Anomalous Polarization in One-Dimensional Aperiodic Insulators
Abstract
1. Introduction
2. Signatures of 1D Topological Insulators
3. Aperiodic Systems
3.1. Fibonacci Sequence
3.2. Tribonacci Sequence
3.3. Thue–Morse Sequence
3.4. Rudin–Shapiro Sequence
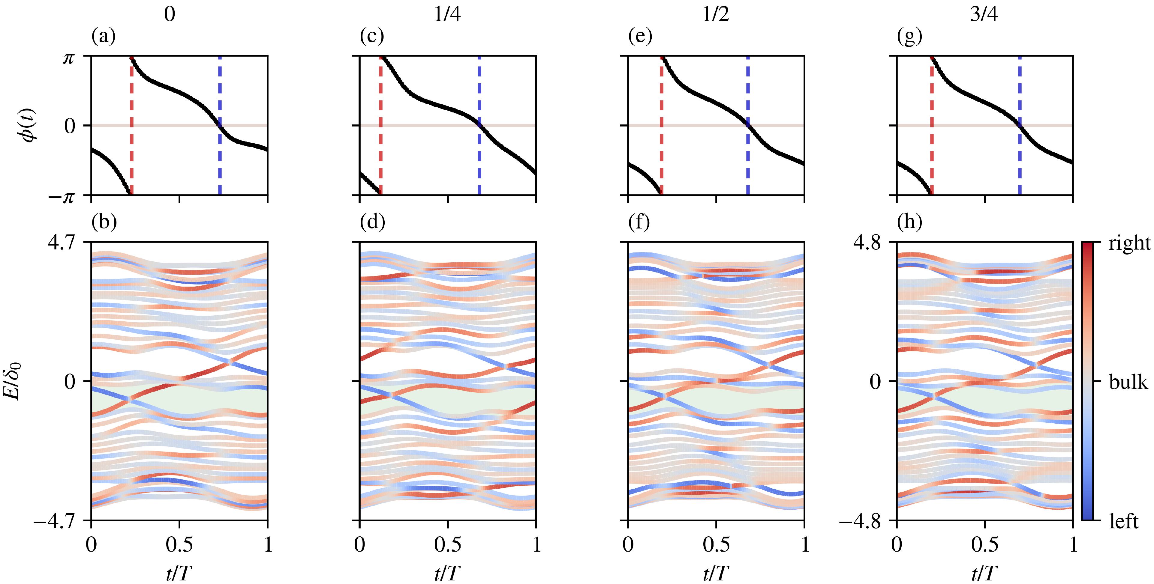
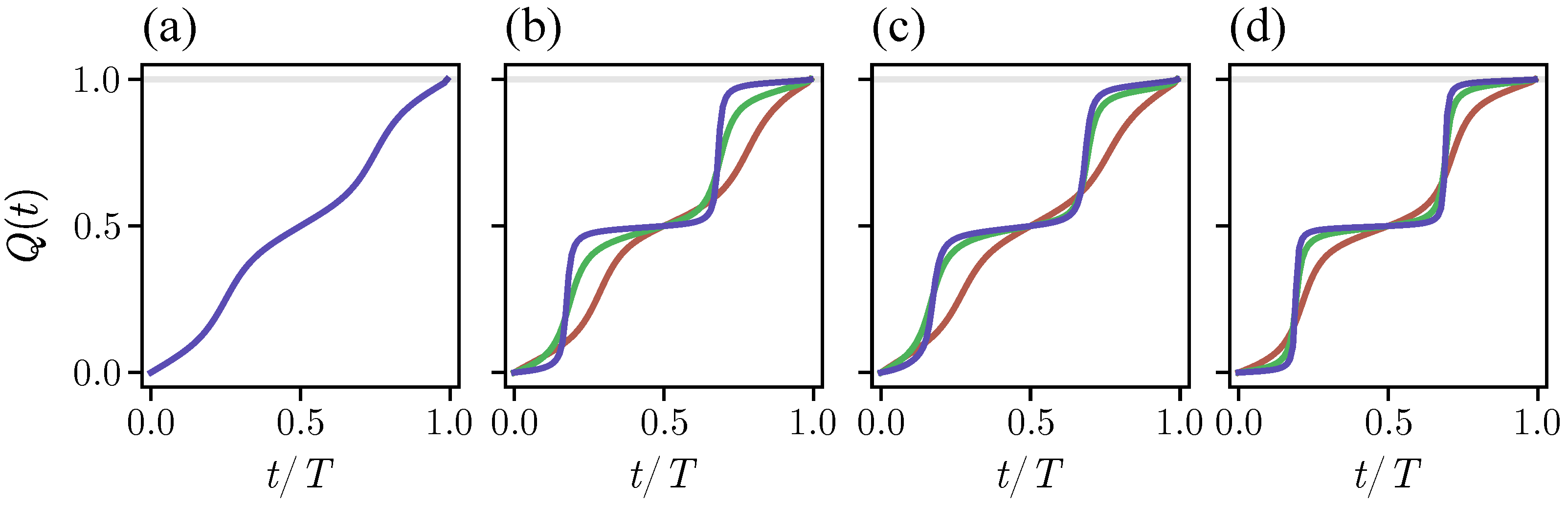
4. Topological Charge Pumping of Aperiodic Systems
4.1. Charge Transport as a Polarization Current
4.2. Bott Index Formulation of Quantized Charge Pumping
4.3. Aperiodic Systems
5. Topological Signatures in Aperiodic Systems
5.1. Inversion-Symmetric Aperiodic Chains
5.2. Polarization
- SSH Chain.
