Gross-Motor Coordination and Executive Functions Development in Soccer and Artistic Gymnastics Preadolescent Female Athletes
Abstract
1. Introduction
2. Materials and Methods
2.1. Participants
- -
- To be healthy and in the absence of any physical or psychological issues that might affect the study.
- -
- To have at least two years of gymnastics/soccer training experience.
- -
- To have been regularly attending the seasonal trainings and competitions.
2.2. Study Design
2.3. Executive Functions Assessment
2.4. Motor Performance Assessment
2.5. Statistical Analysis
3. Results
3.1. Baseline Differences by Sports
3.2. Baseline Differences by Level of Expertise
3.3. Motor Performance Differences over Time
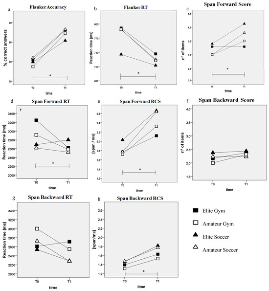
3.4. Executive Functions Differences over Time
3.5. Correlation Analysis Between Motor Performance and EFs
4. Discussion
4.1. Motor Performance in Gymnastics and Soccer Athletes
4.2. Executive Functions in Gymnasts and Soccer Athletes
4.3. Correlations Between Motor and Cognitive Functions
4.4. Limitations of the Study
5. Conclusions
Author Contributions
Funding
Institutional Review Board Statement
Informed Consent Statement
Data Availability Statement
Conflicts of Interest
References
- Bidzan-Bluma, I.; Jurek, P.; Lipowska, M. Cognitive Functions in Pre-Adolescent Children Involved in Gymnastic and Soccer. Adv. Cogn. Psychol. 2024, 20, 149–157. [Google Scholar] [CrossRef]
- Giuriato, M.; Lovecchio, N.; Pellino, V.C.; Mieszkowski, J.; Kawczyński, A.; Nevill, A.; Biino, V. Gross motor coordination and their relationship with body mass and physical activity level during growth in Children aged 8–11 years old: A longitudinal and allometric approach. PeerJ 2022, 8, e13483. [Google Scholar] [CrossRef]
- Robinson, L.E.; Stodden, D.F.; Barnett, L.M.; Lopes, V.P.; Logan, S.W.; Rodrigues, L.P.; D’Hondt, E. Motor Competence and its Effect on Positive Developmental Trajectories of Health. Sports Med. 2015, 45, 1273–1284. [Google Scholar] [CrossRef]
- Koepp, A.E.; Gershoff, E.T. Amount and type of physical activity as predictors of growth in executive functions, attentional control, and social self-control across 4 years of elementary school. Dev. Sci. 2022, 25, e13147. [Google Scholar] [CrossRef] [PubMed]
- Diamond, A. Effects of Physical Exercise on Executive Functions: Going beyond Simply Moving. Ann. Sport Med. Res. 2015, 2, 1011. [Google Scholar]
- Diamond, A. Executive Functions. Annu. Rev. Psychol. 2013, 64, 135–168. [Google Scholar] [CrossRef]
- Albuquerque, M.R.; Rennó, G.V.C.; Bruzi, A.T.; Fortes, L.d.S.; Malloy-Diniz, L.F. Association between motor competence and executive functions in children. Appl. Neuropsychol. Child 2022, 11, 495–503. [Google Scholar] [CrossRef]
- Diamond, A. Close Interrelation of Motor Development and Cognitive Development and of the Cerebellum and Prefrontal Cortex. Child Dev. 2000, 71, 44–56. [Google Scholar] [CrossRef] [PubMed]
