Kinematic Analysis of the Lower Limb in Uchi-Mata: Comparison Between Elite Athletes Specializing and Non-Specializing
Abstract
1. Introduction
2. Materials and Methods
2.1. Experimental Approach
2.2. Participants
2.3. Experimental Procedures
2.4. Lower-Limb Turning (Kuzushi) Displacement Calculation
- Dh = hip displacement;
- Dk = knee displacement;
- Df = foot displacement;
- x, y = Cartesian coordinates (horizontal and vertical directions, respectively).
2.5. Total Uchi-Mata Analysis
2.6. Statistical Analysis
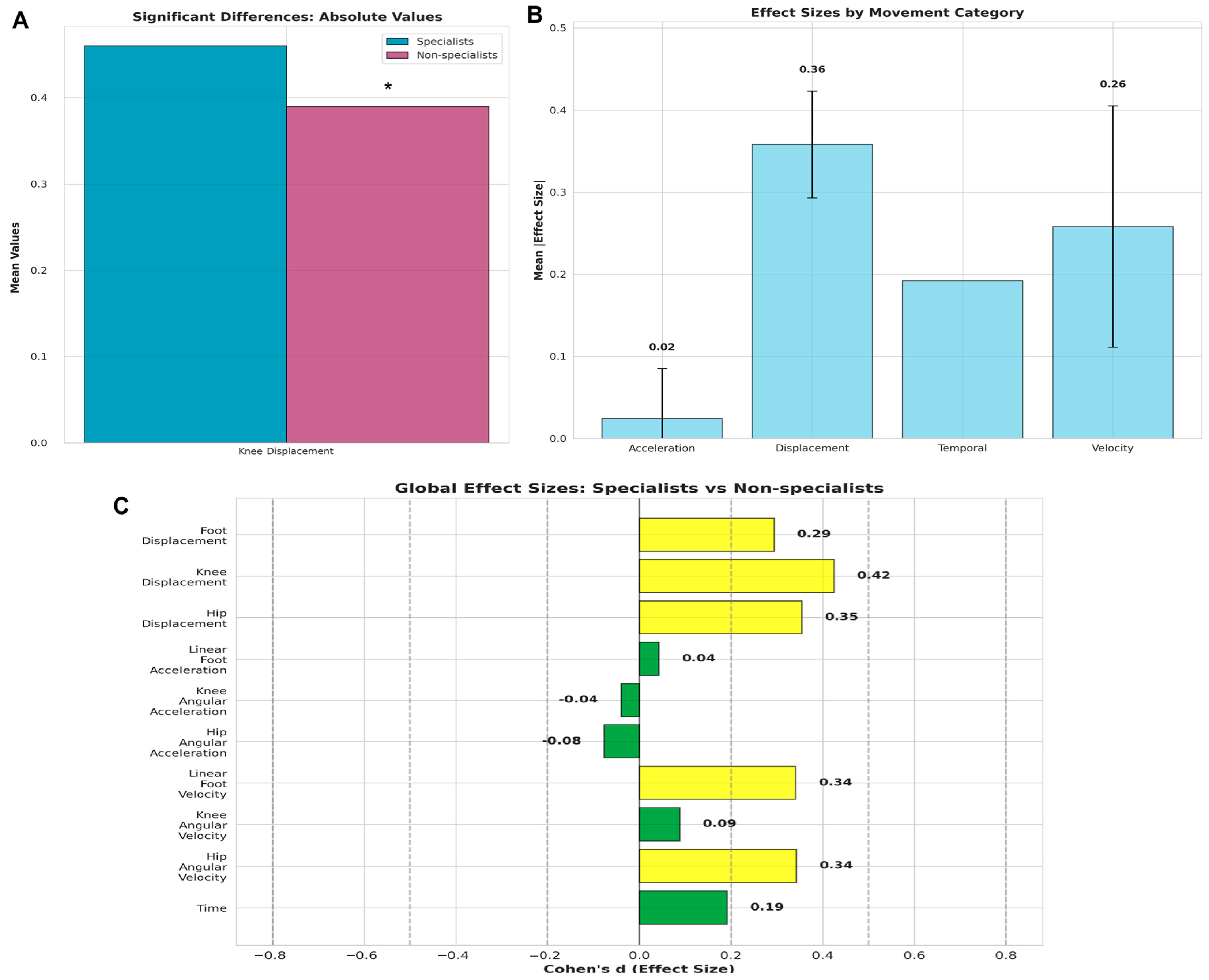
3. Results
4. Discussion
Practical Application
5. Conclusions
Supplementary Materials
Author Contributions
Funding
Institutional Review Board Statement
Informed Consent Statement
Data Availability Statement
Acknowledgments
Conflicts of Interest
Abbreviations
| BMI | Body mass index |
| LLi | Lower limbs |
| CI | Confidence interval |
| Dh | Hip displacement |
| Dk | Knee displacement |
| DF | Foot displacement |
| NSC | Non-standardized coefficient |
| SC | Standardized coefficient |
| LL | Lower limit |
| UL | Upper limit |
| Sig | Significance |
References
- Bonitch Góngora, J.G.; Almeida, F.; Padial Puche, P.; Bonitch-Dominguez, J.G.; Feriche Fernández-Castanys, M.B. Maximal isometric handgrip strength and endurance differences between elite and non-elite young judo athletes. Arch. Budo 2013, 9, 239–248. [Google Scholar]
- Ren, M.; Tian, Y.; McNeill, C.; Lenetsky, S.; Uthoff, A. The Role and Development of Strength for Elite Judo Athletes. Strength Cond. J. 2023, 45, 663–673. [Google Scholar] [CrossRef]
- Imamura, R.; Iteya, M.; Hreljac, A.; Escamilla, R. A Kinematic Comparison of the Judo Throw Harai-Goshi during Competitive and Non-Competitive Conditions. J. Sports Sci. Med. 2007, 6, 15–22. [Google Scholar] [PubMed]
- Pucsok, J.M.; Nelson, K.; Ng, E. A kinetic and kinematic analysis of the harai-goshi judo technique. Acta Physiol. Hung. 2001, 88, 271–280. [Google Scholar] [CrossRef] [PubMed]
- Ishii, T.; Ae, M.; Suzuki, Y.; Kobayashi, Y. Kinematic comparison of the seoi-nage judo technique between elite and college athletes. Sports Biomech. 2018, 17, 238–250. [Google Scholar] [CrossRef]
- Schoof, S.; Sliedrecht, F.; Elferink-Gemser, M.T. Throwing it out there: Grip on multidimensional performance characteristics of judoka—A systematic review. Int. J. Sports Sci. Coach 2024, 19, 908–928. [Google Scholar] [CrossRef]
- Franchini, E.; Sterkowicz, S.; Meir, C.M., Jr.; Gomes, F.R.F.; Tani, G. Technical variation in a sample of high level judo players. Percept. Mot. Ski. 2008, 106, 859–869. [Google Scholar] [CrossRef]
