Abstract
Linear particle accelerators (Linacs) are primarily composed of radio frequency cavities (cavities). Compared to traditional manufacturing, Laser Powder Bed Fusion (L-PBF) holds the potential to fabricate cavities in a single piece, enhancing Linac performance and significantly reducing investment costs. However, the question of whether red or green laser PBF yields superior results for pure copper remains a subject of ongoing debate. Eight 4.2 GHz single-cell cavities (SCs) were manufactured from pure copper using both red and green PBF (SCs R and SCs G). Subsequently, the surface roughness of the SCs was reduced through a chemical post-processing method (Hirtisation) and annealed at 460 °C to maximize their quality factor (). The geometric accuracy of the printed SCs was evaluated using optical methods and resonant frequency () measurements. Surface conductivity was determined by measuring the quality factor () of the SCs. Laser scanning microscopy was utilized for surface roughness characterization. The impact of annealing was quantified using Energy-Dispersive X-ray Spectroscopy and Electron Backscatter Diffraction to evaluate chemical surface properties and grain size. Both the SCs R and SCs G achieved the necessary geometric accuracy and thus precision. The SCs R achieved a 95% after a material removal of 40 µm. The SCs G achieved an approximately 80% after maximum material removal of 160 µm. Annealing increased the by an average of about 5%. The additive manufacturing process is at least equivalent to conventional manufacturing for producing cavities in the low-gradient range. The presented cavities justify the first high-gradient tests.
1. Introduction
More than 30,000 particle accelerators are used worldwide for a wide range of applications [1]. A large fraction of these accelerators are linear particle accelerators (Linacs). Some of the most prominent fields of application include radiation therapy, the production of radioisotopes for medical diagnosis and therapy, food sterilization, the X-ray inspection of components, buildings, offshore containers, radiation hardening, the doping of microchips, material analysis, and fundamental research [1,2,3,4,5]. The vast majority of all Linacs are based on radio frequency (RF) cavities (hereafter referred to as cavities) [1,2]. Cavities are structures made of highly conductive materials (e.g., aluminum, copper, and superconductors) that enclose a vacuum volume. If an RF signal is coupled into the cavity whose frequency corresponds to the resonant frequency of the cavity (), more energy is stored in the cavity than is dissipated by ohmic losses. The electric field (E-field) component, in the order of several hundred megavolts per meter, results in the cavity after many RF cycles have been used to accelerate the charged particles (e.g., electrons or protons) [2].
To enable efficient acceleration, the E-field must be concentrated on the beam axis, and the particles must be shielded from unwanted, decelerating field phases. For this purpose, among others, the internal geometry of most cavities is very complex, which is why they are conventionally manufactured in many individual parts. Subsequently, the single parts are joined through assembly methods such as brazing, electron beam welding, etc., to achieve vacuum tightness and optimal electric conductivity [6,7]. A series of consecutive precision steps incurring significant time and cost expenditures is necessary to manufacture complex cavity strutures. Considering the variability of cavity geometries and the fact that they can be different even in the same accelerator system, this manufacturing approach is almost impossible to automate. Thus, conventional cavity manufacturing constitutes a substantial portion of the capital investment costs associated with Linac systems [8,9,10]. Furthermore, it imposes limitations on cavity performance, serves as a source of defects during manufacturing, and obstructs the realization of new cavity designs [3,7].
Compared to conventional manufacturing processes, additive manufacturing (AM or colloquially known as 3D printing) allows the realization of highly complex geometries and thus customized and highly optimized components with improved performance. At the same time, material waste is minimized, and rapid prototyping is made possible [11,12,13]. The number of research projects that utilize these advantages to produce cavities is constantly increasing. Usually, normal conducting S band cavities, on which a large part of Linacs worldwide is based, are made of high-purity copper due to their exceptional electrical and thermal conductivity. Since their fabrication requires micron-level geometric precision, and sub-micron low surface roughness is beneficial to their performance, the laser powder bed fusion (L-PBF) process with subsequent surface post-processing is currently considered the best option for AM cavities [14,15].
During various research projects, several normal conducting copper cavity prototypes have been fully or partially manufactured with L-PBF. These included, among others, an interdigital H-mode cavity (433 MHz) [16,17], a high-frequency quadrupole ( MHz) [18,19], a quarter wave cavity resonator ( GHz) [20], a 3 GHz drift tube cavity [21,22] and single cells for Side-Coupled Cavity Linac Structures [23]. Through the various prototypes and other studies, it has been shown, among other things, that the following have been achieved:
- The fabrication accuracy of L-PBF is sufficient to produce cavities with a resonant frequency lower than 4.2 GHz [23].
- The manufactured cavities reach an inner pressure of less than mbar [22,24].
- A quality factor as in conventional manufacturing is achieved by electrochemical post-processing [23,25].
- Manufacturing costs can be reduced by up to 70% using AM [21,22].
However, the evaluation of prototypes in high-gradient operation (at high coupled power), where surface defects can lead to voltage breakdowns that potentially damage the cavity, is still pending. Nevertheless, it has been shown that AM copper surfaces can withstand E-fields resulting from pulsed DC voltages up to approx. 40 [26].
Despite all the advantages that AM offers, there are also significant pitfalls, especially for new users or customers. DIN and ISO standards, which were developed for conventional manufacturing, lose their relevance or are not applicable at all. Examples of this include dimensional parameters such as the arithmetic average of profile height deviations from the mean line and the maximum peak to valley height of the roughness profile for characterizing surface roughness [23,27]. The build quality is highly dependent on the printing parameters, part orientation, machine settings, and the diligence of the operators. Ultimately, the L-PBF systems from different manufacturers also exhibit significant variations. The choice of which machine to procure for a research project or to use for prototyping thus determines the achievable build quality, building size, and final cavity properties.
For high-performance components like cavities, it is imperative to optimize the manufacturing process for maximum performance. Especially in the case of pure copper cavities, a fundamental discussion arises in the community about whether an L-PBF system based on a red (1030 nm) or green (515 nm) wavelength laser should be used (hereinafter referred to as red and green laser). The absorption of the laser power for pure copper is at least a factor of 5 higher at 515 nm than at 1030 nm [28]. Since only one-fifth of the laser power is required to melt the material, L-PBF systems with green lasers could promise a more stable process with defined melt pools for dense material [29,30]. However, green laser systems have thus far exhibited significantly poorer focusing properties compared to red lasers. Machines equipped with red lasers thus have the possible potential to produce higher geometric accuracy and lower surface roughness [29,30,31].
In this work, we compare the printing quality of single-cavity (SC) prototypes ( GHz) manufactured using L-PBF systems with lasers in the green and red wavelength ranges (subsequently referred to as SC R or SC G). Four SCs were printed on both an EOS M290-1kW (SC R) and a TruPrint1000 Green Edition (SC G) to evaluate the geometric accuracy and electrical surface conductivity by measuring the and their unloaded quality factor . In addition, the material density , surface topology, and microstructure at the inner surfaces have been analyzed.