- Contreras-Osorio, F.; Campos-Jara, C.; Martínez-Salazar, C.; Chirosa-Ríos, L.; Martínez-García, D. Effects of Sport-Based Interventions on Children’s Executive Function: A Systematic Review and Meta-Analysis. Brain Sci. 2021, 11, 755. [Google Scholar] [CrossRef]
- Biino, V.; Giustino, V.; Gallotta, M.C.; Bellafiore, M.; Battaglia, G.; Lanza, M.; Baldari, C.; Giuriato, M.; Figlioli, F.; Guidetti, L.; et al. Effects of sports experience on children’s gross motor coordination level. Front. Sports Act. Living 2023, 5, 1310074. [Google Scholar] [CrossRef]
- Diamond, A.; Lee, K. Interventions Shown to Aid Executive Function Development in Children 4–12 Years Old. Science 2011, 333, 959–964. [Google Scholar] [CrossRef] [PubMed]
- Contreras-Osorio, F.; Guzmán-Guzmán, I.P.; Cerda-Vega, E.; Chirosa-Ríos, L.; Ramírez-Campillo, R.; Campos-Jara, C. Effects of the Type of Sports Practice on the Executive Functions of Schoolchildren. Int. J. Environ. Res. Public Health 2022, 19, 3886. [Google Scholar] [CrossRef] [PubMed]
- Gu, Q.; Zou, L.; Loprinzi, P.D.; Quan, M.; Huang, T. Effects of open versus closed skill exercise on cognitive function: A systematic review. Front. Psychol. 2019, 10, 1707. [Google Scholar] [CrossRef] [PubMed]
- Heilmann, F.; Weinberg, H.; Wollny, R. The Impact of Practicing Open- vs. Closed-Skill Sports on Executive Functions—A Meta-Analytic and Systematic Review with a Focus on Characteristics of Sports. Brain Sci. 2022, 12, 1071. [Google Scholar] [CrossRef]
- Holfelder, B.; Schott, N. Associations Between Object Control Skills and Cognitive Functions in Boys, Younger and Older Men: Across-Sectional Study. Res. Q. Exerc. Sport 2024, 95, 489–498. [Google Scholar] [CrossRef]
- Spanou, M.; Stavrou, N.; Dania, A.; Venetsanou, F. Children’s Involvement in Different Sport Types Differentiates Their Motor Competence but Not Their Executive Functions. Int. J. Environ. Res. Public Health 2022, 19, 5646. [Google Scholar] [CrossRef]
- Wang, C.-H.; Chang, C.-C.; Liang, Y.-M.; Shih, C.-M.; Chiu, W.-S.; Tseng, P.; Hung, D.L.; Tzeng, O.J.L.; Muggleton, N.G.; Juan, C.-H. Open vs. Closed Skill Sports and the Modulation of Inhibitory Control. PLoS ONE 2013, 8, e55773. [Google Scholar] [CrossRef]
- Kimura, T.; Mizumoto, T.; Torii, Y.; Ohno, M.; Higashino, T.; Yagi, Y. Comparison of the effects of indoor and outdoor exercise on creativity: An analysis of EEG alpha power. Front. Psychol. 2023, 14, 1161533. [Google Scholar] [CrossRef]
- Formenti, D.; Trecroci, A.; Duca, M.; Cavaggioni, L.; D’Angelo, F.; Passi, A.; Longo, S.; Alberti, G. Differences in inhibitory control and motor fitness in children practicing open and closed skill sports. Sci. Rep. 2021, 11, 4033. [Google Scholar] [CrossRef]
- Hötting, K.; Rogge, A.-K.; Kuhne, L.A.; Röder, B. Balance expertise is associated with superior spatial perspective-taking skills. Brain Sci. 2021, 11, 1401. [Google Scholar] [CrossRef]
- Hsieh, S.-S.; Lin, C.-C.; Chang, Y.-K.; Huang, C.-J.; Hung, T.-M. Effects of Childhood Gymnastics Program on Spatial Working Memory. Med. Sci. Sports Exerc. 2017, 49, 2537–2547. [Google Scholar] [CrossRef] [PubMed]
