Evaluation of Optimized Lumbar Oblique X-Ray Angles with Positioning Assistance for Enhanced Imaging Quality: A Pilot Study in an Asian Cohort
Abstract
1. Introduction
2. Materials and Methods
2.1. Case Collection Method
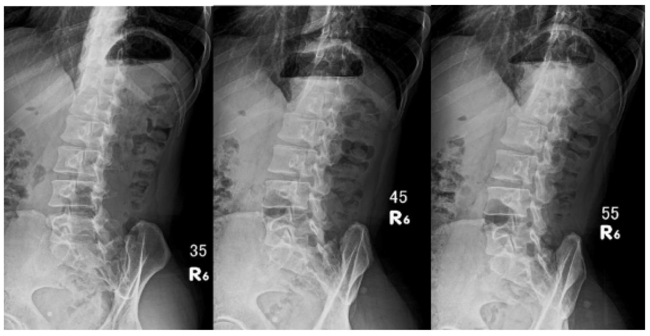
2.2. Radiological Preparation
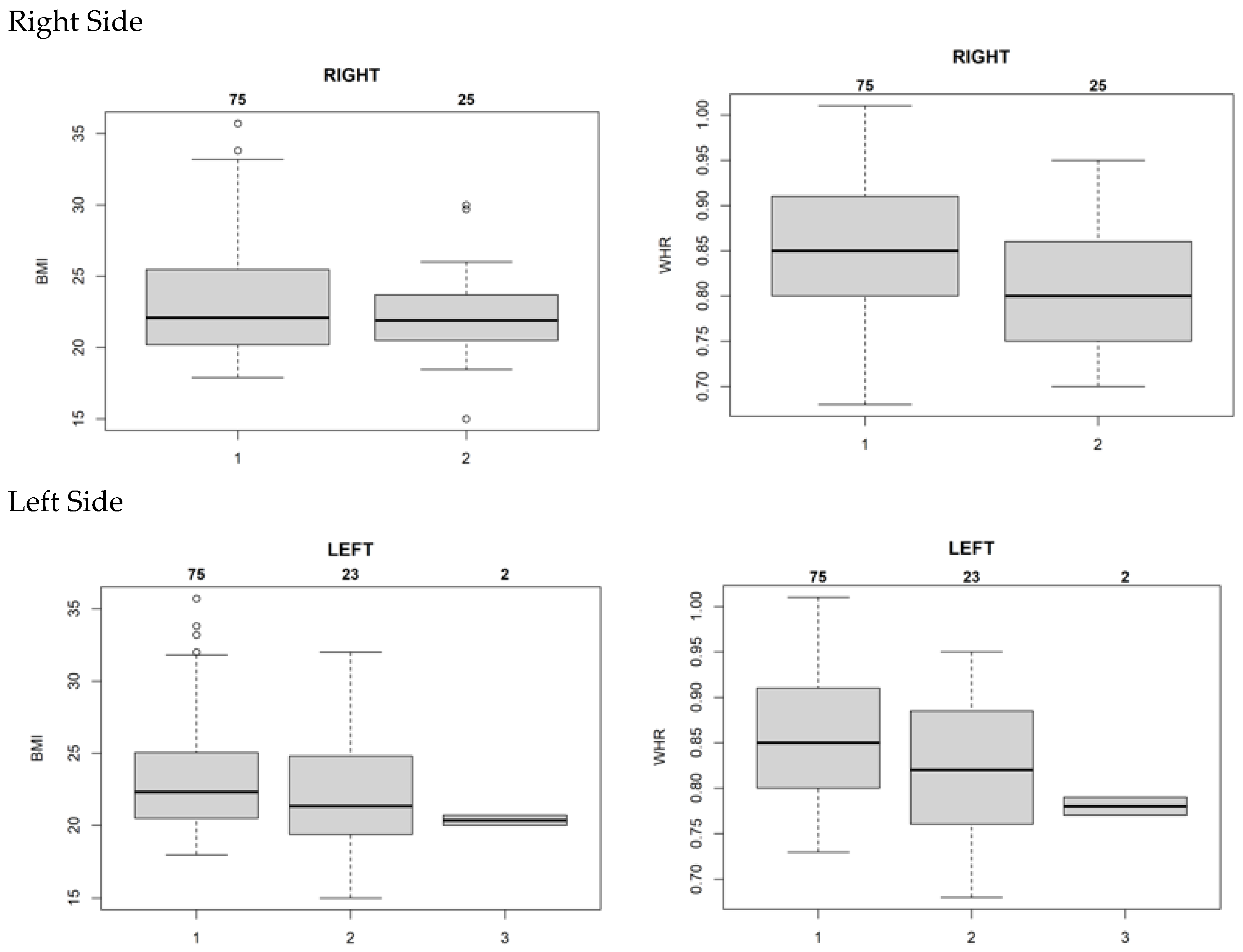
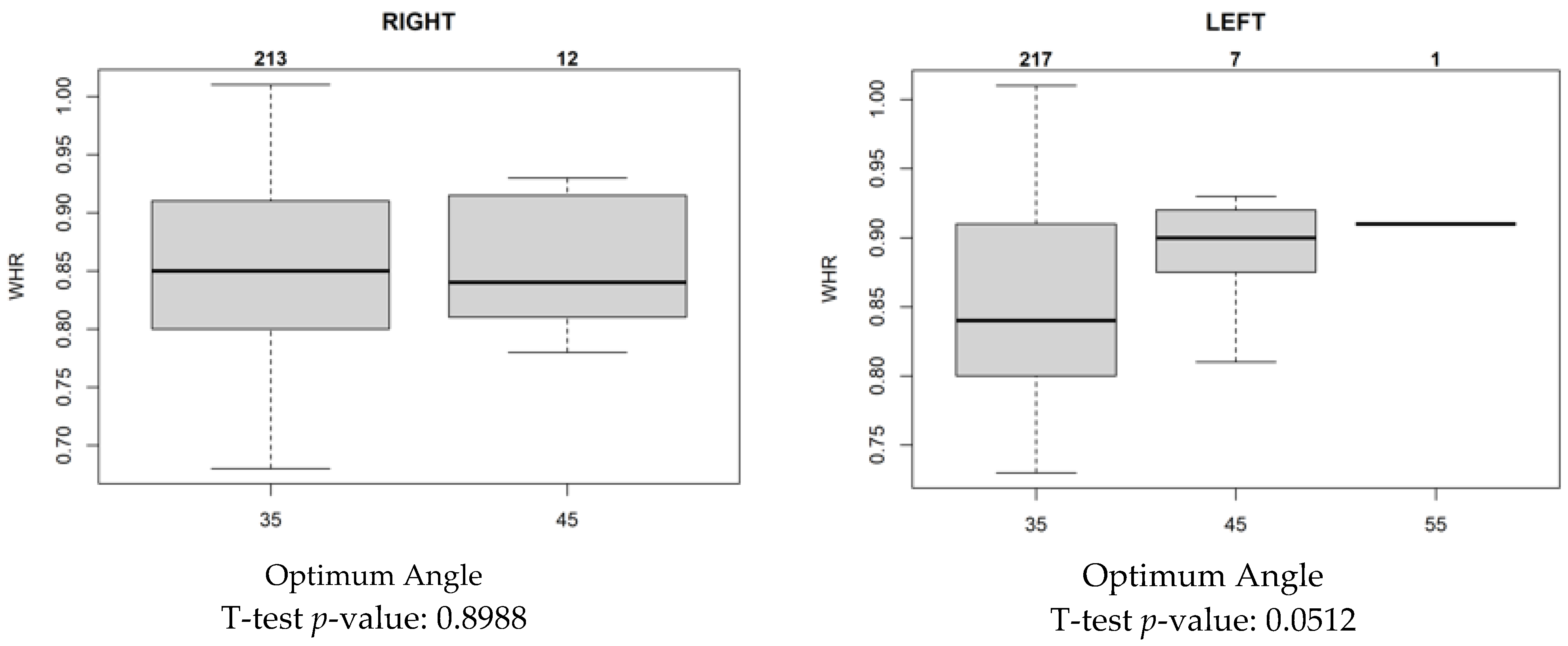
2.3. Statistical Analyses
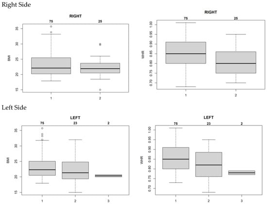
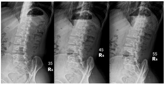
3. Results
4. Discussion
4.1. Limitations
4.2. Future Attributions
5. Conclusions
Author Contributions
Funding
Institutional Review Board Statement
Informed Consent Statement
Data Availability Statement
Conflicts of Interest
References
- Leone, A.; Cianfoni, A.; Cerase, A.; Magarelli, N.; Bonomo, L. Lumbar Spondylolysis: A Review. Skeletal Radiol. 2011, 40, 683–700. [Google Scholar] [CrossRef] [PubMed]
- Hu, S.S.; Tribus, C.B.; Diab, M.; Ghanayem, A.J. Spondylolisthesis and Spondylolysis. J. Bone Joint Surg. Am. 2008, 90, 656–671. [Google Scholar]
- McCleary, M.D.; Congeni, J.A. Current Concepts in the Diagnosis and Treatment of Spondylolysis in Young Athletes. Curr. Sports Med. Rep. 2007, 6, 62–66. [Google Scholar] [CrossRef] [PubMed]
- Fadzan, M.; Bettany-Saltikov, J. Etiological Theories of Adolescent Idiopathic Scoliosis: Past and Present. Open Orthop. J. 2017, 11, 1466–1489. [Google Scholar] [CrossRef]
- Cavalier, R.; Herman, M.J.; Cheung, E.V.; Pizzutillo, P.D. Spondylolysis and Spondylolisthesis in Children and Adolescents: I. Diagnosis, Natural History, and Nonsurgical Management. J. Am. Acad. Orthop. Surg. 2006, 14, 417–424. [Google Scholar] [CrossRef]
- Harvey, C.J.; Richenberg, J.L.; Saifuddin, A.; Wolman, R.L. The Radiological Investigation of Lumbar Spondylolysis. Clin. Radiol. 1998, 53, 723–728. [Google Scholar] [CrossRef] [PubMed]
- Zehnder, S.W.; Ward, C.V.; Crow, A.J.; Alander, D.; Latimer, B. Radiographic Assessment of Lumbar Facet Distance Spacing and Pediatric Spondylolysis. Spine 2009, 34, 285–290. [Google Scholar] [CrossRef] [PubMed]
