Quality Control Method for the Service Life and Reliability of Concrete Structures
Abstract
1. Introduction
2. Reliability Concepts
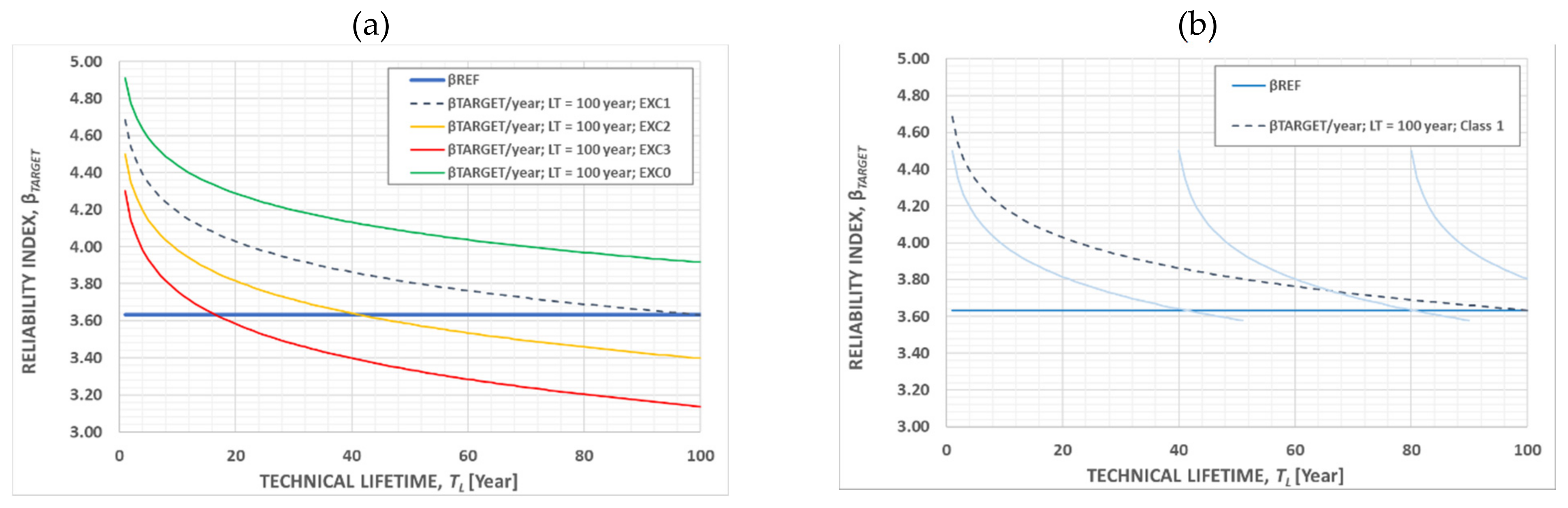
3. Characterisation of the β Index vs. QC
4. Case Studies on Durability
4.1. Carbonation
4.2. Chloride Ingress
5. Case Study on Bearing Capacity
6. Case Study on Fastenings
- γ2 = 1.0 for systems with high installation safety;
- = 1.2 for systems with normal installation safety;
- = 1.4 for systems with low but still acceptable installation safety.
7. Summary of Findings
8. Conclusions
Author Contributions
Funding
Data Availability Statement
Acknowledgments
Conflicts of Interest
References
- ISO 55000:2014; Asset Management—Overview, Principles and Terminology. ISO: Geneva, Switzerland, 2014.
