Next Article in Journal
Design of an Innovative Twin-Disc Device for the Evaluation of Wheel and Rail Profile Wear
Next Article in Special Issue
Experimental Fitting of Efficiency Hill Chart for Kaplan Hydraulic Turbine
Previous Article in Journal
Mechanical Transmissions with Convex–Concave Multipair Contact of Teeth in Precessional Gearing
Previous Article in Special Issue
From Generation to Reuse: A Circular Economy Strategy Applied to Wind Turbine Production
 
 
Font Type:
Arial Georgia Verdana
Font Size:
Aa Aa Aa
Line Spacing:
Column Width:
Background:
Article

Optimized Floating Offshore Wind Turbine Substructure Design Trends for 10–30 MW Turbines in Low-, Medium-, and High-Severity Wave Environments

by
Joseph Habib Dagher
,
Andrew J. Goupee
* and
Anthony M. Viselli
University of Maine Advanced Structures and Composites Center, Orono, ME 04469, USA
*
Author to whom correspondence should be addressed.
Designs 2024, 8(4), 72; https://doi.org/10.3390/designs8040072
Submission received: 8 June 2024 / Revised: 7 July 2024 / Accepted: 15 July 2024 / Published: 18 July 2024
(This article belongs to the Special Issue Design and Analysis of Offshore Wind Turbines)

Abstract

Floating offshore wind is a promising renewable energy source, as 60% of the wind resources globally are found at depths requiring floating technologies, it minimizes construction at sea, and provides opportunities for industrialization given a lower site dependency. While floating offshore wind has numerous advantages, a current obstacle is its cost in comparison to more established energy sources. One cost-reduction approach for floating wind is increasing turbine capacities, which minimizes the amount of foundations, moorings, cables, and O&M equipment. This work presents trends in mass-optimized VolturnUS hull designs as turbine capacity increases for various wave environments. To do this, a novel rapid hull optimization framework is presented that employs frequency domain modeling, estimations of statistical extreme responses, industry constructability requirements, and genetic algorithm optimization to generate preliminary mass-optimal VolturnUS hull designs for a given turbine design and set of site conditions. Using this framework, mass-optimized VolturnUS hull designs were generated for 10–30 MW turbines for wave environments of varying severities. These design studies show that scaling up turbine capacities increases the mass efficiency of substructure designs, with decreasing returns, throughout the examined turbine capacity range. Additionally, increased wave environment severity is shown to increase the required mass of a given substructure design.

1. Introduction

Floating offshore wind turbine (FOWT) technology is anticipated to be a major aspect of the global green energy transition in the coming decades, with the global floating offshore wind pipeline seeing a 69% increase from 60,746 MW to 102,529 MW in 2022 alone [1]. While the floating offshore wind market currently enjoys worldwide governmental support and is drawing large investments for offshore lease sites, notably the United States Bureau of Ocean Energy Management’s 2022 lease auctions that sold for a total of USD 5.44 billion, there are still economic barriers to large-scale commercial implementation [1]. A major barrier towards implementation is the levelized cost of energy (LCOE) of commercial-scale floating offshore wind farms, currently estimated to be USD 89/MWh, in comparison to more established sources of energy such as fixed-bottom offshore wind and land-based wind, which have estimated LCOEs of USD 63/MWh [1] and USD 32/MWh [2], respectively. In response to this economic obstacle, there are currently international efforts to reduce the LCOE of floating offshore wind, such as the United States Department of Energy’s goal of a 70% reduction by 2035 [3]. To achieve the necessary LCOE reductions that would make FOWT technologies more commercially competitive, there has been significant commercial and research interest in system optimization and cost reductions in recent years [4].
Several of such studies examined the broad optimization of substructure configuration. Firstly, Karimi et al. used a multi-objective genetic algorithm optimization routine along with a frequency-domain model to minimize both system cost and nacelle accelerations in order to investigate optimal substructure configurations for a 5 MW turbine [5]. It was found in this work that both tension-leg platforms (TLPs) and semi-submersible designs with one central and three radial flotation columns lead to the most cost-optimal and nacelle acceleration-minimized design configurations. Furthermore, focusing specifically on the topology optimization of semi-submersibles using a multi-objective genetic algorithm seeking to minimize system cost and peak nacelle accelerations, Mas-Soler et al. similarly found that a semi-submersible platform with one central and three radial flotation columns and additionally a three column design to be the optimal topologies [6]. As these studies dealt with broad topology optimization, the designs generated were general and not necessarily industry ready. Additionally, for commercial design purposes, there is no need to minimize the nacelle accelerations past a design constraint limit. The most important aspect for commercial hull design is the minimization of costs as long as the designed system satisfies the necessary American Bureau of Shipping (ABS) hydrostatics, accelerations, motions, and constructability constraints [7].
Furthermore, as an optimal design topology has become more well-established in the literature, more optimized open-source designs have been generated. One such optimized design is TaidaFloat, a mass-optimized three-column semi-submersible design generated using high-fidelity tools such as OrcaWave and AQWA by [8]. As governmental and worldwide pushes for LCOE reduction have increased [3], hull optimization work has diverged from traditional semi-submersible, spar, and TLP designs. One such study carried out by Ramsay et al. covered the cost-optimization of a cruciform barge design with water ballast motion mitigation technology [9]. Notably, these studies examined designs for one wave environment, and for one turbine design, leading to questions about how the topology optimization changes for variations in these factors. Additionally, throughout the range of hull design optimization work, there is a lack of work specifically relating to rapid optimization, which this research aims to address, as current hull design processes can take months to complete and the ability to rapidly generate designs in a matter of minutes could accelerate this process.
Moreover, throughout the large body of hull design research, there is a lack of work investigating the scaling of a singular commercially available hull design for varied turbine power ratings and wave environments. Additionally, with the exception of the hull scaling laws proposed by Sergiienko et al. [10] based on open-source designs, much of the present work does not reflect the rapid growth in the capacities of commercial turbine into the 20 MW range [1]. The work present in the current literature involves the examination of trends across already-designed substructures from various sources. In one such work, Edwards et al. cover the progression of design optimization from the beginning of the floating offshore wind industry to the present day [11]. In this study, trends in design dimensions such as semi-submersible width and draft are analyzed, but considering the variation in hull designs and developers, only gross, overall trends can be observed with a limited amount of fidelity. Additionally, while environmental considerations are discussed for various designs, trends in designed dimensions as a function of environmental conditions are not covered.
Considering these current industry and research trends and needs, this work aims to provide: (1) A robust, rapid, first-pass hull design optimization methodology and corresponding MATLAB toolbox that returns mass-minimized substructure designs for a given turbine and wave environment subject to the relevant ABS design requirements [7] with a computational time of 5–10 min, which is a novelty and can be useful for accelerating the time necessary to produce a final hull design. (2) Design trends of VolturnUS substructures tracked over a range of turbine power ratings, from 10 to 30 MW, and through wave environments of varying severities using the hull design mass optimization tool. From these trends, conclusions about the cost-efficiency and scaling of substructure designs for different wave environments and turbine power ratings can be drawn.

Overview of Processes

The flow of the substructure mass optimization routine designed for this work is provided in Figure 1. Through sequentially running this optimization routine for various combinations of turbine designs and wave environment conditions, mass-minimized VolturnUS hull designs were generated for 10–30 MW turbines at low-, medium-, and high-severity wave environments.
As is shown in Figure 1, the substructure optimization routine receives inputs of the turbine design parameters, the offshore site’s wave environment conditions, and the constraints for the hull design. The turbine design parameters are taken from a turbine design parameter estimation tool, the offshore site’s metocean conditions are determined through statistical analyses of raw time series metocean condition data, and the design constraints come from a combination of IEC 61400-3-2 [12], ABS guidelines [7], and requirements from past VolturnUS designs. All of these inputs are then fed to the hull optimization tool, which uses a physics-based model of the FOWT design to compute stability characteristics, dynamic responses, and structural loads constraint violations and assign fitness values to specific design configurations. A genetic algorithm optimization routine is used to determine the mass-optimal hull design for the provided turbine design and wave environment conditions inputs.

2. Substructure Optimization Framework

In this section, the processes and methods used to study the design trends of the VolturnUS substructure for a range of wave environments and turbine capacities will be detailed. Firstly, a generalized turbine design parameter estimation tool to predict trends in turbine dimensions and mass properties throughout a relevant range of rated capacities is presented. Secondly, the wave environments of three commercially relevant sites with range of severities are defined to create mass-optimal hull designs for. Thirdly, a review of the VolturnUS geometry and the methods used for system performance evaluation are detailed. Lastly, the genetic algorithm used for the determination of the mass-optimal substructure design is outlined.