- Jayanthi, N.; Pinkham, C.; Dugas, L.; Patrick, B.; Labella, C. Sports Specialization in Young Athletes: Evidence-Based Recommendations. Sports Health 2013, 5, 251–257. [Google Scholar] [CrossRef] [PubMed]
- Verburgh, L.; Scherder, E.J.A.; Van Lange, P.A.M.; Oosterlaan, J. Do elite and amateur soccer players outperform non-athletes on neurocognitive functioning? A study among 8–12 year old children. PLoS ONE 2016, 11, e0165741. [Google Scholar] [CrossRef]
- Holfelder, B.; Klotzbier, T.J.; Eisele, M.; Schott, N. Hot and Cool Executive Function in Elite- and Amateur-Adolescent Athletes From Open and Closed Skills Sports. Front. Psychol. 2020, 11, 694. [Google Scholar] [CrossRef]
- Söğüt, M. A Comparison of Serve Speed and Motor Coordination between Elite and Club Level Tennis Players. J. Hum. Kinet. 2017, 55, 171–176. [Google Scholar] [CrossRef]
- Swann, C.; Moran, A.; Piggott, D. Defining elite athletes: Issues in the study of expert performance in sport psychology. Psychol. Sport Exerc. 2015, 16, 3–14. [Google Scholar] [CrossRef]
- Hooper, B.; Faria, L.O.; Fortes, L.d.S.; Wanner, S.P.; Albuquerque, M.R. Development and reliability of a test for assessing executive functions during exercise. Appl. Neuropsychol. 2022, 29, 750–760. [Google Scholar] [CrossRef] [PubMed]
- Diamond, A.; Barnett, W.S.; Thomas, J.; Munro, S. Preschool Program Improves Cognitive Control Adele. Science 2007, 318, 1387–1388. [Google Scholar] [CrossRef]
- Vazou, S.; Klesel, B.; Lakes, K.D.; Smiley, A. Rhythmic Physical Activity Intervention: Exploring Feasibility and Effectiveness in Improving Motor and Executive Function Skills in Children. Front. Psychol. 2020, 11, 556249. [Google Scholar] [CrossRef]
- Eriksen, B.; Eriksenm, C. Effects of noise letters upon the identification of a target letter in a nonsearch task. Percept. Psychophys. 1974, 16, 143–149. [Google Scholar] [CrossRef]
- Campanella, M.; Cardinali, L.; Ferrari, D.; Migliaccio, S.; Silvestri, F.; Falcioni, L.; Bimonte, V.; Curzi, D.; Bertollo, M.; Bovolon, L.; et al. Effects of Fitlight training on cognitive-motor performance in élite judo athletes. Heliyon 2024, 10, e28712. [Google Scholar] [CrossRef]
- Cabbage, K.; Brinkley, S.; Gray, S.; Alt, M.; Cowan, N.; Green, S.; Kuo, T.; Hogan, T.P. Assessing working memory in children: The comprehensive assessment battery for children–working memory (CABC-WM). J. Vis. Exp. 2017, e55121. [Google Scholar] [CrossRef]
- Samuel, R.D.; Zavdy, O.; Levav, M.; Reuveny, R.; Katz, U.; Dubnov-Raz, G. The Effects of Maximal Intensity Exercise on Cognitive Performance in Children. J. Hum. Kinet. 2017, 57, 85–96. [Google Scholar] [CrossRef] [PubMed]
- Li, K.; Bao, R.; Kim, H.; Ma, J.; Song, C.; Chen, S.; Cai, Y. Reliability and validity of the Körperkoordinationstest Für Kinder in Chinese children. PeerJ 2023, 11, e15447. [Google Scholar] [CrossRef] [PubMed]
