Interactions between Stress Levels and Hormonal Responses Related to Sports Performance in Pro Women’s Basketball Team
Abstract
1. Introduction
2. Materials and Methods
2.1. Participants
2.2. Exclusion Criteria
2.3. Experimental Design of the Problem
2.4. Evaluation Plan
2.4.1. Blood Test [46]
2.4.2. Kineantropometry
2.4.3. Physical Performance Test
- Jumping (SJ, CMJ, ABK, DJ)
- b.
- Throwing test with a medicine ball (MBT; 3 kg)
- c.
- Illinois COD agility test, sprint repeatability with change of direction, and speed test without change of direction (20 m).
- d.
- Yo-yo intermittent endurance test IET (II)
2.5. Statistical Analysis
3. Results
3.1. Hormonespon Como en Resulatdos Blood Tests
3.2. Kineantropometry
3.3. Performance Tests
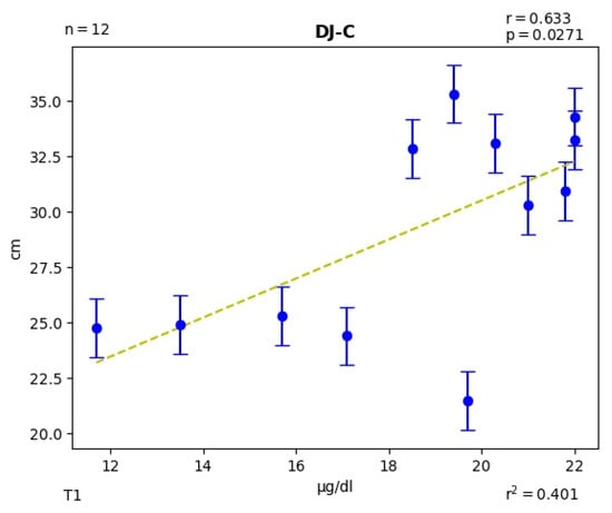
3.4. Relationship between Hormone Levels and Performance Changes
4. Discussion
5. Conclusions
6. Limitations
7. Future Research Lines
8. Practical Applications
Author Contributions
Funding
Institutional Review Board Statement
Informed Consent Statement
Data Availability Statement
Conflicts of Interest
References
- Alghannam, A.F.; Ghaith, M.M.; Alhussain, M.H. Regulation of Energy Substrate Metabolism in Endurance Exercise. Int. J. Environ. Res. Public Health 2021, 18, 4963. [Google Scholar] [CrossRef] [PubMed]
- Anderson, T.; Berry, N.T.; Wideman, L. Exercise and the Hypothalamic–Pituitary–Adrenal Axis: A Special Focus on Acute Cortisol and Growth Hormone Responses. Curr. Opin. Endocr. Metab. Res. 2019, 9, 74–77. [Google Scholar] [CrossRef]
- Chidi-Ogbolu, N.; Baar, K. Effect of Estrogen on Musculoskeletal Performance and Injury Risk. Front. Physiol. 2019, 10, 1834. [Google Scholar] [CrossRef] [PubMed]
- Clark, I.E.; Vanhatalo, A.; Thompson, C.; Wylie, L.J.; Bailey, S.J.; Kirby, B.S.; Wilkins, B.W.; Jones, A.M. Changes in the Power-Duration Relationship Following Prolonged Exercise: Estimation Using Conventional and All-out Protocols and Relationship with Muscle Glycogen. Am. J. Physiol. Regul. Integr. Comp. Physiol. 2019, 317, R59–R67. [Google Scholar] [CrossRef]
- Hackney, A.C. Menstrual Cycle Hormonal Changes and Energy Substrate Metabolism in Exercising Women: A Perspective. Int. J. Environ. Res. Public Health 2021, 18, 10024. [Google Scholar] [CrossRef]
- Sellami, M.; Bragazzi, N.L.; Slimani, M.; Hayes, L.; Jabbour, G.; De Giorgio, A.; Dugué, B. The Effect of Exercise on Glucoregulatory Hormones: A Countermeasure to Human Aging: Insights from a Comprehensive Review of the Literature. Int. J. Environ. Res. Public Health 2019, 16, 1709. [Google Scholar] [CrossRef]
- Szychowska, A.; Drygas, W. Physical Activity as a Determinant of Successful Aging: A Narrative Review Article. Aging Clin. Exp. Res. 2022, 34, 1209–1214. [Google Scholar] [CrossRef] [PubMed]
- Xing, Y.; Xuan, F.; Wang, K.; Zhang, H. Aging under Endocrine Hormone Regulation. Front. Endocrinol. 2023, 14, 1223529. [Google Scholar] [CrossRef]