2. Materials and Methods
2.1. 4.2 GHz Cavity Prototype Design
L-PBF has the disadvantage that support structures are necessary to produce overhanging geometries (downskin sections, angle between geometry, and building platform ) with a certain print quality (accuracy and roughness). These support structures provide temporary stability by anchoring the downskin sections to the build platform or previously printed parts of the geometry [32]. The removal of support structures from complex inner cavity geometries is possible, as we have already shown, but involves additional effort [25]. For this study, we therefore decided to adopt the self-supporting cavity geometry already presented in an earlier paper, in which downskin sections are reduced as far as possible [23]. Figure 1a shows the CAD drawing of the cavity in perspective. Figure 1b–d show the Y–X, Z–Y, and Z–X sections of the cavity geometry, respectively. The printing direction (building direction) corresponds to the z direction. In the following sections, we refer to the respective axes and planes.
Figure 1.
(a) CAD drawing of printed cavity in perspective. (b–d) show the Y–X, Z–Y, and Z–X sections of the cell geometry. (e) shows the E- and (f) the B-field distributions in the Z–X plane.
The SCs are comparable to the unit cell cavities used in biperiodic side-coupled Linacs (SCCLs) [23]. However, unlike for their use in an SCCL, the geometry is provided with two coupling holes via which RF signals can be coupled in and out to feed or probe the RF field in the cavity. The electromagnetic behavior of the cavity was simulated with CST Microwave Studio® [33]. The E- and B-field distributions are shown in Figure 1e,f in the Z–X plane.
The simulated resonant frequency of the cavity is 4260.1 MHz. The simulated unloaded quality factor is 8100. The angle between building platform and downskin sections is always ≥45°. As shown in [23], this cavity geometry can be manufactured using green laser L-PBF with the required accuracy for resonant frequencies below 4260 MHz. For the studies shown, the cavity geometry was also chosen because of its compact dimensions, which enable easy handling, as well as cost- and material-saving production.
2.2. L-PBF Process
Green laser machine: We used a TruPrint1000 Green Edition equipped with a TruDisk1020 green laser ( nm) and a maximum laser power of 0.5 kW of Fraunhofer IWS, Dresden, for manufacturing the cavities. The beam spot diameter at the laser focus point measures 210 µm. The pre-set pure copper manufacturing technological parameters and algorithms were used for the manufacturing process. The process parameters used have demonstrated relative densities exceeding 99.9% and electrical conductivity surpassing 100% IACS for pure copper by Gruber et al. [31]. PureCu® from m4p® was used as the raw material. The chemical composition corresponds to Cu (), Ag (<), Bi (<), Pb (<), O (), and a residue (). The particle size distribution corresponds to µm, µm, and µm.
Red laser machine: We used an EOS M290-1kW equipped with a Yb fiberlaser ( nm) to manufacture the SC with red laser. The beam spot diameter at the laser focus point measures around 85 µm. The utilized process parameters are those developed by the manufacturer EOS, which have demonstrated relative densities exceeding 99.6% and electrical conductivity around 100% IACS for pure copper [34]. Again, not pure copper but EOS “CuCp” was used as the raw material.
2.3. Post-Processing
In line with prior studies, the process of Hirtisation® developed by RENA Technologies Austria [35] was used to diminish surface roughness post-printing [22]. Hirtisation® was also identified as the most promising post-processing method in a study on the post-processing of waveguide components [36]. Hirtisation® utilizes a combination of chemical/electrochemical processes to eliminate sintered-on particles or support structures. It also smoothens the component surface by selectively removing protruding portions of the surface profile more rapidly than recessed areas. In our case, the process employs Cu-Auxilex and Cu-Delevatex process media, also developed by RENA Technologies Austria GmbH [35]. In contrast to other processes for reducing the surface roughness of AM parts, only liquid media were used, which makes it possible to process small or difficult-to-access geometries. The desired material removal was determined by monitoring the material removal using a micrometer caliper on the outer geometries of the SCs. In earlier studies, it was noted that the gas bubbles produced by chemical processes, which always rise along the same paths in the process bath on the geometry surface, lead to an asymmetric material removal [23]. Asymmetric geometries lead to E-field peaks, which potentially promote breakdown phenomena in high-gradient operation. It was therefore decided to divide the process time required for the desired material removal into four equal time periods, between which the orientation of the SCs in the process bath was changed by 90 degrees. The axis of rotation corresponds to the beam axis of the SCs.
The SCs were then annealed at a temperature of 460 °C in a Heraeus RE 1.1 vacuum tube furnace. The temperature was kept constant for 5 h, while the pressure in the vacuum tube remained between and mbar during the entire process.
2.4. RF Measurements
Resonant frequency () and Q factor () were assessed through measurements using a Siglent SNA5012A vector network analyzer (VNA) and two coupling loop probes (CLPs). Calibration of the VNA was performed at the top of the CLPs. Both CLPs were mounted on translation stages to attain optimal and consistently repeatable positioning accuracy.
Evaluation of dimensional accuracy: The geometric accuracy can be characterized by comparing the measured with the simulated . is proportional to , where L corresponds to the inductance, and C corresponds to the capacitance of the cavity. Since each geometrical deviation causes a change in L and C, the measurement of cannot be used to infer a deviation at a specific location in the cavity.
An abrasion of a certain thickness in the cavity differently influences L and C of the hole structure. However, an abrasion of material at the drift tube nose has by far the largest impact on the resonance frequency . For example, a material abrasion of 10 µm at the drift tube noses changes their distance by µm and results in a frequency shift of MHz according to a simulated dependency of . In the following, the frequency shifts are partially illustrated as a geometry deviation of the drift nose distance .
Evaluation of electrical surface conductivity: The quality factor of a cavity can be expressed as . Here, P is the power loss per RF cycle with frequency in the cavity walls, and W is the energy stored in the cavity. Moreover, , where G depends only on the geometry of the cavity, and denotes the RF surface conductivity . For annealed copper, the electric conductivity corresponds to . The skin depth corresponds to ≈1 µm for an of 4260.1 MHz. Assuming that G corresponds to that simulated by CST for the given geometry, an ideal is calculated. Thus, a mean surface conductivity () is extracted from a measured Q factor () by [20].
2.5. Measurement on the Inner Cavity Surface
Following RF measurements, the SCs were cut in halves for inner surface evaluation through 3D optical scanning, roughness measurement, and microstructure analysis.
3D optical scanning: To create false color plots from the deviation of the printed geometry from the planned geometry (CAD file), thereby aiding in visualizing surface features, a Keyence VR-5000 system was employed utilizing structured light with 40× magnification and an automated stage. The measurement accuracy with image stitching is ±4 µm.
Surface roughness measurement: Surface roughness was characterized using the area root mean square average , as introduced in [23]. This metric is similar to defined in the ISO 25178 standard [37] but employs a different high-pass filter ( filter) setting to eliminate surface waviness arising from the copper powder size. A Keyence VK-X3000 laser scanning microscope with a 20× extra-long working distance (ELWD) lens was used for surface characterization.