- Frangopol, D.M.; Strauss, A.; Kim, S. Bridge reliability assessment based on monitoring. J. Bridge Eng. 2008, 13, 258–270. [Google Scholar] [CrossRef]
- Zambon, I.; Vidović, A.; Strauss, A.; Matos, J. Condition prediction of existing concrete bridges as a combination of visual inspection and analytical models of deterioration. Appl. Sci. 2019, 9, 148. [Google Scholar] [CrossRef]
- Zimmermann, T.; Strauss, A.; Lehký, D.; Novák, D.; Keršner, Z. Stochastic fracture-mechanical characteristics of concrete based on experiments and inverse analysis. Constr. Build. Mater. 2014, 73, 535–543. [Google Scholar] [CrossRef]
- Gehlen, C.; Schiessl, P.; Schiessl-Pecka, A. Background information on the DAfStb opinion paper on the implementation of the concept of performance-based design methods under consideration of DIN EN 206-1, Annex J, for problems relevant to durability. Beton-Und Stahlbetonbau 2018, 103, 840–851. [Google Scholar] [CrossRef]
- Basler, E. Studies on the Concept of Safety of Structures. Ph.D. Thesis, ETH Zurich, Zurich, Switzerland, 1960. [Google Scholar]
- Schneider, J. Introduction to Safety and Reliability of Structures; Structural Engineering Documents 5 (SED 5); International Association for Bridge and Structural Engineering (IABSE): Zurich, Switzerland, 1997. [Google Scholar]
- Schneider, J.; Vrouwenvelder, T. Introduction to Safety and Reliability of Structures; Structural Engineering Documents 5-3rd reviewed and extended Edition; International Association for Bridge and Structural Engineering (IABSE): Zurich, Switzerland, 2017. [Google Scholar]
- fib-International Federation for Structural Concrete. Bulletin 34: Model Code for Service Life Design; fib: Lausanne, Switzerland, 2006. [Google Scholar]
- CEN-European Committee for Standardization. EN 1990: 2002-Basis of Structural Design (Eurocode 0); CEN: Brussels, Belgium, 2002. [Google Scholar]
- ISO 13822:2010; Basis for Design of Structures—Assessment of Existing Structures. ISO: Geneva, Switzerland, 2010.
- EN 13670:2009; Execution of Concrete Structures. CEN: Brussels, Belgium, 2009.
- EN 1090-1:2012; Execution of Steel Structures and Aluminium Structures-Part 1: Requirements for Conformity Assessment of Structural Components. CEN: Brussels, Belgium, 2012.
- FSV-Austrian Research Association for Roads, Railways and Transport. Guidelines and Regulations for the Road Sector: Supervision, Control and Testing of Civil Engineering Works-Road Bridges (RVS 13.71); FSV: Vienna, Austria, 1995. [Google Scholar]
- fib-International Federation for Structural Concrete. Model Code 2010: Final Draft; fib: Lausanne, Switzerland, 2012. [Google Scholar]
- Matthews, S.; Bigaj-van Vliet, A.; Walraven, J.; Mancini, G.; Dieteren, G. fib Model Code 2020: Towards a general code for both new and existing concrete structures. Struct. Concr. 2018, 19, 969–979. [Google Scholar] [CrossRef]
- EN 12390-12; Testing Hardened Concrete-Part 12: Determination of the Carbonation Resistance of Concrete-Accelerated Carbonation Method. CEN: Brussels, Belgium, 2020.
- EN 14630; Products and Systems for the Protection and Repair of Concrete Structures-Test Methods-Determination of Carbonation Depth in Hardened Concrete by the Phenolphthalein Method. CEN: Brussels, Belgium, 2006.
- ISO 16204:2012; Durability—Service Life Design of Concrete Structures. ISO: Geneva, Switzerland, 2012.
- CEB-European Committee for Concrete. Bulletin 238: New Approach to Durability Design: An Example for Carbonation Induced Corrosion; CEB: Lausanne, Switzerland, 1997. [Google Scholar]
- CEB-European Committee for Concrete. Bulletin 152: Durability of Concrete Structures, State-of-the-Art; CEB: Paris, France, 1983. [Google Scholar]
- CEB-European Committee for Concrete. Bulletin 182: Durable Concrete Structures, CEB Design Guide; CEB: Lausanne, Switzerland, 1989. [Google Scholar]
- DAfStb-German Committee for Structural Concrete. Guideline for Improving the Durability of Exterior Reinforced Concrete Structures; DAfStb: Berlin, Germany, 1983. [Google Scholar]
- DAfStb-German Committee for Structural Concrete. DafStb Guideline for the Curing of Concrete; DAfStb: Berlin, Germany, 1984. [Google Scholar]
- von Greve-Dierfeld, S.; Gehlen, C. Performance based durability design, carbonation part 1–Benchmarking of European present design rules. Struct. Concr. 2016, 17, 309–328. [Google Scholar] [CrossRef]
- von Greve-Dierfeld, S.; Gehlen, C. Performance-based durability design, carbonation, part 3: PSF approach and a proposal for the revision of deemed-to-satisfy rules. Struct. Concr. 2016, 17, 718–728. [Google Scholar] [CrossRef]
- Gehlen, C. Probability-Based Service Life Design of Reinforced Concrete Structures–Reliability Studies for Prevention of Reinforcement Corrosion. DAfStb Bullettin 510; DAfStb: Berlin, Germany, 2000. [Google Scholar]
- Ruixia, H. A study on carbonation for low calcium fly ash concrete under different temperature and relative humidity. Electron. J. Geotech. Eng. 2010, 15, 1871–1877. [Google Scholar]
- RILEM-International Union of Testing and Research Laboratories for Materials and Structures. Corrosion of Steel in Concrete: Report of the Technical Committee 60 CSC, RILEM; Schiessl, P., Ed.; RILEM: London, UK, 1988. [Google Scholar]
- Novák, D.; Vořechovský, M.; Teplý, B. FReET: Software for the statistical and reliability analysis of engineering problems and FReET-D: Degradation module. Adv. Eng. Softw. 2014, 72, 179–192. [Google Scholar] [CrossRef]
- FREET (Feasible Reliability Engineering Tool). Publications. Available online: http://freet.cz/Publications.html (accessed on 20 April 2021).