- Dopico-Calvo, X.; Iglesias-Soler, E.; Santos, L.; Carballeira, E.; Mayo, X. Analysis of Successful Behaviors Leading to Groundwork Scoring Skills in Elite Judo Athletes. Int. J. Environ. Res. Public Health 2022, 19, 3165. [Google Scholar] [CrossRef]
- Lech, G.; Szczepanik, K.; Jaworski, J.; Witkowski, K.; Pałka, T. Technical and tactical performance of judo athletes of the top national teams. J. Kinesiol. Exerc. Sci. 2024, 34, 9–15. [Google Scholar]
- Brito, C.J.; Aedo-Muñoz, E.; Miarka, B. Judo performance: Kinanthropometric importance for technical tactical and biomechanics. Braz. J. Kinanthrop. Hum. Perform. 2020, 22, e76584. [Google Scholar] [CrossRef]
- Kons, R.L.; Franchini, E.; Detanico, D. Neuromuscular and judo-specific tests: Can they predict judo athletes’ ranking performance? IDO Mov. Cult. 2020, 20, 15–23. [Google Scholar] [CrossRef]
- Choi, S.-H.; Song, Y.-G. Comparing the seoi-nage skill of elite and non-elite judo athletes. Sci. Rep. 2023, 13, 21714. [Google Scholar] [CrossRef] [PubMed]
- Imamura, R.; Johnson, B. Judo: A kinematic analysis of a judo leg sweep: Major outer leg reap-osoto-gari. Sports Biomech. 2003, 2, 191–201. [Google Scholar] [CrossRef]
- Aedo-Muñoz, E.; Brito, C.J.; Muñoz, P.M.; Nóbrega, O.d.T.; Miarka, B.; Valenzuela, M.G.; Arriagada-Tarifeño, D. Do judokas present differences between upper limbs for the concentric strength of the internal and external rotators of the shoulder? Isokinet Exerc. Sci. 2023, 32, 199–208. [Google Scholar] [CrossRef]
- Marcondes, F.B.; Castropil, W.; Schor, B.; Miana, A.; Vasconcelos, R.; Etchebehere, M. Shoulder isokinetic performance in healthy professional judo athletes: Normative data. Acta Ortop. Bras. 2019, 27, 308–312. [Google Scholar] [CrossRef]
- Hamaguchi, K.; Liu, L.; Shiokawa, M.; Deguchi, T. A biomechanical study of judo uchimata: A comparison of judokas with different skill levels. Sports Biomech. 2025, 1–16. [Google Scholar] [CrossRef]
- Zaggelidis, G.; Lazaridis, S. Evaluation of vertical ground reaction forces in three different judo hip throwing techniques in novice and advanced Greek athletes. Med. Dello Sport 2012, 65, 29–36. [Google Scholar]
- Kajmovic, H.; Radjo, I. A Comparison of Gripping Configuration and Throwing Techniques Efficiency Index in Judo Between Male and Female Judoka During Bosnia and Herzegovina Senior State Championships. Int. J. Perform. Anal. Sport 2014, 14, 620–634. [Google Scholar] [CrossRef]
- Miller, G.A.; Collins, N.A.; Stewart, M.J.; Challis, D.G. Throwing Technique and Efficiency in the 2013 British Judo Championships. Int. J. Perform. Anal. Sport 2015, 15, 53–68. [Google Scholar] [CrossRef]