- Riachy, R.; McKinney, K.; Tuvdendorj, D.R. Various Factors May Modulate the Effect of Exercise on Testosterone Levels in Men. J. Funct. Morphol. Kinesiol. 2020, 5, 81. [Google Scholar] [CrossRef]
- Schelling, X.; Calleja-González, J.; Torres-Ronda, L.; Terrados, N. Using Testosterone and Cortisol as Biomarker for Training Individualization in Elite Basketball: A 4-Year Follow-up Study. J. strength Cond. Res. 2015, 29, 368–378. [Google Scholar] [CrossRef]
- Espasa-Labrador, J.; Calleja-González, J.; Montalvo, A.M.; Fort-Vanmeerhaeghe, A. External Load Monitoring in Female Basketball: A Systematic Review. J. Hum. Kinet. 2023, 87, 173. [Google Scholar] [CrossRef] [PubMed]
- Espasa-Labrador, J. Monitoring Internal Load in Women’s Basketball via Subjective and Device-Based Methods: A Systematic Review. Sensors 2023, 23, 4447. [Google Scholar] [CrossRef] [PubMed]
- Meignié, A.; Duclos, M.; Carling, C.; Orhant, E.; Provost, P.; Toussaint, J.F.; Antero, J. The Effects of Menstrual Cycle Phase on Elite Athlete Performance: A Critical and Systematic Review. Front. Physiol. 2021, 12, 654585. [Google Scholar] [CrossRef] [PubMed]
- Moreira, A.; Aoki, M.S.; Franchini, E.; da Silva Machado, D.G.; Paludo, A.C.; Okano, A.H. Mental Fatigue Impairs Technical Performance and Alters Neuroendocrine and Autonomic Responses in Elite Young Basketball Players. Physiol. Behav. 2018, 196, 112–118. [Google Scholar] [CrossRef] [PubMed]
- Ravé, G.; Granacher, U.; Boullosa, D.; Hackney, A.C.; Zouhal, H. How to Use Global Positioning Systems (GPS) Data to Monitor Training Load in the “Real World” of Elite Soccer. Front. Physiol. 2020, 11, 944. [Google Scholar] [CrossRef] [PubMed]
- Fox, J.L.; O’Grady, C.J.; Scanlan, A.T. Game Schedule Congestion Affects Weekly Workloads but Not Individual Game Demands in Semi-Professional Basketball. Biol. Sport 2020, 37, 59–67. [Google Scholar] [CrossRef] [PubMed]
- Yang, J.; Wu, C.; Zhou, C.; Zhang, S.; Leicht, A.S.; Gomez, M.Á. Influence of Match Congestion on Performances in the National Basketball Association. Front. Psychol. 2021, 12, 630769. [Google Scholar] [CrossRef] [PubMed]
- Calleja-Gonzalez, J.; Marques-Jimenez, D.; Jones, M.; Huyghe, T.; Navarro, F.; Delextrat, A.; Jukic, I.; Ostojic, S.M.; Sampaio, J.E.; Schelling, X.; et al. What Are We Doing Wrong When Athletes Report Higher Levels of Fatigue From Traveling Than From Training or Competition? Front. Psychol. 2020, 11, 194. [Google Scholar] [CrossRef] [PubMed]
- Calleja-González, J.; Mielgo-Ayuso, J.; Sampaio, J.; Delextrat, A.; Ostojic, S.M.; Marques-Jiménez, D.; Arratibel, I.; Sánchez-Ureña, B.; Dupont, G.; Schelling, X.; et al. Brief Ideas about Evidence-Based Recovery in Team Sports. J. Exerc. Rehabil. 2018, 14, 545–550. [Google Scholar] [CrossRef]
- Inoue, A.; dos Santos Bunn, P.; do Carmo, E.C.; Lattari, E.; da Silva, E.B. Internal Training Load Perceived by Athletes and Planned by Coaches: A Systematic Review and Meta-Analysis. Sport. Med. Open 2022, 8, 1–32. [Google Scholar] [CrossRef]
- Edwards, T.; Spiteri, T.; Piggott, B.; Bonhotal, J.; Haff, G.G.; Joyce, C. Monitoring and Managing Fatigue in Basketball. Sports 2018, 6, 19. [Google Scholar] [CrossRef]