- Aperiodic Chains.
5.3. Entanglement Spectrum
6. Conclusions
Author Contributions
Funding
Data Availability Statement
Acknowledgments
Conflicts of Interest
Abbreviations
| SSH | Su–Schrieffer–Heeger |
| ES | Entanglement Spectrum |
| BZ | Brillouin Zone |
| OBC | Open Boundary Condition |
| PBC | Periodic Boundary Condition |
Appendix A. Berry Phase and Edge State Level Crossing




Appendix B. Entanglement Spectrum of Quadratic Hamiltonians
References
- Schnyder, A.P.; Ryu, S.; Furusaki, A.; Ludwig, A.W.W. Classification of topological insulators and superconductors in three spatial dimensions. Phys. Rev. B 2008, 78, 195125. [Google Scholar] [CrossRef]
- Ryu, S.; Schnyder, A.P.; Furusaki, A.; Ludwig, A.W.W. Topological insulators and superconductors: Tenfold way and dimensional hierarchy. New J. Phys. 2010, 12, 065010. [Google Scholar] [CrossRef]
- Ludwig, A.W.W. Topological phases: Classification of topological insulators and superconductors of non-interacting fermions, and beyond. Phys. Scr. 2016, T168, 014001. [Google Scholar] [CrossRef]
- Agarwala, A.; Shenoy, V.B. Topological Insulators in Amorphous Systems. Phys. Rev. Lett. 2017, 118, 236402. [Google Scholar] [CrossRef] [PubMed]
- Grushin, A.G. Topological Phases of Amorphous Matter. In Low-Temperature Thermal and Vibrational Properties of Disordered Solids; World Scientific (Europe): London, UK, 2022; Chapter 11; pp. 435–486. [Google Scholar] [CrossRef]
- Su, W.P.; Schrieffer, J.R.; Heeger, A.J. Solitons in Polyacetylene. Phys. Rev. Lett. 1979, 42, 1698–1701. [Google Scholar] [CrossRef]
- Cheng, S.g.; Wu, Y.; Jiang, H.; Sun, Q.F.; Xie, X.C. Transport measurement of fractional charges in topological models. NPJ Quantum Mater. 2023, 8, 30. [Google Scholar] [CrossRef]
- Zak, J. Berry’s phase for energy bands in solids. Phys. Rev. Lett. 1989, 62, 2747–2750. [Google Scholar] [CrossRef]
- Aihara, Y.; Hirayama, M.; Murakami, S. Anomalous dielectric response in insulators with the π Zak phase. Phys. Rev. Res. 2020, 2, 033224. [Google Scholar] [CrossRef]
- Kitaev, A.Y. Unpaired Majorana fermions in quantum wires. Phys. Usp. 2001, 44, 131–136. [Google Scholar] [CrossRef]
- Brouder, C.; Panati, G.; Calandra, M.; Mourougane, C.; Marzari, N. Exponential Localization of Wannier Functions in Insulators. Phys. Rev. Lett. 2007, 98, 046402. [Google Scholar] [CrossRef]
- Kohn, W. Analytic Properties of Bloch Waves and Wannier Functions. Phys. Rev. 1959, 115, 809–821. [Google Scholar] [CrossRef]
- Bradlyn, B.; Elcoro, L.; Cano, J.; Vergniory, M.G.; Wang, Z.; Felser, C.; Aroyo, M.I.; Bernevig, B.A. Topological quantum chemistry. Nature 2017, 547, 298–305. [Google Scholar] [CrossRef] [PubMed]
- Chiu, C.K.; Teo, J.C.; Schnyder, A.P.; Ryu, S. Classification of topological quantum matter with symmetries. Rev. Mod. Phys. 2016, 88, 035005. [Google Scholar] [CrossRef]
- Kraus, Y.E.; Zilberberg, O. Topological Equivalence between the Fibonacci Quasicrystal and the Harper Model. Phys. Rev. Lett. 2012, 109, 116404. [Google Scholar] [CrossRef]
- Kraus, Y.E.; Lahini, Y.; Ringel, Z.; Verbin, M.; Zilberberg, O. Topological States and Adiabatic Pumping in Quasicrystals. Phys. Rev. Lett. 2012, 109, 106402. [Google Scholar] [CrossRef]
- Madsen, K.A.; Bergholtz, E.J.; Brouwer, P.W. Topological equivalence of crystal and quasicrystal band structures. Phys. Rev. B 2013, 88, 125118. [Google Scholar] [CrossRef]