- Giuriato, M.; Biino, V.; Bellafiore, M.; Battaglia, G.; Palma, A.; Baldari, C.; Guidetti, L.; Gallotta, M.C.; Schena, F.; Lanza, M. Gross Motor Coordination: We Have a Problem! A Study With the Körperkoordinations Test für Kinder in Youth (6–13 Years). Front. Pediatr. 2021, 9, 785990. [Google Scholar] [CrossRef]
- Iivonen, S.; Sääkslahti, A.K.; Laukkanen, A. A review of studies using the Körperkoordinationstest für Kinder (KTK). Eur. J. Adapt. Phys. Act. 2015, 8, 18–36. [Google Scholar] [CrossRef]
- Rudd, J.R.; Barnett, L.M.; Farrow, D.; Berry, J.; Borkoles, E.; Polman, R. Effectiveness of a 16 week gymnastics curriculum at developing movement competence in children. J. Sci. Med. Sport 2016, 20, 164–169. [Google Scholar] [CrossRef]
- Beurskens, R.; Muehlbauer, T.; Granacher, U. Association of dual-task walking performance and leg muscle quality in healthy children. BMC Pediatr. 2015, 15, 2. [Google Scholar] [CrossRef]
- Comyns, T.M.; Murphy, J.; O’Leary, D. Reliability, Usefulness, and Validity of Field-Based Vertical Jump Measuring Devices. J. Strength Cond. Res. 2023, 37, 1594–1599. [Google Scholar] [CrossRef]
- Cohen, J. Statistical Power Analysis for the Behavioral Sciences; Lawrence Erlbaum Associates: New York, NY, USA, 1988. [Google Scholar]
- Hrysomallis, C. Balance ability and athletic performance. Sport Med. 2011, 41, 221–232. [Google Scholar] [CrossRef]
- Kenville, R.; Maudrich, T.; Körner, S.; Zimmer, J.; Ragert, P. Effects of Short-Term Dynamic Balance Training on Postural Stability in School-Aged Football Players and Gymnasts. Front. Psychol. 2021, 12, 767036. [Google Scholar] [CrossRef] [PubMed]
- Bressel, E.; Yonker, J.; Kras, J.; Heath, E. Comparison of Static and Dynamic Balance in Female Collegiate Soccer, Basketball, and Gymnastics Athletes. J. Athl. Train. 2007, 42, 42–46. [Google Scholar] [CrossRef] [PubMed]
- dos Santos, M.A.M.; Baxter-Jones, A.; Reyes, A.C.; Freitas, D.; Henrique, R.S.; Chaves, R.N.; Bustamante, A.; Tani, G.; Katzmarzyk, P.T.; Maia, J. Are there gross motor coordination spurts during mid-childhood? Am. J. Hum. Biol. 2019, 31, e23251. [Google Scholar] [CrossRef]
- Rauch, R.; Veilleux, L.-N.; Rauch, F.; Bock, D.; Welisch, E.; Filler, G.; Robinson, T.; Burrill, E.; Norozi, K. Muscle force and power in obese and overweight children. J. Musculoskelet Neuronal Interact. 2012, 12, 80–83. [Google Scholar]
- Purenović-Ivanović, T.; Popović, R.; Stanković, D.; Bubanj, S. The importance of motor coordination abilities for performance in rhythmic gymnastics. Facta Univ.—Ser. Phys. Educ. Sport 2016, 14, 63–74. [Google Scholar]
- Wang, X.; Zhou, B. Motor development-focused exercise training enhances gross motor skills more effectively than ordinary physical activity in healthy preschool children: An updated meta-analysis. Front. Public Health 2024, 12, 1414152. [Google Scholar] [CrossRef] [PubMed]
- Trecroci, A.; Cavaggioni, L.; Rossi, A.; Moriondo, A.; Merati, G.; Nobari, H.; Ardigò, L.P.; Formenti, D. Effects of speed, agility and quickness training programme on cognitive and physical performance in preadolescent soccer players. PLoS ONE 2022, 17, e0277683. [Google Scholar] [CrossRef]
