Unraveling Greek Inland Competitive Fishing: Historical Insights, Angler Profiles, and Motivations through Limited Data Integration in Recreational Fishing Research
Abstract
1. Introduction
2. Materials and Methods
2.1. Data Collection
2.2. Statistical Analysis
3. Results
3.1. Anglers’ Associations
3.2. Fishing Competitions
3.3. Socio-Demographic Characteristics of Anglers
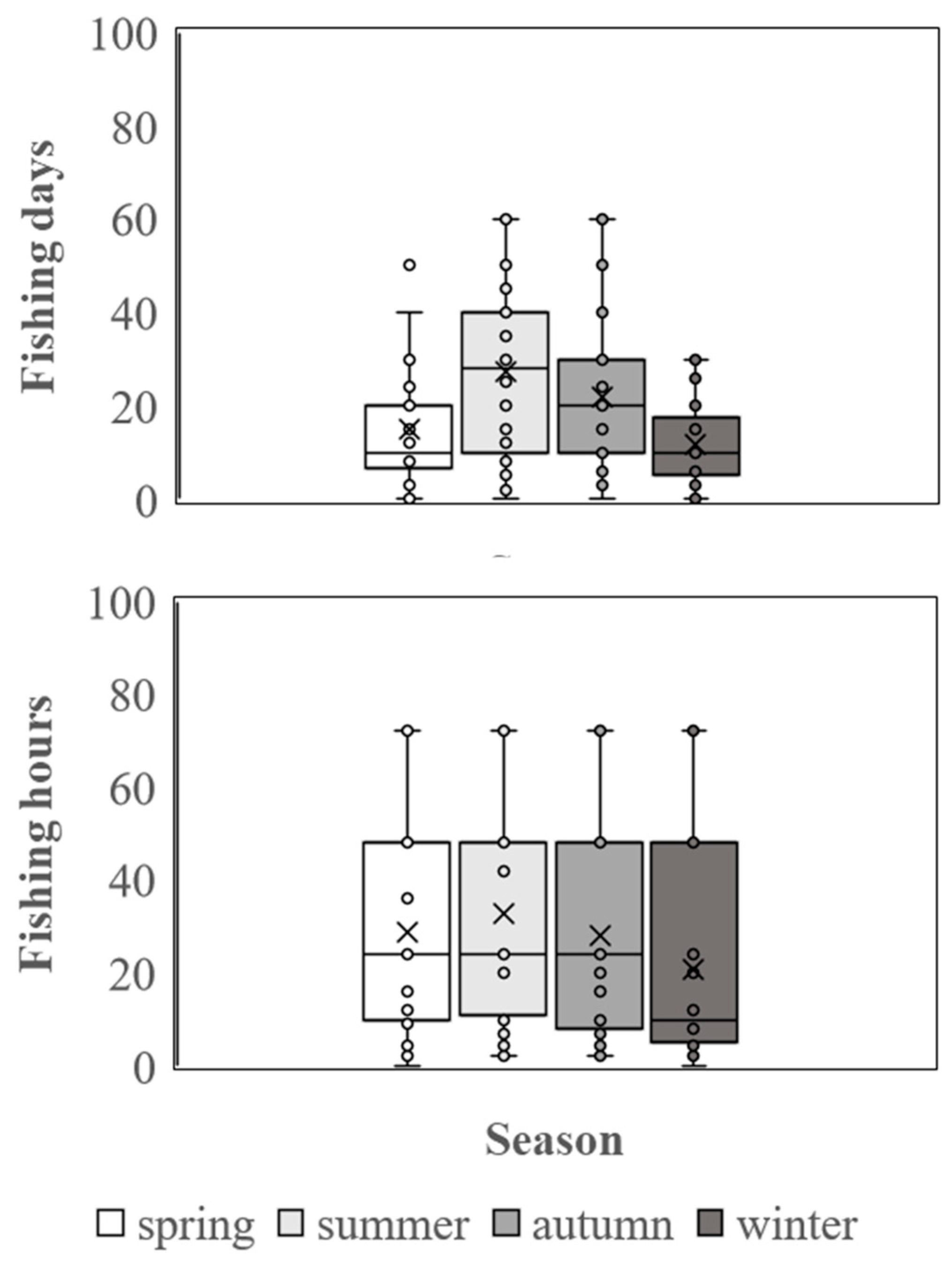
3.4. Anglers’ Fishing Experience, Knowledge Resources, and Activity
3.5. The Activity’s Cost
3.6. Target Species and Fish Handling
3.7. Anglers’ Motivations
3.8. Angler’s Perspectives
- Implementing effective control measures during fishing prohibition periods.