- Furrer, R.; Hawley, J.A.; Handschin, C. Themolecular Athlete: Exercise Physiology Frommechanisms to Medals. Physiol. Rev. 2023, 103, 1693–1787. [Google Scholar] [CrossRef] [PubMed]
- Tornero-Aguilera, J.F.; Jimenez-Morcillo, J.; Rubio-Zarapuz, A.; Clemente-Suárez, V.J. Central and Peripheral Fatigue in Physical Exercise Explained: A Narrative Review. Int. J. Environ. Res. Public Health 2022, 19, 3909. [Google Scholar] [CrossRef] [PubMed]
- Cao, S.; Geok, S.K.; Roslan, S.; Sun, H.; Lam, S.K.; Qian, S. Mental Fatigue and Basketball Performance: A Systematic Review. Front. Psychol. 2021, 12, 819081. [Google Scholar] [CrossRef]
- Abate, M.; Salini, V. Oxidative Stress, Testosterone, Cortisol, and Vitamin D: Differences in Professional Soccer Players of African and Caucasian Origin. Med. Princ. Pract. 2022, 31, 352–358. [Google Scholar] [CrossRef]
- Yang, W.; Hu, P. Skeletal Muscle Regeneration Is Modulated by Inflammation. J. Orthop. Transl. 2018, 13, 25. [Google Scholar] [CrossRef] [PubMed]
- Tkaczyszyn, M.; Drozd, M.; Węgrzynowska-Teodorczyk, K.; Bojarczuk, J.; Majda, J.; Banasiak, W.; Ponikowski, P.; Jankowska, E.A. Iron Status, Catabolic/Anabolic Balance, and Skeletal Muscle Performance in Men with Heart Failure with Reduced Ejection Fraction. Cardiol. J. 2021, 28, 391. [Google Scholar] [CrossRef] [PubMed]
- Grzędzicka, J.; Dąbrowska, I.; Malin, K.; Witkowska-Piłaszewicz, O. Exercise-Related Changes in the Anabolic Index (Testosterone to Cortisol Ratio) and Serum Amyloid A Concentration in Endurance and Racehorses at Different Fitness Levels. Front. Vet. Sci. 2023, 10, 1148990. [Google Scholar] [CrossRef] [PubMed]
- Urhausen, A.; Gabriel, H.; Kindermann, W. Blood Hormones as Markers of Training Stress and Overtraining. Sports Med. 1995, 20, 251–276. [Google Scholar] [CrossRef]
- Collado-Mateo, D.; Lavín-Pérez, A.M.; Peñacoba, C.; Del Coso, J.; Leyton-Román, M.; Luque-Casado, A.; Gasque, P.; Fernández-Del-olmo, M.Á.; Amado-Alonso, D. Key Factors Associated with Adherence to Physical Exercise in Patients with Chronic Diseases and Older Adults: An Umbrella Review. Int. J. Environ. Res. Public Health 2021, 18, 2023. [Google Scholar] [CrossRef]
- Davis, J.K.; Oikawa, S.Y.; Halson, S.; Stephens, J.; O’Riordan, S.; Luhrs, K.; Sopena, B.; Baker, L.B. In-Season Nutrition Strategies and Recovery Modalities to Enhance Recovery for Basketball Players: A Narrative Review. Sport. Med. 2022, 52, 971–993. [Google Scholar] [CrossRef]
- Crewther, B.; Cook, C.; Fitzgerald, J.; Starczewski, M.; Gorski, M.; Orysiak, J. Vitamin D and Cortisol as Moderators of the Relationship Between Testosterone and Exercise Performance in Adolescent Male Athletes. Pediatr. Exerc. Sci. 2020, 32, 204–209. [Google Scholar] [CrossRef]
- Martin, A.C.; Heazlewood, I.T.; Kitic, C.M.; Lys, I.; Johnson, L. Possible Hormone Predictors of Physical Performance in Adolescent Team Sport Athletes. J. Strength Cond. Res. 2019, 33, 417–425. [Google Scholar] [CrossRef]