Data processing followed the method outlined in [23]. As depicted in Figure 2, roughness measurements were conducted at five locations on the inner cavity surface (compare Figure 1c). Red and green text indicated measurement points on the nose cone and cavity sidewall, respectively. Locations A and B corresponded to upskin and downskin surfaces defined from the printing direction, respectively, while positions C, D, and E represented normal surfaces relative to the building platform. Each location encompassed an approximately area for evaluation.
Figure 2.
Locations for roughness measurement on the inner cavity surface.
The measured surface profiles underwent post-processing using Keyence software functions: Noise removal (set to “High”) and Missing data removal. Following the method outlined in [23], the gradient model [38] was used to evaluate based on surface roughness. For the AC surface resistance, surface changes that occur with a wavelength can be considered as flat [38], where is the skin depth of copper. To consider only the surface variations under these conditions, a high-pass filter (-filter) was applied. We defined as the copper powder size , setting µm. To demonstrate the impact of onto the roughness analysis, the data were additionally evaluated with µm.
The lateral resolution of the Keyence VK-X3000 with the 20× ELWD lens is approximately 0.75 µm. After Hirtisation®, is expected to be considerably smaller than 1 µm. It is necessary to determine whether high-frequency surface variations exist that cannot be resolved using the optical method ( µm) but are relevant for .
To investigate this, the surfaces of two SCs, one produced with a red laser and the other with a green laser, were examined using an atomic force microscope (AFM). Six measurements were performed on SC R and SC G. Three of the six were each on a surface of the Z–Y and X–Y plane. Each measurement covered a 25 µm × 25 µm area with a 10 nm lateral resolution. For frequency-dependent analysis, was evaluated using cutoff wavelengths () of 10 µm, 2 µm, and 0.5 µm. Figure 3 illustrates surface profiles of an SC produced with a red laser, which was post-processed with different values. Decreasing (from (a) to (d)) reveals roughness while retaining waviness.
Figure 3.
Surface of the Z–Y plane the SC produced with red laser imaged with an atomic force microscope (AFM). A cutoff wavelengths filter () of 10 µm (b), 2 µm (c), and 0.5 µm (d) was used to eliminate the waviness from the original image (a).
Averaged over all 12 positions, values for different values were obtained: nm, nm, nm, and nm. Considering the lateral resolution of 0.75 µm of the Keyence VK-X3000, AFM measurements indicate the presence of high-frequency roughness below approximately 10 nm. The overall roughness measured with the Keyence VK-X3000 after Hirtisation® is expected to be less than 300 nm (see Section 3.3). Since the contribution of high-frequency roughness (wavelengths smaller than 0.75 µm) to this overall roughness (wavelengths smaller than ) is negligible, surface roughness in this work was determined using the optical method only.
Material density, microstructure, and chemical analysis:
Despite achieving densities over 99.9% as standard with red and green laser L-PBF, this was confirmed through the examination of various micrographs from nose cone geometries manufactured with red and green lasers. Micrographs were captured for both X–Y and Z–Y plans of test prints of the nosecone geometries. The samples underwent embedding in resin and subsequent polishing. Density determination was conducted using images captured with the Keyence VK-X3000.
To analyze the microstructure, EBSD (Electron Backscatter Diffraction) measurements were performed on SC sample geometries produced with red and green lasers before and after annealing. Both the X–Y and Z–Y planes were examined for each SC sample geometry. Due to the skin effect, the microstructure of the inner cavity surface is of particular interest. The Z–Y plane was therefore examined at or as close as possible below the inner cavity surface, whereby, in contrast to the X-Y plane, three measurements were carried out on each sample. The copper samples were grinded with SiC paper with grid sizes of 600, 1200, 2500, and 4000. In the subsequent polishing steps, diamond pastes using water as lubricant with diamond particle sizes 3 µm and 1 µm was applied. To remove any surface deformation, samples were finally electrolytically polished with a LectroPol 5 device using Electrolyte D2 (both supplied by Struers, Copenhagen, Denmark). The best polishing results were obtained by cooling the electrolyte to approx. to and applying a voltage of 25 V and a flow rate of 15 to 40 s. The EBSD investigation was performed with a Scanning Electron Microscope Tescan Mira 3 (Tescan, Brno, Crech Republic) equipped with an EBSD Detector (Oxford Nanosystems Ltd. Abingdon, UK). The acceleration voltage was set to 30 KV, and a step size of roughly 2.5 µm was used. For determination of the grain size, the results of typically 3 different areas with sizes of 2.5 × 1.9 mm were combined. To define a grain boundary, a misorientation angle of was defined. Grains on the border of the area of interest and grains smaller than 10 pixels were excluded from the analysis. The equivalent circle diameter, the horizontal and vertical line intercept, and the misorientation angle distribution of the grain distributions were determined from the EBSD measurements.
Energy-dispersive X-ray spectroscopy (EDS) was used to investigate whether the manufacturing process, in particular post-processing, results in impurities on the surface. For this purpose, small samples were mechanically cut off the outsides of the SCs. For the EDS spectra, 2048 × 1536 single measurements were summed up and carried out on an area of 3.61 mm × 2.71 mm. The measurement time per single measurement was 35 µs. The accelerator voltage was 5 kV.
3. Results
Figure 4 shows photographs of the final states of individual single cavities (SCs). The top row shows SCs produced using a red laser (R), while the bottom row shows those produced with a green laser (G). Each SC is labeled 1 through 4, corresponding to specific SCs within the respective laser types. SCs labeled 1 underwent no post-processing after printing. SCs labeled 2, 3, and 4 underwent material removal through Hirtisation®, with removal depths of 40 µm, 100 µm, and 160 µm, respectively. Figure 5 displays one half-cut each from the individual SCs in their final state, referencing Figure 4. Additionally, Figure 6 presents height profiles of the individual SC halves from Figure 5, captured using the Keyence VR-5000. It is crucial to note that the microscope’s imaging accuracy is limited to areas with lateral extension relative to its objective. Angles close to relative to the microscope stage, such as the inside of the drift tube or the cell interior’s edge, may exhibit artifacts. Asymmetric features arising from the post-processing procedure are indicated by black and white arrows.
Figure 4.
SC 1 is shown after printing. SC 2, SC 3, and SC 4 are shown after material removal of 40 µm, 100 µm, and 160 µm, respectively. SCs printed with green and red laser are indicated with G and R, respectively.
Figure 5.
One half of the individual SCs shown in Figure 4.
Figure 6.
Height profile of the SC halves from Figure 5. Black and white arrows mark asymmetries caused by the post-processing process.
3.1. Density
Figure 7 depicts micrographs of the X–Y and Z–Y planes of a nose cone geometry printed using both red laser (R) and green laser (G). To generate high-resolution images, we stitched numerous individual images at high magnification, resulting in the contrast patterns observed in the images. Image analysis reveals densities of 99.68%, 99.63%, 99.76%, and 99.79% for R (a), R (b), G (a), and G (b), respectively. The densities for green laser (G) slightly lagged behind the potential densities achievable (>99.9% [31,34]). The small dark contrasts mark open-volume defects that are summed up to obtain their relative fraction of the whole volume.