- Soriano, D.; Tarragó, R.; Lapresa, D.; Callan, M.; Iglesias, X. Observation system for the technical-tactical analysis of judo by the Rio 2016 Olympic champions. PLoS ONE 2024, 19, e0303689. [Google Scholar] [CrossRef]
- Dimitrova, N. Biomechanical assessment of the physical activities of the technique Uchi-mata in judo sport. Act Phys. Educ. Sport 2017, 7, 180–181. [Google Scholar]
- Norton, K.I. Standards for anthropometry assessment. In Kinanthrop Exerc Physiol; Routledge: Oxfordshire, UK, 2018; pp. 68–137. [Google Scholar]
- Jackson, A.S.; Pollock, M.L. Generalized equations for predicting body density of men. Br. J. Nutr. 1978, 40, 497–504. [Google Scholar] [CrossRef]
- Jackson, A.S.; Pollock, M.L.; Ward, A. Generalized equations for predicting body density of women. Med. Sci. Sports Exerc. 1980, 12, 175–181. [Google Scholar] [CrossRef]
- Merriaux, P.; Dupuis, Y.; Boutteau, R.; Vasseur, P.; Savatier, X. A study of vicon system positioning performance. Sensors 2017, 17, 1591. [Google Scholar] [CrossRef] [PubMed]
- VICON. VICON: Plug-in Gait Kinematic and Kinetic Calculation; Nexus: Oxford, UK, 2023; Volume 1, p. 110. [Google Scholar]
- Windolf, M.; Götzen, N.; Morlock, M. Systematic accuracy and precision analysis of video motion capturing systems—Exemplified on the Vicon-460 system. J. Biomech. 2008, 41, 2776–2780. [Google Scholar] [CrossRef] [PubMed]
- Rosenthal, R.; Cooper, H.; Hedges, L. Parametric measures of effect size. Handb. Res. Synth. 1994, 621, 231–244. [Google Scholar]
- Yagin, F.H.; Pinar, A.; de Sousa Fernandes, M.S. Statistical effect sizes in sports science. J. Exerc. Sci. Phys. Act Rev. 2024, 2, 164–171. [Google Scholar] [CrossRef]
- Branco, B.H.M.; Andreato, L.V.; Ribeiro, E.D.; de Oliveira, H.G.; Almeida, F.N.; Junior, N.N. Development of tables for classifying judo athletes according to maximal isometric strength and muscular power, and comparisons between athletes at different competitive levels. Sport Sci. Health 2018, 14, 607–614. [Google Scholar] [CrossRef]
- Monteiro, L.; Massuça, L.M.; Ramos, S.; Garcia-Garcia, J. Neuromuscular Performance of World-Class Judo Athletes on Bench Press, Prone Row and Repeated Jump Tests. Appl. Sci. 2024, 14, 2904. [Google Scholar] [CrossRef]
- Sterkowicz, S.; Sacripanti, A.; Sterkowicz-Przybycień, K. Techniques Frequently Used During London Olympic Judo Tournaments: A Biomechanical Approach. Arch. Budo 2013, 9, 51–58. [Google Scholar] [CrossRef]
- Kim, E.-H.; Cho, D.-H.; Kwon, M.-S. A kinematic analysis of uchi-mata (inner thigh reaping throw) by kumi-kata types in judo. Korean J. Sport Biomech. 2002, 12, 63–87. [Google Scholar] [CrossRef]