- De Waelle, S.; Laureys, F.; Lenoir, M.; Bennett, S.J.; Deconinck, F.J. Children Involved in Team Sports Show Superior Executive Function Compared to Their Peers Involved in Self-Paced Sports. Children 2021, 8, 264. [Google Scholar] [CrossRef]
- Ludyga, S.; Mücke, M.; Andrä, C.; Gerber, M.; Pühse, U. Neurophysiological correlates of interference control and response inhibition processes in children and adolescents engaging in open- and closed-skill sports. J. Sport Health Sci. 2022, 11, 224–233. [Google Scholar] [CrossRef]
- Moratal, C.; Lupiáñez, J.; Ballester, R.; Huertas, F. Deliberate Soccer Practice Modulates Attentional Functioning in Children. Front. Psychol. 2020, 11, 761. [Google Scholar] [CrossRef]
- Elferink-Gemser, M.T.; Faber, I.R.; Visscher, C.; Hung, T.-M.; de Vries, S.J.; der Sanden, M.W.G.N.-V. Higher-level cognitive functions in Dutch elite and sub-elite table tennis players. PLoS ONE 2018, 13, e0206151. [Google Scholar] [CrossRef]
- Formenti, D.; Trecroci, A.; Duca, M.; Vanoni, M.; Ciovati, M.; Rossi, A.; Alberti, G. Volleyball-Specific Skills and Cognitive Functions Can Discriminate Players of Different Competitive Levels. J. Strength Cond. Res. 2022, 36, 813–819. [Google Scholar] [CrossRef]
- Sakamoto, S.; Takeuchi, H.; Ihara, N.; Ligao, B.; Suzukawa, K. Possible requirement of executive functions for high performance in soccer. PLoS ONE 2018, 13, e0201871. [Google Scholar] [CrossRef] [PubMed]
- Albuquerque, M.R.; Dos Santos Gonzaga, A.; Greco, P.J.; Da Costa, I.T. Association between inhibitory control and tactical performance of under-15 soccer players. Rev. Psicol. Deport 2019, 28, 63–70. [Google Scholar]
- Krenn, B.; Finkenzeller, T.; Würth, S.; Amesberger, G. Sport type determines differences in executive functions in elite athletes. Psychol. Sport Exerc. 2018, 38, 72–79. [Google Scholar] [CrossRef]
- Huang, R.; Lu, M.; Song, Z.; Wang, J. Long-term intensive training induced brain structural changes in world class gymnasts. Brain Struct Funct. 2015, 220, 625–644. [Google Scholar] [CrossRef] [PubMed]
- Pesce, C.; Crova, C.; Cereatti, L.; Casella, R.; Bellucci, M. Physical activity and mental performance in preadolescents: Effects of acute exercise on free-recall memory. Ment. Health Phys. Act. 2009, 2, 16–22. [Google Scholar] [CrossRef]
- Heilmann, F.; Memmert, D.; Weinberg, H.; Lautenbach, F. The relationship between executive functions and sports experience, relative age effect, as well as physical maturity in youth soccer players of different ages. Int. J. Sport Exerc. Psychol. 2022, 21, 271–289. [Google Scholar] [CrossRef]
- Laureys, F.; Collins, D.; Deconinck, F.J.; Vansteenkiste, P.; Lenoir, M. A one-year follow-up of the cognitive and psycho-behavioural skills in artistic gymnastics. Psychol. Sport Exerc. 2023, 66, 102375. [Google Scholar] [CrossRef]