- Lee, J.; Ehara, S.; Tamakawa, Y.; Shimamura, T. Spondylolysis of the Upper Lumbar Spine. Radiological Features. Clin. Imaging 1999, 23, 389–393. [Google Scholar] [CrossRef] [PubMed]
- Syrmou, E.; Tsitsopoulos, P.P.; Marinopoulos, D.; Tsonidis, C.; Anagnostopoulos, I.; Tsitsopoulos, P.D. Spondylolysis: A Review and Reappraisal. Hippokratia 2010, 14, 17–21. [Google Scholar]
- Saraste, H. Long-Term Clinical and Radiological Follow-Up of Spondylolysis and Spondylolisthesis. J. Pediatr. Orthop. 1987, 7, 631–638. [Google Scholar] [CrossRef]
- Ward, C.V.; Latimer, B.; Alander, D.H.; Parker, J.; Ronan, J.A.; Holden, A.D.; Sanders, C. Radiographic Assessment of Lumbar Facet Distance Spacing and Spondylolysis. Spine 2007, 32, E85–E88. [Google Scholar] [CrossRef]
- Amato, M.; Totty, W.G.; Gilula, L.A. Spondylolysis of the Lumbar Spine: Demonstration of Defects and Laminal Fragmentation. Radiology 1984, 153, 627–629. [Google Scholar] [CrossRef]
- Ravichandran, G. A Radiologic Sign in Spondylolisthesis. AJR Am. J. Roentgenol. 1980, 134, 113–117. [Google Scholar] [CrossRef] [PubMed]
- Lim, M.R.; Yoon, S.C.; Green, D.W. Symptomatic Spondylolysis: Diagnosis and Treatment. Curr. Opin. Pediatr. 2004, 16, 37–46. [Google Scholar] [CrossRef]
- Saifuddin, A.; White, J.; Tucker, S.; Taylor, B.A. Orientation of Lumbar Pars Defects: Implications for Radiological Detection and Surgical Management. J. Bone Joint Surg. Br. 1998, 80, 208–211. [Google Scholar] [CrossRef] [PubMed]
- Pathria, M.; Sartoris, D.J.; Resnick, D. Osteoarthritis of the Facet Joints: Accuracy of Oblique Radiographic Assessment. Radiology 1987, 164, 227–230. [Google Scholar] [CrossRef]
- Kessous, E.; Borsinger, T.; Rahman, A.; d’Hemecourt, P.A. Contralateral Spondylolysis and Fracture of the Lumbar Pedicle in a Young Athlete. Spine 2017, 42, E1087–E1091. [Google Scholar] [CrossRef]
- Ang, E. Lumbar Pars Stress Fracture: An MRI Technique to Replace CT; Springer: Berlin/Heidelberg, Germany, 2017. [Google Scholar]
- Teplick, J.G.; Laffey, P.A.; Berman, A.; Haskin, M.E. Diagnosis and Evaluation of Spondylolisthesis and/or Spondylolysis on Axial CT. AJNR Am. J. Neuroradiol. 1986, 7, 479–491. [Google Scholar] [PubMed]