2.1. Turbine Design Parameter Estimation Model

In order to study the cost-optimality trends of various FOWT hull designs, a generalized turbine design tool is needed that can accurately predict trends in turbine dimensions and mass properties throughout a relevant range of turbine capacities. The tool developed in this work will be used to generate turbine designs throughout a range of turbine capacities. Recent efforts have developed a set of scaling laws for turbines up to a capacity of 24 MW using open-source turbine design data [10]. This work aims to estimate turbine gross property design trends up to the 30 MW range, as announced projects have reached planned capacities in the 30 MW range [13], and recent United States Department of Energy Advanced Research Projects Agency-Energy (ARPA-E)-funded work has indicated the feasibility of designs up to even 50 MW [14].
While the current literature generally uses the rotor diameter as the main independent variable for predictive turbine design [10], this work uses the rated power output of the turbine as the main independent variable. The reasoning behind this logic is because this work intends to examine designs over a range of turbine power ratings, and it is more intuitive and relevant to track hull and turbine design trends as a function of turbine power rating rather than turbine rotor diameter. Following the work of Sergiienko et al. [10], power fits were generated using MATLAB’s built-in ‘fit’ function, which uses a method of least-squares [15]. Power fits that follow the form of Equation (1) were used to track turbine design properties, apart from those properties in which realistic design constraints or design variability between developers limits the use of power fits.
y = a P b
where y is the turbine property in question, P is the power rating of the turbine in MW, and coefficients a and b are determined using the least-squares MATLAB algorithm.
In the case of the various centers of gravity, these values were normalized to their respective tower lengths and a constant multiplier was developed for these prediction equations. Additionally, the blade tip clearance to the tower base had to be limited to a reasonable range to yield feasible designs, which was chosen to be six meters based on available turbine data. The tower length and hub height were both back-computed using the already determined turbine properties. The turbine parameter equations, and their respective coefficients of determination ( R 2 ) and sum of squared errors (SSE) values, which are both measures of the goodness-of-fit of the equations with respect to the data [10], are listed in Table 1.
In the model equations presented in Table 1, P represents the rated power output of the turbine with units of MW, L t o w e r represents the length of the tower with units of meters, L B T C represents the blade tip clearance in units of meters, and R r o t o r represents the rotor radius. For the constant-coefficient fit equations (RNA C G s, tower base diameter, and tower vertical C G ), for which R 2 values are not applicable, all the slope coefficients were found to have SSE values on the magnitude of 10 4 or smaller, meaning that while the R 2 values would not show strong trends, their use is still reasonable. Additionally, the weaker trends found in the RNA CGs, blade tip clearance, and tower base diameter show that there is a noteworthy variation between the designed dimensions from different developers due to design decisions, regulations, and potentially other factors. With respect to the aerodynamics values such as the thrust, the rotor radius, and the tower length, there is less of a margin for variation as these values come from established turbine physics [16]. Lastly, from this analysis, it is observed that the major dimensions, masses, and thrusts of turbine designs from a range of various developers have strong trends and can be predicted with a reasonable level of accuracy. To verify the reliability the turbine estimation model from Table 1, open-source turbine design data (WindPACT 1.5 MW, Hitachi 2 MW, NREL 5 MW, LEANWIND 8 MW, IEA 10 MW, WINDMOOR 12 MW, IEA 15 MW, University of Texas 20 MW, and IEA 22 MW [10,17]) was gathered and plotted alongside the tool’s results, shown in Figure 2.
As is shown in Figure 2, the predictive turbine design tool has good agreement with the open-source turbine design data, showing that the tool is acceptable for the tracking of gross, overall turbine design value trends.

2.2. Site Selection and Characterization

In this work, VolturnUS hull designs will not be compared only over a range of turbine capacities, but also for a range of wave environment severities. Three offshore sites will be used for design comparison purposes: the Gulf of Maine Research Array (MeRA) in the United States [18], the Celtic Sea PDA 2 in Wales [19], and GoliatVIND in Norway [20]. These three sites were chosen due to their commercial relevance and because they have significantly different extreme event properties. To characterize the wave environments for these offshore sites for metocean analysis, guidance from the ABS is used [7].
In the ABS “Guide for Building and Classing Floating Offshore Wind Turbines July 2020”, which in turn references IEC 61400-3-3 [12], several sets of design load cases (DLCs) and survival load cases (SLCs) are presented. DLCs are various combinations of environmental, turbine operational, and numerous other conditions that may reasonably be experienced by a FOWT system, while SLCs are conditions that verify the survivability of the system and its air gap to the wave-free surface when subjected to conditions more severe than the most extreme DLCs outlined in the standard [7]. In general, for rigorous design purposes, all DLCs must be simulated to ensure the survivability of a given FOWT hull design. From previous work in FOWT hull design load studies, it has been determined that while other DLCs may control system design, designing to withstand DLC 6.1 will largely yield reasonable estimations of a system’s necessary overall design [21]. For the purposes of this work, the emphasis is on rapid initial hull design, and therefore DLC 6.1 is used as the primary load case.
To generate the DLC 6.1 50-year sea state metocean conditions for any given site, statistical analysis was performed on wave height data. Using these wave data and statistical analyses, the relevant DLC 6.1 wave environment conditions for hull design (wave height and wave period) can be estimated. Firstly, the wave height data for any given site was gathered from the BMT AGROSS (BMTA) database [22]. Following the retrieval of the data from the BMTA database, the Wave Analysis for Fatigue and Oceanography (WAFO) MATLAB toolbox [23] was used for the DLC 6.1 metocean condition estimation. Through the WAFO toolbox, the Gumbel distribution was used as the extreme value distribution (EVD) to predict the 50-year extreme wave events, as is common practice in extreme metocean condition prediction [24,25]. Additionally, to estimate of the peak 50-year wave period of a given site, the prediction equation in the Det Norske Veritas (DNV) offshore standard, DNV-OS-J101, was used [26]. To generate the estimate of the peak wave period in the 50-year severe sea state (SSS), the use of Equation (2) is recommended in DNV-OS-J101 [26]:
11.1 H S , S S S g T P 14.3 H S , S S S g
where H S , S S S is the severe sea state significant wave height, g is the acceleration due to gravity, and T P is the peak-estimated wave period for the SSS. The upper end of Equation (2) is used to generate an estimate of the maximum wave period that will be seen by the hull. Lastly, using these methods of 50-year significant wave height and peak wave period estimation, the DLC 6.1 wave environment conditions for the three offshore sites were characterized, as is shown in Table 2. Using the listed wave environment conditions, mass-optimized VolturnUS hull designs will be designed for 10–30 MW turbines.

2.3. Substructure Performance Evaluation

This section begins with a review of the VolturnUS substructure. Subsequently, the initial hull design process used for the performance analyses of this work will be described. This analysis will begin by covering hydrostatic calculations, which includes estimations of hull stability under various conditions and its stiffness in the relevant degrees of freedom. After this, the prediction of the hull rigid-body natural periods will be discussed, along with frequency-domain hull motion response amplitude operator (RAO) estimation using the natural periods. These RAOs will then be used for peak hull motion and nacelle acceleration estimations. Following this discussion, a method of hull load estimation and structural sizing is proposed. Finally, typical values for the aforementioned constraints are given for future use in a hull mass-optimization routine.

2.3.1. Review of VolturnUS Substructure

The VolturnUS is a post-tensioned concrete semi-submersible. The use of post-tensioned concrete instead of steel for the substructure design offers several advantages, including the application of globally applicable techniques from industrialized pre-cast bridge construction, higher resistance to corrosion, longer design life with lower operations and maintenance costs, and a heavier, more stable system compared to an equivalent steel system [27]. At the end of the system’s life cycle, the concrete can be recycled as aggregate for other concrete projects and the steel reinforcement can also be reused [28]. The geometry of the system consists of four total columns—three radial columns for providing stiffness and stability, and one central column that supports the turbine [29,30,31]. The hull’s loads are transferred between the central column and the radial columns by three post-tensioned concrete bottom beams and by three hinged steel top struts. The bottom beams of the system are ballasted with seawater to achieve the desired draft. The keystone is the section of the hull that connects the bottom of the central column to the bottom beams, as is shown in Figure 3. Figure 3 also shows a diagram of the relevant design dimensions for the VolturnUS substructure.
As seen in Figure 3, there are five independent design dimensions for VolturnUS substructure mass optimization: (1) central and radial column diameter (these are kept the same), (2) freeboard, (3) bottom beam height, (4) keystone radius, and (5) system radius. All other dimensions, such as section thicknesses, are dependent on these design dimensions for the purposes of this tool. The optimal values for these design dimensions for various wave environments and turbine designs are determined using a genetic algorithm hull mass optimizer with a set of performance-based design constraints, which are detailed in the following sections.

