Fishes Associated with a Vulnerable Marine Ecosystem Network in the Central Mediterranean Sea
Abstract
1. Introduction
2. Materials and Methods
2.1. Area of Study
2.2. Survey Methodology and Data Analysis
3. Results
3.1. Species Distribution and Abundance
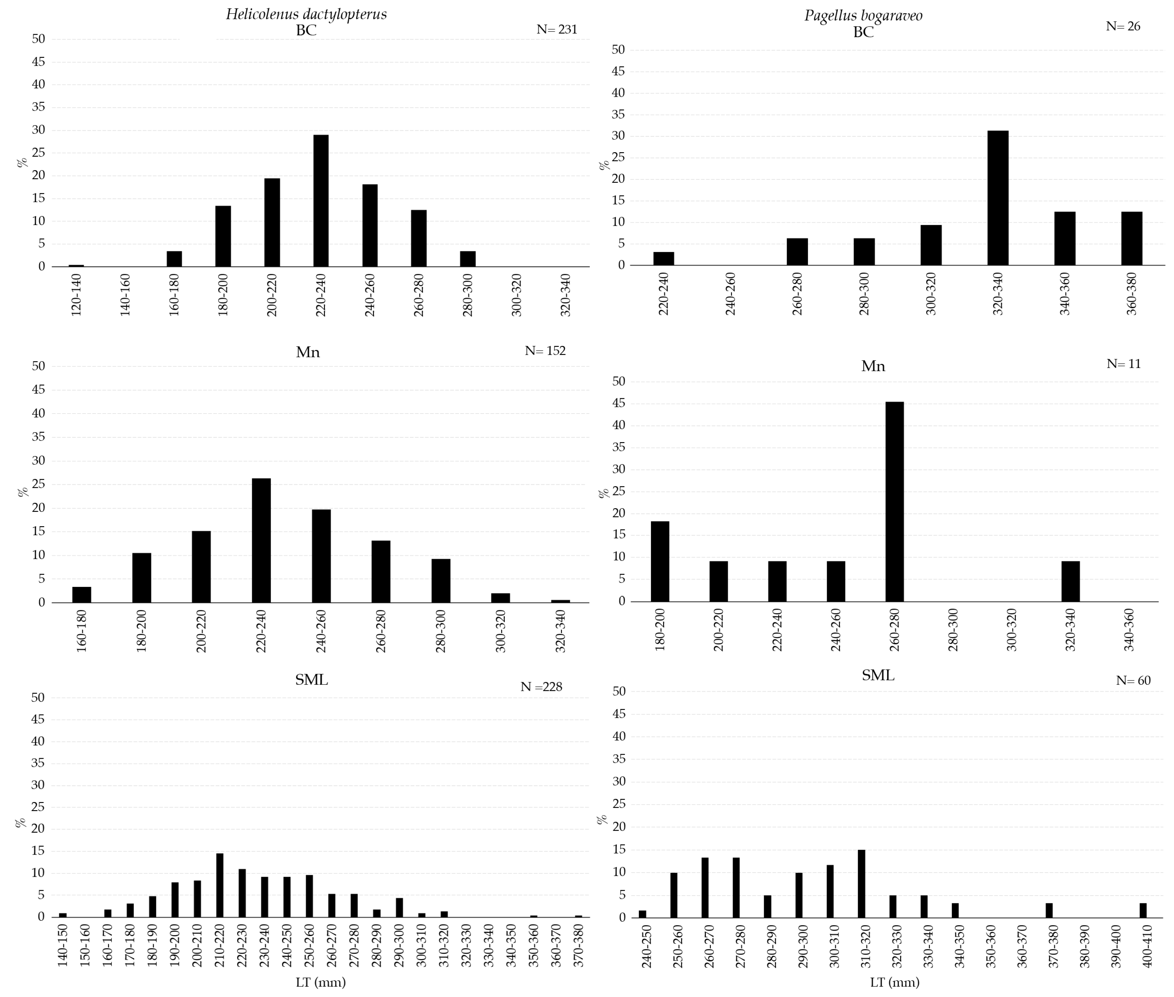
3.2. Size and Maturity
3.3. Behaviour
4. Discussion
5. Conclusions
Author Contributions
Funding
Institutional Review Board Statement
Informed Consent Statement
Data Availability Statement
Conflicts of Interest
References
- Danovaro, R.; Fanelli, E.; Aguzzi, J.; Billett, D.; Carugati, L.; Corinaldesi, C.; Dell’Anno, A.; Gjerde, K.; Jamieson, A.J.; Kark, S.; et al. Ecological Variables for Developing a Global Deep-Ocean Monitoring and Conservation Strategy. Nat. Ecol. Evol. 2020, 4, 181–192. [Google Scholar] [CrossRef] [PubMed]
- Folkersen, M.V.; Fleming, C.M.; Hasan, S. The Economic Value of the Deep Sea: A Systematic Review and Meta-Analysis. Mar. Policy 2018, 94, 71–80. [Google Scholar] [CrossRef]
- Mejjad, N.; Rovere, M. Understanding the Impacts of Blue Economy Growth on Deep-Sea Ecosystem Services. Sustainability 2021, 13, 12478. [Google Scholar] [CrossRef]
- Thurber, A.R.; Sweetman, A.K.; Narayanaswamy, B.E.; Jones, D.O.B.; Ingels, J.; Hansman, R.L. Ecosystem Function and Services Provided by the Deep Sea. Biogeosciences 2014, 11, 3941–3963. [Google Scholar] [CrossRef]
- Capezzuto, F.; Sion, L.; Ancona, F.; Carlucci, R.; Carluccio, A.; Cornacchia, L.; Maiorano, P.; Ricci, P.; Tursi, A.; D’Onghia, G. Cold-Water Coral Habitats and Canyons as Essential Fish Habitats in the Southern Adriatic and Northern Ionian Sea (Central Mediterranean). Ecol. Quest. 2018, 29, 9–23. [Google Scholar] [CrossRef]
- D’Onghia, G. Cold-Water Corals as Shelter, Feeding and Life-History Critical Habitats for Fish Species: Ecological Interactions and Fishing Impact. In Mediterranean Cold-Water Corals: Past, Present and Future: Understanding the Deep-Sea Realms of Coral; Springer: Berlin/Heidelberg, Germany, 2019; pp. 335–356. [Google Scholar]
- D’Onghia, G.; Maiorano, P.; Sion, L.; Giove, A.; Capezzuto, F.; Carlucci, R.; Tursi, A. Effects of Deep-Water Coral Banks on the Abundance and Size Structure of the Megafauna in the Mediterranean Sea. Deep Sea Res. Part II Top. Stud. Oceanogr. 2010, 57, 397–411. [Google Scholar] [CrossRef]
- D’Onghia, G.; Maiorano, P.; Carlucci, R.; Capezzuto, F.; Carluccio, A.; Tursi, A.; Sion, L. Comparing Deep-Sea Fish Fauna between Coral and Non-Coral “Megahabitats” in the Santa Maria Di Leuca Cold-Water Coral Province (Mediterranean Sea). PLoS ONE 2012, 7, e44509. [Google Scholar] [CrossRef]
