Evaluating the Sustainability of an Eastern Mediterranean Gillnet Fishery Based on the Catches of Undersized Individuals and the Reproductive Period of Targeted Species
Abstract
1. Introduction
2. Materials and Methods
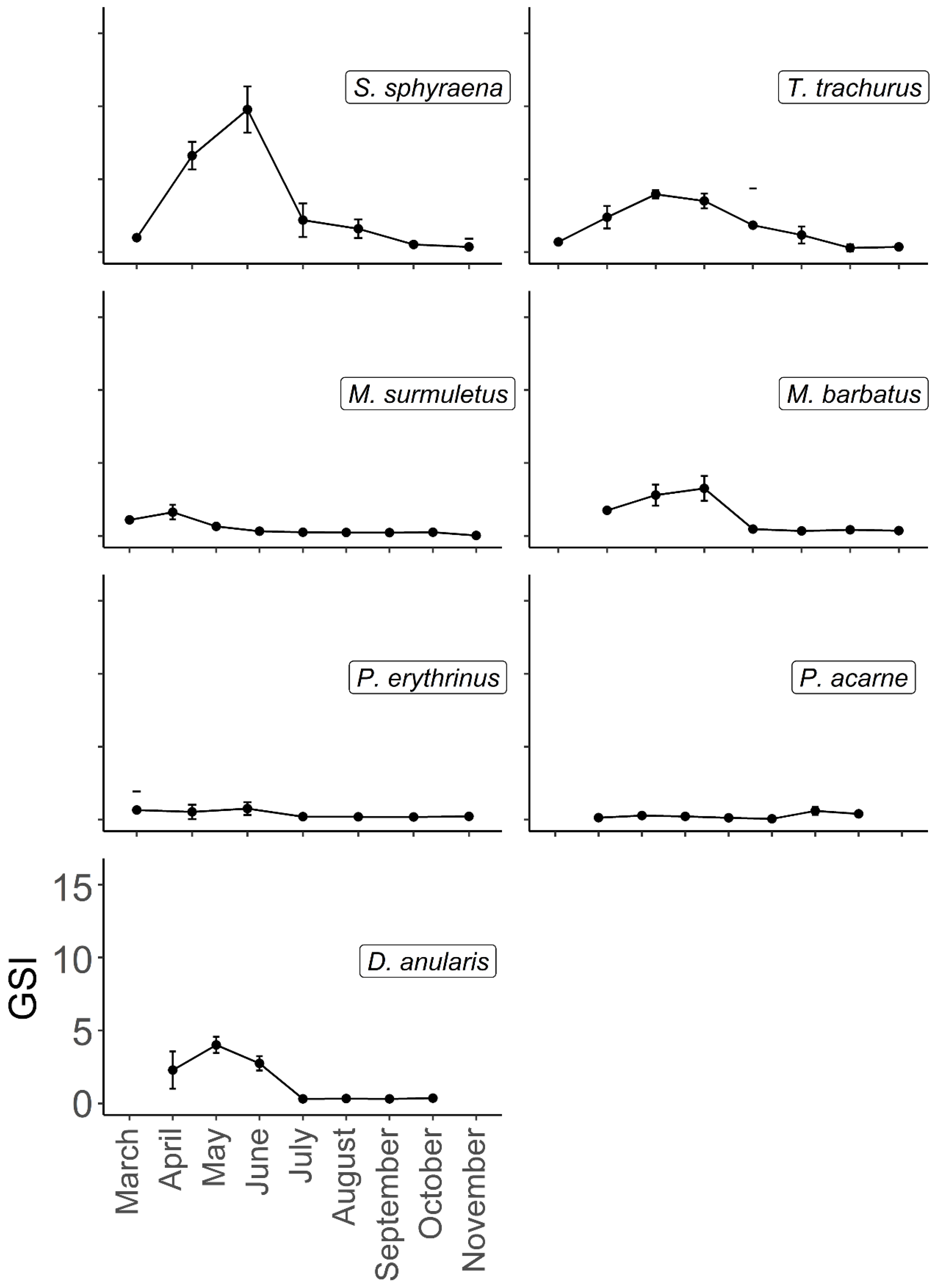
3. Results
4. Discussion
5. Conclusions
Author Contributions
Funding
Institutional Review Board Statement
Data Availability Statement
Acknowledgments
Conflicts of Interest
References
- FAO. The State of World Fisheries and Aquaculture 2022. Towards Blue Transformation; FAO: Rome, Italy, 2022. [Google Scholar]
- Morales-Nin, B.; Grau, A.M.; Palmer, M. Managing coastal zone fisheries: A Mediterranean case study. Ocean Coast. Manag. 2010, 53, 99–106. [Google Scholar] [CrossRef]
- Lucchetti, A.; Virgili, M.; Petetta, A.; Sartor, P. An overview of gill net and trammel net size selectivity in the Mediterranean Sea. Fish. Res. 2020, 230, 105677. [Google Scholar] [CrossRef]
- Greek Fishing Fleet. 2020 Annual Report; Directorate General for Fisheries of the Ministry of Rural Development and Food: Athens, Greece, 2021; Available online: https://oceans-and-fisheries.ec.europa.eu/system/files/2021-09/2020-fleet-capacity-report-greece_en.pdf (accessed on 3 May 2022).
