Second-Neighbor Hopping Effects in the Two-Dimensional Attractive Hubbard Model
Abstract
1. Introduction
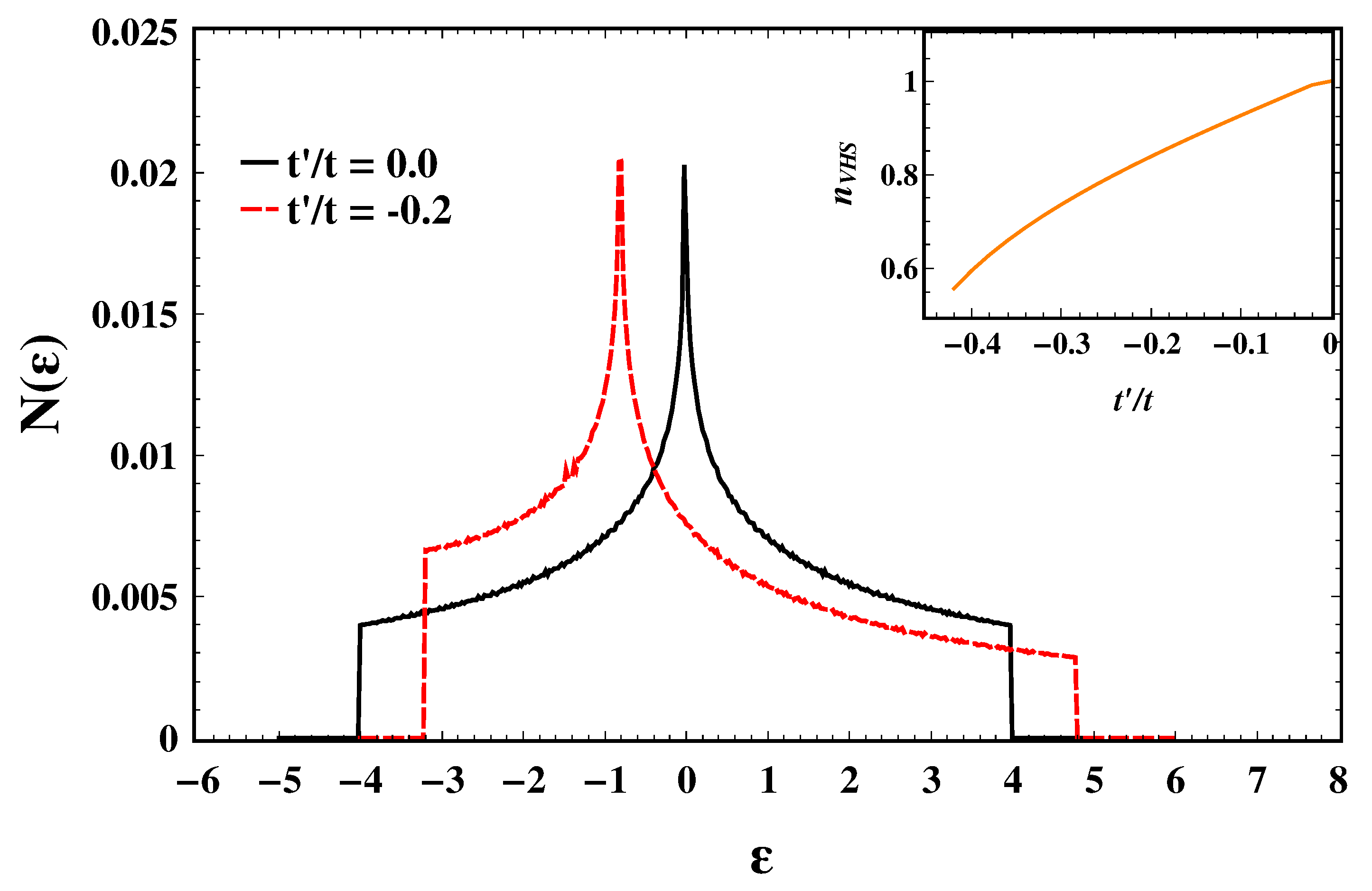
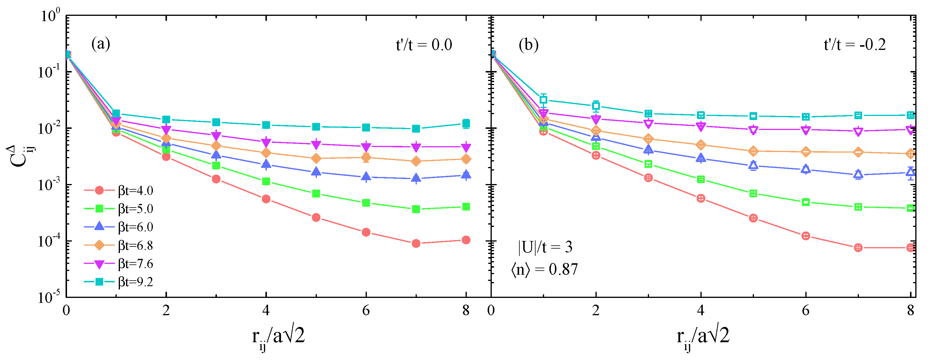
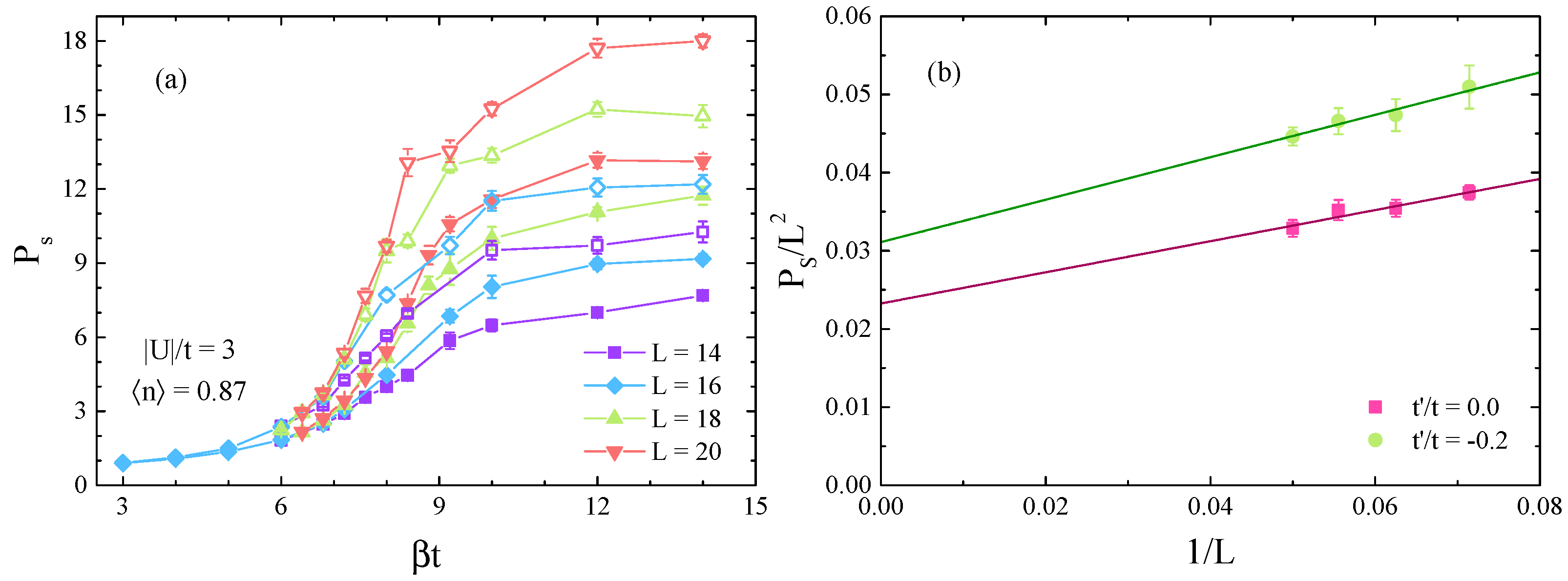
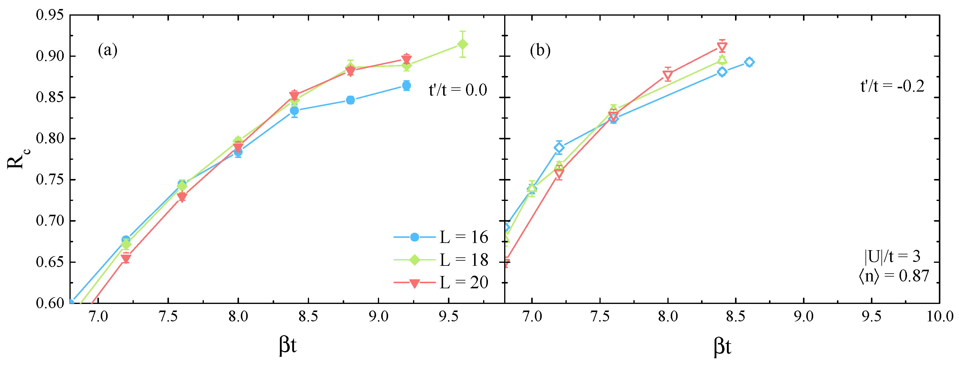
2. Model and Methodology
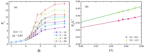
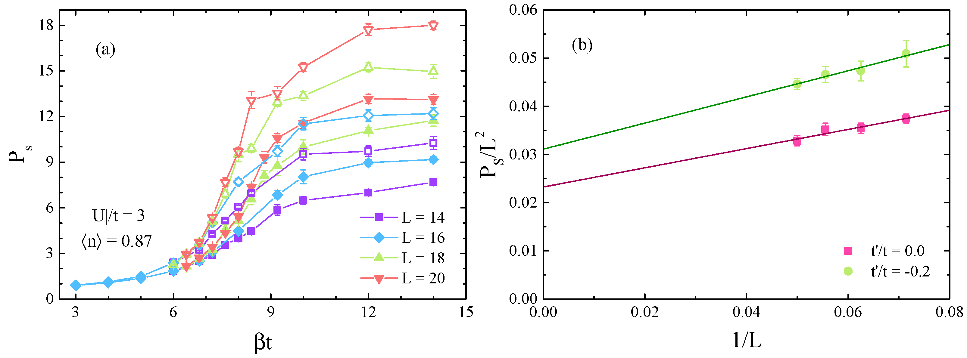
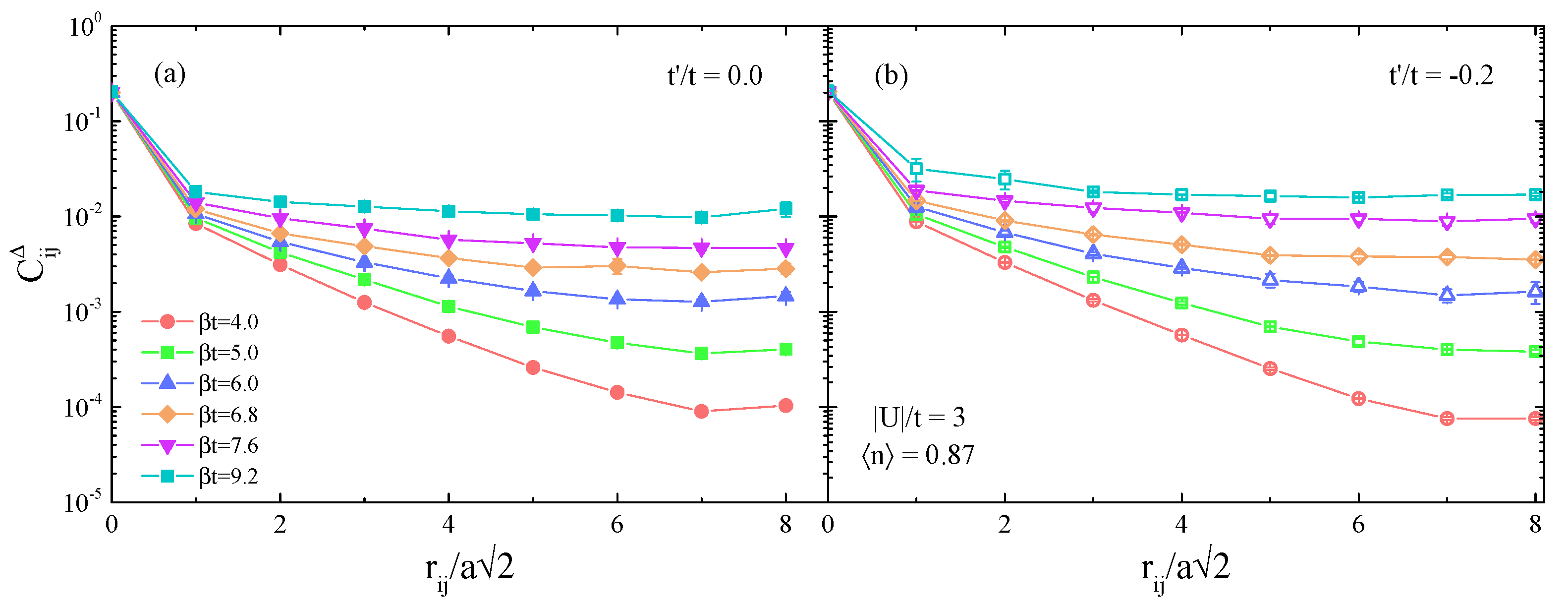
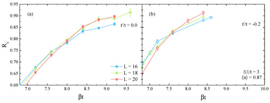
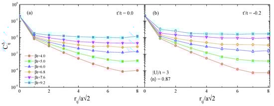
3. Results and Discussion
4. Conclusions
Author Contributions
Funding
Informed Consent Statement
Data Availability Statement
Acknowledgments
Conflicts of Interest
Abbreviations
| AHM | Attractive Hubbard model |
| CDW | Charge-density wave |
| DOS | density of states |
| NN | nearest neighbor |
| NNN | next-nearest neighbor |
| QMC | Quantum Monte Carlo |
| DQMC | Determinant Quantum Monte Carlo |
References
- Micnas, R.; Ranninger, J.; Robaszkiewicz, S. Superconductivity in narrow-band systems with local nonretarded attractive interactions. Rev. Mod. Phys. 1990, 62, 113–171. [Google Scholar] [CrossRef]
- Anderson, P.W. Model for the Electronic Structure of Amorphous Semiconductors. Phys. Rev. Lett. 1975, 34, 953–955. [Google Scholar] [CrossRef]
- Hirsch, J.E. Two-dimensional Hubbard model: Numerical simulation study. Phys. Rev. B 1985, 31, 4403–4419. [Google Scholar] [CrossRef] [PubMed]
- Zhang, F.C.; Ogata, M.; Rice, T.M. Attractive interaction and superconductivity for K3C60. Phys. Rev. Lett. 1991, 67, 3452–3455. [Google Scholar] [CrossRef]