- Rueda, J.L.; Urra, J.; Aguilar, R.; Angeletti, L.; Bo, M.; García-Ruiz, C.; González-Duarte, M.M.; López, E.; Madurell, T.; Maldonado, M. Cold-Water Coral Associated Fauna in the Mediterranean Sea and Adjacent Areas. In Mediterranean Cold-Water Corals: Past, Present. and Future: Understanding the Deep-Sea Realms of Coral; Springer: Berlin/Heidelberg, Germany, 2019; pp. 295–333. [Google Scholar]
- Söffker, M.; Sloman, K.A.; Hall-Spencer, J.M. In Situ Observations of Fish Associated with Coral Reefs Off Ireland. Deep Sea Res. Part I Oceanogr. Res. Pap. 2011, 58, 818–825. [Google Scholar] [CrossRef]
- Kutti, T.; Bergstad, O.A.; Fosså, J.H.; Helle, K. Cold-Water Coral Mounds and Sponge-Beds as Habitats for Demersal Fish on the Norwegian Shelf. Deep Sea Res. Part II Top. Stud. Oceanogr. 2014, 99, 122–133. [Google Scholar] [CrossRef]
- Mastrototaro, F.; D’Onghia, G.; Corriero, G.; Matarrese, A.; Maiorano, P.; Panetta, P.; Gherardi, M.; Longo, C.; Rosso, A.; Sciuto, F. Biodiversity of the White Coral Bank off Cape Santa Maria Di Leuca (Mediterranean Sea): An Update. Deep Sea Res. Part II Top. Stud. Oceanogr. 2010, 57, 412–430. [Google Scholar] [CrossRef]
- D’Onghia, G.; Calculli, C.; Capezzuto, F.; Carlucci, R.; Carluccio, A.; Grehan, A.; Indennidate, A.; Maiorano, P.; Mastrototaro, F.; Pollice, A.; et al. Anthropogenic Impact in the Santa Maria Di Leuca Cold-Water Coral Province (Mediterranean Sea): Observations and Conservation Straits. Deep Sea Res. Part II Top. Stud. Oceanogr. 2017, 145, 87–101. [Google Scholar] [CrossRef]
- Hall-Spencer, J.; Allain, V.; Fosså, J.H. Trawling Damage to Northeast Atlantic Ancient Coral Reefs. Proc. R. Soc. B Biol. Sci. 2002, 269, 507–511. [Google Scholar] [CrossRef] [PubMed]
- Hinz, H. Impact of Bottom Fishing on Animal Forests: Science, Conservation, and Fisheries Management. In Marine Animal Forests: The Ecology of Benthic Biodiversity Hotspots; Rossi, S., Ed.; Springer: Berlin/Heidelberg, Germany, 2017; pp. 1041–1059. [Google Scholar]
- FAO. Report of the Technical Consultation on International Guidelines for the Management of Deep-Sea Fisheries in the High Seas; Food and Agriculture Organization of the United Nations: Rome, Italy, 2009. [Google Scholar]
- Chimienti, G.; Bo, M.; Taviani, M.; Mastrototaro, F. Occurrence and Biogeography of Mediterranean Cold-Water Corals. In Mediterranean Cold-Water Corals: Past, Present and Future: Understanding the Deep-Sea Realms of Coral; Orejas, C., Jiménez, C., Eds.; Springer International Publishing: Cham, Switzerland, 2019; pp. 213–243. ISBN 978-3-319-91608-8. [Google Scholar]