- Liontakis, A.; Tzouramani, I.; Mantziaris, S.; Sintori, A. Unravelling the role of gender in fisheries’ socio-economic performance: The case of Greek small-scale fisheries. Sustainability 2020, 12, 5304. [Google Scholar] [CrossRef]
- Tzanatos, E.; Georgiadis, M.; Peristeraki, P. Small-scale fisheries in Greece: Status, problems, and management. In Small-Scale Fisheries in Europe: Status, Resilience and Governance; Pascual-Fernández, J.J., Pita, C., Bavinck, M., Eds.; MARE Publication Series 23; Springer Nature: Cham, Switzerland, 2020; pp. 125–150. [Google Scholar]
- Kelleher, K. Discards in the world’s marine fisheries. An update. In Fisheries and Aquaculture Technical Paper, 470th ed.; FAO: Rome, Italy, 2005. [Google Scholar]
- Huse, I.; Løkkeborg, S.; Soldal, A.V. Relative selectivity in trawl, longline and gillnet fisheries for cod and haddock. ICES J. Mar. Sci. 2000, 57, 1271–1282. [Google Scholar] [CrossRef]
- Stergiou, K.I.; Moutopoulos, D.K.; Erzini, K. Gill net and longlines fisheries in Cyclades waters (Aegean Sea): Species composition and gear competition. Fish. Res. 2002, 57, 25–37. [Google Scholar] [CrossRef]
- Bellido, J.M.; Santos, M.B.; Pennino, M.G.; Valeiras, X.; Pierce, G.J. Fishery discards and bycatch: Solutions for an ecosystem approach to fisheries management? Hydrobiologia 2011, 670, 317–333. [Google Scholar] [CrossRef]
- Sartor, P.; Li Veli, D.; De Carlo, F.; Ligas, A.; Massaro, A.; Musumeci, C.; Sartini, M.; Rossetti, I.; Sbrana, M.; Viva, C. Reducing unwanted catches of trammel nets: Experimental results of the “guarding net” in the caramote prawn, Penaeus kerathurus, small-scale fishery of the Ligurian Sea (western Mediterranean). Sci. Mar. 2018, 82 (Suppl. S1), 131–140. [Google Scholar] [CrossRef]
- Petrakis, G.; Stergiou, K.I. Gill net selectivity for Diplodus annularis and Mullus surmuletus in Greek waters. Fish. Res. 1995, 21, 455–464. [Google Scholar] [CrossRef]
- Maynou, F.; Recasens, L.; Lombarte, A. Fishing tactics dynamics of a Mediterranean small-scale coastal fishery. Aquat. Living Resour. 2011, 24, 149–159. [Google Scholar] [CrossRef]
- Palmer, M.; Tolosa, B.; Grau, A.M.; Gil, M.M.; Obregón, C.; Morales-Nin, B. Combining sale records of landings and fishers knowledge for predicting metiers in a small-scale, multi-gear, multispecies fishery. Fish. Res. 2017, 195, 59–70. [Google Scholar] [CrossRef]
- Froese, R.; Winker, H.; Coro, G.; Demirel, N.; Tsikliras, A.C.; Dimarchopoulou, D.; Scarcella, G.; Quaas, M.; Matz-Lück, N. Status and rebuilding of European fisheries. Mar. Policy 2018, 93, 159–170. [Google Scholar] [CrossRef]
- Hellenic Statistical Authority. Sea Fishery Survey by Motor-Propelled Vessels: 2021; Press Release; Hellenic Statistical Authority: Athens, Greece, 2022; 8p. [Google Scholar]
- Garagouni, M.; Avgerinou, G.; Minos, G.; Ganias, K. Dolphins don’t mind hot sauce: Testing the effect of gillnet coating on depredation rates. Mar. Mammal Sci. 2022, 38, 1691–1698. [Google Scholar] [CrossRef]
- Garagouni, M.; Avgerinou, G.; Mouchlianitis, F.; Minos, G.; Ganias, K. Questionnaire and experimental surveys show that dolphins cause substantial losses to a gillnet fishery in the Eastern Mediterranean Sea. ICES J. Mar. Sci. 2022, 79, 2552–2561. [Google Scholar] [CrossRef]