- DuraCRETE Consortium. Modelling of Degradation: Probabilistic Performance Based Durability Design of Concrete Structures; EU Project (Brite EuRam III) No. BE95-1347, Report No 4-5; Centre for Civil Engineering Research and Codes CUR: Gouda, The Netherlands, 1998. [Google Scholar]
- fib-International Federation for Structural Concrete. Bulletin 76: Benchmarking of Deemed-To-Satisfy Provisions in Standards: Durability of Reinforced Concrete Structures Exposed to Chlorides; fib: Lausanne, Switzerland, 2015. [Google Scholar]
- fib-International Federation for Structural Concrete. Bulletin 59: Condition Control and Assessment of Reinforced Concrete Structures: Exposed to Corrosive Environments (Carbonation/Chlorides); fib: Lausanne, Switzerland, 2011. [Google Scholar]
- Zambon, I.; Vidović, A.; Strauss, A.; Matos, J. Use of chloride ingress model for condition assessment in bridge management. Građevinar 2019, 71, 359–373. [Google Scholar]
- Zambon, I.; Vidović, A.; Strauss, A.; Matos, J.; Friedl, N. Prediction of the remaining service life of existing concrete bridges in infrastructural networks based on carbonation and chloride ingress. Smart Struct. Syst. 2018, 21, 305–320. [Google Scholar]
- Šomodíková, M.; Strauss, A.; Zambon, I.; Teplý, B. Quantification of parameters for modeling of chloride ion ingress into concrete. Struct. Concr. 2019, 20, 519–536. [Google Scholar] [CrossRef]
- Ferreira, R.M. Implications on RC structure performance of model parameter sensitivity: Effect of chlorides. J. Civ. Eng. Manag. 2010, 16, 561–566. [Google Scholar] [CrossRef][Green Version]
- EN 14629:2007; Products and Systems for the Protection and Repair of Concrete Structures-Test Methods-Determination of Chloride Content in Hardened Concrete. CEN: Brussels, Belgium, 2007.
- EN 12390-11; Testing Hardened Concrete-Part 11: Determination of the Chloride Resistance of Concrete, Unidirectional Diffusion. CEN: Brussels, Belgium, 2010.
- ONR 24008 (2014 03 01); Assessment of the Bearing Capacity of Existing Railway and Road Bridges. ASI: Vienna, Austria, 2014.
- DIN 1045-1:2001-07; Concrete, reinforced and prestressed concrete structures-Part 1: Design. DIN: Berlin, Germany, 2001.
- JCSS-Joint Committee on Structural Safety. JCSS Probabilistic Model Code; JCSS: Aalborg, Denmark, 2000. [Google Scholar]
- Braml, T. On the Assessment of the Reliability of Concrete Bridges on the Basis of the Results of Structure Inspections. Ph.D. Thesis, Bundeswehr University Munich, Neubiberg, Germany, 2010. [Google Scholar]
- Braml, T.; Keuser, M.; Bergmeister, K. Basics and Development of Stochastic Models for a Structural Reliability Assessment of Reinforced Concrete Bridges on the Basis of the Results from Bridge Inspection. Beton-Und Stahlbetonbau 2011, 106, 112–121. [Google Scholar] [CrossRef]
- EN 1992-4; 2018 Design of Concrete Structures. Design of Fastenings for Use in Concrete (Eurocode 2–Part 4). CEN: Brussels, Belgium, 2018.