- Dunn, A.J.; Campbell, R.S.D.; Mayor, P.E.; Rees, D. Radiological Findings and Healing Patterns of Incomplete Stress Fractures of the Pars Interarticularis. Skelet. Radiol. 2008, 37, 443–450. [Google Scholar] [CrossRef]
- Kobayashi, Y.; Minato, I.; Nagano, J.; Inoue, Y.; Takahashi, Y.; Saito, H. The Oblique View for Spondylolysis in the Growing Period. X-ray Projection Angle to Spondylolytic Lumbar Vertebra Based on CT Scanning. Seikei Geka. Orthop. Surg. 1996, 47, 149–155. [Google Scholar]
- Jang, J.-S.; Kim, J.I.; Ku, B.; Lee, J.-H. Reliability Analysis of Vertebral Landmark Labelling on Lumbar Spine X-ray Images. Diagnostics 2023, 13, 1411. [Google Scholar] [CrossRef] [PubMed]
- Fraiwan, M.; Audat, Z.; Fraiwan, L.; Manasreh, T. Using Deep Transfer Learning to Detect Scoliosis and Spondylolisthesis from X-ray Images. PLoS ONE 2022, 17, e0267851. [Google Scholar] [CrossRef]
- Sugiura, A.; Yasuda, E. Algorithmic Attempt of Deflection Angle on the Frontal Lumbar Image by Lateral Lumbar Image Analysis. Int. J. Innov. Sci. Eng. Technol. 2022, 9, 10–19. [Google Scholar]
- Zhou, Q.-S.; Sun, X.; Chen, X.; Xu, L.; Qian, B.-P.; Zhu, Z.; Qiu, Y. Utility of Natural Sitting Lateral Radiograph in the Diagnosis of Segmental Instability for Patients with Degenerative Lumbar Spondylolisthesis. Clin. Orthop. Relat. Res. 2021, 479, 817–825. [Google Scholar] [CrossRef] [PubMed]
- Moriya, R.; Yoshimura, T.; Tang, M.; Ichikawa, S.; Sugimori, H. Development of a Method for Estimating the Angle of Lumbar Spine X-ray Images Using Deep Learning with Pseudo X-ray Images Generated from Computed Tomography. Appl. Sci. 2024, 14, 3794. [Google Scholar] [CrossRef]
- Ouchida, J.; Nakashima, H.; Kanemura, T.; Okamoto, M.; Hatsushikano, S.; Imagama, S.; Le Huec, J.C.; Hasegawa, K. Racial Differences in Whole-Body Sagittal Alignment Between Asians and Caucasians Based on International Multicenter Data. Eur. Spine J. 2023, 32, 3608–3615. [Google Scholar] [CrossRef] [PubMed]
- Sardar, Z.M.; Kelly, M.; Le Huec, J.C.; Bourret, S.; Hasegawa, K.; Wong, H.K.; Liu, G.; Hey, H.W.D.; Riahi, H.; Lenke, L. Sagittal Spinal Alignment Varies with an Individual’s Race: Results of the Multi-ethnic Alignment Normative Study (MEANS). Spine Deform. 2023, 11, 1355–1362. [Google Scholar] [CrossRef] [PubMed]