- Wilson, J.A. Developments in the negative-U modelling of the cuprate HTSC systems. J. Phys. Condens. Matter 2001, 13, R945–R977. [Google Scholar] [CrossRef]
- Fontenele, R.A.; Costa, N.C.; dos Santos, R.R.; Paiva, T. Two-dimensional attractive Hubbard model and the BCS-BEC crossover. Phys. Rev. B 2022, 105, 184502. [Google Scholar] [CrossRef]
- Chin, C.; Grimm, R.; Julienne, P.; Tiesinga, E. Feshbach resonances in ultracold gases. Rev. Mod. Phys. 2010, 82, 1225–1286. [Google Scholar] [CrossRef]
- Jaksch, D.; Zoller, P. The cold atom Hubbard toolbox. Ann. Phys. 2005, 315, 52. [Google Scholar] [CrossRef]
- Bloch, I.; Dalibard, J.; Zwerger, W. Many-body physics with ultracold gases. Rev. Mod. Phys. 2008, 80, 885. [Google Scholar] [CrossRef]
- Esslinger, T. Fermi-Hubbard Physics with Atoms in an Optical Lattice. Annu. Rev. Condens. Matter Phys. 2010, 1, 129–152. [Google Scholar] [CrossRef]
- McKay, D.C.; DeMarco, B. Cooling in strongly correlated optical lattices: Prospects and challenges. Rep. Prog. Phys. 2011, 74, 054401. [Google Scholar] [CrossRef]
- Mitra, D.; Brown, P.T.; Guardado-Sanchez, E.; Kondov, S.S.; Devakul, T.; Huse, D.A.; Schauss, P.; Bakr, W.S. Quantum gas microscopy of an attractive Fermi?Hubbard system. Nat. Phys. 2018, 14, 173–177. [Google Scholar] [CrossRef]
- Hirsch, J.E.; Scalapino, D.J. Enhanced Superconductivity in Quasi Two-Dimensional Systems. Phys. Rev. Lett. 1986, 56, 2732–2735. [Google Scholar] [CrossRef] [PubMed]