Figure 7.
Micrographs of the nose cone geometry printed with red laser (R) and green laser (G). X–Y plane (a) and Z–Y plane (b) to the printing direction.
3.2. Resonance Frequency
Table 1 presents the measured values for the individual SCs post-printing. The measurement error of approximately 0.2 MHz for each value arose from (a) the positioning accuracy of the Coaxial Launch Probe (CLP) relative to its simulated position in CST and (b) the accuracy of the VNA calibration. The mean resonance frequency of the SC R and SC G deviated from the simulated of 4260.1 MHz by 0.7 MHz and 3.9 MHz, respectively. The maximum deviation of the individual values was 2.7 MHz and 5.0 MHz, respectively. The maximum deviation of the individual from corresponds to 1.1 MHz and 1.0 MHz, respectively.
Table 1.
of the SC numbers 1, 2, 3, and 4 manufactured with green and red laser L-PBF. The simulated corresponds to 4260.1 MHz.
Table 2 presents the measured values for the individual SCs after Hirtisation® and annealing. SC R1 and SC G1 exhibited no significant change in the within the measurement uncertainties compared to after printing. Hence, the influence of the annealing process on the geometry can be considered negligible.
Table 2.
of the SC numbers 1, 2, 3, and 4 manufactured with green and red laser L-PBF after Hirtisation® and annealing.
The measured values for the individual SCs after printing and after Hirtisation® are summarized in Figure 8. SCs R are represented in red, while SCs G are depicted in green.
Figure 8.
after printing and after Hirtisation® of the individual SCs. SCs printed with red/green laser (SCs R and G) are marked in red/green color. MR refers to the material removal during Hirtisation.
3.3. Surface Roughness
Table 3 provides a summary of the measured surface roughness at the designated locations indicated in Figure 2 for SC R1 and SC G1 as measured with the Keyence VK-X3000 for a lateral upper cutoff wavelength of 26 µm () and 14 µm (). SCs 2, 3, and 4 remained intact for post-processing and were consequently examined internally afterward. The average roughness of SC G1 was approximately 43% higher than that of SC R1.
Table 3.
at the specific locations (A, B, C, D, E) of SC 1 produced with green (G) and red lasers (R) after printing.
Table 4 provides a summary of the measured surface roughness at the designated locations marked in Figure 2 for all SCs. It is evident that the average roughness for both manufacturing methods decreased with increasing material removal. For SCs R, the most substantial reduction in occurred with a removal of the first 40 µm. Conversely, for SCs G, a removal of at least 100 µm was necessary for a significant decrease in . Following a removal of 160 µm, SCs R exhibited an approximately lower compared to SCs G.
Table 4.
at the specific locations (A, B, C, D, E) of all SCs produced with green (G) and red lasers (R) after printing, Hirtisation®, and annealing.
3.4. Quality Factor
Table 5 displays the measured values for the individual SCs post-printing. The average of SCs R and SCs G corresponds to approximately 42% and 22% of the simulated , respectively. Similar to , the measurement error of the individual values arose from (a) the positioning accuracy of the Coaxial Launch Probe (CLP) relative to its simulated position in CST and (b) the accuracy of the VNA calibration.
Table 5.
of the cavity numbers 1, 2, 3, and 4 manufactured with green and red lasers after printing. The simulated is 8100.
Table 6 shows the measured values for the individual SCs after Hirtisation®. For SC R2, SC R3, and SC R4, the increased by 126%, 133%, and 140% compared to after printing SC R1 (see Table 5). For SC G2, SC G3, and SC G4, the increased by 100%, 241%, and 283% compared to SC G1 after printing.
Table 6.
of the cavity numbers 1, 2, 3, and 4 manufactured with green and red lasers. Cavity numbers 2, 3, and 4 after Hirtisation®.
Table 7 presents the measured values for the individual SCs after Hirtisation® and annealing. SC R1 exhibited a notable increase in the of approximately . However, the values for SC R2 to SC R4 only showed marginal increases of approximately to compared to those shown in Table 6. Conversely, SC G1 showed no significant increase in the due to annealing. SC G2 experienced an increase of approximately , while SC G3 and SC G4 showed increases of around .
Table 7.
of the cavity numbers 1, 2, 3, and 4 manufactured with green and red lasers after printing, Hirtisation®, and annealing.
The measured values of the individual SCs after printing, Hirtisation®, and annealing are summarized in Figure 9. SCs R are represented in red, while SCs G are depicted in green. Crosses indicate the SC before, and circles denote the SC after annealing.
Figure 9.
of the SC printed with red (red color) and green laser (green color). Values after Hirtisation® are marked with a cross, and values after annealing are marked with a circle.
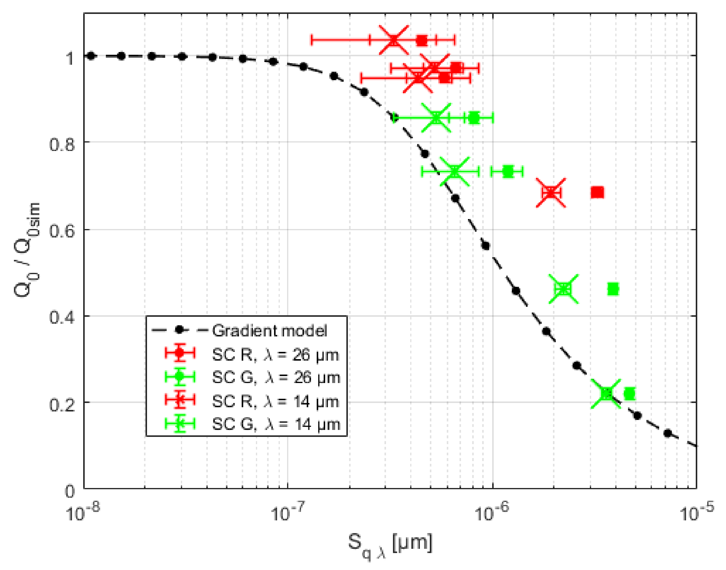
Figure 10 displays the measured of the individual SCs after printing, Hirtisation®, and annealing, which are plotted against . Dots with crosses represent the values corrected with µm and µm—the “cutoff” filter. The black dashed line represents the expected values according to the gradient model. With a cutoff wavelength of µm, neither the measured of the SC R nor that of the SC G corresponds to the gradient model. Looking at the roughness, the deviation is in the order of magnitude of the measured value itself. For µm, only SC G2, SC G3, and SC G4 correspond to the gradient model within the scope of the measurement uncertainty. All other SCs showed deviations from the model, but these were significantly smaller compared to the deviations of µm.
Figure 10.
of the SC printed with red (red color) and green laser (green color) after Hirtisation® and annealing. Dots and crosses represent the values corrected with the 26 µm and 14 µm “cutoff” filter. The black dashed line represents the values as expected according to the gradient model.