2.3.2. Hydrostatic Constraints

To assess the fitness of any given VolturnUS substructure design (specified values for column diameter, system radius, bottom beam height, freeboard, and keystone radius) for a defined wave environment and turbine design, performance design constraints are computed. The first set of performance constraints that are evaluated by the optimization routine in this work are the hydrostatic constraints: the platform pitch under peak thrust, the freeboard in the damaged condition, and the tow-out drafts. To begin the calculation of the hydrostatic constraints, all hull mass properties and basic stability metrics are computed. Firstly, all hull component structural volumes and then masses are calculated using the densities listed in Table 3.
Next, the hull component centers of gravity ( K G ) and centers of buoyancy ( K B ) from the hull’s keel are computed using Equation (3):
X s y s t e m = w i X i w i
where X s y s t e m is hull’s K G or K B , X i is the ith hull component’s K G or K B , and w i is the ith hull component’s mass or volume for K G and K B calculations, respectively. After this, the hull’s water plane second moment of area is calculated using Equation (4):
I w p , s y s t e m = A y 2 d A
where y is the perpendicular distance from the x-axis (the axis of rotation passing through the waterplane centroid) to a differential hull area in the water plane, d A . Using the water plane second moment of area and the system’s displaced volume, the metacentric radius, B M is found, as is shown in Equation (5):
B M s y s t e m = I w p , s y s t e m s y s t e m
where s y s t e m is the hull’s submerged volume. Using B M , the system’s metacentric height, G M , is found as shown in Equation (6).
G M = K B + B M K G
Lastly, before the calculation of the hydrostatic constraints can begin, a given hull design’s relevant stiffnesses and natural periods must be computed. The six FOWT hull degrees of freedom are shown in Figure 4.
From previous hull design work covering the VolturnUS geometry [32], there are three components of the hull hydrostatic stiffness matrix that are important for initial design performance evaluation: the stiffnesses in heave ( K 33 ) and in roll and pitch ( K 44 and K 55 , respectively). This is because the stiffnesses in surge and sway are more a function of the mooring system used, so they generally do not vary much with platform geometry, and the yaw stiffness is irrelevant for zero-degree wave heading analysis. Additionally, due to symmetry, the roll and pitch stiffnesses of the hull are the same, so only two stiffnesses are evaluated in this work, and the formulas for their computation are provided in Equations (7) and (8).
K 33 = ρ b a l l a s t g A w p
K 55 = ρ b a l l a s t g G M
where A w p is the waterplane area of the hull. Additionally, the effect of mooring stiffness has been neglected for these degrees of freedom (DOFs) as it is usually not significant. Using these stiffnesses, the hull’s rigid body natural frequencies can be found as shown in Equation (9):
ω n = 2 π T n = K i m i + m a , i
where K i is the stiffness for the ith degree of freedom, m i is the mass or inertia for the ith degree of freedom, and m a , i is the added mass or inertia for the ith degree of freedom induced by the acceleration of the hull through the seawater [33]. The added mass for an arbitrary degree of freedom is defined as provided in Equation (10):
m a = ρ C a V R
where C a is the added mass coefficient and V R is the reference volume, which are calculated using the equations for various section geometry provided in DNV-RP-C205 [34]. Also found in DNV-RP-C205 [34] are the added mass moment of inertia equations for given reference geometries. The natural frequencies of the hull designs are not directly constrained in the optimization routine, but their values are indirectly influenced through constraints on hull motions, accelerations, and loads, which, in turn, push the hull’s natural frequencies away from the peak wave frequencies to avoid resonant excitation.
Using these mass properties and stiffnesses, the hydrostatic constraints of the system can be evaluated. Firstly, for the hydrostatic constraints, under the peak thrust load of the turbine, the pitch angle of the hull and the minimum tilted freeboard of the hull are limited. The pitch angle of the system under the peak thrust load is found as shown in Equation (11) and the minimum freeboard in the peak thrust case at the furthest radial column is computed as provided in Equation (12):
θ h e e l = F t L t + W R N A C G R N A , x K 55
F B h e e l = F B i n i t i a l ( R s y s t e m + D c o l u m n 2 ) sin ( θ h e e l )
where F t is the thrust force, L t is the thrust moment arm length from the mooring fairlead to the hub height, W R N A is the RNA weight, C G R N A , x is the RNA x-center of gravity, F B is the freeboard, and R s y s t e m is the system radius. For this work, the pitch angle under a peak thrust load is limited to 6.5 degrees and the minimum freeboard under the peak thrust load is limited to 1.5 m [7].
The second hydrostatic constraint examined is the damaged freeboard of the hull design, as is stipulated in the ABS FOWT guidelines [7]. For the VolturnUS, the worst-case damaged freeboard of the hull occurs when a watertight chamber at the far radial column floods, and it is computed as is shown in Equation (13):
F B d a m a g e = F B i n i t i a l ρ g V c K 33 ( R s y s t e m + D c o l u m n 2 ) sin ( ρ g V c r c K 55 )
where V c is the watertight chamber’s volume, r c is the radial distance from the system’s CG to the watertight chamber’s CG, and D c o l u m n is the column diameter. As is seen with all operational cases, the freeboard must remain greater than or equal to 1.5 m [7]. Lastly, the tow-out drafts of the FOWT system with and without the turbine are calculated to ensure the possibility of transporting the system to its offshore site.

2.3.3. System Dynamics Constraints

Another set of system performance constraints that are evaluated for any given VolturnUS substructure design within the mass optimization routine are related to the system dynamics. The dynamics constraints considered for designs in this work are (1) the minimum dynamic air gap and (2) the peak nacelle accelerations in the fore–aft and vertical directions. Firstly, for the system dynamics analyses performed in this work, estimations of any given VolturnUS system’s motion magnitude response amplitude operators (RAOs) are required. Within this optimization routine, to provide rapid estimates of the motion RAOs, a method of scaling [10] was applied to the OpenFAST-generated motion RAOs of the VolturnUS-S 15 MW system [32]. To generate the VolturnUS-S 15 MW system motion RAOs, 5000-s wave simulations were run with wave periods ranging from 2.5 to 30 s at increments of 0.25 s and a wave heading of zero degrees. Aerodynamic effects were not considered and a wave amplitude of 1 m was used. Lastly, the viscous damping matrix for the hull was generated using OpenFOAM [32]. A table of the period and magnitude scaling factors used in this work for the surge, heave, and pitch RAOs is provided in Table 4:
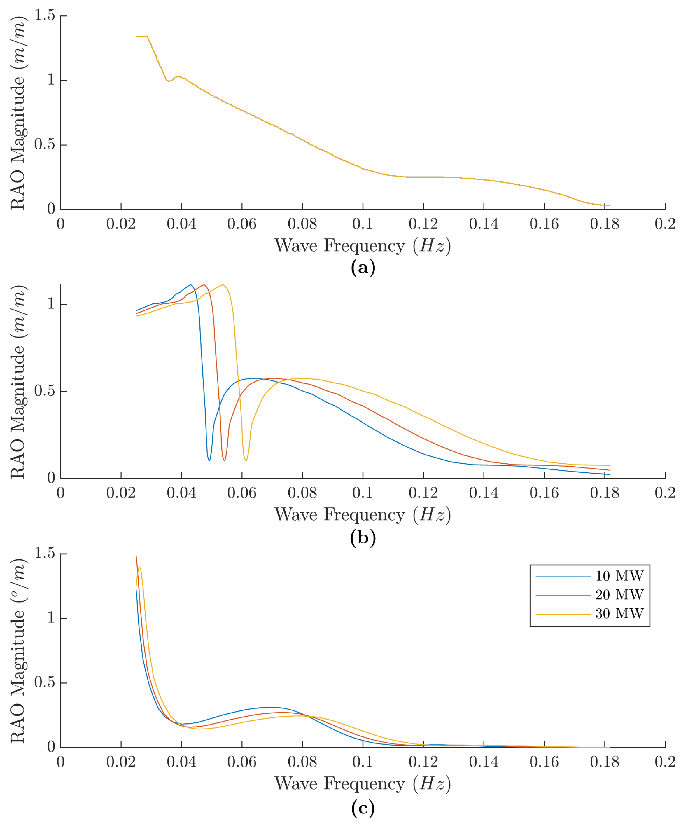
Where m m o d e l and m p r o t o are the model and prototype FOWT system masses and T i , m o d e l and T i , p r o t o are the model and prototype FOWT system natural periods for the ith degree of freedom. As is seen in Table 4, the surge RAO is assumed to be the same for every design and the heave and pitch RAO periods are scaled by the listed factors to ensure the correct locations of the peaks for the respective prototype designs. Additionally, as the heave and surge motion RAOs have unitless magnitudes, their magnitudes did not require scaling. The pitch RAO, however, requires scaling to reflect how larger systems would pitch less than a smaller system for the same wave height, as the pitch RAO is not unitless. For this reason, the pitch RAO magnitude is Froude scaled based on the cubic root of the ratio between the model and prototype system masses [10]. A comparison of scaling model’s predicted surge, heave, and pitch motion RAOs for the optimized Celtic Sea VolturnUS 10, 20, and 30 MW designs is provided in Figure 5.
As is shown in Figure 5, the scaled RAOs for surge remain the same, for heave the frequencies of the responses are scaled, and for pitch both the magnitudes and frequencies of the responses are scaled. Furthermore, using a frequency-domain model of the wave environment with the RAOs of a given substructure configuration, the system dynamics can be studied. For this work, as detailed in the preceding sections, the sea state that is considered is the extreme 50-year sea state, known as DLC 6.1. The JONSWAP spectrum is widely used near the spectral peak [35], and therefore is an acceptable wave spectrum idealization of DLC 6.1 for this work.
The first dynamics constraint analyzed in the hull mass optimization routine is the minimum air gap. The air gap for a FOWT system is defined as the distance from the lowest working deck of the hull to the free surface of the seawater [36]. For the VolturnUS, the lowest working deck is defined as the tops of the central and radial columns, and the worst-case air gap scenario evaluated in this work is for a high wave occurring at the far edge of the radial column when the radial column is at its lowest position, as shown in Figure 6.
To analyze the vertical position of the far edge of the radial column in the frequency domain, the heave and pitch RAOs of the hull were combined to create the vertical motion RAO provided in Equation (14):
h R C V ( ω ) = h 33 ( ω ) + ( R s y s t e m + D c o l u m n 2 ) h 55 ( ω )
where h 33 ( ω ) and h 55 ( ω ) are the heave and pitch motion RAOs, respectively. To compute the worst-case vertical motion of a given hull design with respect to the DLC 6.1 sea state, the variance of the response with respect to the sea state, ω 2 , is first computed using Equation (15) [37]:
σ 2 = 0 S ( ω ) | h R C V ( ω ) | 2 d ω
where S ( ω ) is the computed JONSWAP wave spectrum. From the variance found in Equation (15), the statistical maximum response over a short-term description of the sea is found using Equation (16) [37]:
R m a x = 2 σ 2 ln ( t T m )
where t is the short-term (three-hour) description of the sea, T m is the JONSWAP-estimated mean wave period, and R m a x is the statistically predicted maximum value of the desired response over the short-term description of the sea. In this case, this is the peak vertical displacement response of the given VolturnUS configuration in the DLC 6.1 sea state. Lastly, the minimum required freeboard can be predicted from the sum of the square root of maximum response and the peak wave height squared, as is shown in Equation (17):
F B r e q = ( R m a x , R C V ) 2 + ( 0.93 H S ) 2 + 1.5 m
where the maximum wave height is 0.93 times the significant wave height and the required ABS minimum air gap of 1.5 m [7] is added to the total quantity. The square root of the sum of the wave height and maximum response squared is taken to provide a reasonable estimate of the peak response, as it involves two time-varying signals [38]. The required freeboard returned by the Equation (17) is compared to the freeboard of each VolturnUS design generated in an iteration of the optimization routine, and if the freeboard of the design is greater than or equal to the required freeboard, the air gap constraint is considered to be satisfied.
The other system dynamics constraints that are examined by the optimization routine are the fore–aft and vertical nacelle accelerations of the system. The acceleration of the nacelle in these two directions, shown in Figure 7, is limited to protect the turbine components and to reduce the system’s loads, as the nacelle’s accelerations can produce loads comparable to the magnitude of the aerodynamic thrust [39].
To analyze the nacelle accelerations of a given VolturnUS system configuration to analyze if they are above the acceptable limits, a frequency-domain model is used with the JONSWAP of the wave environment to compute statistical maximum responses. Firstly, to create the nacelle acceleration RAOs, only rigid body motions are examined, meaning effects from tower bending are ignored. Accordingly, the rigid body motion RAOs were converted to acceleration RAOs for each relevant degree of freedom by taking their second derivatives, as is shown in Equation (18):
h ¨ ( ω ) = h ( ω ) ω 2
where h ( ω ) is the RAO magnitude at a given frequency, ω . The relevant rigid-body motion degrees of freedom for vertical nacelle acceleration are heave and pitch, with the pitch contribution being negligible due to small angles, and the relevant degrees of freedom for the fore–aft acceleration are surge and pitch, resulting in the fore–aft and vertical nacelle acceleration RAOs provided in Equations (19) and (20), respectively:
h ¨ F A ( ω ) = z h u b h ¨ 55 ( ω ) + h ¨ 11 ( ω )
h ¨ V ( ω ) = h ¨ 33 ( ω )
where the z h u b represents the moment-arm distance of the system from the mooring fairlead to the hub height. Using the nacelle acceleration RAOs with the maximum response method outlined in Equations (15) and (16), an estimation of the peak nacelle accelerations for a given VolturnUS hull configuration at a particular sea-state can be determined and given a subsequent fitness value for the optimization routine depending on if the nacelle accelerations are within the desired limit.

