.; Mahadevan, S. Bayesian neural networks for flight trajectory prediction and safety assessment. Decis. Support Syst. 2020, 131, 113246. [Google Scholar] [CrossRef]
- Lin, N. Simulation of Windborne Debris Trajectories. Master’s Thesis, Department of Civil Engineering, Texas Tech University, Lubbock, TX, USA, 2005. [Google Scholar]
- Lin, N.; Letchford, C.; Holmes, J. Investigation of plate-type windborne debris. Part I. Experiments in wind tunnel and full scale. J. Wind Eng. Ind. Aerodyn. 2006, 94, 51–76. [Google Scholar] [CrossRef]
- Holmes, J.D.; Letchford, C.W.; Lin, N. Investigations of plate-type windborne debris—Part II: Computed trajectories. J. Wind Eng. Ind. Aerodyn. 2006, 94, 21–39. [Google Scholar] [CrossRef]
- Lin, N.; Holmes, J.D.; Letchford, C.W. Trajectories of wind-borne debris in horizontal winds and applications to impact testing. J. Struct. Eng. 2007, 133, 274–282. [Google Scholar] [CrossRef]
- Baker, C.J. The debris flight equations. J. Wind Eng. Ind. Aerodyn. 2007, 95, 329–353. [Google Scholar] [CrossRef]
- Holmes, J.D. Trajectories of spheres in strong winds with application to wind-borne debris. J. Wind Eng. Ind. Aerodyn. 2004, 92, 9–22. [Google Scholar] [CrossRef]
- Wills, J.A.B.; Lee, B.E.; Wyatt, T.A. A model of wind-borne debris damage. J. Wind Eng. Ind. Aerodyn. 2002, 90, 555–565. [Google Scholar] [CrossRef]
- Tachikawa, M. Trajectories of flat plates in uniform flow with application to wind-generated missiles. J. Wind Eng. Ind. Aerodyn. 1983, 14, 443–453. [Google Scholar] [CrossRef]
- Richards, P.J.; Williams, N.; Laing, B.; Mccarty, M.; Pond, M. Numerical calculation of the three-dimensional motion of wind-borne debris. J. Wind Eng. Ind. Aerodyn. 2008, 96, 2188–2202. [Google Scholar] [CrossRef]
- Richards, P. Steady aerodynamics of rod and plate type debris. In Proceedings of the Seventeenth Australasian Fluid Mechanics Conference, Auckland, New Zealand, 9 May 2010. [Google Scholar]
- Noda, M.; Nagao, F. Simulation of 6DOF motion of 3D flying debris. In Proceedings of the Fifth International Symposium on Computational Wind Engineering (CWE2010), Chapel Hill, NC, USA, 23–27 May 2010. [Google Scholar]
- Martinez-Vazquez, P.; Baker, C.; Sterling, M.; Quinn, A. The flight of wind borne debris: An experimental, analytical, and numerical investigation: Part I (Analytical Model). In Proceedings of the Fifth European and African Conference on Wind Engineering (EACWE5), Florence, Italy, 19–23 July 2009; pp. 437–440. [Google Scholar]
- Kakimpa, B.; Hargreaves, D.M.; Owen, J.S. An investigation of plate-type windborne debris flight using coupled CFD–RBD models. Part I: Model development and validation. J. Wind Eng. Ind. Aerodyn. 2012, 111, 95–103. [Google Scholar] [CrossRef]
- Kakimpa, B.; Hargreaves, D.M.; Owen, J.S. An investigation of plate-type windborne debris flight using coupled CFD–RBD models. Part II: Free and constrained flight. J. Wind Eng. Ind. Aerodyn. 2012, 111, 104–116. [Google Scholar] [CrossRef]
- Moghim, F.; Caracoglia, L. Effect of computer-generated turbulent wind field on trajectory of compact debris: A probabilistic analysis approach. Eng. Struct. 2014, 59, 195–209. [Google Scholar] [CrossRef]
- Huang, P.; Wang, F.; Fu, A.; Gu, M. Numerical simulation of 3-D probabilistic trajectory of plate-type wind-borne debris. Wind Struct. 2016, 22, 17–41. [Google Scholar] [CrossRef]
- Sabharwal, C.L.; Guo, Y. Tracking the 6-DOF Flight Trajectory of Windborne Debris Using Stereophotogrammetry. Infrastructures 2019, 4, 66. [Google Scholar] [CrossRef]
- Visscherr, B.T.; Kopp, G.A. Trajectories of roof sheathing panels under high winds. J. Wind Eng. Ind. Aerodyn. 2007, 95, 697–713. [Google Scholar] [CrossRef]
- Kordi, B.; Traczuk, G.; Kopp, G.A. Effects of wind direction on the flight trajectories of roof sheathing panels under high winds. Wind Struct. 2010, 13, 145–167. [Google Scholar] [CrossRef]