3.5. Impact of Annealing
The annealing process resulted in a white coating forming on the quartz tube of the vacuum furnace, likely attributed to outgassing from the SCs. Consequently, we conducted a more detailed analysis to determine which process was responsible for the increase in the unloaded quality factor.
Energy-dispersive X-ray spectroscopy (EDS) revealed the coating in the quartz tube of the vacuum furnace as copper(I)-chloride (CuCl). Figure 11a displays an EDS map of the sample, with the sample carrier depicted in blue (carbon). To identify the source of CuCl, sections of the SCs were analyzed post-additive manufacturing (Figure 11b), post-Hirtisation® (Figure 11d), and post-annealing (Figure 11e). Figure 11c shows a section of b enlarged. Figure 11f presents the EDS spectra after printing, Hirtisation®, and annealing, as well as the EDS spectra of CuCl. Spectra normalized to 1 with respect to the copper peak are shown. Figure 11g shows the chlorine peaks in detail. The chlorine content increased post-Hirtisation® from 0.3% up to 0.8% but decreased significantly to 0.1% after annealing. However, EDS analysis has limitations when analyzing thin layers. Due to the energy requirements for chlorine excitation, an accelerator voltage of 5 kV was used. We simulated that the average penetration depth of 5 keV photons in copper and chloride was approx. 50 nm. If the layers to be analyzed are significantly thinner, as we assumed in the case of CuCl, the determination of CuCl concentrations will be effected. Nevertheless, the post-processing can be evaluated based on the relative change.
Figure 11.
(a,b,d,e): EDS map of the sample taken from the quartz tube coating, after printing, after Hiritisation®, and after annealing. (c) Magnification of an area of (b). (f) EDS spectra of CuCl and copper samples after printing, after Hirtisation®, and after annealing. Normalized to 1 with respect to the copper peak. (g) EDS spectra in detail around the element Cl.
In addition, aluminum oxide (AlO) was found on the sample after printing (see, Figure 11b,c), which resulted in the high Al peak in the spectrum. The AlO was removed by the Hirtisation® process (see Figure 11d), causing the Al peak in the spectrum to disappear and the O peak to decrease. It is also noticeable that the oxygen content dropped again after annealing. This could be due to CO2 or H2O dissolving from the surface at high temperatures. It is not clear where the AlO came from. Contamination of the powder can be ruled out, as the AlO vanished after Hirtisation® was applied. We therefore tend to assume contamination with Al during the preparation of the sample (during cutting or similar). This thesis is also supported by the fact that aluminum (660 °C) has a melting temperature that is below that of copper (1085 °C). However, the impurity appears to be local and not fused with the copper.
Figure 12 shows exemplary electron backscatter diffraction (EBSD) maps of sample geometries produced with red (a) and green (b) lasers before and after annealing. The first column displays micrographs parallel to the building direction (Z–Y plane), while the second column shows the X–Y plane. The grain orientation preferably corresponds to an orientation of [100] or [101] perpendicular to the building direction, whereby the preferred orientations depend on the cooling rate [39] and the melt pool geometry [40,41,42]. Independent of the production process, a significant spatial variation of the microstructure was found in every sample. However, a careful statistical analysis shows that the grain sizes were in the range of 10 µm and 30 µm, with virtually no effect on the annealing treatment and production process. The calculated equivalent circle diameters, as well as the horizontal and vertical line segments, are summarized in Table 8. The spatial variations of the texture on the sample were therefore larger than the variations between different production processes.
Figure 12.
Electron backscatter diffraction (EBSD) maps of samples produced with red (a) and green (b) lasers before and after annealing (X–Y plane and X–Y plane).
Table 8.
Equivalent circle diameters (ECDs), horizontal line intercept (HLI), and vertical line intercept (VLI) of the EBSD maps shown in Figure 12.
Another microstructural feature related to conductivity is misorientation or the grain boundary angle. Small misorientation angles (<) or -Twins (≈) have an electric DC resistivity that is almost a factor 100 [43] or 10 [44] smaller than the random misorientations found in high angle grain boundaries. Figure 13 shows the misorientation angle distribution of the samples. Almost no -Twins were present in the material. Nevertheless, the misorientation angle distribution function was dominated by a high amount of small angle misorientations (<). It appears that annealing increased this fraction.
Figure 13.
Misorientation angle distribution of (a) samples produced with red and (b) samples produced with green laser. After AM and after annealing.
4. Discussion
4.1. Dimensional Accuracy
We want to illustrate the measured frequency deviations by means of the deviation of the gap length g. As mentioned in Section 2.4, the conversion factor is approx. .
After additive manufacturing: The mean values SCs R and SCs G deviated from the planned g by 3.8 µm and 19.0 µm, respectively. The maximum deviation from the planned g was 13.3 µm and 24.3 µm, respectively. To address manufacturing inaccuracies and temperature drifts, cavities are typically equipped with various frequency tuning devices to achieve the desired . Conventional tuning methods (such as tuning rods, pneumatic tuners, circumferential tuners, etc.) can achieve a maximum frequency shift of about 4 MHz for cavities with an of 4260 MHz, without significantly reducing the . These values were extrapolated from an analysis of the tuning characteristics of 3 GHz SCCL cells [45]. This corresponds to a of 19 µm. Especially for SCs G, the measured values were higher than the planned , indicating a systematic deviation related to the printing process that can be corrected iteratively. The maximum deviation from the average g of 9.5 µm and 5.2 µm for the SCs R and SCs G, respectively, lies well within the tunable range of 19 µm. Figure 5 and Figure 6 additionally illustrate that no obvious asymmetries occurred during printing.
After post-processing: As depicted in Table 2 and Figure 8, the demonstrated an increase with increasing material removal (). For SCs G, this yielded an average shift of the resonant frequency per unit material removal () of approximately 0.41 . Conversely, for SCs R, the corresponding value for was approximately 0.60 . It is noteworthy that with both laser types, the first 40 µm of material removal induced a greater frequency shift than the second 40 µm. This is attributed to the faster ablation of layers with incompletely melted powder, as they offer a larger effective surface area. Additionally, SC R4 exhibited a notably large . This is likely due to significant unsymmetrical material removal around the nose cone in this cell (refer to the white arrow in Figure 6). Since the nosecone defines the in the initial iteration, variations here exert a particularly pronounced effect.
Figure 5 and Figure 6 also illustrate that the symmetry of the SCs diminished with increasing material removal (). As more material was removed, increased waviness became apparent (see black arrows in Figure 6), stemming from the flow direction of the post-processing media and raising gas bubbles, as previously discussed in [23]. Nevertheless, especially for low values, the symmetry could be greatly increased compared to [23], which is most likely due to the rotation of the SCs during the process.
4.2. Electrical Surface Conductivity
For the relationship between the actual surface conductivity and the simulated surface conductivity , it holds that (see Section 2.4).