2.3.4. Structural Loads Constraints

The last design constraint considered by the hull mass optimization routine is the peak structural loads within the hull. Following a similar process as the previous performance constraints, the peak structural load prediction employs frequency-domain analyses to obtain gross, overall loads that are then fed into a finite-element routine, which computes stresses and factors of safety, and finally evaluates the fitness of a hull design based on this. The dynamic loads considered are the surge inertial force, the heave inertial force, and the tower base bending moment. The static loads considered are the hull’s dead loads, the buoyant forces, and the hydrostatic pressures.
Firstly, to generate the surge and heave inertial force RAOs, the rigid-body acceleration RAOs for the respective degrees of freedom are multiplied by the mass and added mass of the degree of freedom, as is shown in Equations (21) and (22).
F 11 ( ω ) = ( m + m a , 11 ) h ¨ 11 ( ω )
F 33 ( ω ) = ( m + m a , 33 ) h ¨ 33 ( ω )
Furthermore, to generate the tower base bending moment RAO for a given design, not only the rigid-body pitch motion RAO is needed but estimates of the mass and geometric properties for the turbine tower and RNA are required as well. The formulation of the tower base bending moment RAO is provided in Equation (23):
M T B ( ω ) = ( J t o w e r + J R N A ) h ¨ 55 ( ω ) + m t o w e r h ¨ t o w e r ( ω ) z C G , t o w e r + m R N A h ¨ R N A ( ω ) z C G , R N A m t o w e r g z C G , t o w e r h 55 ( ω ) m R N A g z C G , R N A h 55 ( ω )
where J is a mass moment of inertia, m is a component mass, h ¨ ( ω ) is an acceleration at wave frequency ω , and z C G denotes a vertical center of gravity. To predict the peak values for the surge inertial force, heave inertial force, and tower base bending moment, the peak statistical response model of Equations (15) and (16) is once again used with the JONSWAP of the wave environment for each of the loading RAOs.
In the application of the surge inertial force, heave inertial force, and tower base bending moment to the hull, all loads were assumed to be active at the same instant in time and applied quasi-statically with a zero-degree wave heading, as is shown in Figure 8, in addition to the system’s self-weight, buoyant, and hydrostatic loads.
As is outlined for DLC 6.1 loads in the ABS guidelines, the “normal” (N) load factor of 1.35 is applied to all these loads [7]. The surge and heave inertial forces are applied as uniformly distributed loads along the bottom beam in their respective directions, and the tower base bending moment is applied at the top of the central column.
To determine the member loads, stresses, and factors of safety of the hull sections, a finite element solver was developed and used. In the finite element tool, firstly, the radial symmetry of the system was employed such that only one bottom beam, radial column, and top strut section would be examined. To use this symmetry, lateral motion boundary conditions were applied to the tower and central column of the system. Additionally, to model the hinges at the ends of the top strut, a method of LaGrange multipliers was used. Lastly, the elements used in this finite element model were six-DOF, two-noded Timoshenko beam elements [40]. A visualization of the radial symmetry discretization scheme for the VolturnUS is presented in Figure 9.
Finally, using these peak factored live loads on the hull formulated in the preceding sections, the required amount of post tensioned steel ducts to keep the peak tensile stresses in all concrete sections below the ABS-defined limit of 200 psi (1380 kPa) [7] is then determined. If the required amount of post-tensioning ducts is feasible based on the available space in the sections for the ducts, the structural loading constraint is considered to be met.

2.3.5. Review of Constraints

All the major design constraints outlined in this section are summarized in Table 5 with the constraint limit values used for them in this work.
The hull design constraint limit values outlined above will be used for all hull mass optimization studies in this work. These constraint values come from a combination of design codes [7] and from previous VolturnUS hull design work. While these are the major constraints outlined in this work, there are other constraints that are not listed in Table 5, including but not limited to constraints to yield feasible geometry (such as the columns cannot touch, the keystone radius cannot be longer than the bottom beam, etc.) and to prevent other issues, such as hulls that require negative amounts of ballast.

2.4. Genetic Algorithm Optimization Routine

In this work, an in-house genetic algorithm optimization routine is employed to generate mass-optimized VolturnUS substructure designs over a range of sites and turbine capacities subject to the hull design performance constraints. Genetic algorithms were chosen for this work due to their ease of implementation, proven effectiveness [4], and ability to handle complex optimization problems, meaning that no gradient or slope information is needed from the objective function for their use [41]. The general methodology for a genetic algorithm is that an initial population with a size n p o p is created using random numbers for each of the design variables, or genes, of each member of the population. Each of these members of the population is assigned a fitness score based on the objective function and the values of their design variables that their genes hold. Using the three main operators: reproduction, crossover, and finally mutations, a new population is generated that retains some of the better properties and phases out some of the worse properties from the previous population [41]. This process of applying these three main operators is repeated until the converge criteria is achieved or the maximum allowable number of iterations is reached. A flowchart of the general methodology used by genetic algorithms is provided in Figure 10.
In the following sections, the specific methodology used for the three main operators is discussed.