- Brown-Peterson, N.J.; Wyanski, D.M.; Saborido-Rey, F.; Macewicz, B.J.; Lowerre-Barbieri, S.K. A standardized terminology for describing reproductive development in fishes. Mar. Coast. Fish. 2011, 3, 52–70. [Google Scholar] [CrossRef]
- Wadie, W.; Riskalla, S.; Dowidar, N. Maturity of family Sphyraenidae in the southeastern Mediterranean Sea. Rapp. Comm. Int. Mer. Médit. 1988, 31, 269. [Google Scholar]
- Villegas-Hernández, H.; Muñoz, M.; Lloret, J. Life-history traits of temperature and thermophilic barracudas (Teleostei: Sphyraenidae) in the context of sea warming in the Mediterranean Sea. J. Fish Biol. 2014, 84, 1940–1957. [Google Scholar] [CrossRef]
- Tsikliras, A.C.; Stergiou, K.I. Size at maturity of Mediterranean marine fishes. Rev. Fish Biol. Fisher. 2014, 24, 219–268. [Google Scholar] [CrossRef]
- R Core Team. R: A Language and Environment for Statistical Computing; R Foundation for Statistical Computing: Vienna, Austria, 2022; Available online: https://www.R-project.org/.
- European Union. 32019R1241–EN–EUR-Lex. Off. J. Eur. Union L 2019, 198, 105–201. Available online: http://data.europa.eu/eli/reg/2019/1241/oj (accessed on 3 May 2022).
- Petrakis, G.; Stergiou, K.I. Gill net selectivity for four fish species (Mullus barbatus, Pagellus erythrinus, Pagellus acarne and Spicara flexuosum) in Greek waters. Fish. Res. 1996, 27, 17–27. [Google Scholar] [CrossRef]
- Petrakis, G.; Stergiou, K.I.; Christou, E.; Politou, C.-Y.; Karkani, M.; Simboura, N.; Kouyoufas, P. Small Scale Fishery in the South Euboikos Gulf; Technical Report (Contract XIV-l/MED-91/007); National Centre for Marine Research: Athens, Greece, 1993; 83p. [Google Scholar]
- Ganias, K.; Zafeiriadou, A.; Garagouni, M.; Antoniadou, C. High bycatch rate of the coral Cladocora caespitosa offsets the low discards ratio in Thermaikos Gulf gillnet fishery. Mediterr. Mar. Sci. 2023, 24, 203–210. [Google Scholar] [CrossRef]
- Stappa, P. Biology of Annular Seabream (Diplodus annularis) at Patraikos Gulf and the Adjusted Area. Master’s Thesis, University of Patras, Patras, Greece, 2020. (In Greek). [Google Scholar]
- Karlou-Riga, C.; Economidis, P.S. Ovarian atretic rates and sexual maturity of horse mackerel, Trachurus trachurus (L.) in the Saronikos Gulf (Greece). Fish. B-NOAA 1996, 94, 66–76. [Google Scholar]
- Kokokiris, L.; Stamoulis, A.; Monokrousos, N.; Doulgeraki, S. Oocytes development, maturity classification, maturity size and spawning season of the red mullet (Mullus barbatus barbatus Linnaeus, 1758). J. Appl. Ichthyol. 2014, 30, 20–27. [Google Scholar] [CrossRef]
- Tsagarakis, K.; Palialexis, A.; Vassilopoulou, V. Mediterranean fishery discards: Review of the existing knowledge. ICES J. Mar. Sci. 2014, 71, 1219–1234. [Google Scholar] [CrossRef]
- Tzanatos, E.; Somarakis, S.; Tserpes, G.; Koutsikopoulos, C. Discarding practices in a Mediterranean small-scale fishing fleet (Patraikos Gulf, Greece). Fish. Manag. Ecol. 2007, 14, 277–285. [Google Scholar] [CrossRef]




| 2020 | 2021 | |||
|---|---|---|---|---|