- Beavan, A.; Chin, V.; Ryan, L.M.; Spielmann, J.; Mayer, J.; Skorski, S.; Meyer, T.; Fransen, J. A Longitudinal Analysis of the Executive Functions in High-Level Soccer Players. J. Sport Exerc. Psychol. 2020, 42, 349–357. [Google Scholar] [CrossRef]
- Liu, S.; Chen, S.-T.; Cai, Y. Associations Between Gross Motor Coordination and Executive Functions: Considering the Sex Difference in Chinese Middle-Aged School Children. Front. Psychol. 2022, 13, 875256. [Google Scholar] [CrossRef] [PubMed]
- Bao, R.; Wade, L.; Leahy, A.A.; Owen, K.B.; Hillman, C.H.; Jaakkola, T.; Lubans, D.R. Associations Between Motor Competence and Executive Functions in Children and Adolescents: A Systematic Review and Meta-analysis. Sports Med. 2024, 54, 2141–2156. [Google Scholar] [CrossRef] [PubMed]
- van der Fels, I.M.J.; de Bruijn, A.G.M.; Renken, R.J.; Königs, M.; Meijer, A.; Oosterlaan, J.; Kostons, D.D.N.M.; Visscher, C.; Bosker, R.J.; Smith, J.; et al. Relationships between gross motor skills, cardiovascular fitness, and visuospatial working memory-related brain activation in 8-to 10-year-old children. Cogn. Affect. Behav. Neurosci. 2020, 20, 842–858. [Google Scholar] [CrossRef] [PubMed]
- Koch, P.; Krenn, B. Executive functions in elite athletes—Comparing open-skill and closed-skill sports and considering the role of athletes’ past involvement in both sport categories. Psychol. Sport Exerc. 2021, 55, 101925. [Google Scholar] [CrossRef]



| Elite Gym | Amateur Gym | Elite Soccer | Amateur Soccer | |
|---|---|---|---|---|
| Average weekly workout session frequency [n/week] | 4 ± 1 | 2 ± 0 | 3 ± 0 | 2 ± 0 |
| Average duration of a single workout session [min] | 115 ± 30 | 90 ± 0 | 120 ± 0 | 75 ± 0 |
| Average weekly training hours * [h] | 7.5 ± 0.5 | 3.3 ± 0 | 7.5 ± 0 | 3.7 ± 0.5 |
| Elite Gym | Amateur Gym | Elite Soccer | Amateur Soccer | |
|---|---|---|---|---|
| Weight [kg] | 37.7 ± 6.3 | 38.2 ± 10.0 | 46.9 ± 10.3 * | 42.7 ± 11.6 |
| Height [cm] | 144.8 ± 6.4 | 144.5 ± 9.1 | 149.3 ± 8.1 | 148.0 ± 7.3 |
| BMI [kg/m2] | 17.9 ± 1.9 | 18.0 ± 2.6 | 20.9 ± 3.9 * | 19.3 ± 4.0 |
| Elite Gym | Amateur Gym | Elite Soccer | Amateur Soccer | |
|---|---|---|---|---|
| BB [n° of steps] | 58.31 ± 10.54 ## | 48.53 ± 10.01 ** | 41.71 ± 12.75 | 44.73 ± 10.26 |
| LJ [n° of jumps] | 66.60 ± 7.88 | 65.06 ± 9.25 # | 64.76 ± 12.28 | 58.42 ± 11.18 |
| PS [n° of shifts] | 39.92 ± 6.14 | 40.71 ± 5.64 | 38.76 ± 5.10 | 41.39 ± 4.80 |
| MJ [score] | 58.64 ± 10.36 ## | 48.59 ± 11.38 ** | 42.29 ± 8.19 | 51.09 ± 11.98 ** |
| MQ [score] | 96.16 ± 8.44 ## | 90.24 ± 10.91 | 80.57 ± 10.18 | 84.21 ± 12.03 |
| CMJ [cm] | 22.86 ± 4.31 # | 21.76 ± 4.66 | 19.48 ± 4.48 | 20.02 ± 3.73 |
| Flank_Acc [%] | 80.73 ± 9.65 | 78.41 ± 10.24 | 81.11 ± 9.73 | 80.10 ± 11.31 |
| Flank_RT [ms] | 789.14 ± 70.68 # | 791.28 ± 91.27 | 734.74 ± 105.91 | 788.61 ± 71.27 * |
| Span_for [n° of items] | 3.31 ± 1.23 | 3.00 ± 1.60 | 3.38 ± 1.16 | 3.04 ± 1.15 |
| Span_for_RT [ms] | 3181.93 ± 1372.82 | 3256.27 ± 1503.91 | 2714.83 ± 534.77 | 2688.26 ± 553.80 |
| Span_for_RCS [span/ms] | 1.80 ± 0.70 | 1.65 ± 0.83 | 1.99 ± 0.85 | 1.80 ± 0.62 |