2.4.1. Reproduction

Following the use of a random number generator to create the initial population of designs between the specified upper and lower bounds specified for each design variable, the reproduction operator is applied to the population. In the reproduction operation, the fitness values of each of the members of the population is evaluated, then, using a specified methodology, the mating pool for the next generation is created with the goal of individuals with better qualities being sent to the mating pool. In this work, a weighted roulette wheel method of reproduction was used. In unweighted roulette wheel selection, each individual in the population is assigned a probability that is proportional to their fitness score divided by the sum of all the fitness scores from the population, as is presented in Equation (24) [41], a cumulative probability distribution vector of these values is assembled, and a “roulette wheel”, which is a random number generator, is rolled n p o p times.
p i = f i t n e s s i i = 1 n p o p f i t n e s s i
A random value between 0 and 1 is selected for each roll of the “roulette wheel” and the member of the population whose position in the cumulative probability vector corresponds to this value is chosen to go to the mating pool [41]. In this work, a “survival of the fittest” factor, α d a r w i n , is introduced to this process, which is multiplied by the fitness values of the best members of the population and divides the fitness values of the worst members of a population before probabilities are determined in order to give “more fit” members of the population a higher chance of being in the mating pool and to give “less fit” members of the population a lower change of being in the mating pool for the iteration.

2.4.2. Crossover

Following the establishment of the mating pool, the next operation that is performed is crossover. In crossover, offspring are created by exchanging genetic information between parent members of the mating pool. There are many ways of performing the crossover operation, such as single-point, in which a random point along the vector genetic information for one parent is chosen, and all the genetic information after that point is swapped [42], but in this work, a uniform method of crossover was used, which is shown in Figure 11.
In the uniform method of crossover, the genetic information of every randomly selected pair of parents is looped through, and using a constant probability of crossover, p c , and a random number generator, it is determined if each gene will be swapped between parents.

2.4.3. Mutation

After, reproduction and crossover, mutation occurs. In mutation, genes randomly mutate with the probability, p m . As with the other two main operations, there are numerous ways to carry out the mutations [42]. In this work, a process of random mutations was applied, meaning that each gene of each member of the newly generated, but not yet mutated, children generated in crossover was looped through, and using p m and a random number generator, it was determined if the gene would mutate. A principle of genetic algorithms is that mutations must be random, but that small mutations must be favored over large mutations [41]. To carry out mutations that follow this principle, a beta distribution random number generator function was used to determine the new values of mutated genes. For the beta distribution function, the mode was set to the unmutated value of the gene, and the upper and lower limits were set to those of the specific design variable, therefore favoring smaller mutations over large ones, and keeping the value of the mutated gene between the upper and lower limits prescribed in the problem statement.

2.4.4. Substructure Optimization Routine Application

Finally, the described genetic algorithm was applied to the substructure optimization problem. To do this, a fitness function was formulated following the quadratic penalty method [43]. The fitness function with the applied quadratic penalty in the context of the substructure optimization routine is shown in Equation (25).
Φ ( X ) = m h u l l ( X ) + c i = 1 n c ( max [ g i ( X ) , 0 ] ) 2
where each design is characterized by a vector of hull design dimensions X, which determine its fitness Φ ( X ) . The hull structural mass is denoted as m h u l l ( X ) and the term g i ( X ) represents the normalized magnitude of any constraint violations, which is scaled by a large constant c. If for each performance constraint, if there is a violation, then g i ( X ) > 0 , if there is no violation, then g i ( X ) 0 . This means that if no constraints for the design are violated, then the fitness function simply becomes the hull’s mass. If certain constraints are violated, then the fitness function grows at a large rate, making the design infeasible, and steering the optimization routine away from more designs like it. This genetic algorithm optimization routine is used for all substructure mass minimization studies throughout this work.

3. Results

In this section, the optimization routine is first validated by generating and detailing a design comparison with the IEA 15 MW VolturnUS-S model. Secondly, as previously outlined, it is of interest to examine two separate phenomena that are relevant to current trends in the floating offshore wind industry:
  • How do mass-optimized hull designs change for different wave environments?
  • How does the turbine-capacity-normalized hull mass, and therefore mass efficiency of the hull, change as the turbine power rating of the design increases?
Using the commercial turbine design parameter estimation tool, the three characterized wave environments, and the hull mass optimization tool, these phenomena will be examined.

3.1. Validation of Framework

To validate the optimization routine and design framework, an optimized concrete substructure for the IEA 15 MW turbine [44] was generated to be compared to the VolturnUS-S design [32]. Although steel and concrete hull designs are not directly comparable, their dimensions, displacement, and overall design are expected to exhibit similar trends. Additionally, the relationship between steel and concrete substructures for the same turbine design has been examined in previous works [45,46,47], which can be used for a comparison. For the design optimization study of the concrete VolturnUS substructure for the IEA 15 MW, the DLC 6.1 wave environment conditions in Table 6 and IEA 15 MW turbine design properties in Table 7 are used, as was done in the VolturnUS-S definition report.
Additionally, only for this IEA 15 MW validation case, to keep the steel and concrete FOWT systems as consistent as possible, the freeboard was constrained to 15 m and the maximum allowable heel angle constraint was set to 6 , as was done for the VolturnUS-S [32]. Using the described wave environment conditions, turbine design, and constraints, a mass-optimized concrete substructure for the IEA 15 MW turbine was designed. A side-by-side schematic of the optimized concrete design and the VolturnUS-S is provided in Figure 12.
As is shown in Figure 12, the general dimensions and layouts of the concrete substructure and the VolturnUS-S are visually similar. A comparison of the platform properties is provided in Table 8.
From the comparison of the platform designs provided in Table 8, it is shown that the dimensions of the optimized reinforced concrete VolturnUS platform are all slightly larger than those of the VolturnUS-S, which is expected between concrete and steel substructures for the same turbine design [45,46]. It is observed that the column separation increases by 1.2%, the bottom beam height increases by 9.0%, and the radial column diameter increases by 13.8% from the VolturnUS-S to the optimized concrete VolturnUS design. The larger change of 42.2% in the central column from the steel to concrete designs is also partially due to the change in material, but is largely affected by the optimization routine’s choice of uniformity for the radial and central column diameters. Furthermore, as is seen in Table 8, the overall FOWT system mass increases by 31.1% from the VolturnUS-S to the concrete system, along with a 377% increase in platform structural mass, and a 60.9% decrease in ballast mass. The increases in the overall system mass and platform structural mass and the decrease in ballast mass of these observed magnitudes are all common throughout the literature for similar concrete and steel hull design studies [45,46,47]. Lastly, a design performance comparison is provided in Table 9.
As is shown in Table 9, the heave natural frequency of the optimized concrete VolturnUS system increases 7.9% and the pitch natural frequency decreases 19.7% from that of the VolturnUS-S. This, in conjunction with the higher system mass likely causes the 37.9% and 26.2% decreases in the peak DLC 6.1 fore–aft and vertical nacelle accelerations, respectively, and the 9.2% decrease in the peak DLC 6.1 tower-base bending moment from the VolturnUS-S to the optimized concrete system.

3.2. Design Trends

Designs for hulls to support 10 MW through 30 MW turbines were generated for the Gulf of Maine, Celtic Sea, and GoliatVIND sites Table 2, which represented sites with low-, medium-, and high-severity wave environments, respectively. Plots of the hull masses normalized by turbine power rating for each site were generated by sequentially running the optimization routine for a variety of turbine capacities and wave environments and are provided in Figure 13.
As is seen in Figure 13, instead of using the monetary cost of a given hull design, the structural mass was used to track the gross overall hull cost. As is expected, the lowest severity wave environment hull designs have the lowest structural masses, followed by the medium- and high-severity environment designs. Additionally, as the turbine power rating increases for each environment, the capacity-normalized optimized hull structural mass decreases at a decreasing rate, indicating improved cost-efficiency. Lastly, the trends in the hull design dimensions for the low-, medium-, and high-severity wave environments are provided in Figure 14.
As is shown in Figure 14a,b, as the wave environment increases in severity, the length of the bottom beam decreases for a given turbine capacity while its height increases in order to resist the larger hydrodynamic loading. As seen in Figure 14c,d, column diameter and freeboard climb with growing wave environment severity in order to maintain the ABS air gap. As turbine capacity increases, the system radius and column diameter increase to provide additional overturning stiffness for the system to resist the climbing thrust loads. Additionally, bottom beam height sees a moderate increase as the turbine capacity increases, while the freeboard remains generally constant.
In relation to the mass efficiency of the hull, the freeboard is a major driver of the mass growth with increasing wave environment severity, experiencing an average elongation of 49.5% from the low environment to the high environment. This is because, as the wave environment severity increases, the system’s freeboard must increase to meet the ABS 1.5-m minimum air gap, but doing so requires the elongation of all four columns, and therefore a substantial increase in mass. All the while, even as the system radius, and therefore bottom beam, sees an average decrease in length of 14.7% from low- to high-severity environments, it is offset by an average increase in bottom beam height of 23.6% and in column diameter of 22.5%. Lastly, as previously stated, while the bottom beam height experiences an upward trend with increasing turbine power rating, column diameter and system radius experience strong upwards trends and drive system mass increases with increasing turbine capacity. As the turbine capacity increases, the system radius increases at a decreasing rate for all wave environments, along with the column diameter.