- Addressing concerns regarding overfishing by professional fishermen.
- Addressing instances of abuses and lawlessness within the professional fishing community. Toward this, they specifically mentioned enforcement legislation concerning the use of professional gillnets (nylon nets, even though forbidden, are almost exclusively used by professional fishers in inland waters of Greece).
- Utilizing lakes and dams for tourist purposes.
- Implementing oversight measures for both professionals and amateurs.
- Implementing measures to monitor foreign fishermen.
- Making necessary changes to legislation governing inland waters.
- Establishing legislation to regulate recreational and sports fishing.
- Establishing protection and control bodies to oversee fisheries management.
- Recognizing the need for fisheries biologists within the fisheries department to support the development of recreational fishing.
3.9. Anglers’ Ecological Knowledge
3.10. Seeking the Determinants of Anglers’ Motivations
4. Discussion
4.1. Popularity and Community Engagement
4.2. Sample Size and Representativeness
4.3. Demographic Insights
4.4. Commitment to Fishing
4.5. Conservation Practices
4.6. Anglers’ Motivations
4.7. Legislative Gaps and Recommendations
4.8. Ecological Awareness
4.9. Future Research
4.10. Policy and Sustainability Recommendations
5. Conclusions
Supplementary Materials
Author Contributions
Funding
Institutional Review Board Statement
Informed Consent Statement
Data Availability Statement
Acknowledgments
Conflicts of Interest
Appendix A
Appendix A.1. Fishing Competitions
Appendix A.2. Greek Fishing Clubs Active in Inland Fisheries
- Recreational Anglers and Lake Orestiada Friends
- Athletic Association of Recreational Anglers of Karditsa
- Athletic Association of Recreational Anglers of Lake Kerkini
- Athletic Association of Recreational Anglers of Florina
- Athletic Association of Recreational Anglers of Kozani “ALIAKMON”
- Athletic Association of Recreational Anglers of Ptolemaida A.S.E.A.P. “Sakis Tzouras”
- Athletic Association of Recreational Anglers of Ioannina “Pamvotis”
- Nautical Club of Karlovasi
- ANO Karystos
- NOT Kallithea
- Delphinia Peristeri
- Tritonas FC

References
- Arlinghaus, R.; Mehner, T. Socio-economic characterisation of specialised common carp (Cyprinus carpio L.) anglers in Germany, and implications for inland fisheries management and eutrophication control. Fish. Res. 2003, 61, 19–33. [Google Scholar] [CrossRef]
- Cooke, S.J.; Arlinghaus, R.; Johnson, B.M.; Cowx, I.G. Recreational fisheries in inland waters. In Freshwater Fisheries Ecology; John Wiley & Sons: Hoboken, NJ, USA, 2015; pp. 449–465. [Google Scholar]
- Ihde, T.F.; Wilberg, M.J.; Loewensteiner, D.A.; Secor, D.H.; Miller, T.J. The increasing importance of marine recreational fishing in the US: Challenges for management. Fish. Res. 2011, 108, 268–276. [Google Scholar] [CrossRef]
- Townhill, B.L.; Radford, Z.; Pecl, G.; van Putten, I.; Pinnegar, J.K.; Hyder, K. Marine recreational fishing and the implications of climate change. Fish Fish. 2019, 20, 977–992. [Google Scholar] [CrossRef]
- Arlinghaus, R.; Tillner, R.; Bork, M. Explaining participation rates in recreational fishing across industrialised countries. Fish. Manag. Ecol. 2015, 22, 45–55. [Google Scholar] [CrossRef]
- Vehanen, T.; Piria, M.; Kubečka, J.; Skov, C.; Kelly, F.; Pokki, H.; Eskelinen, P.; Rahikainen, M.; Keskinen, T.; Artell, J.; et al. Data Collection Systems and Methodologies for the Inland Fisheries of Europe; FAO Fisheries and Aquaculture Technical Paper No. 649; Food and Agriculture Organization of the United Nations: Rome, Italy, 2020. [Google Scholar] [CrossRef]
- Kohl, H. Social and Economic Value of Northern and Central Europe. European Anglers’ Alliance. 2002. Available online: https://www.eaa-europe.org/files/eaa1_7935.pdf (accessed on 21 January 2020).