- EOTA-European Organization for Technical Approvals. ETAG 001: Guideline for European Technical Approval of Metal Anchors for Use in Concrete, Annex C: Design Methods for Anchorages; 3rd Amendment; EOTA: Brussels, Belgium, 2010. [Google Scholar]
- ACI-American Concrete Institute. Adhesive Anchor Installer Workbook; ACI: Farmington Hills, MI, USA, 2012. [Google Scholar]
- BS 8539:2012; Code of Practice for the Selection and Installation of Post-Installed Anchors in Concrete and Masonry. BSI: London, UK, 2012.
- German Institute for Construction Engineering. Instructions for the Installation of Dowel Anchors; DIBt: Berlin, Germany, 2010. [Google Scholar]
- NTSB-National Transportation Safety Board. Highway Accident Report: Ceiling Collapse in the Interstate 90 Connector Tunnel at Boston, Massachusetts, July 10, 2006; NTSB: Washington, DC, USA, 2007. [Google Scholar]
- Kawahara, S.; Shirato, M.; Kajifusa, N.; Kutsukake, T. Investigation of the tunnel ceiling collapse in the central expressway in Japan. In Transportation Research Board 93rd Annual Meeting; Transportation Research Board: Washington, DC, USA, 2014. [Google Scholar]
- Grosser, P.; Fuchs, W.; Eligehausen, R. A field study of adhesive anchor installations. Concr. Int. 2011, 33, 57–63. [Google Scholar]
- New Civil Engineer. Industry Fears over Fixings. Available online: www.newcivilengineer.com/latest/industry-fears-over-fixings-10-09-2015 (accessed on 15 January 2022).
- Standring, P. Fastener and Fixings. A Consideration of Zero Defects. Available online: www.fastenerandfixing.com/technical/a-consideration-of-zero-defects (accessed on 15 January 2022).
- Spyridis, P.; Walter, L.; Dreier, J.; Biermann, D. Laboratory investigations on the installation of fasteners in fiber reinforced concrete. In RILEM-Fib International Symposium on Fibre Reinforced Concrete; Springer International Publishing: Heidelberg, Germany, 2020. [Google Scholar]
- Farzampour, A. Temperature and humidity effects on behavior of grouts. Adv. Concr. Constr. 2017, 5, 659–669. [Google Scholar]
- Farzampour, A. Compressive Behavior of Concrete under Environmental Effects. In Compressive Strength of Concrete; Kryvenko, P., Ed.; IntechOpen: London, UK, 2019. [Google Scholar]
- Chalangaran, N.; Farzampour, A.; Paslar, N.; Fatemi, H. Experimental investigation of sound transmission loss in concrete containing recycled rubber crumbs. Adv. Concr. Constr. 2021, 11, 447–454. [Google Scholar]
- Chalangaran, N.; Farzampour, A.; Paslar, N. Nano silica and metakaolin effects on the behavior of concrete containing rubber crumbs. Civ. Eng. 2020, 1, 264–274. [Google Scholar] [CrossRef]
- Liao, J.; Yang, K.Y.; Zeng, J.J.; Quach, W.M.; Ye, Y.Y.; Zhang, L. Compressive behavior of FRP-confined ultra-high performance concrete (UHPC) in circular columns. Eng. Struct. 2021, 249, 113246. [Google Scholar] [CrossRef]