4. Conclusions

In this work, a rapid hull mass optimization routine was developed using commercial data for a turbine prediction model, hydrostatics for initial sizing, frequency-domain modeling for motion and environmental load analysis, and finite-element analysis for structural sizing. Using this rapid hull mass optimization routine, a first pass design of a FOWT hull can be drafted for a given site and turbine design in five to ten minutes. Using this rapid initial design tool, detailed hull design work can be carried out significantly faster. This optimization tool was validated through a design comparison study with the VolturnUS-S, in which its results followed those of concrete and steel design comparison studies found in the current literature [45,46,47].
Furthermore, the substructure mass optimization tool was used to generate mass-optimized hull designs for low-, medium-, and high-severity wave environments for 10 through 30 MW turbine FOWT systems. It was determined that as the turbine capacity of a FOWT system increases, the necessary hull structural mass per unit of turbine capacity decreases, with diminishing returns, as is seen in Figure 13. This result is supported by current industry trends in which the average offshore wind turbine power ratings for announced projects is increasing at unprecedented rates, as the average installed offshore wind turbine capacity is expected to increase from 10 MW to 16.7 MW from the current day until 2029 [1]. Additionally, it was found that with increasingly severe wave environments, the necessary hull structural mass increases and design constraints may have to be relaxed to generate feasible designs for the high-severity wave environment regions. For a sample 10 MW system, the hull masses for the low- and high-severity environment designs differed by 23.5%. This trend continues throughout the 10 to 30 MW turbine range explored.
Finally, while these design trends show the potential hull mass efficiency gains with growing turbine capacities, there are currently substructure constructability barriers towards the creation of systems with large turbines, such as the 30 MW design discussed. The major constructability barriers presently affecting the industry are found in the form of constraints on the system width and draft. While there are certain limiting factors on system width and draft that can be difficult to change, such as port-specific channel opening and water depth restrictions [48], a significant logistical barrier to scaling up to larger FOWT systems in the range of 30 MW are the semi-submersible barges currently in use for tow-out operations. The current size restrictions of the barges would result in the overhanging of the radial columns and therefore significant loads on the bottom beams of the VolturnUS. Furthermore, having large-scale construction equipment such as cranes to assemble 30 MW turbines, which could have hub heights in the range of 170 m according to the turbine design parameter estimation model, could be additional barriers to constructability of the larger systems. To address these issues, larger semi-submersible barges could be created, larger-scale construction equipment could be required, additional methods for FOWT system deployment could be investigated, or it may not be currently feasible to scale up system capacities to achieve the structural weight efficiency gains. As well as fiscal and logistical issues, the recyclability and life cycle of the larger systems must be examined, as this could present considerations to scaling up. While these issues were not the focus of this work specifically, they must be taken into consideration by floating offshore wind developers as the industry continues to scale up system sizes and capacities.

Author Contributions

Conceptualization, J.H.D., A.J.G. and A.M.V.; methodology, J.H.D., A.J.G. and A.M.V.; software, J.H.D., A.J.G. and A.M.V.; validation, J.H.D., A.J.G. and A.M.V.; formal analysis, J.H.D.; investigation, J.H.D., A.J.G. and A.M.V.; resources, A.J.G. and A.M.V.; data curation, J.H.D., A.J.G. and A.M.V.; writing—original draft preparation, J.H.D.; writing—review and editing, J.H.D., A.J.G. and A.M.V.; visualization, J.H.D., A.J.G. and A.M.V.; supervision, A.J.G. and A.M.V.; project administration, A.J.G. and A.M.V.; funding acquisition, A.J.G. and A.M.V. All authors have read and agreed to the published version of the manuscript.

Funding

This research was partially funded by the Department of Energy under two awards: DE-0008965 and DE-AR0001747.

Data Availability Statement

The turbine designs used in this work can be recreated with the turbine design parameter estimation tool or can be found in the cited references for the open-source designs. The data used for the wave environment characterization is available through the BMTA database, found in the references. The VolturnUS-S design information is available in its definition report, also found in the references.

Conflicts of Interest

The authors declare no conflicts of interest.

Abbreviations

The following abbreviations are used in this manuscript:
ABSAmerican Bureau of Shipping
CGCenter of Gravity
DLCDesign Load Case
DNVDet Norske Veritas
FOWTFloating Offshore Wind Turbine
LCOELevelized Cost of Energy
MeRAMaine Research Array
MWMegawatt
MWhMegawatt-Hour
RAOResponse Amplitude Operator
RNARotor Nacelle Assembly
SLCSurvival Load Case
SWLStill Water Line