- Levy, E.; Barak, A.; Fisher, A.; Akkermans, E. Topological properties of Fibonacci quasicrystals: A scattering analysis of Chern numbers. arXiv 2016, arXiv:1509.04028. [Google Scholar]
- Bellissard, J. Gap Labelling Theorems for Schrödinger Operators. In From Number Theory to Physics; Springer: Berlin/Heidelberg, Germany, 1992; pp. 538–630. [Google Scholar] [CrossRef]
- Verbin, M.; Zilberberg, O.; Lahini, Y.; Kraus, Y.E.; Silberberg, Y. Topological pumping over a photonic Fibonacci quasicrystal. Phys. Rev. B 2015, 91, 064201. [Google Scholar] [CrossRef]
- Kohmoto, M.; Kadanoff, L.P.; Tang, C. Localization Problem in One Dimension: Mapping and Escape. Phys. Rev. Lett. 1983, 50, 1870–1872. [Google Scholar] [CrossRef]
- Kohmoto, M.; Sutherland, B.; Tang, C. Critical wave functions and a Cantor-set spectrum of a one-dimensional quasicrystal model. Phys. Rev. B 1987, 35, 1020–1033. [Google Scholar] [CrossRef]
- Niu, Q.; Nori, F. Renormalization-Group Study of One-Dimensional Quasiperiodic Systems. Phys. Rev. Lett. 1986, 57, 2057–2060. [Google Scholar] [CrossRef] [PubMed]
- Sire, C.; Mosseri, R. Spectrum of 1D quasicrystals near the periodic chain. J. Phys. 1989, 50, 3447–3461. [Google Scholar] [CrossRef]
- Jagannathan, A. The Fibonacci quasicrystal: Case study of hidden dimensions and multifractality. Rev. Mod. Phys. 2021, 93, 045001. [Google Scholar] [CrossRef]
- Krebbekx, J.P.J.; Moustaj, A.; Dajani, K.; Morais Smith, C. Multifractal properties of Tribonacci chains. Phys. Rev. B 2023, 108, 104204. [Google Scholar] [CrossRef]
- Yoshii, M.; Kitamura, S.; Morimoto, T. Topological charge pumping in quasiperiodic systems characterized by the Bott index. Phys. Rev. B 2021, 104, 155126. [Google Scholar] [CrossRef]
- Altland, A.; Zirnbauer, M.R. Nonstandard symmetry classes in mesoscopic normal-superconducting hybrid structures. Phys. Rev. B 1997, 55, 1142–1161. [Google Scholar] [CrossRef]
- Kitaev, A. Periodic table for topological insulators and superconductors. In Proceedings of the AIP Conference Proceedings, Saint-Malo, France, 21–26 June 2009; pp. 22–30. [Google Scholar] [CrossRef]
- Fu, L. Topological Crystalline Insulators. Phys. Rev. Lett. 2011, 106, 106802. [Google Scholar] [CrossRef]
- King-Smith, R.D.; Vanderbilt, D. Theory of polarization of crystalline solids. Phys. Rev. B 1993, 47, 1651–1654. [Google Scholar] [CrossRef]
- Schindler, V.F. Higher-Order Topology in Quantum Matter; Technical Report; Universitat Zurich: Zurich, Switzerland, 2020. [Google Scholar]
- Fidkowski, L. Entanglement Spectrum of Topological Insulators and Superconductors. Phys. Rev. Lett. 2010, 104, 130502. [Google Scholar] [CrossRef]
- Harris, A.B. Effect of random defects on the critical behaviour of Ising models. J. Phys. C 1974, 7, 1671–1692. [Google Scholar] [CrossRef]
- Luck, J.M. Critical Behavior of the Aperiodic Quantum Ising Chain in a Transverse Magnetic Field. J. Stat. Phys. 1993, 72, 417–458. [Google Scholar] [CrossRef]
- Hermisson, J. Aperiodic and correlated disorder in XY chains: Exact results. J. Phys. A 2000, 33, 57–79. [Google Scholar] [CrossRef]
- Kohmoto, M.; Oono, Y. Cantor spectrum for an almost periodic Schrödinger equation and a dynamical map. Phys. Lett. A 1984, 102, 145–148. [Google Scholar] [CrossRef]