After additive manufacturing: The averaged of the SCs R and SCs G amounted to approximately 0.42 and 0.22, respectively, after printing (see Table 5). This reduction in compared to can mainly be attributed to the high surface roughness of the SCs, which in both cases extended over several skin depths. While annealing has no effect on the SC R1, SC G1 experienced an increase in of approximately 17%. The underlying cause of this increase cannot be unequivocally inferred from the available results. We favor the idea that annealing has removed surface contaminants. A change in the grain structure appears unlikely (see Section 3.5).
After post-processing: Hirtisation® enhanced the quality of both the SCs R and SCs G. For SC R2, a surface conductivity ratio of approximately 93% was achieved after a removal depth of 40 µm. SC R3 and SC R4 reached 91% and 100%, respectively. Surface roughness measurements confirmed the trend of with increasing material removal, although for SC R3, a higher value would be expected. This trend for SCs R was maintained even after annealing, suggesting that either irregularities in the geometry induced by post-processing or the material density may influence SC R3. The printing parameters of additive manufactured components typically differ for the part’s contours and its interior (hatching). In the transition zone between the contours and hatching, irregularities in the lattice and printing defects may occur more frequently. It is possible that at µm, this transition zone was more exposed, potentially leading to a decrease in the surface conductivity of SC R3 compared to SC R2, despite a simultaneous decrease in the surface roughness.
For the SCs G, the ratio increased uniformly up to µm. The influence of the final Hirtisation® step in terms of enhancing per µm was approximately two times lower than that of the first two steps. This suggests an approach toward the surface roughness required to achieve high surface conductivity. SC G4 achieved a of approximately 0.85, which was about 9% less than SC R2. The of SC G4 was approximately 0.81 µm, which was around 19% higher than that of SC R2, thus reflecting the expected trend. It can therefore be assumed that SCs produced with green laser would achieve if were further increased.
After annealing: Annealing resulted in an increase of for all SCs except for SC G1. For SCs processed with Hirtisation®, this increase ranged between 3% and 7%. No systematic dependence on the could be observed. The cause of this increase needs to be further investigated in subsequent studies. Nevertheless, some conclusions can be drawn.
The EDS measurements have shown that during Hirtisation®, CuCl was deposited on the surface of the geometries, which appearred to be either absent or significantly reduced after annealing. This result is further supported by the fact that the vapor pressure of CuCl is 1 hP at 440 °C, suggesting that it has evaporated at the annealing temperature of 460 °C. Taking into account the average analysis depth of 50 nm with EDS, as well as the ratio of Cu counts and Cl counts for the pure CuCl sample and the sample after Hiritisation, it can be assumed that the CuCl layer caused by Hiritisation® should be in the single-digit nanometer range.
The EBSD measurements, on the other hand, have shown that the grain size virtually did not increase due to annealing. Furthermore, the average grain sizes consistently remained in the range of >10 µm. Studies such as [46] suggest that grain sizes only have a significant impact on electrical conductivity in the direct current (DC) case once the average grain diameter is below approximately 400 nm. In addition, it was found out by Thomas et al. [41] that the texture of electron-beam-produced copper parts has only a little effect on the AC conductivity with a frequency of 480 kHz. Misorientation in the structure can also influence the conductivity. It appears that annealing slightly increases the amount of small angle misorientations (<), which may lead to an improvement in (compare Figure 13). However, to the best of the authors’ knowledge, there are no studies describing the influence of grain sizes or misorientations on alternating current (AC) in the S-band frequency range.
Further studies will be carried out to assess how large the influence on Q of the individual effects actually is. Considering that the assumed CuCl layer thickness, the skin depth of about 1 µm (for copper and 4.2 GHz), and that the was only increased by a few percent by annealing, we assume that a large proportion of the the increase primarily resulted from the purification of the surface from CuCl, H2O, or CO2.
Comparison with gradient model: The comparison between the measured values of individual SCs and the expected quality factor , calculated using the Gradient Model for the measured , reveals that the ratio performed significantly better than expected for µm. For µm, some measured values agreed with the gradient model within the errors. Nevertheless, a systematic deviation to higher values is recognizable.
Although this is encouraging from a performance perspective, it also indicates that after the initial positive results in [23], our model for predicting using still needs further optimization. These results show that the choice of the cutoff wavelength must be refined by further studies. In addition, the approach of applying an average roughness for the entire cavity must be reconsidered. After all, different geometry sections show slightly different roughness and in some cases very different current densities or EM field strengths.
5. Conclusions
In this work, four 4.2 GHz single cavities were fabricated using L-PBF systems based on red and green lasers. Subsequently, the single cavities were post-processed through Hirtisation® and annealing.
Both L-PBF processes achieved the necessary printing accuracy and density to produce S-band cavities for currently deployed Linac systems. To achieve the required surface conductivity for Linac applications, the surface roughness must be reduced. This was accomplished through the process of Hirtisation® and subsequent annealing, with the cavities produced using red lasers reaching after a material removal of only 40 µm, while for cavities produced with green laser, more than 160 µm removal was required. The difference is mainly attributed to the initial surface roughness, which was approximately two times lower for the cavities printed with red lasers compared to those printed with green lasers. The reduced processing time or material removal compared to cavities produced with green lasers also has the advantage of practically avoiding asymmetries in the internal geometry induced by Hirtisation®.
In total, the additive manufactured cavities presented in this study encourage high-gradient tests. For the first time, the surface conductivity required for Linacs was achieved through post-processing while simultaneously preserving the geometric symmetry indispensable for high-gradient operation. Although both red and green L-PBF are applicable and fulfill the quality requirements, the red L-PBF resulted in even better Q values and precision in structure geometry while requiring less post-processing time.
Author Contributions
Conceptualization, M.M. and G.D.; methodology, M.M., S.B., M.D. (Marcel Dickmann), M.D. (Michael Doppler), S.G., R.H., V.M., J.M., C.N., B.R. and M.S; software, M.M., S.B. and R.H.; validation, M.M., G.D. and M.D. (Marcel Dickmann); formal analysis, M.M., S.B., C.N., M.S. and V.M.; investigation, M.M.; resources, G.D., M.S., M.D. (Marcel Dickmann), B.R., E.L., L.S. and V.N.-G.; data curation, M.M.; writing—original draft preparation, M.M. and G.D.; writing—review and editing, M.M., S.B., M.D. (Marcel Dickmann), M.D. (Michael Doppler), S.G., R.H., E.L., V.M., J.M., C.N., V.N.-G., B.R., M.S., L.S. and G.D.; visualization, M.M., S.B. and M.S.; supervision, G.D.; project administration, M.M.; funding acquisition, G.D., M.D. (Marcel Dickmann) and V.N.-G. All authors have read and agreed to the published version of the manuscript.
Funding
The study is partly funded by the Federal Ministry of Education and Research (BMBF) via ERUM-Pro and the EU project Radiate. In addition, the equipment used in this study from the FLAB-3Dprint research project is funded by dtec.bw—Forschungszentrum Digitalisierung und Technik der Bundeswehr—for which we would like to express our sincere thanks. dtec.bw is funded by the European Union—NextGenerationEU. Furthermore, the authors acknowledge instrument funding from the German Research Foundation (DFG) through the major instrumentation campaign GGA-HAW (INST 99/38-1).