- dos Santos, R.R. Second-neighbor hopping in the attractive Hubbard model. Phys. Rev. B 1992, 46, 5496–5498. [Google Scholar] [CrossRef]
- Yang, J.; Liu, L.; Mongkolkiattichai, J.; Schauss, P. Site-Resolved Imaging of Ultracold Fermions in a Triangular-Lattice Quantum Gas Microscope. PRX Quantum 2021, 2, 020344. [Google Scholar] [CrossRef]
- Lin, H.Q.; Hirsch, J.E. Two-dimensional Hubbard model with nearest- and next-nearest-neighbor hopping. Phys. Rev. B 1987, 35, 3359–3368. [Google Scholar] [CrossRef]
- Blankenbecler, R.; Scalapino, D.J.; Sugar, R.L. Monte Carlo calculations of coupled boson-fermion systems. I. Phys. Rev. D 1981, 24, 2278–2286. [Google Scholar] [CrossRef]
- Hirsch, J.E. Discrete Hubbard-Stratonovich transformation for fermion lattice models. Phys. Rev. B 1983, 28, 4059. [Google Scholar] [CrossRef]
- White, S.R.; Scalapino, D.J.; Sugar, R.L.; Loh, E.Y.; Gubernatis, J.E.; Scalettar, R.T. Numerical study of the two-dimensional Hubbard model. Phys. Rev. B 1989, 40, 506–516. [Google Scholar] [CrossRef] [PubMed]
- dos Santos, R.R. Introduction to quantum Monte Carlo simulations for fermionic systems. Braz. J. Phys. 2003, 33, 36–54. [Google Scholar] [CrossRef]
- Kaul, R.K. Spin Nematics, Valence-Bond Solids, and Spin Liquids in SO(N) Quantum Spin Models on the Triangular Lattice. Phys. Rev. Lett. 2015, 115, 157202. [Google Scholar] [CrossRef]
- Sato, T.; Assaad, F.F.; Grover, T. Quantum Monte Carlo Simulation of Frustrated Kondo Lattice Models. Phys. Rev. Lett. 2018, 120, 107201. [Google Scholar] [CrossRef] [PubMed]