| Sampling Surveys | Fish Samples | Sampling Surveys | Fish Samples | |
| March | 1 | 74 | ||
| April | 3 | 240 | 1 | 22 |
| May | 6 | 310 | 7 | 285 |
| June | 2 | 168 | 8 | 325 |
| July | 3 | 60 | 9 | 222 |
| August | 8 | 219 | 8 | 301 |
| September | 8 | 305 | 6 | 313 |
| October | 4 | 286 | 5 | 382 |
| November | 1 | 49 | ||
| Total | 36 | 1711 | 44 | 1850 |
| Species | Lmat (mm) | Reference |
|---|---|---|
| Diplodus annularis | 105 | [3] and references within |
| Mullus barbatus | 128 | [3] and references within |
| Mullus surmuletus | 155 | [3] and references within |
| Pagellus acarne | 142 | [3] and references within |
| Pagellus erythrinus | 140 | [3] and references within |
| Sphyraena sphyraena | 251 | [20,21] |
| Trachurus trachurus | 188 | References in [22] |
| Species | n | %RF | TL Min–Max (Mean) | Total Biomass | %Total Biomass |
|---|---|---|---|---|---|
| Diplodus annularis | 862 | 10.6 | 73–156 (102.3) | 15.3 | 8 |
| Mullus barbatus | 315 | 3.9 | 115–213 (147.7) | 11.9 | 6.2 |
| Mullus surmuletus | 1137 | 14 | 94–231 (153.5) | 52.1 | 27.2 |
| Pagellus acarne | 199 | 2.4 | 87–159 (134.5) | 6.1 | 3.2 |
| Pagellus erythrinus | 620 | 7.6 | 78–229 (129.6) | 18.2 | 9.5 |
| Sphyraena sphyraena | 205 | 2.5 | 177–400 (307.1) | 23.8 | 12.4 |
| Trachurus trachurus | 223 | 2.7 | 138–244 (184.8) | 11.5 | 6 |
Disclaimer/Publisher’s Note: The statements, opinions and data contained in all publications are solely those of the individual author(s) and contributor(s) and not of MDPI and/or the editor(s). MDPI and/or the editor(s) disclaim responsibility for any injury to people or property resulting from any ideas, methods, instructions or products referred to in the content. |
© 2024 by the authors. Licensee MDPI, Basel, Switzerland. This article is an open access article distributed under the terms and conditions of the Creative Commons Attribution (CC BY) license (https://creativecommons.org/licenses/by/4.0/).
Share and Cite
Mouchlianitis, F.A.; Garagouni, M.; Minos, G.; Ganias, K. Evaluating the Sustainability of an Eastern Mediterranean Gillnet Fishery Based on the Catches of Undersized Individuals and the Reproductive Period of Targeted Species. Fishes 2024, 9, 122. https://doi.org/10.3390/fishes9040122
Mouchlianitis FA, Garagouni M, Minos G, Ganias K. Evaluating the Sustainability of an Eastern Mediterranean Gillnet Fishery Based on the Catches of Undersized Individuals and the Reproductive Period of Targeted Species. Fishes. 2024; 9(4):122. https://doi.org/10.3390/fishes9040122
Chicago/Turabian StyleMouchlianitis, Foivos A., Maria Garagouni, George Minos, and Kostas Ganias. 2024. "Evaluating the Sustainability of an Eastern Mediterranean Gillnet Fishery Based on the Catches of Undersized Individuals and the Reproductive Period of Targeted Species" Fishes 9, no. 4: 122. https://doi.org/10.3390/fishes9040122
APA StyleMouchlianitis, F. A., Garagouni, M., Minos, G., & Ganias, K. (2024). Evaluating the Sustainability of an Eastern Mediterranean Gillnet Fishery Based on the Catches of Undersized Individuals and the Reproductive Period of Targeted Species. Fishes, 9(4), 122. https://doi.org/10.3390/fishes9040122