- Perroni, F.; Migliaccio, S.; Borrione, P.; Vetrano, M.; Amatori, S.; Sisti, D.; Rocchi, M.B.L.; Salerno, G.; Del Vescovo, R.; Cavarretta, E.; et al. Can Haematological and Hormonal Biomarkers Predict Fitness Parameters in Youth Soccer Players? A Pilot Study. Int. J. Environ. Res. Public Health 2020, 17, 6294. [Google Scholar] [CrossRef]
- Leal, D.V.; Taylor, L.; Hough, J. Reproducibility of Acute Steroid Hormone Responses in Men to Short-Duration Running. Int. J. Sports Physiol. Perform. 2019, 14, 1430–1437. [Google Scholar] [CrossRef]
- Castagna, C.; Impellizzeri, F.M.; Rampinini, E.; D’Ottavio, S.; Manzi, V. The Yo-Yo Intermittent Recovery Test in Basketball Players. J. Sci. Med. Sport 2008, 11, 202–208. [Google Scholar] [CrossRef]
- Li, W.; Liu, Y.; Deng, J.; Wang, T. Basketball Specific Agility: A Narrative Review of Execution Plans and Implementation Effects. Medicine 2024, 103, E37124. [Google Scholar] [CrossRef]
- Sansone, P.; Tessitore, A.; Paulauskas, H.; Lukonaitiene, I.; Tschan, H.; Pliauga, V.; Conte, D. Physical and Physiological Demands and Hormonal Responses in Basketball Small-Sided Games with Different Tactical Tasks and Training Regimes. J. Sci. Med. Sport 2019, 22, 602–606. [Google Scholar] [CrossRef]
- French, D.N.; Ronda, L.T. NSCA’s Essentials of Sports Science; Human Kinetics: Champaign, IL, USA, 2022. [Google Scholar]
- Reina, M.; García-Rubio, J.; Ibáñez, S.J. Training and Competition Load in Female Basketball: A Systematic Review. Int. J. Environ. Res. Public Health 2020, 17, 2639. [Google Scholar] [CrossRef] [PubMed]
- Martínez-Mesa, J.; González-Chica, D.A.; Duquia, R.P.; Bonamigo, R.R.; Bastos, J.L. Sampling: How to Select Participants in My Research Study? An. Bras. Dermatol. 2016, 91, 326–330. [Google Scholar] [CrossRef] [PubMed]
- World Medical Association Declaration of Helsinki: Ethical Principles for Medical Research Involving Human Subjects. Jama 2013, 310, 2191–2194. [CrossRef]
- Andrade, C. Internal, External, and Ecological Validity in Research Design, Conduct, and Evaluation. Indian J. Psychol. Med. 2018, 40, 498–499. [Google Scholar] [CrossRef]
- Mielgo-Ayuso, J.; Zourdos, M.C.; Calleja-González, J.; Urdampilleta, A.; Ostojic, S.M. Dietary Intake Habits and Controlled Training on Body Composition and Strength in Elite Female Volleyball Players during the Season. Appl. Physiol. Nutr. Metab. 2015, 40, 827–834. [Google Scholar] [CrossRef]
- Faelli, E.; Panascì, M.; Ferrando, V.; Bisio, A.; Filipas, L.; Ruggeri, P.; Bove, M. The Effect of Static and Dynamic Stretching during Warm-up on Running Economy and Perception of Effort in Recreational Endurance Runners. Int. J. Environ. Res. Public Health 2021, 18, 8386. [Google Scholar] [CrossRef]
- Miguel-Ortega, Á.; Fernández-Landa, J.; Calleja-González, J.; Mielgo-Ayuso, J. Stress Levels and Hormonal Coupling and Their Relationship with Sports Performance in an Elite Women’s Volleyball Team. Appl. Sci. 2023, 13, 11126. [Google Scholar] [CrossRef]