- Hargrove, J.S.; Weyl, O.L.; Allen, M.S.; Deacon, N.R. Using tournament angler data to rapidly assess the invasion status of alien sport fishes (Micropterus spp.) in Southern Africa. PLoS ONE 2015, 10, e0130056. [Google Scholar] [CrossRef] [PubMed]
- World Bank. Hidden Harvest: The Global Contribution of Capture Fisheries; Report 66469-GLB; World Bank: Washington, DC, USA, 2012. [Google Scholar]
- Toivonen, A.-L. Recreational fishing in Finland. In Global Challenges in Recreational Fisheries; Aas, Ø., Ed.; Blackwell Publishing: Oxford, UK, 2008; pp. 21–25. [Google Scholar]
- Lovell, S.J.; Steinback, S.R.; Hilger, J.R. The Economic Contribution of Marine Angler Expenditures in the United States, 2011; NOAA: Silver Spring, MD, USA, 2013.
- Maar, K.; Riisager-Simonsen, C.; MacKenzie, B.R.; Skov, C.; Aarestrup, K.; Svendsen, J.C. Economic expenditures by recreational anglers in a recovering atlantic bluefin tuna fishery. PLoS ONE 2022, 17, e0271823. [Google Scholar] [CrossRef] [PubMed]
- Schramm, H.L., Jr.; Armstrong, M.L.; Funicelli, N.A.; Green, D.M.; Lee, D.P.; Manns, R.E., Jr.; Taubert, B.D.; Waters, S.J. The status of competitive sport fishing in North America. Fisheries 1991, 16, 4–12. [Google Scholar] [CrossRef]
- Schramm, H.L., Jr.; Hunt, K.M. Issues, benefits, and problems associated with fishing tournaments in inland waters of the United States: A survey of fishery agency administrators. Fisheries 2007, 32, 234–243. [Google Scholar] [CrossRef]
- Papadopoulos, A.; Touloumis, K.; Tziolas, E.; Boulamatsis, D.; Koutrakis, E. Evaluation of marine recreational fisheries and their relation to sustainability of fisheries resources in Greece. Sustainability 2022, 14, 3824. [Google Scholar] [CrossRef]
- Wickham, H. Reshaping Data with the reshape Package. J. Stat. Softw. 2007, 21, 1–20. [Google Scholar] [CrossRef]
- Wickham, H. Ggplot2: Elegant Graphics for Data Analysis, 2nd ed.; Springer International Publishing: Cham, Switzerland, 2016. [Google Scholar]
- Organa, A. The role of recreational fisheries in the sustainable management of marine resources. In Globefish Highlights a Quarterly Update on World Seafood Markets; FAO: Rome, Italy, 2017; Available online: http://www.fao.org/3/a-i7332e.pdf (accessed on 21 January 2020).
- Floyd, M.F.; Nicholas, L.; Lee, I.; Lee, J.H.; Scott, D. Social stratification in recreational fishing participation: Research and policy implications. Leis. Sci. 2006, 28, 351–368. [Google Scholar] [CrossRef]
- Reid, D.D. Overview of recreational fishing in Australia. In Global Challenge in Recreational Fisheries; Aas, O., Arlinghaus, R., Ditton, R.B., Policansky, D.H.L.S., Jr., Eds.; Blackwell Publishing: Oxford, UK, 2008; pp. 13–18. [Google Scholar]
- Czarkowski, T.K.; Wołos, A.; Kapusta, A. Socio-economic portrait of Polish anglers: Implications for recreational fisheries management in freshwater bodies. Aquat. Living Resour. 2021, 34, 19. [Google Scholar] [CrossRef]
- Arlinghaus, R.; Bork, M.; Fladung, E. Understanding the heterogeneity of recreational anglers across an urban–rural gradient in a metropolitan area (Berlin, Germany), with implications for fisheries management. Fish. Res. 2008, 92, 53–62. [Google Scholar] [CrossRef]
- Policansky, D. Catch-and-release recreational fishing: A historical perspective. In Recreational Fisheries: Ecological, Economic and Social Evaluation; Pitcher, T.J., Hollingworth, C.E., Eds.; Blackwell Science: Oxford, UK, 2002; pp. 74–93. [Google Scholar] [CrossRef]
- Sass, G.G.; Shaw, S.L. Catch-and-release influences on inland recreational fisheries. Rev. Fish. Sci. Aquac. 2020, 28, 211–227. [Google Scholar] [CrossRef]
- Skrzypczak, A.R.; Karpiński, E.A. New insight into the motivations of anglers and fish release practices in view of the invasiveness of angling. J. Environ. Manag. 2020, 271, 111055. [Google Scholar] [CrossRef] [PubMed]