- Kim, E.-h.; Kim, S.-s.; Chung, C.-W. A case study of angular momentum of trunk and lower extremity when performing uchimata by posture and voluntary resistance levels of Uke in Korean Judo Olympian. Korean J. Sport Biomech. 2005, 15, 191–203. [Google Scholar] [CrossRef]
- Lee, Y.-C.; Lee, D.; Kim, C.K. Kinematic Evaluation of Koshi-uchi-mata in Judo in Relation with Height-Leg Ratio. J. Sport Leis. Stud. 2008, 32, 1001–1010. [Google Scholar] [CrossRef]
- Warner, D.; Kanamaru, Y. The skill acquisition process for judo–building to a constraints-led approach. In The Science of Judo; Routledge: Oxfordshire, UK, 2018; pp. 67–75. [Google Scholar]
- Miarka, B.; Fukuda, H.D.; Del Vecchio, F.B.; Franchini, E. Discriminant analysis of technical-tactical actions in high-level judo athletes. Int. J. Perform. Anal. Sport 2016, 16, 30–39. [Google Scholar] [CrossRef]
- De la Fuente, A.; Gomez-Landero Rodriguez, L. Motor differences in cadet taekwondo athletes according to competition level. Int. J. Med. Sci. Phys. Act Sport 2019, 19, 63–75. [Google Scholar] [CrossRef]
- Sánchez-Sánchez, J.; Pérez, A.; Boada, P.; García, M.; Moreno, C.; Carretero, M. Study of the fl exibility of international kickboxing wrestlers. Arch. Med. Deporte 2014, 31, 85–91. [Google Scholar]
- Witvrouw, E.; Danneels, L.; Asselman, P.; D’Have, T.; Cambier, D. Muscle flexibility as a risk factor for developing muscle injuries in male professional soccer players: A prospective study. Am. J. Sports Med. 2003, 31, 41–46. [Google Scholar] [CrossRef]
- Zhang, L.; Qiu, F.; Zhu, H.; Xiang, M.; Zhou, L. Neural Efficiency and Acquired Motor Skills: An fMRI Study of Expert Athletes. Front. Psychol. 2019, 10, 2752. [Google Scholar] [CrossRef]
- Wasik, J.; Czarny, W.; Malolepszy, E.; Drozdek-Malolepsza, T. Kinematics of taekwon-do front kick. Arch. Budo 2015, 11, 23–28. [Google Scholar]
- Lee, Y.C.; Lee, D.Y.; Kim, C.K. Biomechanical Analysis of the Determinant Factors on Uchi-Mata in Judo Performance. J. Sport Leis. Stud. 2013, 54, 1073–1080. [Google Scholar] [CrossRef]
- Šimenko, J.; Karpljuk, D.; Hadžić, V. Monitoring of Eccentric Hamstring Strength and Eccentric Derived Strength Ratios in Judokas From a Single Weight Category. Int. J. Environ. Res. Public Health 2022, 19, 604. [Google Scholar] [CrossRef]
- Suarez, G.R.; Davila, M.G.; Puche, P.P. Análisis de Factores Biomecánicos y Comportamentales Relacionados con la Efectividad del Uchi Mata, Ejecutado por Judokas de Alto Rendimiento; Universidad de Granada: Granada, Spain, 2002. [Google Scholar]
- Imamura, R.T.; Hreljac, A.; Escamilla, R.F.; Edwards, W.B. A three-dimensional analysis of the center of mass for three different judo throwing techniques. J. Sports Sci. Med. 2006, 5, 122. [Google Scholar]