- Pan, B.; Liu, F.; Zhuge, Y.; Zeng, J.J.; Liao, J. ECCs/UHPFRCCs with and without FRP reinforcement for structural strengthening/repairing: A state-of-the-art review. Constr. Build. Mater. 2022, 316, 125824. [Google Scholar] [CrossRef]
- Zeng, J.J.; Ye, Y.Y.; Quach, W.M.; Lin, G.; Zhuge, Y.; Zhou, J.K. Compressive and transverse shear behaviour of novel FRP-UHPC hybrid bars. Compos. Struct. 2021, 281, 115001. [Google Scholar] [CrossRef]
- Ahmad, A.; Farooq, F.; Niewiadomski, P.; Ostrowski, K.; Akbar, A.; Aslam, F.; Alyousef, R. Prediction of compressive strength of fly ash based concrete using individual and ensemble algorithm. Materials 2021, 14, 794. [Google Scholar] [CrossRef] [PubMed]
- Song, H.; Ahmad, A.; Farooq, F.; Ostrowski, K.A.; Maślak, M.; Czarnecki, S.; Aslam, F. Predicting the compressive strength of concrete with fly ash admixture using machine learning algorithms. Constr. Build. Mater. 2021, 308, 125021. [Google Scholar] [CrossRef]
- Xu, Y.; Ahmad, W.; Ahmad, A.; Ostrowski, K.A.; Dudek, M.; Aslam, F.; Joyklad, P. Computation of High-Performance Concrete Compressive Strength Using Standalone and Ensembled Machine Learning Techniques. Materials 2021, 14, 7034. [Google Scholar] [CrossRef]
- Farooq, F.; Nasir Amin, M.; Khan, K.; Rehan Sadiq, M.; Faisal Javed, M.; Aslam, F.; Alyousef, R. A comparative study of random forest and genetic engineering programming for the prediction of compressive strength of high strength concrete (HSC). Appl. Sci. 2020, 10, 7330. [Google Scholar] [CrossRef]
- Farooq, F.; Ahmed, W.; Akbar, A.; Aslam, F.; Alyousef, R. Predictive modeling for sustainable high-performance concrete from industrial wastes: A comparison and optimization of models using ensemble learners. J. Clean. Prod. 2021, 292, 126032. [Google Scholar] [CrossRef]
- Wendner, R.; Strauss, A.; Guggenberger, T.; Bergmeister, K.; Teplý, B. Approach for the assessment of concrete structures subjected to chloride induced deterioration. Beton-Und Stahlbetonbau 2010, 105, 778–786. [Google Scholar] [CrossRef]
- Strauss, A.; Krug, B.; Slowik, O.; Novak, D. Combined shear and flexure performance of prestressing concrete T-shaped beams: Experiment and deterministic modelling. Struct. Concr. 2018, 19, 16–35. [Google Scholar] [CrossRef]















| CC/RC | Description of Consequence Class (CC) | Reliability (β) and Associated Probability of Failure pf | |
|---|---|---|---|
| 1 Year | 50 Years | ||
| 1 (High) | High consequence for loss of human life. Enormous economic, social or environmental consequences, e.g., grandstands and public buildings. | β = 5.2, pf = approx. 10−7 | β = 4.3, pf = approx. 10−5 |
| 2 (Medium) | Medium consequence for loss of human life. Considerable economic, social or environmental consequences, e.g., residential and office buildings. | β = 4.7, pf = approx. 10−6 | β = 3.8, pf = approx. 10−4 |
| 3 (Low) | Low consequence for loss of human life. Small or negligible economic, social or environmental consequences, e.g., agricultural, storage buildings or greenhouses. | β = 4.2, pf = approx. 10−5 | β = 3.3, pf = approx. 10−3 |