Data Availability Statement
The data presented in this study are available upon request from the corresponding author.
Conflicts of Interest
Author Michael Doppler was employed by the company RENA Technologies Austria GmbH. Author Bernd Reinarz was employed by the company EOS GmbH Electro Optical Systems, Innovation Center Düsseldorf. The remaining authors declare that the research was conducted in the absence of any commercial or financial relationships that could be construed as a potential conflict of interest.
References
- Witman, S. Ten Things You Might Not Know about Particle Accelerators. Symmetry Magazine, 15 April 2014. [Google Scholar]
- Wangler, T.P. RF Linear Accelerators; John Wiley & Sons: Hoboken, NJ, USA, 2008. [Google Scholar]
- Kutsaev, S. Advanced technologies for applied particle accelerators and examples of their use. Tech. Phys. 2021, 66, 161–195. [Google Scholar] [CrossRef]
- Lung, H.M.; Cheng, Y.C.; Chang, Y.H.; Huang, H.W.; Yang, B.B.; Wang, C.Y. Microbial decontamination of food by electron beam irradiation. Trends Food Sci. Technol. 2015, 44, 66–78. [Google Scholar] [CrossRef]
- Do Huh, H.; Kim, S. History of radiation therapy technology. Prog. Med Phys. 2020, 31, 124–134. [Google Scholar] [CrossRef]
- Wilson, I.H. Cavity construction techniques. In Proceedings of the CERN Accelerator School of RF Engineering for Particle Accelerators, Oxford, UK, 3–10 April 1991; Volume 2. [Google Scholar] [CrossRef]
- Nassiri, A.; Chase, B.; Craievich, P.; Fabris, A.; Frischholz, H.; Jacob, J.; Jensen, E.; Jensen, M.; Kustom, R.; Pasquinelli, R. History and technology developments of radio frequency (RF) systems for particle accelerators. IEEE Trans. Nucl. Sci. 2015, 63, 707–750. [Google Scholar] [CrossRef]
- Pagani, C.; Bellomo, G.; Pierini, P. A high current proton linac with 352 MHz SC cavities. arXiv 1996, arXiv:acc-phys/9609004. [Google Scholar]
- Mickat, S.; Barth, W.; Clemente, G.; Groening, L.; Schlitt, B.; Ratzinger, U. The Status of the High-Energy Linac Project at GSI. GSI Sci. Rep. 2014, 306. [Google Scholar]
- Brinkmann, R.; Andruszkow, J.; Agababyan, A.; Ageyev, A.; Andruszkow, J.; Antoine, C.; Aseev, V.; Aune, B.; Ayvazyan, V.; Baboi, N.; et al. TESLA Technical Design Report—PART II The Accelerator; DESY: Hamburg, Germany, 2001; Available online: https://tesla.desy.de/ (accessed on 1 December 2023).
- Calignano, F.; Manfredi, D.; Ambrosio, E.P.; Biamino, S.; Lombardi, M.; Atzeni, E.; Salmi, A.; Minetola, P.; Iuliano, L.; Fino, P. Overview on additive manufacturing technologies. Proc. IEEE 2017, 105, 593–612. [Google Scholar] [CrossRef]
- Sefene, E.M. State-of-the-art of selective laser melting process: A comprehensive review. J. Manuf. Syst. 2022, 63, 250–274. [Google Scholar] [CrossRef]
- Shahrubudin, N.; Lee, T.C.; Ramlan, R. An overview on 3D printing technology: Technological, materials, and applications. Procedia Manuf. 2019, 35, 1286–1296. [Google Scholar] [CrossRef]
- Ikeshoji, T.T.; Nakamura, K.; Yonehara, M.; Imai, K.; Kyogoku, H. Selective laser melting of pure copper. Jom 2018, 70, 396–400. [Google Scholar] [CrossRef]
- Tran, T.Q.; Chinnappan, A.; Lee, J.K.Y.; Loc, N.H.; Tran, L.T.; Wang, G.; Kumar, V.V.; Jayathilaka, W.; Ji, D.; Doddamani, M.; et al. 3D printing of highly pure copper. Metals 2019, 9, 756. [Google Scholar] [CrossRef]
- Hähnel, H.; Ates, A.; Ratzinger, U. Update on the first 3D printed IH-type linac structure-proof-of-concept for additive manufacturing of linac rf cavities. In Proceedings of the 31st Linear Accelerator Conference (LINAC), Liverpool, UK, 8 August–2 September 2022; Volume 31, pp. 170–173. [Google Scholar]
- Hähnel, H.; Ateş, A.; Dedić, B.; Ratzinger, U. Additive Manufacturing of an IH-Type Linac Structure from Stainless Steel and Pure Copper. Instruments 2023, 7, 22. [Google Scholar] [CrossRef]
- Torims, T.; Cherif, A.; Delerue, N.; Pedretti, M.F.; Krogere, D.; Otto, T.; Pikurs, G.; Pozzi, M.; Ratkus, A.; Thielmann, M.; et al. Evaluation of geometrical precision and surface roughness quality for the additively manufactured radio frequency quadrupole prototype. In Proceedings of the Journal of Physics: Conference Series; IOP Publishing: Bristol, UK, 2023; Volume 2420, p. 012089. [Google Scholar]
- Torims, T.; Pikurs, G.; Gruber, S.; Vretenar, M.; Ratkus, A.; Vedani, M.; López, E.; Brückner, F. First proof-of-concept prototype of an additive manufactured radio frequency quadrupole. Instruments 2021, 5, 35. [Google Scholar] [CrossRef]
- Riensche, A.; Carriere, P.; Smoqi, Z.; Menendez, A.; Frigola, P.; Kutsaev, S.; Araujo, A.; Matavalam, N.G.; Rao, P. Application of hybrid laser powder bed fusion additive manufacturing to microwave radio frequency quarter wave cavity resonators. Int. J. Adv. Manuf. Technol. 2023, 124, 619–632. [Google Scholar] [CrossRef]
- Mayerhofer, M.; Mitteneder, J.; Dollinger, G. A 3D printed pure copper drift tube linac prototype. Rev. Sci. Instruments 2022, 93, 023304. [Google Scholar] [CrossRef] [PubMed]
- Mayerhofer, M.; Mitteneder, J.; Witting, C.; Prestes, I.; Jaegle, R.; Dollinger, G. First High Quality Drift Tube Linac Cavity additively Manufactured from Pure Copper. In Proceedings of the 14th International Particle Accelerator Conference, Venice, Italy, 7–12 May 2023; Volume 23. [Google Scholar]
- Mayerhofer, M.; Brenner, S.; Helm, R.; Gruber, S.; Lopez, E.; Stepien, L.; Gold, G.; Dollinger, G. Additive Manufacturing of Side-Coupled Cavity Linac Structures from Pure Copper: A First Concept. Instruments 2023, 7, 56. [Google Scholar] [CrossRef]
- Ratkus, A.; Rarison, S.; Garion, C.; Kos, H.; Gruber, S.; Stepien, L.; Patil, A.; Lopez, E.; Torims, T.; Pikurs, G.; et al. Evaluation of green laser source additive manufacturing technology for accelerator applications with ultra-high vacuum requirements. In Proceedings of the Journal of Physics: Conference Series; IOP Publishing: Bristol, UK, 2024; Volume 2687, p. 082046. [Google Scholar]