- Bellissard, J.; Lochum, B.; Scoppola, E.; Testard, D. Spectral Properties of One Dimensional Quasi-Crystals. Commun. Math. Phys 1989, 125, 527–543. [Google Scholar] [CrossRef]
- Sire, C.; Mosseri, R. Excitation spectrum, extended states, gap closing: Some exact results for codimension one quasicrystals. J. Phys. 1990, 51, 1569–1583. [Google Scholar] [CrossRef]
- Niu, Q.; Nori, F. Spectral splitting and wave-function scaling in quasicrystalline and hierarchical structures. Phys. Rev. B 1991, 42, 10329–10341. [Google Scholar] [CrossRef]
- Verbin, M.; Zilberberg, O.; Kraus, Y.E.; Lahini, Y.; Silberberg, Y. Observation of Topological Phase Transitions in Photonic Quasicrystals. Phys. Rev. Lett. 2013, 110, 076403. [Google Scholar] [CrossRef]
- Moustaj, A.; Kempkes, S.; Morais Smith, C. Effects of disorder in the Fibonacci quasicrystal. Phys. Rev. B 2021, 104, 144201. [Google Scholar] [CrossRef]
- Goblot, V.; Štrkalj, A.; Pernet, N.; Lado, J.L.; Dorow, C.; Lemaître, A.; Le Gratiet, L.; Harouri, A.; Sagnes, I.; Ravets, S.; et al. Emergence of criticality through a cascade of delocalization transitions in quasiperiodic chains. Nat. Phys. 2020, 16, 832–836. [Google Scholar] [CrossRef]
- Moustaj, A.; Röntgen, M.; Morfonios, C.V.; Schmelcher, P.; Morais Smith, C. Spectral properties of two coupled Fibonacci chains. New J. Phys. 2023, 25, 093019. [Google Scholar] [CrossRef]
- Röntgen, M.; Morfonios, C.V.; Wang, R.; Dal Negro, L.; Schmelcher, P. Local symmetry theory of resonator structures for the real-space control of edge states in binary aperiodic chains. Phys. Rev. B 2019, 99, 214201. [Google Scholar] [CrossRef]
- Maciá, E. The role of aperiodic order in science and technology. Rep. Prog. Phys. 2006, 69, 397–441. [Google Scholar] [CrossRef]
- Brin, M.; Stuck, G. Symbolic Dynamics. In Introduction to Dynamical Systems; Cambridge University Press: Cambridge, UK, 2002; Chapter 3; pp. 54–68. [Google Scholar] [CrossRef]
- Baake, M.; Grimm, U. Aperiodic Order; Cambridge University Press: Cambridge, UK, 2013. [Google Scholar] [CrossRef]
- Akiyama, S.; Barge, M.; Berthé, V.; Lee, J.Y.; Siegel, A. On the Pisot Substitution Conjecture. In Mathematics of Aperiodic Order; Birkhäuser: Basel, Switzerland, 2015; Chapter 2; pp. 33–72. [Google Scholar] [CrossRef]
- Adiceam, F.; Damanik, D.; Gähler, F.; Grimm, U.; Haynes, A.; Julien, A.; Navas, A.; Sadun, L.; Weiss, B. Open Problems and Conjectures Related to the Theory of Mathematical Quasicrystals. Arnold Math. J. 2016, 2, 579–592. [Google Scholar] [CrossRef]
- Baake, M.; Gohlke, P.; Kesseböhmer, M.; Schindler, T. Scaling properties of the thue–morse measure. Discrete Contin. Dyn. Syst. 2019, 39, 4157–4185. [Google Scholar] [CrossRef]
- Dulea, M.; Johansson, M.; Riklund, R. Trace-map invariant and zero-energy states of the tight-binding Rudin-Shapiro model. Phys. Rev. B 1992, 46, 3296–3304. [Google Scholar] [CrossRef]
- Laughlin, R.B. Quantized Hall conductivity in two dimensions. Phys. Rev. B 1981, 23, 5632–5633. [Google Scholar] [CrossRef]
- Thouless, D.J. Quantization of particle transport. Phys. Rev. B 1983, 27, 6083–6087. [Google Scholar] [CrossRef]
- Thouless, D.J.; Kohmoto, M.; Nightingale, M.P.; den Nijs, M. Quantized Hall Conductance in a Two-Dimensional Periodic Potential. Phys. Rev. Lett. 1982, 49, 405–408. [Google Scholar] [CrossRef]
- Rice, M.J.; Mele, E.J. Elementary Excitations of a Linearly Conjugated Diatomic Polymer. Phys. Rev. Lett. 1982, 49, 1455–1459. [Google Scholar] [CrossRef]