- D’Onghia, G.; Calculli, C.; Capezzuto, F.; Carlucci, R.; Carluccio, A.; Maiorano, P.; Pollice, A.; Ricci, P.; Sion, L.; Tursi, A. New Records of Cold-Water Coral Sites and Fish Fauna Characterization of a Potential Network Existing in the Mediterranean Sea. Mar. Ecol. 2016, 37, 1398–1422. [Google Scholar] [CrossRef]
- Freiwald, A.; Beuck, L.; Rüggeberg, A.; Taviani, M.; Hebbeln, D. R/V Meteor Cruise M70-1 Participants. The White Coral Community in the Central Mediterranean Sea Revealed by ROV Surveys. Oceanography 2009, 22, 58–74. [Google Scholar] [CrossRef]
- Bailey, D.M.; King, N.J.; Priede, I.G. Cameras and Carcasses: Historical and Current Methods for Using Artificial Food Falls to Study Deep-Water Animals. Mar. Ecol. Prog. Ser. 2007, 350, 179–191. [Google Scholar] [CrossRef]
- Carluccio, A.; Capezzuto, F.; Maiorano, P.; Sion, L.; D’Onghia, G. Deep-Water Cartilaginous Fishes in the Central Mediterranean Sea: Comparison between Geographic Areas with Two Low Impact Tools for Sampling. J. Mar. Sci. Eng. 2021, 9, 686. [Google Scholar] [CrossRef]
- D’Onghia, G.; Capezzuto, F.; Cardone, F.; Carlucci, R.; Carluccio, A.; Chimienti, G.; Corriero, G.; Longo, C.; Maiorano, P.; Mastrototaro, F.; et al. Macro- and Megafauna Recorded in the Submarine Bari Canyon (Southern Adriatic, Mediterranean Sea) Using Different Tools. Mediterr. Mar. Sci. 2015, 16, 180–196. [Google Scholar] [CrossRef]
- D’Onghia, G.; Capezzuto, F.; Carluccio, A.; Carlucci, R.; Giove, A.; Mastrototaro, F.; Panza, M.; Sion, L.; Tursi, A.; Maiorano, P. Exploring Composition and Behaviour of Fish Fauna by in Situ Observations in the Bari Canyon (Southern Adriatic Sea, Central Mediterranean). Mar. Ecol. 2015, 36, 541–556. [Google Scholar] [CrossRef]
- D’Onghia, G.; Capezzuto, F.; Carlucci, R.; Carluccio, A.; Maiorano, P.; Panza, M.; Ricci, P.; Sion, L.; Tursi, A. Using a benthic lander to explore and monitor vulnerable ecosystems in the Mediterranean Sea. ACTA IMEKO 2018, 7, 45. [Google Scholar] [CrossRef]
- Fontes, J.; Menezes, G. Baited Image Lander for Deep Water Fish Counts and Biodiversity Studies-a Tool for MPA Science and Fisheries Management. In CONDOR Observatory for Long-Term Study and Monitoring of Azorean Seamount Ecosystems–Final Project Report; Giacomello, E., Menezes, G., Eds.; (Horta: Arquivos do DOP, Série Estudos 1/2012); University of the Azores: Ponta Delgada, Portugal, 2011; pp. 17–23. [Google Scholar]
- Linley, T.D.; Lavaleye, M.; Maiorano, P.; Bergman, M.; Capezzuto, F.; Cousins, N.J.; D’Onghia, G.; Duineveld, G.; Shields, M.A.; Sion, L.; et al. Effects of Cold-water Corals on Fish Diversity and Density (European Continental Margin: Arctic, NE Atlantic and Mediterranean Sea): Data from Three Baited Lander Systems. Deep Sea Res. Part II Top. Stud. Oceanogr. 2017, 145, 8–21. [Google Scholar] [CrossRef]