- Torres-Luque, G.; Hernández-García, R.; Escobar-Molina, R.; Garatachea, N.; Nikolaidis, P.T. Physical and physiological characteristics of judo athletes: An update. Sports 2016, 4, 20. [Google Scholar] [CrossRef] [PubMed]
- Li, Y.; Guo, Q.; Shao, J.; Gan, Y.; Zhao, Y.; Zhou, Y. Neuromuscular factors predicting lower limb explosive strength in male college sprinters. Front. Physiol. 2025, 15, 1498811. [Google Scholar] [CrossRef]
- Marković, S.; Dopsaj, M.; Jovanović, S.; Rusovac, T.; Cvetkovski, N. Explosive isometric muscle force of different muscle groups of cadet judo athletes in function of gender. Phys. Cult 2018, 72, 57–70. [Google Scholar] [CrossRef]
- Fukuda, D.H.; Stout, J.R.; Kendall, K.L.; Smith, A.E.; Wray, M.E.; Hetrick, R.P. The effects of tournament preparation on anthropometric and sport-specific performance measures in youth judo athletes. J. Strength Cond. Res. 2013, 27, 331–339. [Google Scholar] [CrossRef]
- Adam, M.; Smaruj, M.; Laskowski, R. A Technical and Tactical Profile of the Double Olympic Judo Champion: A Case Study. Int. J. Sports Sci. Coach 2014, 9, 123–138. [Google Scholar] [CrossRef]
- Rexhepi, F.; Hraski, Ž. Comparison of some biomechanical spatial, temporal and velocity parameters in the judo throwing techniques osoto gari and uchi-mata. In Proceedings of the 6th International Scientific Conference on Kinesiology, Zagreb, Croatia, 8–11 September 2011; University of Zagreb, Faculty of Kinesiology: Zagreb, Croatia, 2011; p. 172. [Google Scholar]
- Inzlicht, M.; Marcora, S.M. The central governor model of exercise regulation teaches us precious little about the nature of mental fatigue and self-control failure. Front. Psychol. 2016, 7, 656. [Google Scholar] [CrossRef]
- Aboelwafa, H.S. Effect of Core Muscles Strengthening Workouts in Improving the Static Balance of Judo Players. Sports Sci. Health 2022, 12, 5–9. [Google Scholar] [CrossRef]




| Specialist (n = 20) | Non-Specialist (n = 20) | Fcalc.; p | 95%CI for Difference | |
|---|---|---|---|---|
| Sex (♀/♂) | 4/16 | 8/12 | - | - |
| Dominance (R/L) | 18/2 | 17/3 | - | - |
| Age (years) | 25.8 ± 6.4 | 22.9 ± 5.3 | 2.428; 0.127 | 2.9 (−0.9;6.7) |
| Body mass (kg) | 68.5 ± 9.6 | 67.9 ± 15.0 | 0.64; 0.802 | 0.6 (−7.4; 8.7) |
| Height (cm) | 168.1 ± 7.9 | 168.8 ± 9.5 | 0.024; 0.877 | 0.0 (−0.1; 0.1) |
| BMI (kg/m2) | 24.2 ± 1.9 | 23.6 ± 3.4 | 0.419; 0.521 | 0.6 (−1.2; 2.3) |
| LL height (cm) | 87.4 ± 4.0 | 88.5 ± 5.2 | 0.369; 0.547 | 0.9 (−3.9; 2.1) |
| Training (h/wk) | 18.8 ± 1.1 | 18.8 ± 2.3 | 0.01; 1.0 | 0.6 (−1.1; 1.1) |