- Loring, T.A.; Hastings, M.B. Disordered topological insulators via C*-algebras. Europhys. Lett. 2010, 92, 67004. [Google Scholar] [CrossRef]
- Hastings, M.B.; Loring, T.A. Almost commuting matrices, localized Wannier functions, and the quantum Hall effect. J. Math. Phys. 2010, 51, 15214. [Google Scholar] [CrossRef]
- Asbóth, J.K.; Oroszlány, L.; Pályi, A. A Short Course on Topological Insulators; Springer International Publishing: Cham, Switzerland, 2016; Volume 919. [Google Scholar] [CrossRef]
- Tan, B.; Wen, Z.Y. Some properties of the Tribonacci sequence. Eur. J. Comb. 2007, 28, 1703–1719. [Google Scholar] [CrossRef]
- Bradlyn, B.; Iraola, M. Lecture notes on Berry phases and topology. SciPost Phys. Lecture Notes 2022, 51. [Google Scholar] [CrossRef]
- Sirker, J.; Maiti, M.; Konstantinidis, N.P.; Sedlmayr, N. Boundary fidelity and entanglement in the symmetry protected topological phase of the SSH model. J. Stat. Mech. 2014, 2014, P10032. [Google Scholar] [CrossRef]
- Ye, B.T.; Mu, L.Z.; Fan, H. Entanglement spectrum of Su-Schrieffer-Heeger-Hubbard model. Phys. Rev. B 2016, 94, 165167. [Google Scholar] [CrossRef]
- Rai, G.; Schlömer, H.; Matsumura, C.; Haas, S.; Jagannathan, A. Bulk topological signatures of a quasicrystal. Phys. Rev. B 2021, 104, 184202. [Google Scholar] [CrossRef]
- Kellendonk, J.; Prodan, E. Bulk–Boundary Correspondence for Sturmian Kohmoto-Like Models. Ann. Henri Poincaré 2019, 20, 2039–2070. [Google Scholar] [CrossRef]
- Allouche, J.P. Schrödinger operators with Rudin-Shapiro potentials are not palindromic. J. Math. Phys. 1997, 38, 1843–1848. [Google Scholar] [CrossRef]
- Resta, R. Macroscopic polarization in crystalline dielectrics: The geometric phase approach. Rev. Mod. Phys. 1994, 66, 899–915. [Google Scholar] [CrossRef]
- Cheong, S.A.; Henley, C.L. Many-body density matrices for free fermions. Phys. Rev. B 2004, 69, 075111. [Google Scholar] [CrossRef]







Disclaimer/Publisher’s Note: The statements, opinions and data contained in all publications are solely those of the individual author(s) and contributor(s) and not of MDPI and/or the editor(s). MDPI and/or the editor(s) disclaim responsibility for any injury to people or property resulting from any ideas, methods, instructions or products referred to in the content. |
© 2025 by the authors. Licensee MDPI, Basel, Switzerland. This article is an open access article distributed under the terms and conditions of the Creative Commons Attribution (CC BY) license (https://creativecommons.org/licenses/by/4.0/).
Share and Cite
Moustaj, A.; Krebbekx, J.; Morais Smith, C. Anomalous Polarization in One-Dimensional Aperiodic Insulators. Condens. Matter 2025, 10, 3. https://doi.org/10.3390/condmat10010003
Moustaj A, Krebbekx J, Morais Smith C. Anomalous Polarization in One-Dimensional Aperiodic Insulators. Condensed Matter. 2025; 10(1):3. https://doi.org/10.3390/condmat10010003
Chicago/Turabian StyleMoustaj, Anouar, Julius Krebbekx, and Cristiane Morais Smith. 2025. "Anomalous Polarization in One-Dimensional Aperiodic Insulators" Condensed Matter 10, no. 1: 3. https://doi.org/10.3390/condmat10010003
APA StyleMoustaj, A., Krebbekx, J., & Morais Smith, C. (2025). Anomalous Polarization in One-Dimensional Aperiodic Insulators. Condensed Matter, 10(1), 3. https://doi.org/10.3390/condmat10010003