- Capezzuto, F.; Maiorano, P.; Panza, M.; Indennidate, A.; Sion, L.; D’Onghia, G. Occurrence and Behaviour of Paromola cuvieri (Crustacea, Decapoda) in the Santa Maria Di Leuca Cold-Water Coral Community (Mediterranean Sea). Deep Sea Res. Part I Oceanogr. Res. Pap. 2012, 59, 1–7. [Google Scholar] [CrossRef]
- Yeh, J.; Drazen, J.C. Baited-Camera Observations of Deep-Sea Megafaunal Scavenger Ecology on the California Slope. Mar. Ecol. Prog. Ser. 2011, 424, 145–156. [Google Scholar] [CrossRef]
- McLean, D.L.; Green, M.; Harvey, E.S.; Williams, A.; Daley, R.; Graham, K.J. Comparison of Baited Longlines and Baited Underwater Cameras for Assessing the Composition of Continental Slope Deepwater Fish Assemblages off Southeast Australia. Deep Sea Res. Part I Oceanogr. Res. Pap. 2015, 98, 10–20. [Google Scholar] [CrossRef]
- Ridente, D.; Foglini, F.; Minisini, D.; Trincardi, F.; Verdicchio, G. Shelf-Edge Erosion, Sediment Failure and Inception of Bari Canyon on the Southwestern Adriatic Margin (Central Mediterranean). Mar. Geol. 2007, 246, 193–207. [Google Scholar] [CrossRef]
- Trincardi, F.; Foglini, F.; Verdicchio, G.; Asioli, A.; Correggiari, A.; Minisini, D.; Piva, A.; Remia, A.; Ridente, D.; Taviani, M. The Impact of Cascading Currents on the Bari Canyon System, SW-Adriatic Margin (Central Mediterranean). Mar. Geol. 2007, 246, 208–230. [Google Scholar] [CrossRef]
- Angeletti, L.; Taviani, M.; Canese, S.; Foglini, F.; Mastrototaro, F.; Argnani, A.; Trincardi, F.; Bakran-Petricioli, T.; Ceregato, A.; Chimienti, G.; et al. New Deep-Water Cnidarian Sites in the Southern Adriatic Sea. Mediterr. Mar. Sci. 2013, 15, 263–273. [Google Scholar] [CrossRef]
- Foglini, F.; Campiani, E.; Trincardi, F. The Reshaping of the South West Adriatic Margin by Cascading of Dense Shelf Waters. Mar. Geol. 2016, 375, 64–81. [Google Scholar] [CrossRef]
- Bargain, A.; Marchese, F.; Savini, A.; Taviani, M.; Fabri, M.C. Santa Maria Di Leuca Province (Mediterranean Sea): Identification of Suitable Mounds for Cold-Water Coral Settlement Using Geomorphometric Proxies and Maxent Methods. Front. Mar. Sci. 2017, 4. [Google Scholar] [CrossRef]
- Savini, A.; Vertino, A.; Marchese, F.; Beuck, L.; Freiwald, A. Mapping Cold-Water Coral Habitats at Different Scales within the Northern Ionian Sea (Central Mediterranean): An Assessment of Coral Coverage and Associated Vulnerability. PLoS ONE 2014, 9, e87108. [Google Scholar] [CrossRef]
- WoRMS Editorial Board. World Register of Marine Species. 2024. Available online: https://www.marinespecies.org (accessed on 10 October 2024).