- Mayerhofer, M.; Brenner, S.; Doppler, M.; Catarino, L.; Girst, S.; Nedeljkovic-Groha, V.; Dollinger, G. Improving Fabrication and Performance of Additively Manufactured RF Cavities by Employing Co-Printed Support Structures and Their Subsequent Removal. Instruments 2024, 8, 18. [Google Scholar] [CrossRef]
- Ratkus, A.; Torims, T.; Pikurs, G.; Bjelland, V.; Calatroni, S.; Peacock, R.; Serafim, C.; Vretenar, M.; Wuensch, W.; Vedani, M.; et al. Initial high electric field—Vacuum arc breakdown test results for additively manufactured pure copper electrodes. In Proceedings of the 14th International Particle Accelerator Conference, Venice, Italy, 7–12 May 2023; Volume 14. [Google Scholar]
- Townsend, A.; Senin, N.; Blunt, L.; Leach, R.; Taylor, J. Surface texture metrology for metal additive manufacturing: A review. Precis. Eng. 2016, 46, 34–47. [Google Scholar] [CrossRef]
- Punzel, E.; Hugger, F.; Dörringer, R.; Dinkelbach, T.L.; Bürger, A. Comparison of different system technologies for continuous-wave laser beam welding of copper. Procedia CIRP 2020, 94, 587–591. [Google Scholar] [CrossRef]
- Qu, S.; Ding, J.; Fu, J.; Fu, M.; Zhang, B.; Song, X. High-precision laser powder bed fusion processing of pure copper. Addit. Manuf. 2021, 48, 102417. [Google Scholar] [CrossRef]
- De Terris, T.; Baffie, T.; Ribiere, C. Additive manufacturing of pure copper: A review and comparison of physical, microstructural, and mechanical properties of samples manufactured with Laser-Powder Bed Fusion (L-PBF), Electron Beam Melting (EBM) and Metal Fused Deposition Modelling (MFDM) technologies. Int. J. Mater. Form. 2023, 16, 32. [Google Scholar]
- Gruber, S.; Stepien, L.; López, E.; Brueckner, F.; Leyens, C. Physical and geometrical properties of additively manufactured pure copper samples using a green laser source. Materials 2021, 14, 3642. [Google Scholar] [CrossRef] [PubMed]
- Yang, G.; Li, H.; Li, Z.; Zhu, Z.; Liu, R.; Zhang, Q.; Liu, Y.; Yao, J. Support design of overhanging structure for laser powder bed fusion. J. Mater. Res. Technol. 2023, 24, 8693–8702. [Google Scholar] [CrossRef]
- Dassault Systèmes. CST Microwave Studio; CST Studio Suite: Houston, TX, USA, 2008. [Google Scholar]
- Electro Optical Systems (EOS GmbH), EOS Copper CuCP. 2024. Available online: https://store.eos.info/products/eos-copper-cucp (accessed on 13 April 2024).
- RENA Technologies Austria GmbH, Homepage. 2024. Available online: https://www.rena.com/en/company/rena-austria (accessed on 13 April 2024).
- Herrero Martin, A.; Garcia-Verdugo Zuil, A. Additive Manufacturing and Radio Frequency Filters: A Case Study on 3D-Printing Processes, Postprocessing and Silver Coating Methods. Master’s Thesis, Kungliga Tekniska Högskolan, Stockholm, Sweden, 2020. [Google Scholar]
- DIN EN ISO 25178-2: 2012-09; Geometrical Product Specifications (GPS)—Surface Texture: Areal—Part 2: Terms, Definitions and Surface Texture Parameters (ISO 25178-2: 2012). European Committee for Standardization: Brussels, Belgium, 2012.
- Gold, G.; Helmreich, K. A physical surface roughness model and its applications. IEEE Trans. Microw. Theory Tech. 2017, 65, 3720–3732. [Google Scholar] [CrossRef]
- Soda, H.; McLean, A.; Wang, Z.; Motoyasu, G. Pilot-scale casting of single-crystal copper wires by the Ohno continuous casting process. J. Mater. Sci. 1995, 30, 5438–5448. [Google Scholar] [CrossRef]
- Thomas, A.; Fribourg, G.; Blandin, J.J.; Lhuissier, P.; Dendievel, R.; Martin, G. Tailoring the crystallographic texture of pure copper through control of the scanning strategy in Electron Powder Bed Fusion. Materialia 2022, 24, 101495. [Google Scholar] [CrossRef]
- Thomas, A.; Fribourg, G.; Blandin, J.J.; Lhuissier, P.; Dendievel, R.; Martin, G. Effect of the build orientation on mechanical and electrical properties of pure Cu fabricated by E-PBF. Addit. Manuf. 2021, 48, 102393. [Google Scholar] [CrossRef]
- Jadhav, S.D.; Dadbakhsh, S.; Goossens, L.; Kruth, J.; Van Humbeeck, J.; Vanmeensel, K. Influence of selective laser melting process parameters on texture evolution in pure copper. J. Mater. Process. Technol. 2019, 270, 47–58. [Google Scholar] [CrossRef]
- Bishara, H.; Lee, S.; Brink, T.; Ghidelli, M.; Dehm, G. Understanding grain boundary electrical resistivity in Cu: The effect of boundary structure. ACS Nano 2021, 15, 16607–16615. [Google Scholar] [CrossRef] [PubMed]
- César, M.; Liu, D.; Gall, D.; Guo, H. Calculated resistances of single grain boundaries in copper. Phys. Rev. Appl. 2014, 2, 044007. [Google Scholar] [CrossRef]
- Verdú Andrés, S. High-Gradient Accelerating Structure Studies and Their Application in Hadrontherapy. Ph.D. Thesis, CSIC-UV-Instituto de Física Corpuscular (IFIC), Valencia, Spain, 2013. [Google Scholar]
- Bakonyi, I. Accounting for the resistivity contribution of grain boundaries in metals: Critical analysis of reported experimental and theoretical data for Ni and Cu. Eur. Phys. J. Plus 2021, 136, 410. [Google Scholar] [CrossRef]
Disclaimer/Publisher’s Note: The statements, opinions and data contained in all publications are solely those of the individual author(s) and contributor(s) and not of MDPI and/or the editor(s). MDPI and/or the editor(s) disclaim responsibility for any injury to people or property resulting from any ideas, methods, instructions or products referred to in the content. |
© 2024 by the authors. Licensee MDPI, Basel, Switzerland. This article is an open access article distributed under the terms and conditions of the Creative Commons Attribution (CC BY) license (https://creativecommons.org/licenses/by/4.0/).