- Dillard, J.E.; Bates, D.L. Leisure motivation revisited: Why people recreate. Manag. Leis. 2011, 16, 253–268. [Google Scholar] [CrossRef]
- Arlinghaus, R.; Cooke, S.J.; Lyman, J.; Policansky, D.; Schwab, A.; Suski, C.; Sutton, S.G.; Thorstad, E.B. Understanding the complexity of catch-and-release in recreational fishing: An integrative synthesis of global knowledge from historical, ethical, social, and biological perspectives. Rev. Fish. Sci. 2007, 15, 75–167. [Google Scholar] [CrossRef]
- Oh, C.O.; Ditton, R.B.; Riechers, R. Understanding anglers’ preferences for fishing tournament characteristics and policies. Environ. Manag. 2007, 40, 123–133. [Google Scholar] [CrossRef] [PubMed]
- Oh, C.O.; Ditton, R.B. Using recreation specialization to understand conservation support. J. Leis. Res. 2008, 40, 556–573. [Google Scholar] [CrossRef]
- Hawkins, C.; Loomis, D.K.; Salz, R.J. A replication of the internal validity and reliability of a multivariable index to measure recreation specialization. Hum. Dimens. Wildl. 2009, 14, 293–300. [Google Scholar] [CrossRef]
- Lennox, R.J.; Sbragaglia, V.; Vollset, K.W.; Sortland, L.K.; McClenachan, L.; Jarić, I.; Guckian, M.L.; Ferter, K.; Danylchuk, A.J.; Cooke, S.J.; et al. Digital fisheries data in the Internet age: Emerging tools for research and monitoring using online data in recreational fisheries. Fish Fish. 2022, 23, 926–940. [Google Scholar] [CrossRef]
- Neis, B.; Schneider, D.C.; Felt, L.; Haedrich, R.L.; Fischer, J.; Hutchings, J.A. Fisheries assessment: What can be learned from interviewing resource users? Can. J. Fish. Aquat. Sci. 1999, 56, 1949–1963. [Google Scholar] [CrossRef]
- Tesfamichael, D.; Pitcher, T.J.; Pauly, D. Assessing changes in fisheries using fishers’ knowledge to generate long time series of catch rates: A case study from the Red Sea. Ecol. Soc. 2014, 19, 18. [Google Scholar] [CrossRef]
- Lewis, S.A.; Setiasih, N.; Fahmi; Dharmadi, D.; O’Malley, M.P.; Campbell, S.J.; Yusuf, M.; Sianipar, A.B. Assessing Indonesian manta and devil ray populations through historical landings and fishing community interviews. PeerJ PrePrints 2015, 6, e1334v1. [Google Scholar]













Disclaimer/Publisher’s Note: The statements, opinions and data contained in all publications are solely those of the individual author(s) and contributor(s) and not of MDPI and/or the editor(s). MDPI and/or the editor(s) disclaim responsibility for any injury to people or property resulting from any ideas, methods, instructions or products referred to in the content. |
© 2024 by the authors. Licensee MDPI, Basel, Switzerland. This article is an open access article distributed under the terms and conditions of the Creative Commons Attribution (CC BY) license (https://creativecommons.org/licenses/by/4.0/).
Share and Cite
Petriki, O.; Bobori, D.C. Unraveling Greek Inland Competitive Fishing: Historical Insights, Angler Profiles, and Motivations through Limited Data Integration in Recreational Fishing Research. Fishes 2024, 9, 278. https://doi.org/10.3390/fishes9070278
Petriki O, Bobori DC. Unraveling Greek Inland Competitive Fishing: Historical Insights, Angler Profiles, and Motivations through Limited Data Integration in Recreational Fishing Research. Fishes. 2024; 9(7):278. https://doi.org/10.3390/fishes9070278
Chicago/Turabian StylePetriki, Olga, and Dimitra C. Bobori. 2024. "Unraveling Greek Inland Competitive Fishing: Historical Insights, Angler Profiles, and Motivations through Limited Data Integration in Recreational Fishing Research" Fishes 9, no. 7: 278. https://doi.org/10.3390/fishes9070278
APA StylePetriki, O., & Bobori, D. C. (2024). Unraveling Greek Inland Competitive Fishing: Historical Insights, Angler Profiles, and Motivations through Limited Data Integration in Recreational Fishing Research. Fishes, 9(7), 278. https://doi.org/10.3390/fishes9070278