- Clarke, K.R. Non-Parametric Multivariate Analyses of Changes in Community Structure. Aust. J. Ecol. 1993, 18, 117–143. [Google Scholar] [CrossRef]
- Anderson, M.J. Permutational Multivariate Analysis of Variance (PERMANOVA). In Wiley Statsref: Statistics Reference Online; Wiley: Hoboken, NJ, USA, 2014; pp. 1–15. [Google Scholar]
- Anderson, M.J. A New Method for Non-Parametric Multivariate Analysis of Variance. Austral Ecol. 2001, 26, 32–46. [Google Scholar] [CrossRef]
- Dufrêne, M.; Legendre, P. Species Assemblages and Indicator Species: The Need for a Flexible Asymmetrical Approach. Ecol. Monogr. 1997, 67, 345–366. [Google Scholar] [CrossRef]
- Clarke, K.R.; Gorley, R.N. Getting Started with PRIMER V7. PRIMER-E Plymouth Plymouth Mar. Lab. 2015, 20, 296. [Google Scholar]
- Sion, L.; Pollice, A.; Maiorano, P.; Calculli, C.; Capezzuto, F.; Carluccio, A.; Ricci, P.; D’Onghia, G. Chondrichthyes in the North-Western Ionian Sea (Central Mediterranean): Species Diversity, Abundance and Spatio-Temporal Changes. Fish. Res. 2024, 274, 106977. [Google Scholar] [CrossRef]
- Maiorano, P.; Ricci, P.; Chimienti, G.; Calculli, C.; Mastrototaro, F.; D’Onghia, G. Deep-Water Species Assemblages on the Trawlable Bottoms of the Central Mediterranean: Changes or Not over Time? Front. Mar. Sci. 2022, 9, 1007671. [Google Scholar] [CrossRef]
- Afonso, P.; Graça, G.; Berke, G.; Fontes, J. First Observations on Seamount Habitat Use of Blackspot Seabream (Pagellus bogaraveo) Using Acoustic Telemetry. J. Exp. Mar. Biol. Ecol. 2012, 436–437, 1–10. [Google Scholar] [CrossRef]
- Afonso, P.; McGinty, N.; Graça, G.; Fontes, J.; Inácio, M.; Totland, A.; Menezes, G. Vertical Migrations of a Deep-Sea Fish and Its Prey. PLoS ONE 2014, 9, e97884. [Google Scholar] [CrossRef]
- Capezzuto, F.; Calculli, C.; Carlucci, R.; Carluccio, A.; Maiorano, P.; Pollice, A.; Sion, L.; Tursi, A.; D’Onghia, G. Revealing the Coral Habitat Effect on Benthopelagic Fauna Diversity in the Santa Maria Di Leuca Cold-Water Coral Province Using Different Devices and Bayesian Hierarchical Modelling. Aquat. Conserv. 2019, 29, 1608–1622. [Google Scholar] [CrossRef]
- Capezzuto, F.; Ancona, F.; Calculli, C.; Sion, L.; Maiorano, P.; D’Onghia, G. Feeding of the Deep-Water Fish Helicolenus dactylopterus (Delaroche, 1809) in Different Habitats: From Muddy Bottoms to Cold-Water Coral Habitats. Deep Sea Res. Part I Oceanogr. Res. Pap. 2020, 159, 103252. [Google Scholar] [CrossRef]
- Linley, T.D.; Craig, J.; Jamieson, A.J.; Priede, I.G. Bathyal and Abyssal Demersal Bait-Attending Fauna of the Eastern Mediterranean Sea. Mar. Biol. 2018, 165, 159. [Google Scholar] [CrossRef]
- El Vadhel, H.; Buhl-Mortensen, L.; Babou, D.A.; Dridi, A.; Balde, B.S.; Bouzouma, M.E.M.; Psomadakis, P.N. Do Cold Water Corals Provide an Essential Habitat for Helicolenus Dactylopterus (Delaroche, 1809) in the Northwest Africa? Mar. Environ. Res. 2024, 198, 106538. [Google Scholar] [CrossRef] [PubMed]