- Kordi, B.; Kopp, G.A. Effects of initial conditions on the flight of windborne plate debris. J. Wind Eng. Ind. Aerodyn. 2011, 99, 601–614. [Google Scholar] [CrossRef]
- Moghim, F.; Xia, F.T.; Caracoglia, L. Experimental analysis of a stochastic model for estimating wind-borne compact debris trajectory in turbulent winds. J. Fluid Struct. 2015, 54, 900–924. [Google Scholar] [CrossRef]
- Fu, A.M.; Huang, P.; Gu, M. Numerical model of three-dimensional motion of plate-type wind-borne debris based on quaternions and its improvement in unsteady flow. Appl. Mech. Mat. 2013, 405, 2399–2408. [Google Scholar] [CrossRef]
- Lei, X.; Xia, Y.; Wang, A.; Jian, X.; Zhong, H.; Sun, L. Mutual information based anomaly detection of monitoring data with attention mechanism and residual learning. Mech. Syst. Signal Process. 2023, 182, 109607. [Google Scholar] [CrossRef]
- Lei, X.; Dong, Y.; Frangopol, D.M. Sustainable life-cycle maintenance policy-making for network-level deteriorating bridges with convolutional autoencoder-structured reinforcement learning agent. ASCE-J. Bridge Eng. 2023, 28, 04023063. [Google Scholar] [CrossRef]
- Lei, X.; Siringoringo, D.M.; Dong, Y.; Sun, Z. Interpretable machine learning for clarification of load-displacement effects on cable-stayed bridge. Measurement 2023, 220, 113390. [Google Scholar] [CrossRef]
- Rizzo, F.; Ricciardelli, F.; Maddaloni, G.; Bonati, A.; Occhiuzzi, A. Experimental error analysis of dynamic properties for a reduced-scale high-rise building model and implications on full-scale behaviour. J. Build. Eng. 2020, 28, 101067. [Google Scholar] [CrossRef]


















| Wind Attack Angle | Mean | Std | X/X0 | |||||
|---|---|---|---|---|---|---|---|---|
| X | Z | X | Z | |||||
| 0° | 25.73 | −2.15 | 0.86 | 10.62 | 2.24 | 0.26 | 1.00 | 1.00 |
| 15° | 24.23 | −1.61 | 0.84 | 8.39 | 2.79 | 0.29 | 0.94 | 0.98 |
| 30° | 24.16 | 0.69 | 0.81 | 8.27 | 2.95 | 0.26 | 0.94 | 0.94 |
| 45° | 26.04 | 2.93 | 0.76 | 9.62 | 3.61 | 0.21 | 1.01 | 0.88 |
| 60° | 26.17 | 3.44 | 0.77 | 10.29 | 3.94 | 0.24 | 1.02 | 0.90 |
Disclaimer/Publisher’s Note: The statements, opinions and data contained in all publications are solely those of the individual author(s) and contributor(s) and not of MDPI and/or the editor(s). MDPI and/or the editor(s) disclaim responsibility for any injury to people or property resulting from any ideas, methods, instructions or products referred to in the content. |
© 2023 by the authors. Licensee MDPI, Basel, Switzerland. This article is an open access article distributed under the terms and conditions of the Creative Commons Attribution (CC BY) license (https://creativecommons.org/licenses/by/4.0/).
Share and Cite
Wang, F.; Huang, P.; Zhao, R.; Wu, H.; Sun, M.; Zhou, Z.; Xing, Y. Predicting Trajectories of Plate-Type Wind-Borne Debris in Turbulent Wind Flow with Uncertainties. Infrastructures 2023, 8, 180. https://doi.org/10.3390/infrastructures8120180
Wang F, Huang P, Zhao R, Wu H, Sun M, Zhou Z, Xing Y. Predicting Trajectories of Plate-Type Wind-Borne Debris in Turbulent Wind Flow with Uncertainties. Infrastructures. 2023; 8(12):180. https://doi.org/10.3390/infrastructures8120180
Chicago/Turabian StyleWang, Feng, Peng Huang, Rongxin Zhao, Huayong Wu, Mengjin Sun, Zijie Zhou, and Yun Xing. 2023. "Predicting Trajectories of Plate-Type Wind-Borne Debris in Turbulent Wind Flow with Uncertainties" Infrastructures 8, no. 12: 180. https://doi.org/10.3390/infrastructures8120180
APA StyleWang, F., Huang, P., Zhao, R., Wu, H., Sun, M., Zhou, Z., & Xing, Y. (2023). Predicting Trajectories of Plate-Type Wind-Borne Debris in Turbulent Wind Flow with Uncertainties. Infrastructures, 8(12), 180. https://doi.org/10.3390/infrastructures8120180