- Darmawan, A.S.; Nomura, Y.; Yamaji, Y.; Imada, M. Stripe and superconducting order competing in the Hubbard model on a square lattice studied by a combined variational Monte Carlo and tensor network method. Phys. Rev. B 2018, 98, 205132. [Google Scholar] [CrossRef]
- Mermin, N.D.; Wagner, H. Absence of Ferromagnetism or Antiferromagnetism in One- or Two-Dimensional Isotropic Heisenberg Models. Phys. Rev. Lett. 1966, 17, 1133–1136. [Google Scholar] [CrossRef]
- Daul, S.; Noack, R.M. Ferromagnetic transition and phase diagram of the one-dimensional Hubbard model with next-nearest-neighbor hopping. Phys. Rev. B 1998, 58, 2635–2650. [Google Scholar] [CrossRef]
- Huse, D.A. Ground-state staggered magnetization of two-dimensional quantum Heisenberg antiferromagnets. Phys. Rev. B 1988, 37, 2380–2382. [Google Scholar] [CrossRef] [PubMed]
- Hurt, D.; Odabashian, E.; Pickett, W.E.; Scalettar, R.T.; Mondaini, F.; Paiva, T.; dos Santos, R.R. Destruction of superconductivity by impurities in the attractive Hubbard model. Phys. Rev. B 2005, 72, 144513. [Google Scholar] [CrossRef]
- Mondaini, F.; Paiva, T.; dos Santos, R.R.; Scalettar, R.T. Disordered two-dimensional superconductors: Roles of temperature and interaction strength. Phys. Rev. B 2008, 78, 174519. [Google Scholar] [CrossRef]