| Variable | Symbol | Unit | Default Value | Level for Obtaining the Model Parameters | Test Procedure, Test Details | Literature and Background Information | Distribution * | Maximal Value | Minimal Value | Mean Value | Standard Deviation |
|---|---|---|---|---|---|---|---|---|---|---|---|
| ① | ② | ③ | ④ | ⑤ | ⑥ | ⑦ | ⑧ | ⑨ | ⑩ | ⑪ | ⑫ |
| (1a) RNAC−1 | (mm2/year)/(kg/m3) | - | 3(ii) | [17,18,19] | [5,9,20,21,22,23,24,25,26] | N | μ | Σ | |||
| (1b) kNAC (alternative) | mm/year0.5 | - | 3(i) and 3(ii) | [5,20] | [5,9,20,21,22,23,24,25,26] | N | 11 | 1 | μ | σ | |
| (2) kc | bc | — | -0.6 | 3(i) | - | [5,9,20,21,22,23,24,25,26] | N | −0.5 | −0.8 | –0.6 | 0.25 |
| tc | days | 3 | 1 and 3(i) | - | [5,9,17,20,21,22,23,24,25,26] | K | 7 | 2 | μ | — | |
| (3) ke | RHa | %RH | 75 | 1, 2 and 3(i) | - | [5,9,21,22,23,24,25,26] | W | 85 | 75 | μ | σ |
| RHl | %RH | 65 | 1, 2 and 3(i) | - | [5,9,21,22,23,24,25,26] | K | 65 | 65 | 65 | — | |
| ge | — | 2.5 | 3(i) | - | [5,9,17,20,21,22,23,24,25,26] | K | 2.5 | 2.5 | 2.5 | — | |
| fe | — | 5 | 3(i) | - | [9,21,22,23,24,25,26,27,28,29] | K | 5 | 5 | 5 | — | |
| (4) W(t) | ToW | — | 0.2 | 1 and 3(i) | - | [5,9,20,23,24,25,26] | K | 0.5 | 0 | μ | — |
| pdr | — | 0.3 | 1 and 3(i) | - | [5,9,20,23,24,25,26] | K | 0.6 | 0 | μ | — | |
| bw | — | 0.3 | 1 and 3(i) | - | [5,9,20,23,24,25,26] | K | 0.71 | 0.24 | 0.5 | 0.16 | |
| t0 | year | 0.767 | 1 | - | [5,9,20,23,24,25,26] | K | 0.0767 | 0.0767 | 0.0767 | — | |
| (5a) Ca | kg/m3 | 3 | - | [5,9,20,23,24,25,26] | N | μ | σ | ||||
| (5b) ka (alternative) | Ca | vol.% | 0.042 | 1 and 2 | - | [9,25,26,27] | N | 0.044 | 0.036 | μ | σ |
| Cl | vol.% | 0.044 | 3b | - | [25,26,27] | K | 0.044 | 0.044 | 0.04 | — | |
| (6) c | mm | 35 | 1, 2 and 3 | - | [25,26,27] | N | 85 | 15 | μ | σ | |
| (7) tSL | year | 100 | 1 and 3 | - | - | K | 120 | 1 | 50 | — | |
| Reliability index β | 0 | 1 | 2 | 3 | 4 | 4.5 | 5 |
| Failure probability pf | 50% | 15% | 2.3% | 0.1% | 0.03% | 0.003% | 0.0005% |
| Resistance Class | 2 | 3 | 4 | 5 | 6 | 7 | |
|---|---|---|---|---|---|---|---|
| Ranges of kNAC (mm/year0.5) | 1 < kNAC ≦ 2 | 2 < kNAC ≦ 3 | 3 < kNAC ≦ 4 | 4 < kNAC ≦ 5 | 5 < kNAC ≦ 6 | 6 < kNAC ≦ 7 | |
| Cement type | CEM I | 0.45 | 0.50 | 0.55 | 0.60 | 0.65 | – |
| CEM II/A | 0.45 | 0.50 | 0.55 | 0.60 | 0.65 | – | |
| CEM II/B | 0.40 | 0.45 | 0.50 | 0.55 | 0.60 | 0.65 | |
| CEM III/A | 0.40 | 0.45 | 0.50 | 0.55 | 0.60 | 0.65 | |
| CEM III/B | – | 0.40 | 0.45 | 0.50 | 0.55 | 0.60 | |
| Exposure Class | RHa (%) | ToW (–) | pdr (–) | |
|---|---|---|---|---|
| XC1 | Dry | ≥65 | =0.0 | =0.0 |
| XC2 | Wet | ≥90 | =0.0 | =0.0 |
| XC3 | Outdoor, sheltered | ≥75 | =0.0 | =0.0 |
| XC4 | Outdoor, unsheltered | ≥75 | ≥0.2 | ≥0.1 |
| Exposure Class | CO2 Concentration Ca (vol.%) | |||
|---|---|---|---|---|
| Mean Value μ | Standard Deviation σ | |||
| XC1 | Normal | Indoor | 0.036 ≦ μ ≦ 0.043 | 0.0010 ≦ σ ≦ 0.0080 |