References

  1. Musial, W.; Spitsen, P.; Duffy, P.; Beiter, P.; Shields, M.; Mulas Hernando, D.; Hammond, R.; Marquis, M.; King, J.; Sathish, S. Offshore Wind Market Report: 2023 Edition; Technical Report; National Renewable Energy Laboratory (NREL): Golden, CO, USA, 2023. [Google Scholar]
  2. Wiser, R.; Bolinger, M.; Hoen, B.; Millstein, D.; Rand, J.; Barbose, G.; Darghouth, N.; Gorman, W.; Jeong, S.; O’Shaughnessy, E.; et al. Land-Based Wind Market Report: 2023 Edition; Technical Report; Lawrence Berkeley National Laboratory (LBNL): Berkeley, CA, USA, 2023. [Google Scholar]
  3. U.S. Department of Energy. Floating Offshore Wind Advanced Technology Demonstration Projects. Available online: https://www.energy.gov/eere/wind/floating-offshore-wind-shot (accessed on 1 May 2024).
  4. Chen, J.; Kim, M.H. Review of recent offshore wind turbine research and optimization methodologies in their design. J. Mar. Sci. Eng. 2022, 10, 28. [Google Scholar] [CrossRef]
  5. Karimi, M.; Hall, M.; Buckham, B.; Crawford, C. A multi-objective design optimization approach for floating offshore wind turbine support structures. J. Ocean Eng. Mar. Energy 2017, 3, 69–87. [Google Scholar] [CrossRef]
  6. Mas-Soler, J.; do Amaral, G.A.; da Silva, L.Z.; Malta, E.B.; Carmo, L.H.S.; Ruggeri, F.; Simos, A.N. A parametric optimization approach for the initial design of FOWT’s substructure and moorings in Brazilian deep-water fields. J. Phys. Conf. Ser. 2022, 2362, 012025. [Google Scholar] [CrossRef]
  7. American Bureau of Shipping. Guide for Building and Classing Floating Offshore Wind Turbines; Technical Report; American Bureau of Shipping: Spring, TX, USA, 2020. [Google Scholar]
  8. Chen, C.A.; Chen, K.H.; Igarashi, Y.; Chen, D.; Ma, K.T.; Lai, Z.Y. Design of Mooring System for a 15 MW Semi-Submersible, TaidaFloat, in Taiwan Strait. In Proceedings of the International Conference on Offshore Mechanics and Arctic Engineering; American Society of Mechanical Engineers: New York, NY, USA, 2023; Volume 86878, p. V005T06A071. [Google Scholar]
  9. Ramsay, W.; Goupee, A.; Allen, C.; Viselli, A.; Kimball, R. Optimization of a Lightweight Floating Offshore Wind Turbine with Water Ballast Motion Mitigation Technology. Wind 2022, 2, 535–570. [Google Scholar] [CrossRef]
  10. Sergiienko, N.; Da Silva, L.; Bachynski-Polić, E.; Cazzolato, B.; Arjomandi, M.; Ding, B. Review of scaling laws applied to floating offshore wind turbines. Renew. Sustain. Energy Rev. 2022, 162, 112477. [Google Scholar] [CrossRef]
  11. Edwards, E.C.; Holcombe, A.; Brown, S.; Ransley, E.; Hann, M.; Greaves, D. Evolution of floating offshore wind platforms: A review of at-sea devices. Renew. Sustain. Energy Rev. 2023, 183, 113416. [Google Scholar] [CrossRef]
  12. IEC 61400-3-2; Wind Turbine Generator Systems—Part 3-2: Design Requirements for Offshore Wind Turbines. Technical Report 61400-3-2; International Electrotechnical Commission: Geneva, Switzerland, 2006.
  13. Hexicon. Mareld Vindkraftspark Samrådsunderlag; Technical Report; Hexicon: Stockholm, Sweden, 2021. [Google Scholar]
  14. Yao, S.; Chetan, M.; Griffith, D.T.; Escalera Mendoza, A.S.; Selig, M.S.; Martin, D.; Kianbakht, S.; Johnson, K.; Loth, E. Aero-structural design and optimization of 50 MW wind turbine with over 250-m blades. Wind Eng. 2022, 46, 273–295. [Google Scholar] [CrossRef]
  15. The MathWorks Inc. Curve Fitting Toolbox; The MathWorks Inc.: Natick, MA, USA, 2023. [Google Scholar]
  16. Manwell, J.F.; McGowan, J.G.; Rogers, A.L. Wind Energy Explained: Theory, Design and Application; John Wiley & Sons: Hoboken, NJ, USA, 2010. [Google Scholar]
  17. Zahle, F.; Barlas, T.; Lønbæk, K.; Bortolotti, P.; Zalkind, D.; Wang, L.; Labuschagne, C.; Sethuraman, L.; Barter, G. Definition of the IEA Wind 22-Megawatt Offshore Reference Wind Turbine; Technical University of Denmark: Lyngby, Denmark, 2024. [Google Scholar]
  18. Gulf of Maine Floating Offshore Wind Research Array. Available online: https://www.maine.gov/ (accessed on 3 November 2023).
  19. Offshore Wind Leasing Round 5—Project Development Areas (PDAs). Available online: https://www.thecrownestate.co.uk/ (accessed on 3 November 2023).
  20. GoliatVIND. Available online: https://goliatvind.no/about-project (accessed on 3 November 2023).
  21. Blood, B. Comparison of Global Performance of a 15, 20, and 24 Mw Floating Offshore Wind Turbine. Master’s Thesis, University of Maine, Orono, ME, USA, 2023. [Google Scholar]
  22. WaveClimate Infoplaza. Available online: http://www.waveclimate.com/ (accessed on 14 November 2023).
  23. Brodtkorb, P.A.; Johannesson, P.; Lindgren, G.; Rychlik, I.; Rydén, J.; Sjö, E. WAFO-a Matlab toolbox for analysis of random waves and loads. In Proceedings of the ISOPE International Ocean and Polar Engineering Conference, ISOPE, Seattle, WA, USA, 27 May–2 June 2000; p. ISOPE–I. [Google Scholar]
  24. Bhaskaran, S.; Verma, A.S.; Goupee, A.J.; Bhattacharya, S.; Nejad, A.R.; Shi, W. Comparison of Extreme Wind and Waves Using Different Statistical Methods in 40 Offshore Wind Energy Lease Areas Worldwide. Energies 2023, 16, 6935. [Google Scholar] [CrossRef]
  25. Park, S.B.; Shin, S.Y.; Shin, D.J.; Jung, K.H.; Choi, Y.H.; Lee, J.; Lee, S.J. Extreme Value Analysis of Metocean Data for Barents Sea. J. Ocean Eng. Technol. 2020, 34, 26–36. [Google Scholar] [CrossRef]
  26. Det Norske Veritas (DNV). DNV-OS-J101: Design of Offshore Wind Turbine Structures. DNV GL AS. 2014. Available online: https://store.accuristech.com/standards/dnv-dnv-os-j101?product_id=2793923 (accessed on 15 June 2023).
  27. Dwyer, M.G.; Viselli, A.M.; Dagher, H.J.; Goupee, A.J. Experimental Verification of ABS Concrete Design Methodology Applied to the Design of the First Commercial Scale Floating Offshore Wind Turbine in the United States. In Proceedings of the International Conference on Offshore Mechanics and Arctic Engineering; American Society of Mechanical Engineers: New York, NY, USA, 2017; Volume 57779, p. V009T12A004. [Google Scholar]
  28. Portland Cement Association. Recycled Concrete. 2024. Available online: https://www.cement.org/docs/default-source/th-paving-pdfs/sustainability/recycled-concrete-pca-logo.pdf (accessed on 5 July 2024).
  29. Viselli, A.M.; Goupee, A.J.; Dagher, H.J. Model test of a 1: 8-scale floating wind turbine offshore in the gulf of maine. J. Offshore Mech. Arct. Eng. 2015, 137, 041901. [Google Scholar] [CrossRef]
  30. Viselli, A.M.; Goupee, A.J.; Dagher, H.J.; Allen, C.K. Design and model confirmation of the intermediate scale VolturnUS floating wind turbine subjected to its extreme design conditions offshore Maine. Wind Energy 2016, 19, 1161–1177. [Google Scholar] [CrossRef]
  31. Viselli, A.M.; Forristall, G.Z.; Pearce, B.R.; Dagher, H.J. Estimation of extreme wave and wind design parameters for offshore wind turbines in the Gulf of Maine using a POT method. Ocean Eng. 2015, 104, 649–658. [Google Scholar] [CrossRef]
  32. Allen, C.; Viscelli, A.; Dagher, H.; Goupee, A.; Gaertner, E.; Abbas, N.; Hall, M.; Barter, G. Definition of the UMaine VolturnUS-S Reference Platform Developed for the IEA Wind 15-Megawatt Offshore Reference Wind Turbine; Technical Report; National Renewable Energy Laboratory (NREL): Golden, CO, USA, 2020. [Google Scholar]
  33. Jonkman, J.M.; Robertson, A.; Hayman, G.J. HydroDyn User’s Guide and Theory Manual; National Renewable Energy Laboratory: Golden, CO, USA, 2014. [Google Scholar]
  34. Det Norske Veritas. DNV Recommended Practice DNV-RP-C205, Environmental Conditions and Environmental Loads; Technical Report; Det Norske Veritas: Høvik, Norway, 2010. [Google Scholar]
  35. Ryabkova, M.; Karaev, V.; Guo, J.; Titchenko, Y. A review of wave spectrum models as applied to the problem of radar probing of the sea surface. J. Geophys. Res. Ocean. 2019, 124, 7104–7134. [Google Scholar] [CrossRef]
  36. American Bureau of Shipping. Guidance Notes on Air Gap and Wave Impact Analysis for Semi-Submersibles; American Bureau of Shipping: Spring, TX, USA, 2020. [Google Scholar]
  37. Faltinsen, O. Sea Loads on Ships and Offshore Structures; Cambridge University Press: Cambridge, UK, 1993; Volume 1. [Google Scholar]
  38. Palmer, M. Propagation of Uncertainty through Mathematical Operations; Massachusetts Institute of Technology: Cambridge, MA, USA, 2003. [Google Scholar]
  39. Sclavounos, P.; Tracy, C.; Lee, S. Floating offshore wind turbines: Responses in a seastate pareto optimal designs and economic assessment. In Proceedings of the International Conference on Offshore Mechanics and Arctic Engineering; American Society of Mechanical Engineers: New York, NY, USA, 2008; Volume 48234, pp. 31–41. [Google Scholar]
  40. Cook, R.D.; Malkus, D.S.; Plesha, M.E.; Witt, R.J. Concepts and Applications of Finite Element Analysis; John Wiley & Sons: Hoboken, NJ, USA, 2007. [Google Scholar]
  41. Deb, K. Optimization for Engineering Design: Algorithms and Examples; PHI Learning Pvt. Ltd.: Delhi, India, 2012. [Google Scholar]
  42. Katoch, S.; Chauhan, S.S.; Kumar, V. A review on genetic algorithm: Past, present, and future. Multimed. Tools Appl. 2021, 80, 8091–8126. [Google Scholar] [CrossRef] [PubMed]
  43. Freund, R.M. Penalty and Barrier Methods for Constrained Optimization; Lecture Notes; Massachusetts Institute of Technology: Cambridge, MA, USA, 2004. [Google Scholar]
  44. Gaertner, E.; Rinker, J.; Sethuraman, L.; Zahle, F.; Anderson, B.; Barter, G.E.; Abbas, N.J.; Meng, F.; Bortolotti, P.; Skrzypinski, W.; et al. IEA wind TCP Task 37: Definition of the IEA 15-Megawatt Offshore Reference Wind Turbine; Technical Report; National Renewable Energy Laboratory (NREL): Golden, CO, USA, 2020. [Google Scholar]
  45. Choisnet, T.; Geschier, B.; Vetrano, G. Initial comparison of concrete and steel hulls in the case of Ideol’s square ring floating substructure. In Proceedings of the 15th World Wind Energy Conference and Exhibition, Tokyo, Japan, 19–21 February 2016; Volume 31. [Google Scholar]
  46. Oh, S. Comparison of concrete and steel semi-submersible floaters for 10 MW wind turbines. J. Phys. Conf. Ser. 2021, 2018, 012029. [Google Scholar] [CrossRef]
  47. Johansen, T.; Wiley, T.; Fulger, S.; Færøy Sæbo, E.; Kristian Sollie, O.; Sparkes, D. Comparative Study of Concrete and Steel Substructures for FOWT; Technical Report; Det Norske Veritas (DNV): Høvik, Norway, 2021. [Google Scholar]
  48. Crowle, A.; Thies, P. Naval Architecture Methods For Floating Wind Turbine Installation; The Confederation of European Maritime Technology Societies (CEMT): London, UK, 2022. [Google Scholar]
Figure 1. Substructure mass minimization routine process.
Figure 1. Substructure mass minimization routine process.
Designs 08 00072 g001
Figure 2. Wind turbine estimation tool comparison to open-source turbine designs.
Figure 2. Wind turbine estimation tool comparison to open-source turbine designs.
Designs 08 00072 g002aDesigns 08 00072 g002b
Figure 3. VolturnUS substructure layout and relevant design dimensions for optimization listed.
Figure 3. VolturnUS substructure layout and relevant design dimensions for optimization listed.
Designs 08 00072 g003
Figure 4. Rigid-body FOWT hull degrees of freedom.
Figure 4. Rigid-body FOWT hull degrees of freedom.
Designs 08 00072 g004
Figure 5. Comparison of scaled and OpenFAST-generated VolturnUS-S 15 MW RAOs for the (a) surge, (b) heave, and (c) pitch degrees of freedom.
Figure 5. Comparison of scaled and OpenFAST-generated VolturnUS-S 15 MW RAOs for the (a) surge, (b) heave, and (c) pitch degrees of freedom.
Designs 08 00072 g005
Figure 6. Still water (left) and dynamic wave (right) environment minimum air gap cases.
Figure 6. Still water (left) and dynamic wave (right) environment minimum air gap cases.
Designs 08 00072 g006
Figure 7. VolturnUS FOWT system with nacelle acceleration directions shown.
Figure 7. VolturnUS FOWT system with nacelle acceleration directions shown.
Designs 08 00072 g007
Figure 8. Assumed environmental loading application scheme for the VolturnUS substructure.
Figure 8. Assumed environmental loading application scheme for the VolturnUS substructure.
Designs 08 00072 g008
Figure 9. Finite element discretization scheme for VolturnUS, where red points are nodes and black lines are elements.
Figure 9. Finite element discretization scheme for VolturnUS, where red points are nodes and black lines are elements.
Designs 08 00072 g009
Figure 10. General flowchart of a genetic algorithm.
Figure 10. General flowchart of a genetic algorithm.
Designs 08 00072 g010
Figure 11. Uniform crossover operation, giving a constant probability, p c , that any given segment of genetic information will be swapped between parents x and y.
Figure 11. Uniform crossover operation, giving a constant probability, p c , that any given segment of genetic information will be swapped between parents x and y.
Designs 08 00072 g011
Figure 12. Comparison of IEA 15 MW optimized concrete VolturnUS (left) and steel VolturnUS-S substructure (right) designs in (a) trimetric, (b) top, and (c) front views.
Figure 12. Comparison of IEA 15 MW optimized concrete VolturnUS (left) and steel VolturnUS-S substructure (right) designs in (a) trimetric, (b) top, and (c) front views.
Designs 08 00072 g012
Figure 13. VolturnUS-optimized hull structural mass per unit of turbine capacity for the MeRA, Celtic Sea, and GoliatVIND offshore sites.
Figure 13. VolturnUS-optimized hull structural mass per unit of turbine capacity for the MeRA, Celtic Sea, and GoliatVIND offshore sites.
Designs 08 00072 g013
Figure 14. Mass-optimized VolturnUS substructure dimensions for (a) system radius, (b) bottom beam height, (c) column diameter, and (d) freeboard for the MeRA, Celtic Sea, and GoliatVIND offshore sites.
Figure 14. Mass-optimized VolturnUS substructure dimensions for (a) system radius, (b) bottom beam height, (c) column diameter, and (d) freeboard for the MeRA, Celtic Sea, and GoliatVIND offshore sites.
Designs 08 00072 g014
Table 1. Turbine parameter equations and their goodness-of-fit values.
Table 1. Turbine parameter equations and their goodness-of-fit values.
ParameterModel Equation R 2 SSE
Rotor radius (m) 32.95 P 0.47 0.943-
Total RNA mass (t) 48.45 P 1.07 0.968-
RNA CG above tower top (m) 0.040 L t o w e r -7.62 × 10−5
RNA CG from tower center (m) 0.033 L t o w e r -3.55 × 10−5
Maximum turbine thrust (kN) 126.9 P 1.02 0.976-
Blade tip clearance to hull top (m)max [ 34.76 P 0.54 , 6 m ] 0.542-
Tower length (m) ( L B T C + R r o t o r ) / 1.040 0.991-
Tower mass (t) 115.4 P 0.83 0.887-
Tower base diameter (m) 0.069 L t o w e r -2.00 × 10−4
Tower center of gravity from base (m) 0.362 L t o w e r -3.57 × 10−4
Table 2. Overview of selected offshore sites, their relevant conditions, and locations.
Table 2. Overview of selected offshore sites, their relevant conditions, and locations.
Site NameMaine Research ArrayCeltic SeaGoliatVIND
CountryUSAWalesNorway
H S , 50 (m) 17.6911.6915.10
T P , 50 (s) 112.6615.6117.91
Water Depth (m)17573365
Coordinates 43 23 N, 69 21 W 51 10 N, 5 30 W 72 0 N, 22 30 E
1 The 50-year significant wave heights, H S , 50 , and subsequent 50-year peak wave periods, T P , 50 , were calculated using a 3 h averaging period.
Table 3. Hull component material densities.
Table 3. Hull component material densities.
Hull Component MaterialDensity (kg/m3)
Steel7850
Post-tensioned concrete2482
Ballast1025
Table 4. Multiplicative RAO scaling factors.
Table 4. Multiplicative RAO scaling factors.
Rigid Body DOFPeriod Scaling FactorMagnitude Scaling Factor
Surge11
Heave T 33 , p r o t o / T 33 , m o d e l 1
Pitch T 55 , p r o t o / T 55 , m o d e l m m o d e l / m p r o t o 3
Table 5. Hull design constraint limit values.
Table 5. Hull design constraint limit values.
Performance ConstraintConstraint Limit
Damaged Freeboard (m)≥1.5
Pitch under peak thrust ( ° )≤6.5
Tow-out draft, no turbine (m)≤9.0
Tow-out draft, with turbine (m)≤11.0
Air gap (m)≥1.5
Fore–aft nacelle acceleration (g)≤0.30
Vertical nacelle acceleration (g)≤0.30
Peak tensile bending stress in concrete section (kPa)≤1380
Table 6. DLC 6.1 wave environment conditions for design comparison [32].
Table 6. DLC 6.1 wave environment conditions for design comparison [32].
ConditionValue
H S , 50 (m) 10.7
T P , 50 (s) 14.2
Table 7. IEA 15 MW turbine design properties for design comparison [32,44].
Table 7. IEA 15 MW turbine design properties for design comparison [32,44].
PropertyValue
Rated capacity (MW)15
Rotor radius (m)120
Total RNA mass (t)991
RNA CG above tower top (m) 3.98
RNA CG from tower center (m) 5.49
Maximum turbine thrust (MN) 2.77
Tower mass (t)1263
Tower base diameter (m)10
Tower center of gravity from base (m) 41.5
Hub height from base (m)135
Table 8. Comparison of optimized concrete substructure and VolturnUS-S design properties [32].
Table 8. Comparison of optimized concrete substructure and VolturnUS-S design properties [32].
PropertyOptimized Concrete VolturnUSVolturnUS-S
Column separation (m)52.3751.75
Bottom beam height (m)7.637.00
Radial column diameter (m)14.2212.50
Central column diameter (m)14.2210.00
Freeboard (m)15.0015.00
Draft (m)20.0020.00
Hull displacement (m3)26,48020,206
FOWT system mass (t)26,37120,093
Ballasted platform mass (t)24,11717,854
Platform structural mass (t)18,6983914
Tower interface (t)-100
Total ballast mass (t)541813,840
Tower mass (t)12631263
RNA mass (t)991991
Table 9. Comparison of optimized concrete substructure and VolturnUS-S performance [32].
Table 9. Comparison of optimized concrete substructure and VolturnUS-S performance [32].
SystemOptimized Concrete VolturnUSVolturnUS-S
Heave natural frequency (Hz) 0.053 0.049
Pitch natural frequency (Hz) 0.029 0.036
Peak DLC 6.1 fore–aft nacelle acceleration (m/s2) 1.243 2.000
Peak DLC 6.1 vertical nacelle acceleration (m/s2) 0.960 1.300
Peak DLC 6.1 tower base bending moment (kN-m)40,86345,000
Disclaimer/Publisher’s Note: The statements, opinions and data contained in all publications are solely those of the individual author(s) and contributor(s) and not of MDPI and/or the editor(s). MDPI and/or the editor(s) disclaim responsibility for any injury to people or property resulting from any ideas, methods, instructions or products referred to in the content.