- Miguel-Ortega, Á.; Calleja-González, J.; Mielgo-Ayuso, J. Comparison of Sports Performance and Kinanthropometric Profiles of Elite Female Basketball and Volleyball Players over the Course of a Competitive Season. Appl. Sci. 2023, 13, 8267. [Google Scholar] [CrossRef]
- Boldsen, J.L.; Carter, J.E.L.; Honeyman, B. Somatotyping: Development and Applications; Cambridge University Press: Cambridge, UK, 1991; Volume 26. [Google Scholar] [CrossRef]
- De Blas, X.; Padullés, J.M.; Del Amo, J.L.L.; Guerra-Balic, M. Creation and Validation of Chronojump-Boscosystem: A Free Tool to Measure Vertical Jumps. RICYDE Rev. Int. Ciencias Deport. 2012, 8, 334–356. [Google Scholar] [CrossRef]
- American College of Sport Medicine (ACSM). 56th Annual Meeting. 27–30 May 2009. Available online: https://www.medscape.com/viewcollection/30326 (accessed on 9 July 2024).
- De Blas, X.; González-Gómez, J.; Gómez, R. Validación de Chronopic 3. In Proceedings of the Poster Presenting in American College of Sport Medicine (ACSM) 56th Annual Meeting, Seattle, WA, USA, 27–30 May 2009; pp. 27–30. [Google Scholar]
- Markovic, G.; Dizdar, D.; Jukic, I.; Cardinale, M. Reliability and Factorial Validity of Squat and Countermovement Jump Tests. J. Strength Cond. Res. 2004, 18, 551–555. [Google Scholar] [CrossRef] [PubMed]
- Rodríguez-Rosell, D.; Mora-Custodio, R.; Franco-Márquez, F.; Yáñez-García, J.M.; González-Badillo, J.J. Traditional vs. Sport-Specific Vertical Jump Tests: Reliability, Validity, and Relationship with the Legs Strength and Sprint Performance in Adult and Teen Soccer and Basketball Players. J. Strength Cond. Res. 2017, 31, 196–206. [Google Scholar] [CrossRef] [PubMed]
- Tenelsen, F.; Brueckner, D.; Muehlbauer, T.; Hagen, M. Validity and Reliability of an Electronic Contact Mat for Drop Jump Assessment in Physically Active Adults. Sports 2019, 7, 114. [Google Scholar] [CrossRef]
- Gottlieb, R.; Shalom, A.; Calleja-Gonzalez, J. Physiology of Basketball-Field Tests. Review Article. J. Hum. Kinet. 2021, 77, 159–167. [Google Scholar] [CrossRef]
- Manske, R.; Reiman, M. Functional Performance Testing for Power and Return to Sports. Sports Health 2013, 5, 244–250. [Google Scholar] [CrossRef]
- De Guio, F.; Benoit-Cattin, H.; Davenel, A. Quantitative Study of Signal Decay Due to Magnetic Susceptibility Interfaces: MRI Simulations and Experiments. Annu. Int. Conf. IEEE Eng. Med. Biol. Proc. 2007, 1607–1610. [Google Scholar] [CrossRef]
- Altmann, S.; Ringhof, S.; Neumann, R.; Woll, A.; Rumpf, M.C. Validity and Reliability of Speed Tests Used in Soccer: A Systematic Review. PLoS ONE 2019, 14, e0220982. [Google Scholar] [CrossRef]
- Simmons, R.; Leicht, A.; Sinclair, W.; Bowman, P.; Dobbin, M.; Doma, K. Acute Response to Training after Returning from the Off-Season in Elite Rugby League Athletes. J. Hum. Kinet. 2024, 92, 133–146. [Google Scholar] [CrossRef]
- Negra, Y.; Chaabene, H.; Hammami, M.; Amara, S.; Sammoud, S.; Mkaouer, B.; Hachana, Y. Agility in Young Athletes: Is It a Different Ability From Speed and Power? J. Strength Cond. Res. 2017, 31, 727–735. [Google Scholar] [CrossRef]