Disclaimer/Publisher’s Note: The statements, opinions and data contained in all publications are solely those of the individual author(s) and contributor(s) and not of MDPI and/or the editor(s). MDPI and/or the editor(s) disclaim responsibility for any injury to people or property resulting from any ideas, methods, instructions or products referred to in the content. |
© 2023 by the authors. Licensee MDPI, Basel, Switzerland. This article is an open access article distributed under the terms and conditions of the Creative Commons Attribution (CC BY) license (https://creativecommons.org/licenses/by/4.0/).
Share and Cite
Fontenele, R.A.; Vasconcelos, N.; Costa, N.C.; Paiva, T.; dos Santos, R.R. Second-Neighbor Hopping Effects in the Two-Dimensional Attractive Hubbard Model. Condens. Matter 2023, 8, 11. https://doi.org/10.3390/condmat8010011
Fontenele RA, Vasconcelos N, Costa NC, Paiva T, dos Santos RR. Second-Neighbor Hopping Effects in the Two-Dimensional Attractive Hubbard Model. Condensed Matter. 2023; 8(1):11. https://doi.org/10.3390/condmat8010011
Chicago/Turabian StyleFontenele, Rodrigo Alves, Nathan Vasconcelos, Natanael Carvalho Costa, Thereza Paiva, and Raimundo Rocha dos Santos. 2023. "Second-Neighbor Hopping Effects in the Two-Dimensional Attractive Hubbard Model" Condensed Matter 8, no. 1: 11. https://doi.org/10.3390/condmat8010011
APA StyleFontenele, R. A., Vasconcelos, N., Costa, N. C., Paiva, T., & dos Santos, R. R. (2023). Second-Neighbor Hopping Effects in the Two-Dimensional Attractive Hubbard Model. Condensed Matter, 8(1), 11. https://doi.org/10.3390/condmat8010011