- Shen, Y.; Sardar, Z.M.; Malka, M.; Reyes, J.; Katiyar, P.; Hassan, F.; Le Huec, J.C.; Bourret, S.; Hasegawa, K.; Wong, H.K.; et al. Characteristics of Spinal Morphology According to the Global Alignment and Proportion (GAP) Score in a Diverse, Asymptomatic Cohort: Multi-Ethnic Alignment Normative Study. Spine 2024, 49, 979–989. [Google Scholar] [CrossRef]
- Janicke, M.; Jacob, K. A Third Industrial Revolution? In Long-Term Governance for Social-Ecological Change; Routledge: London, UK, 2013; pp. 47–71. [Google Scholar]
- Wong, K.V.; Hernandez, A. A Review of Additive Manufacturing. Int. Sch. Res. Not. 2012, 2012, 208760. [Google Scholar] [CrossRef]
- Jandyal, A.; Chaturvedi, I.; Wazir, I.; Raina, A.; Ul Haq, M.I. 3D Printing–A Review of Processes, Materials and Applications in Industry 4.0. Sustain. Oper. Comput. 2022, 3, 33–42. [Google Scholar] [CrossRef]
- Manoj Prabhakar, M.; Saravanan, A.K.; Haiter Lenin, A.; Jerin Leno, I.; Mayandi, K.; Sethu Ramalingam, P. A Short Review on 3D Printing Methods, Process Parameters and Materials. Mater. Today Proc. 2021, 45, 6108–6114. [Google Scholar] [CrossRef]
- Hayhurst, C. Is this the future of medical technology? Biomed. Instrum. Technol. 2014, 48, 14–23. [Google Scholar] [CrossRef] [PubMed]
- Rengier, F.; Mehndiratta, A.; von Tengg-Kobligk, H.; Zechmann, C.M.; Unterhinninghofen, R.; Kauczor, H.U.; Giesel, F.L. 3D Printing Based on Imaging Data: Review of Medical Applications. Int. J. Comput. Assist. Radiol. Surg. 2010, 5, 335–341. [Google Scholar] [CrossRef] [PubMed]
- Chiu, Y.L.; Huang, T.J.; Hsu, R.W. Curve Patterns and Etiologies of Scoliosis: Analysis in a University Hospital Clinic in Taiwan. Changgeng Yi Xue Zhi 1998, 21, 421–428. [Google Scholar]
- Lee, P.; Chen, C.M. Scoliosis. Chin. J. Public Health. 1998, 17, 2–9. [Google Scholar]
- Lo, Y.F.; Huang, Y.C. Bracing in Adolescent Idiopathic Scoliosis. Hu Li Za Zhi 2017, 64, 117–123. [Google Scholar] [CrossRef] [PubMed]







| Variable | Included in the Analysis |
|---|---|
| Gender (Male/Female) | 47:53 |