- Calmeiro, L.; Tenenbaum, G.; Eccles, D.W. Managing Pressure: Patterns of Appraisals and Coping Strategies of Non-Elite and Elite Athletes during Competition. J. Sports Sci. 2014, 32, 1813–1820. [Google Scholar] [CrossRef]
- Papanikolaou, K.; Chatzinikolaou, A.; Pontidis, T.; Avloniti, A.; Deli, C.K.; Leontsini, D.; Draganidis, D.; Tsimeas, P.D.; Rafailakis, L.; Jamurtas, A.Z.; et al. The Yo-Yo Intermittent Endurance Level 2 Test: Reliability of Performance Scores, Physiological Responses and Overload Characteristics in Competitive Soccer, Basketball and Volleyball Players. J. Hum. Kinet. 2019, 67, 223–233. [Google Scholar] [CrossRef]
- Ferguson, C.J. An Effect Size Primer: A Guide for Clinicians and Researchers. Prof. Psychol. Res. Pract. 2009, 40, 532–538. [Google Scholar] [CrossRef]
- Goodman, N.D.; Frank, M.C. Pragmatic Language Interpretation as Probabilistic Inference. Trends Cogn. Sci. 2016, 20, 818–829. [Google Scholar] [CrossRef]
- Hopkins, W.G.; Marshall, S.W.; Batterham, A.M.; Hanin, J. Progressive Statistics for Studies in Sports Medicine and Exercise Science. Med. Sci. Sports Exerc. 2009, 41, 3–12. [Google Scholar] [CrossRef]
- Batterham, A.M.; Hopkins, W.G. Making Meaningful Inferences about Magnitudes. Int. J. Sports Physiol. Perform. 2006, 1, 50–57. [Google Scholar] [CrossRef]
- Schelling, X.; Fernández, J.; Ward, P.; Fernández, J.; Robertson, S. Decision Support System Applications for Scheduling in Professional Team Sport. The Team’s Perspective. Front. Sport. Act. Living 2021, 3, 678489. [Google Scholar] [CrossRef]
- Kamarauskas, P.; Lukonaitienė, I.; Scanlan, A.T.; Ferioli, D.; Paulauskas, H.; Conte, D. Weekly Fluctuations in Salivary Hormone Responses and Their Relationships With Load and Well-Being in Semiprofessional, Male Basketball Players During a Congested In-Season Phase. Int. J. Sports Physiol. Perform. 2022, 17, 263–269. [Google Scholar] [CrossRef]
- Gabbett, T.J.; Nassis, G.P.; Oetter, E.; Pretorius, J.; Johnston, N.; Medina, D.; Rodas, G.; Myslinski, T.; Howells, D.; Beard, A.; et al. The Athlete Monitoring Cycle: A Practical Guide to Interpreting and Applying Training Monitoring Data. Br. J. Sports Med. 2017, 51, 1451–1452. [Google Scholar] [CrossRef]
- Pereira, H.M.; Larson, R.D.; Bemben, D.A. Menstrual Cycle Effects on Exercise-Induced Fatigability. Front. Physiol. 2020, 11, 530492. [Google Scholar] [CrossRef]
- Krzysztofik, M.; Wilk, M.; Wojdała, G.; Gołaś, A. Maximizing Muscle Hypertrophy: A Systematic Review of Advanced Resistance Training Techniques and Methods. Int. J. Environ. Res. Public Health 2019, 16, 4897. [Google Scholar] [CrossRef]
- Handelsman, D.J.; Hirschberg, A.L.; Bermon, S. Circulating Testosterone as the Hormonal Basis of Sex Differences in Athletic Performance. Endocr. Rev. 2018, 39, 803–829. [Google Scholar] [CrossRef]
- Thau, L.; Sharma, S. Physiology, Cortisol. In StatPearls; StatPearls Publshing: Treasure Island, FL, USA, 2019. [Google Scholar]