- Mytilineou, C.; Smith, C.J.; Anastasopoulou, A.; Papadopoulou, K.N.; Christidis, G.; Bekas, P.; Kavadas, S.; Dokos, J. New Cold-Water Coral Occurrences in the Eastern Ionian Sea: Results from Experimental Long Line Fishing. Deep Sea Res. Part II Top. Stud. Oceanogr. 2014, 99, 146–157. [Google Scholar] [CrossRef]
- Sabatini, A.; Follesa, M.C.; Locci, I.; Pendugiu, A.A.; Pesci, P.; Cau, A. Assemblages in a Submarine Canyon: Influence of Depth and Time. In Proceedings of the Biodiversity in Enclosed Seas and Artificial Marine Habitats: Proceedings of the 39th European Marine Biology Symposium, Genoa, Italy, 21–24 July 2004; Springer: Berlin/Heidelberg, Germany, 2007; pp. 265–271. [Google Scholar]
- Fabri, M.-C.; Pedel, L.; Beuck, L.; Galgani, F.; Hebbeln, D.; Freiwald, A. Megafauna of Vulnerable Marine Ecosystems in French Mediterranean Submarine Canyons: Spatial Distribution and Anthropogenic Impacts. Deep Sea Res. Part II Top. Stud. Oceanogr. 2014, 104, 184–207. [Google Scholar] [CrossRef]
- Carpentieri, P.; Colloca, F.; Cardinale, M.; Belluscio, A.; Ardizzone, G.D. Feeding Habits of European Hake (Merluccius merluccius) in the Central Mediterranean Sea. Fish B-NOAA 2005, 103, 411–416. [Google Scholar]
- De Pontual, H.; Jolivet, A.; Bertignac, M.; Fablet, R. Diel Vertical Migration of European Hake Merluccius merluccius and Associated Temperature Histories: Insights from a Pilot Data-Storage Tagging (DST) Experiment. J. Fish Biol. 2012, 81, 728–734. [Google Scholar] [CrossRef]
- Xavier, J.C.; Cherel, Y.; Assis, C.A.; Sendão, J.; Borges, T.C. Feeding Ecology of Conger Eels (Conger conger) in North-East Atlantic Waters. J. Mar. Biol. Assoc. UK 2010, 90, 493–501. [Google Scholar] [CrossRef]
- Mytilineou, C.; Tsagarakis, K.; Bekas, P.; Anastasopoulou, A.; Kavadas, S.; Machias, A.; Haralabous, J.; Smith, C.J.; Petrakis, G.; Dokos, J. Spatial Distribution and Life-history Aspects of Blackspot Seabream Pagellus bogaraveo (Osteichthyes: Sparidae). J. Fish Biol. 2013, 83, 1551–1575. [Google Scholar] [CrossRef]
- Capezzuto, F.; Ancona, F.; Calculli, C.; Carlucci, R.; Sion, L.; Maiorano, P.; D’Onghia, G. Comparison of Trophic Spectrum in the Blackspot Seabream, Pagellus bogaraveo (Brünnich, 1768), between Cold-Water Coral Habitats and Muddy Bottoms in the Central Mediterranean. Deep Sea Res. Part I Oceanogr. Res. Pap. 2021, 169, 103474. [Google Scholar] [CrossRef]
- Sion, L.; Calculli, C.; Capezzuto, F.; Carlucci, R.; Carluccio, A.; Cornacchia, L.; Maiorano, P.; Pollice, A.; Ricci, P.; Tursi, A.; et al. Does the Bari Canyon (Central Mediterranean) Influence the Fish Distribution and Abundance? Prog. Oceanogr. 2019, 170, 81–92. [Google Scholar] [CrossRef]
- Megalofonou, P.; Chatzispyrou, A. Sexual Maturity and Feeding of the Gulper Shark, Centrophorus granulosus, from the Eastern Mediterranean Sea. Cybium 2006, 30, 67–74. [Google Scholar]