Share and Cite

MDPI and ACS Style

Dagher, J.H.; Goupee, A.J.; Viselli, A.M. Optimized Floating Offshore Wind Turbine Substructure Design Trends for 10–30 MW Turbines in Low-, Medium-, and High-Severity Wave Environments. Designs 2024, 8, 72. https://doi.org/10.3390/designs8040072

AMA Style

Dagher JH, Goupee AJ, Viselli AM. Optimized Floating Offshore Wind Turbine Substructure Design Trends for 10–30 MW Turbines in Low-, Medium-, and High-Severity Wave Environments. Designs. 2024; 8(4):72. https://doi.org/10.3390/designs8040072

Chicago/Turabian Style

Dagher, Joseph Habib, Andrew J. Goupee, and Anthony M. Viselli. 2024. "Optimized Floating Offshore Wind Turbine Substructure Design Trends for 10–30 MW Turbines in Low-, Medium-, and High-Severity Wave Environments" Designs 8, no. 4: 72. https://doi.org/10.3390/designs8040072

APA Style

Dagher, J. H., Goupee, A. J., & Viselli, A. M. (2024). Optimized Floating Offshore Wind Turbine Substructure Design Trends for 10–30 MW Turbines in Low-, Medium-, and High-Severity Wave Environments. Designs, 8(4), 72. https://doi.org/10.3390/designs8040072

Article Metrics

Back to TopTop