- Ambroży, T.; Rydzik, Ł.; Obmiński, Z.; Błach, W.; Serafin, N.; Błach, B.; Jaszczur-Nowicki, J.; Ozimek, M. The Effect of High-Intensity Interval Training Periods on Morning Serum Testosterone and Cortisol Levels and Physical Fitness in Men Aged 35–40 Years. J. Clin. Med. 2021, 10, 2143. [Google Scholar] [CrossRef]
- Bifari, F.; Nisoli, E. Branched-chain Amino Acids Differently Modulate Catabolic and Anabolic States in Mammals: A Pharmacological Point of View. Br. J. Pharmacol. 2017, 174, 1366. [Google Scholar] [CrossRef]
- Militello, R.; Luti, S.; Parri, M.; Marzocchini, R.; Soldaini, R.; Modesti, A.; Modesti, P.A. Redox Homeostasis and Metabolic Profile in Young Female Basketball Players during In-Season Training. Healthcare 2021, 9, 368. [Google Scholar] [CrossRef]
- Córdova-Martínez, A.; Caballero-García, A.; Bello, H.J.; Pérez-Valdecantos, D.; Roche, E. Effect of Glutamine Supplementation on Muscular Damage Biomarkers in Professional Basketball Players. Nutrients 2021, 13, 2073. [Google Scholar] [CrossRef]
- De Luccia, T.P.d.B.; Natali, J.E.S.; Moreira, A.; Chaui-Berlinck, J.G.; Bicudo, J.E.P.W. Bouts of Exercise Elicit Discordant Testosterone: Cortisol Ratios in Runners and Non-Runners. Arch. Endocrinol. Metab. 2018, 62, 325. [Google Scholar] [CrossRef]
- Räntilä, A.; Ahtiainen, J.P.; Häkkinen, K. Effects of Acute Loading Induced Fatigability, Acute Serum Hormone Responses and Training Volume to Individual Hypertrophy and Maximal Strength during 10 Weeks of Strength Training. J. Sports Sci. Med. 2023, 22, 559. [Google Scholar] [CrossRef]
- Phillips, S.M.; Paddon-Jones, D.; Layman, D.K. Optimizing Adult Protein Intake During Catabolic Health Conditions. Adv. Nutr. 2020, 11, S1058. [Google Scholar] [CrossRef]
- Mohammadi, H.; Rezaei, M.; Sharafkhaneh, A.; Khazaie, H.; Ghadami, M.R. Serum Testosterone/Cortisol Ratio in People with Obstructive Sleep Apnea. J. Clin. Lab. Anal. 2020, 34, 23011. [Google Scholar] [CrossRef]
- Kamarauskas, P.; Lukonaitienė, I.; Kvedaras, M.; Venckūnas, T.; Conte, D. Relationships between Weekly Changes in Salivary Hormonal Responses and Load Measures during the Pre-Season Phase in Professional Male Basketball Players. Biol. Sport 2023, 40, 353–358. [Google Scholar] [CrossRef]
- Slimani, M.; Paravlic, A.H.; Chaabene, H.; Davis, P.; Chamari, K.; Cheour, F. Hormonal Responses to Striking Combat Sports Competition: A Systematic Review and Meta-Analysis. Biol. Sport 2018, 35, 121. [Google Scholar] [CrossRef]


| Age (yr) | 26.0 ± 5.9 |
| Body mass (kg) | 77.808 ± 12.4 |
| Height (cm) | 177.6 ± 6.4 |
| Sports Experience (yr) | 14.7 ± 2.9 |
| Experience at Elite level (yr) | 5.0 ± 1.1 |
| Cortisol (μg/dL) | Testosterone (ng/mL) | T:C Ratio | |
|---|---|---|---|
| T1 (n = 12) | 18.6 ± 3.4 | 0.69 ± 0.2 | 4.0 ± 2.4 |
| T2 (n = 12) | 17.1 ± 5.0 | 0.70 ± 0.1 | 5.1 ± 4.3 |
| t | 2.201 | ||
| %Δ | −7.634 | 1.687 | 26.366 |
| p | 0.326 | 0.779 | 0.435 |
| η2p | 0.331 | −0.061 | −0.308 |
| Change Magnitude | Moderate | Minimal | Moderate |