- Scacco, U.; la Mesa, G.; Vacchi, M. Morfometría Corporal, Diversidad Natatoria y Nicho de Los Tiburones Demersales: Estudio Comparativo En El Mar Mediterráneo. Sci. Mar. 2010, 74, 37–53. [Google Scholar] [CrossRef]
- Pinte, N.; Parisot, P.; Martin, U.; Zintzen, V.; De Vleeschouwer, C.; Roberts, C.D.; Mallefet, J. Ecological Features and Swimming Capabilities of Deep-Sea Sharks from New Zealand. Deep Sea Res. Part I Oceanogr. Res. Pap. 2020, 156, 103187. [Google Scholar] [CrossRef]
- Capezzuto, F.; Ancona, F.; Carlucci, R.; Carluccio, A.; Cornacchia, L.; Maiorano, P.; Ricci, P.; Sion, L.; Tursi, A.; D’Onghia, G. Cold-Water Coral Communities in the Central Mediterranean: Aspects on Megafauna Diversity, Fishery Resources and Conservation Perspectives. Rend. Lincei 2018, 29, 589–597. [Google Scholar] [CrossRef]
- Maiorano, P.; Capezzuto, F.; Carluccio, A.; Calculli, C.; Cipriano, G.; Carlucci, R.; Ricci, P.; Sion, L.; Tursi, A.; D’Onghia, G. Food from the Depths of the Mediterranean: The Role of Habitats, Changes in the Sea-Bottom Temperature and Fishing Pressure. Foods 2022, 11, 1420. [Google Scholar] [CrossRef]
- Althaus, F.; Williams, A.; Schlacher, T.A.; Kloser, R.J.; Green, M.A.; Barker, B.A.; Bax, N.J.; Brodie, P.; Schlacher-Hoenlinger, M.A. Impacts of Bottom Trawling on Deep-Coral Ecosystems of Seamounts Are Long-Lasting. Mar. Ecol. Prog. Ser. 2009, 397, 279–294. [Google Scholar] [CrossRef]
- Angiolillo, M.; La Mesa, G.; Giusti, M.; Salvati, E.; Di Lorenzo, B.; Rossi, L.; Canese, S.; Tunesi, L. New Records of Scleractinian Cold-Water Coral (CWC) Assemblages in the Southern Tyrrhenian Sea (Western Mediterranean Sea): Human Impacts and Conservation Prospects. Prog. Oceanogr. 2021, 197, 102656. [Google Scholar] [CrossRef]
- Roberts, S.; Hirshfield, M. Deep-Sea Corals: Out of Sight, but No Longer out of Mind. Front. Ecol. Environ. 2004, 2, 123–130. [Google Scholar] [CrossRef]
- Fosså, J.H.; Mortensen, P.B.; Furevik, D.M. The Deep-Water Coral Lophelia pertusa in Norwegian Waters: Distribution and Fishery Impacts. Hydrobiologia 2002, 471, 1–12. [Google Scholar] [CrossRef]
- Fanelli, E.; Delbono, I.; Ivaldi, R.; Pratellesi, M.; Cocito, S.; Peirano, A. Cold-water Coral Madrepora oculata in the Eastern Ligurian Sea (NW Mediterranean): Historical and Recent Findings. Aquat. Conserv. 2017, 27, 965–975. [Google Scholar] [CrossRef]
- Bilan, M.; Gori, A.; Grinyó, J.; Biel-Cabanelas, M.; Puigcerver-Segarra, X.; Santín, A.; Piraino, S.; Rossi, S.; Puig, P. Vulnerability of Six Cold-Water Corals to Sediment Resuspension from Bottom Trawling Fishing. Mar. Pollut. Bull. 2023, 196, 115423. [Google Scholar] [CrossRef]
- Lastras, G.; Canals, M.; Ballesteros, E.; Gili, J.-M.; Sanchez-Vidal, A. Cold-Water Corals and Anthropogenic Impacts in La Fonera Submarine Canyon Head, Northwestern Mediterranean Sea. PLoS ONE 2016, 11, e0155729. [Google Scholar] [CrossRef] [PubMed]