| Span_back [n° of items] | 2.15 ± 0.78 | 2.00 ± 1.32 | 2.19 ± 0.98 | 2.36 ± 1.06 |
| Span_back_RT [ms] | 2566.34 ± 1051.07 # | 2937.77 ± 1664.65 | 2318.16 ± 1223.38 | 2798.33 ± 1121.63 * |
| Span_back_RCS [span/ms] | 1.40 ± 0.51 | 1.35 ± 0.61 | 1.52 ± 0.57 | 1.49 ± 0.53 |
| Spearman (ρ) | Flank_Acc | Flank_RT | Span_For | Span_for_RT | Span_for_RCS | Span_Back | Span_Back_RT | Span_Back_RCS |
|---|---|---|---|---|---|---|---|---|
| BB | 0.234 ** | −0.004 | −0.034 | −0.110 | 0.096 | 0.149 * | 0.094 | 0.047 |
| LJ | 0.388 ** | −0.438 ** | 0.207 ** | −0.106 | 0.294 ** | 0.244 ** | −0.010 | 0.306 ** |
| PS | 0.343 ** | −0.275 ** | 0.118 | −0.084 | 0.156 * | 0.155 * | 0.034 | 0.163 * |
| MJ | 0.379 ** | −0.133 | 0.124 | −0.006 | 0.173 * | 0.216 ** | 0.073 | 0.155 * |
| MQ | 0.390 ** | −0.227 ** | 0.108 | −0.020 | 0.156 * | 0.228 ** | 0.101 | 0.175 * |
| CMJ | 0.118 | −0.075 | 0.074 | 0.041 | 0.035 | 0.057 | 0.010 | 0.099 |
Disclaimer/Publisher’s Note: The statements, opinions and data contained in all publications are solely those of the individual author(s) and contributor(s) and not of MDPI and/or the editor(s). MDPI and/or the editor(s) disclaim responsibility for any injury to people or property resulting from any ideas, methods, instructions or products referred to in the content. |
© 2025 by the authors. Licensee MDPI, Basel, Switzerland. This article is an open access article distributed under the terms and conditions of the Creative Commons Attribution (CC BY) license (https://creativecommons.org/licenses/by/4.0/).
Share and Cite
Silvestri, F.; Campanella, M.; Marcelli, L.; Ferrari, D.; Gallotta, M.C.; Hamdi, F.; Albuquerque, M.R.; Bertollo, M.; Curzi, D. Gross-Motor Coordination and Executive Functions Development in Soccer and Artistic Gymnastics Preadolescent Female Athletes. J. Funct. Morphol. Kinesiol. 2025, 10, 85. https://doi.org/10.3390/jfmk10010085
Silvestri F, Campanella M, Marcelli L, Ferrari D, Gallotta MC, Hamdi F, Albuquerque MR, Bertollo M, Curzi D. Gross-Motor Coordination and Executive Functions Development in Soccer and Artistic Gymnastics Preadolescent Female Athletes. Journal of Functional Morphology and Kinesiology. 2025; 10(1):85. https://doi.org/10.3390/jfmk10010085
Chicago/Turabian StyleSilvestri, Fioretta, Matteo Campanella, Lorenzo Marcelli, Dafne Ferrari, Maria Chiara Gallotta, Faten Hamdi, Maicon Rodrigues Albuquerque, Maurizio Bertollo, and Davide Curzi. 2025. "Gross-Motor Coordination and Executive Functions Development in Soccer and Artistic Gymnastics Preadolescent Female Athletes" Journal of Functional Morphology and Kinesiology 10, no. 1: 85. https://doi.org/10.3390/jfmk10010085
APA StyleSilvestri, F., Campanella, M., Marcelli, L., Ferrari, D., Gallotta, M. C., Hamdi, F., Albuquerque, M. R., Bertollo, M., & Curzi, D. (2025). Gross-Motor Coordination and Executive Functions Development in Soccer and Artistic Gymnastics Preadolescent Female Athletes. Journal of Functional Morphology and Kinesiology, 10(1), 85. https://doi.org/10.3390/jfmk10010085