| Probabilistic Inference | Probably beneficial | Probably trivial | Probably beneficial |
| SJ (cm) | CMJ (cm) | ABK (cm) | DJ (cm) | MBT (m) | 20m (s) | RSA (s) | Illinois (s) | Yo-Yo (m) | VO2max (ml·kg·min) | |
|---|---|---|---|---|---|---|---|---|---|---|
| T1 (n = 12) | 29.3 ± 4.5 | 29.4 ± 5.4 | 34.3 ± 5.0 | 29.2 ± 4.8 | 7.3 ± 0.9 | 3.5 ± 0.2 | 7.9 ± 0.4 | 18.5 ± 0.8 | 401.7 ± 387.7 | 50.8 ± 5.3 |
| T2 (n = 12) | 32.7 ±5.2 | 32.5 ± 4.3 | 33.6 ± 3.9 | 33.0 ± 5.2 | 7.7 ± 0.9 | 3.4 ± 0.2 | 7.8 ± 0.4 | 18.8 ± 0.6 | 656.7 ± 247.4 | 54.2 ± 3.4 |
| t | 2.201 | |||||||||
| %Δ | 11.5 ± 16.6 | 10.5 ± 16.5 | −2.1 ± 7.9 | 13.0 ± 16.6 | 5.4 ± 8.2 | −1.7 ± 5.9 | −2.2 ± 3.7 | 1.6 ± 4.3 | 63.5 ± 115.6 | 6.8 ± 2.5 |
| p | 0.029 | 0.030 | 0.388 | 0.010 | 0.030 | 0.303 | 0.066 | 0.228 | 0.010 | 0.008 |
| η2p | −0.693 | −0.633 | 0.160 | −0.764 | −0.431 | 0.265 | 0.450 | −0.426 | −0.784 | −0.784 |
| Change Magnitude | Strong | Moderate | Minimal | Strong | Moderate | Moderate | Moderate | Moderate | Strong | Strong |
| Probabilistic Inference | Almost certainly beneficial | Almost certainly beneficial | Possibly harmful | Almost certainly beneficial | Possibly beneficial | Possibly beneficial | Possibly beneficial | Possibly harmful | Almost certainly beneficial | Almost certainly beneficial |
Disclaimer/Publisher’s Note: The statements, opinions and data contained in all publications are solely those of the individual author(s) and contributor(s) and not of MDPI and/or the editor(s). MDPI and/or the editor(s) disclaim responsibility for any injury to people or property resulting from any ideas, methods, instructions or products referred to in the content. |
© 2024 by the authors. Licensee MDPI, Basel, Switzerland. This article is an open access article distributed under the terms and conditions of the Creative Commons Attribution (CC BY) license (https://creativecommons.org/licenses/by/4.0/).
Share and Cite
Miguel-Ortega, Á.; Calleja-González, J.; Mielgo-Ayuso, J. Interactions between Stress Levels and Hormonal Responses Related to Sports Performance in Pro Women’s Basketball Team. J. Funct. Morphol. Kinesiol. 2024, 9, 133. https://doi.org/10.3390/jfmk9030133
Miguel-Ortega Á, Calleja-González J, Mielgo-Ayuso J. Interactions between Stress Levels and Hormonal Responses Related to Sports Performance in Pro Women’s Basketball Team. Journal of Functional Morphology and Kinesiology. 2024; 9(3):133. https://doi.org/10.3390/jfmk9030133
Chicago/Turabian StyleMiguel-Ortega, Álvaro, Julio Calleja-González, and Juan Mielgo-Ayuso. 2024. "Interactions between Stress Levels and Hormonal Responses Related to Sports Performance in Pro Women’s Basketball Team" Journal of Functional Morphology and Kinesiology 9, no. 3: 133. https://doi.org/10.3390/jfmk9030133
APA StyleMiguel-Ortega, Á., Calleja-González, J., & Mielgo-Ayuso, J. (2024). Interactions between Stress Levels and Hormonal Responses Related to Sports Performance in Pro Women’s Basketball Team. Journal of Functional Morphology and Kinesiology, 9(3), 133. https://doi.org/10.3390/jfmk9030133