| Specialists | Non-Specialists | F Calc; p Value | 95%CI for Difference | Cohen’s d | |
|---|---|---|---|---|---|
| Time (s) | |||||
| Approach | 0.5 ± 0.2 a | 0.4 ± 0.1 | 4.73; 0.035 | 0.1 (0.01; 0.2) | 0.687 |
| Turning | 0.2 ± 0.1 | 0.3 ± 0.1 | 0.593; 0.446 | −0.07 (−0.25; 0.11) | 0.243 |
| Throw | 0.6 ± 0.1 a | 0.5 ± 0.1 | 7.25; 0.01 | 0.09 (0.02; 0.16) | 0.851 |
| Angular hip velocity (°/s) | |||||
| Approach | 137.3 ± 50.2 | 118.5 ± 38.2 | 1.773; 0.191 | 18.8 (−9.76; 47.38) | 0.421 |
| Turning | 119.4 ± 56.0 | 110.4 ± 52.5 | 0.276; 0.603 | 9.01 (−25.74; 43.76) | 0.166 |
| Throw | 179.3 ± 65.1 | 149.2 ± 55.1 | 2.501; 0.122 | 30.15 (−8.45; 68.75) | 0.5 |
| Angular knee velocity (°/s) | |||||
| Approach | 207.6 ± 86.8 | 217.0 ± 91.3 | 0.112; 0.74 | −9.42 (−66.43; 47.59) | 0.1 |
| Turning | 330.3 ± 126.8 | 296.1 ± 87.9 | 0.979; 0.329 | 34.15 (−35.71; 104.02) | 0.312 |
| Throw | 167.6 ± 87.2 | 161.0 ± 127.7 | 0.037; 0.849 | 6.62 (−63.39; 76.63) | 0.06 |
| Linear foot velocity (m/s) | |||||
| Approach | 1.5 ± 0.9 | 1.3 ± 0.9 | 0.647; 0.426 | 0.23 (−0.35; 0.82) | 0.254 |
| Turning | 3.0 ± 1.2 | 2.6 ± 1.0 | 1.819; 0.185 | 0.46 (−0.23; 1.15) | 0.426 |
| Throw | 2.2 ± 0.8 | 1.8 ± 0.4 | 3.36; 0.075 | 0.38 (−0.04; 0.8) | 0.579 |
| Angular hip acceleration (°/s2) | |||||
| Approach | 1899.1 ± 1008.5 | 2136.3 ± 1052.2 | 0.215; 0.645 | −237.24 (−1,272.32; 797.83) | 0.146 |
| Turning | 2584.1 ± 1503.2 | 2420.2 ± 1292.5 | 0.137; 0.714 | 163.89 (−733.52; 1061.29) | 0.116 |
| Throw | 2841.7 ± 1285.0 | 3152.8 ± 1463.6 | 0.251; 0.619 | −311.03 (−1568.82; 946.76) | 0.158 |
| Angular knee acceleration (°/s2) | |||||
| Approach | 3803.5 ± 2136.0 | 4267.9 ± 2118.4 | 0.4776 0.494 | −464.39 (1826.15; 897.39) | 0.218 |
| Turning | 6223.9 ± 4113.9 | 5047.3 ± 2127.0 | 1.291; 0.263 | 1176.61 (−919.82; 3273.03) | 0.359 |
| Throw | 3758.9 ± 2656.5 | 4860.4 ± 2219.4 | 0.707; 0.406 | −1101.56 (−3752.63; 1549.51) | 0.266 |
| Linear foot acceleration (m/s2) | |||||
| Approach | 18.7 ± 10.5 | 19.6 ± 10.6 | 0.049; 0.825 | −0.94 (−9.48; 7.6) | 0.09 |
| Turning | 26.5 ± 9.3 | 25.6 ± 10.3 | 0.072; 0.789 | 0.83 (−5.45; 7.12) | 0.09 |
| Throw | 17.1 ± 5.2 | 15.6 ± 3.9 | 0.997; 0.324 | 1.45 (−1.49; 4.38) | 0.33 |
| Hip displacement (m) | |||||
| Approach | 0.3 ± 0.1 a | 0.2 ± 0.1 | 7.926; 0.007 | −0.08 (−0.15; −0.02) | 1.0 |
| Turning | 0.3 ± 0.1 | 0.2 ± 0.1 | 0.771; 0.385 | 0.02 (−0.03; 0.08) | 1.0 |
| Throw | 0.1 ± 0.1 | 0.1 ± 0.1 | 0.505; 0.481 | 0.01 (−0.02; 0.04) | 0.001 |
| Knee displacement (m) | |||||
| Approach | 0.4 ± 0.1 | 0.4 ± 0.2 | 0.538; 0.467 | 0.04 (−0.07; 0.15) | 0.07 |
| Turning | 0.5 ± 0.1 | 0.5 ± 0.1 | 0.049; 0.825 | 0.01 (−0.08; 0.09) | 0.085 |