| BMI (Kg/m2) | 23.16 * (±4.09 **) IQR: 20.25–25.00 |
| WHR | 0.84 * (±0.08 **) |
| Right 35° | Right 45° | Right 55° | Left 35° | Left 45° | Left 45° | |
|---|---|---|---|---|---|---|
| Doctor A | 100 | 0 | 0 | 100 | 0 | 0 |
| Doctor B | 95 | 5 | 0 | 95 | 4 | 1 |
| Doctor C | 89 | 11 | 0 | 96 | 4 | 0 |
Disclaimer/Publisher’s Note: The statements, opinions and data contained in all publications are solely those of the individual author(s) and contributor(s) and not of MDPI and/or the editor(s). MDPI and/or the editor(s) disclaim responsibility for any injury to people or property resulting from any ideas, methods, instructions or products referred to in the content. |
© 2025 by the authors. Licensee MDPI, Basel, Switzerland. This article is an open access article distributed under the terms and conditions of the Creative Commons Attribution (CC BY) license (https://creativecommons.org/licenses/by/4.0/).
Share and Cite
Wang, Y.-L.; Su, H.-Y.; Cheng, C.-M.; Lee, K.-C. Evaluation of Optimized Lumbar Oblique X-Ray Angles with Positioning Assistance for Enhanced Imaging Quality: A Pilot Study in an Asian Cohort. J. Funct. Morphol. Kinesiol. 2025, 10, 23. https://doi.org/10.3390/jfmk10010023
Wang Y-L, Su H-Y, Cheng C-M, Lee K-C. Evaluation of Optimized Lumbar Oblique X-Ray Angles with Positioning Assistance for Enhanced Imaging Quality: A Pilot Study in an Asian Cohort. Journal of Functional Morphology and Kinesiology. 2025; 10(1):23. https://doi.org/10.3390/jfmk10010023
Chicago/Turabian StyleWang, Yu-Li, Hsin-Yueeh Su, Chao-Min Cheng, and Kuei-Chen Lee. 2025. "Evaluation of Optimized Lumbar Oblique X-Ray Angles with Positioning Assistance for Enhanced Imaging Quality: A Pilot Study in an Asian Cohort" Journal of Functional Morphology and Kinesiology 10, no. 1: 23. https://doi.org/10.3390/jfmk10010023
APA StyleWang, Y.-L., Su, H.-Y., Cheng, C.-M., & Lee, K.-C. (2025). Evaluation of Optimized Lumbar Oblique X-Ray Angles with Positioning Assistance for Enhanced Imaging Quality: A Pilot Study in an Asian Cohort. Journal of Functional Morphology and Kinesiology, 10(1), 23. https://doi.org/10.3390/jfmk10010023