| XC2 | Normal | E.g., foundation | 0.036 ≦ μ ≦ 0.043 | 0.0010 ≦ σ ≦ 0.0080 |
| XC3/XC4 | Normal | Rural | 0.036 ≦ μ ≦ 0.042 | 0.0010 ≦ σ ≦ 0.0055 |
| Urban | 0.038 ≦ μ ≦ 0.043 | 0.0015 ≦ σ ≦ 0.0080 | ||
| Variable | Symbol | Unit | Default Value | Level for Obtaining the Model | Test Procedure, Test Details | Literature and Background Information | Distribution * | Maximum Value | Minimum Value | Mean Value | Standard Deviation |
|---|---|---|---|---|---|---|---|---|---|---|---|
| ① | ② | ③ | ④ | ⑤ | ⑥ | ⑦ | ⑧ | ⑨ | ⑩ | ⑪ | ⑫ |
| (1) C(x,t) | M.-%/z | - | 3(ii) | [9,27,28,29,30,31,32,33,34,35,36,37,38,39] | — | — | — | — | — | ||
| (2) CS,Δx | M.-%/z | - | 3(ii) | [9,27,28,29,30,31,32,33,34,35,36,37,38] | [9,27,28,29,30,31,32,33,34,35,36,37,38,39] | LN | 3 | 0.75 | 2.6 | 1.2 | |
| (3) x | mm | 35 | 1 and 2 | [9,27,28,29,30,31,32,33,34,35,36,37,38,39] | N | 80 | 15 | 55 | 5 | ||
| (4) Δx | mm | 5 | 3(ii) | [9,27,28,29,30,31,32,33,34,35,36,37,38,39] | B | 50 | 0 | 8.9 | 5.6 | ||
| (5) DEff,C(t) (mm2/a) | ke | — | - | 3(i) and 3(ii) | [33,39,40] | [9,27,28,29,30,31,32,33,34,35,36,37,38,39] | — | — | — | — | — |
| kt | — | 1 | 3(i) and 3(ii) | [9,27,28,29,30,31,32,33,34,35,36,37,38,39] | K | 1 | 2.5 | 2.5 | — | ||
| DRCM,0 CEM I | mm2/a | 60 | 3(i) and 3(ii) | [9,27,28,29,30,31,32,33,34,35,36,37,38,39,40] | N | 280 | 789 | 320 | 64 | ||
| DRCM,0 CEM III/B | mm2/a | 320 | 3(i) and 3(ii) | [9,27,28,29,30,31,32,33,34,35,36,37,38,39] | N | 107 | 44 | 60 | 12 | ||
| A | — | - | 3(i) and 3(ii) | [9,27,28,29,30,31,32,33,34,35,36,37,38,39] | — | — | — | — | — | ||
| (6) ke (-) | be | K | 4800 | 3a | - | [9,27,28,29,30,31,32,33,34,35,36,37,38,39] | N | 5950 | 3650 | 4800 | 700 |
| Tref | K | 293 | 3(ii) | - | [9,27,28,29,30,31,32,33,34,35,36,37,38,39] | K | 293 | — | — | ||
| TIST | K | 280 | 1 and 2 | - | [5,9,27,28,29,30,31,32,33,34,35,36,37,38,39] | N | 293 | 271 | 282 | 7 | |
| (7) A(t) (-) | aCEM I | — | 0.3 | 3(ii) | - | [9,27,28,29,30,31,32,33,34,35,36,37,38,39] | B | 1 | 0.1 | 0.3 | 0.12 |
| aCEM III/B | — | 0.45 | 3(ii) | - | [9,27,28,29,30,31,32,33,34,35,36,37,38,39] | B | 1 | 0.1 | 0.45 | 0.20 | |
| t0 | a | 0.076 | 3(i) | - | [9,27,28,29,30,31,32,33,34,35,36,37,38,39] | LN | 0.088 | 0.065 | 0.0767 | 0.007 | |
| w/c (-) | DRCM,0 (10−12 m2/s) | DRCM,0 (mm2/year) |
|---|---|---|
| 0.40 | 1.4 | 44 |
| 0.45 | 1.9 | 60 |
| 0.50 | 2.8 | 88 |
| 0.55 | 3.0 | 95 |
| 0.60 | 3.4 | 107 |
| Variable Symbol | Unit | Literature and Background Information | Distribution * | Mean Value | Standard Deviation | COV |
|---|---|---|---|---|---|---|
| (1) MRD | (MNm) | [43,44,45] | - | - | - | - |
| (2) MED | (MNm) | [43,44,45] | LN | 0.05 | 0.01 | 0.2 |
| (3) AS | (cm2/m) | [43,44,45] | K | 27.14 | 0.5428 | 0.02 |
| (4) fy | (N/mm2) | [43,44,45] | LN | 560 | 30 | 0.05357 |
| (5.1) fc C30/37 | (N/mm2) | [43,44,45] | LN | 38 | 4.75 | 0.125 |
| (5.1) fc C30/37 | (N/mm2) | [43,44,45] | LN | 27 | 3.5 | 0.125 |
| (6) b | (m) | [43,44,45] | N | 0.2 | 0.2 | 0.02 |