| Throw | 0.5 ± 0.2 a | 0.4 ± 0.1 | 9.0; 0.047 | −0.16 (−0.27; −0.05) | 0.315 |
| Foot displacement (m) | |||||
| Approach | 0.5 ± 0.2 | 0.5 ± 0.3 | 0.747; 0.392 | 0.07 (−0.09; 0.22) | 0.89 |
| Turning | 0.7 ± 0.2 | 0.7 ± 0.3 | 0.091; 0.763 | −0.02 (−0.18; 0.13) | 0.277 |
| Throw | 1.1 ± 0.2 a | 0.9 ± 0.2 | 10.082; 0.002 | −0.23 (−0.38; −0.08) | 0.224 |
Disclaimer/Publisher’s Note: The statements, opinions and data contained in all publications are solely those of the individual author(s) and contributor(s) and not of MDPI and/or the editor(s). MDPI and/or the editor(s) disclaim responsibility for any injury to people or property resulting from any ideas, methods, instructions or products referred to in the content. |
© 2025 by the authors. Licensee MDPI, Basel, Switzerland. This article is an open access article distributed under the terms and conditions of the Creative Commons Attribution (CC BY) license (https://creativecommons.org/licenses/by/4.0/).
Share and Cite
Brito, C.J.; Almeida, N.R.; Roa-Gamboa, I.; Barreto, L.B.M.; Fernandes, J.R.; Vieira-Souza, L.M.; Nóbrega, O.d.T.; Díaz de Durana, A.L.; Miarka, B.; Aedo-Muñoz, E. Kinematic Analysis of the Lower Limb in Uchi-Mata: Comparison Between Elite Athletes Specializing and Non-Specializing. J. Funct. Morphol. Kinesiol. 2025, 10, 378. https://doi.org/10.3390/jfmk10040378
Brito CJ, Almeida NR, Roa-Gamboa I, Barreto LBM, Fernandes JR, Vieira-Souza LM, Nóbrega OdT, Díaz de Durana AL, Miarka B, Aedo-Muñoz E. Kinematic Analysis of the Lower Limb in Uchi-Mata: Comparison Between Elite Athletes Specializing and Non-Specializing. Journal of Functional Morphology and Kinesiology. 2025; 10(4):378. https://doi.org/10.3390/jfmk10040378
Chicago/Turabian StyleBrito, Ciro José, Naiara Ribeiro Almeida, Ignacio Roa-Gamboa, Lindsei Brabec Mota Barreto, José Raimundo Fernandes, Lúcio Marques Vieira-Souza, Otávio de Toledo Nóbrega, Alfonso López Díaz de Durana, Bianca Miarka, and Esteban Aedo-Muñoz. 2025. "Kinematic Analysis of the Lower Limb in Uchi-Mata: Comparison Between Elite Athletes Specializing and Non-Specializing" Journal of Functional Morphology and Kinesiology 10, no. 4: 378. https://doi.org/10.3390/jfmk10040378
APA StyleBrito, C. J., Almeida, N. R., Roa-Gamboa, I., Barreto, L. B. M., Fernandes, J. R., Vieira-Souza, L. M., Nóbrega, O. d. T., Díaz de Durana, A. L., Miarka, B., & Aedo-Muñoz, E. (2025). Kinematic Analysis of the Lower Limb in Uchi-Mata: Comparison Between Elite Athletes Specializing and Non-Specializing. Journal of Functional Morphology and Kinesiology, 10(4), 378. https://doi.org/10.3390/jfmk10040378