| (7) h | (m) | [43,44,45] | N | 1 | 0.004 | 0.02 |
| (8.1) d1 | (m) | [43,44,45] | G | 0.032 | 0.0054 | 0.17 |
| (8.2) d12 | (m) | [43,44,45] | G | 0.042 | 0.00714 | 0.17 |
| (9) ka | (-) | [43,44,45] | N | 0.416 | 0.0405 | 0.05 |
| (10) αc | (-) | [43,44,45] | K | 0.85 | - | - |
| (11) αR | (-) | [43,44,45] | N | 0.816 | 0.0208 | 0.05 |
| (-) | [43,44,45] | LN | 1.2 | 0.18 | 0.15 | |
| (-) | [43,44,45] | LN | 1 | 0.07 | 0.07 |
| Concrete Failure | |
|---|---|
| Cone break-out failure, edge break-out failure, blow-out failure and pry-out failure | γΜc = γc * γinst. γc = 1.5a; see EN 1998 for seismic repair and strengthening. γinst = 1.0 for headed fasteners and anchor channels satisfying the requirement of 4.5 (in tension and shear), ≥1.0 for post-installed fasteners in tension; see relevant European Technical Product Specification, =1.0 for post-installed fasteners in shear. |
| Splitting failure | γΜsp = γMc |
| Pull-out Failure | |
| Pull-out and combined pull-out and concrete failure | γΜp = γMc |
| a The values are in accordance with EN 1992-1-1. | |
| Variable Symbol | Unit | Literature and Background Information | Distribution * | Mean Value | Range | COV | Distribution * | Mean Value | Range | COV |
|---|---|---|---|---|---|---|---|---|---|---|
| (1) Anchor diameter d | (mm) | - | K | 16 | - | - | K | 16 | - | - |
| (2) Embedment depth heff | (mm) | - | R | 80 | 0.5 | 0.004 | R | 80 | 2 | 0.018 |
| (3) Bond strength τ | (N/mm2) | [56] | LN | 16.05 | 0.39 | 0.024 | LN | 15.25 | 0.41 | 0.027 |
| (4) Load E | (N) | - | N | 40,000 | 5000 | 0.125 | N | 40,000 | 5000 | 0.125 |
Publisher’s Note: MDPI stays neutral with regard to jurisdictional claims in published maps and institutional affiliations. |
© 2022 by the authors. Licensee MDPI, Basel, Switzerland. This article is an open access article distributed under the terms and conditions of the Creative Commons Attribution (CC BY) license (https://creativecommons.org/licenses/by/4.0/).
Share and Cite
Strauss, A.; Spyridis, P.; Zambon, I.; Sattler, F.; Apostolidi, E. Quality Control Method for the Service Life and Reliability of Concrete Structures. Infrastructures 2022, 7, 24. https://doi.org/10.3390/infrastructures7020024
Strauss A, Spyridis P, Zambon I, Sattler F, Apostolidi E. Quality Control Method for the Service Life and Reliability of Concrete Structures. Infrastructures. 2022; 7(2):24. https://doi.org/10.3390/infrastructures7020024
Chicago/Turabian StyleStrauss, Alfred, Panagiotis Spyridis, Ivan Zambon, Fabian Sattler, and Eftychia Apostolidi. 2022. "Quality Control Method for the Service Life and Reliability of Concrete Structures" Infrastructures 7, no. 2: 24. https://doi.org/10.3390/infrastructures7020024
APA StyleStrauss, A., Spyridis, P., Zambon, I., Sattler, F., & Apostolidi, E. (2022). Quality Control Method for the Service Life and Reliability of Concrete Structures. Infrastructures, 7(2), 24. https://doi.org/10.3390/infrastructures7020024