- Orejas, C.; Gori, A.; Lo Iacono, C.; Puig, P.; Gili, J.-M.; Dale, M.R.T. Cold-Water Corals in the Cap de Creus Canyon, Northwestern Mediterranean: Spatial Distribution, Density and Anthropogenic Impact. Mar. Ecol. Prog. Ser. 2009, 397, 37–51. [Google Scholar] [CrossRef]
- Angeletti, L.; D’Onghia, G.; Otero, M.D.M.; Settanni, A.; Spedicato, M.T.; Taviani, M. A Perspective for Best Governance of the Bari Canyon Deep-Sea Ecosystems. Water 2021, 13, 1646. [Google Scholar] [CrossRef]
- White, J.; Simpfendorfer, C.A.; Tobin, A.J.; Heupel, M.R. Application of Baited Remote Underwater Video Surveys to Quantify Spatial Distribution of Elasmobranchs at an Ecosystem Scale. J. Exp. Mar. Biol. Ecol. 2013, 448, 281–288. [Google Scholar] [CrossRef]
- Carluccio, A.; Capezzuto, F.; Maiorano, P.; Sion, L.; D’Onghia, G. Feeding Behaviour of Deep-Water Scavengers in the Central Mediterranean: In Situ Observations Using a Baited Lander. In Proceedings of the 2022 IEEE International Workshop on Metrology for the Sea; Learning to Measure Sea Health Parameters (MetroSea), Milazzo, Italy, 3–5 October 2022; IEEE: New York, NJ, USA, 2022; pp. 530–534. [Google Scholar]
- EC. Council Directive 92/43/EEC of 21 May 1992 on the conservation of natural habitats and of wild fauna and flora. Off. J. Eur. Communities Legis. 1992, 35, 7–50. [Google Scholar]
- EC. Directive 2009/147/EC of the European Parliament and of the Council of 30 November 2009 on the conservation of wild birds. Off. J. Eur. Communities Legis. 2009, 53, 7–25. [Google Scholar]









| Depth Stratum (m) | ||||||||
|---|---|---|---|---|---|---|---|---|
| 300–499 | 500–699 | 700–899 | ||||||
| Area | Day Time | Number of Stations | Sampling Hours (h) | Number of Stations | Sampling Hours (h) | Number of Stations | Sampling Hours (h) | |
| Longline | BC | Day | 8 | 38 | 8 | 41 | - | - |
| Mn | Day | 7 | 24 | 9 | 32 | - | - | |
| SML | Day | 8 | 32 | 13 | 51 | - | - | |
| MEMO Lander | BC | Day | 5 | 27 | 1 | 16 | 2 | 17 |
| Night | 1 | 7 | 1 | 1 | 1 | 12 | ||
| Mn | Day | - | - | 3 | 16 | 1 | 5 | |
| Night | 3 | 11 | - | - | 1 | 6 | ||
| SML | Day | - | - | 4 | 31 | 4 | 24 | |
| Night | - | - | 4 | 48 | - | - | ||
| Depth Range | ||||||||||
|---|---|---|---|---|---|---|---|---|---|---|
| Lander MEMO | Longline | |||||||||
| Area | BC | Mn | SML | BC | Mn | SML | Red List Category | |||
| Class | Order | Family | Species | |||||||
| Chondroycthyes | ||||||||||
| Hexanchiformes | Hexanchidae | Hexanchus griseus (Bonnaterre, 1788) | 443–787 | 576 | 547–792 | - | - | - | LC | |
| Carcharhiniformes | Pentanchidae | Galeus melastomus Rafinesque, 1810 | 443–482 | 471–778 | - | 314–612 | 350–603 | 418–635 | LC | |
| Scyliorhinidae | Scyliorhinus canicula (Linnaeus, 1758) | - | - | - | 376–402 | - | - | LC | ||
| Carcharhinidae | Prionace glauca (Linnaeus, 1758) | - | - | - | - | - | 455 | CR | ||
| Squaliformes | Dalatiidae | Dalatias licha (Bonnaterre, 1788) | 442–482 | 471–729 | 790 | 561 | - | - | VU | |
| Etmopteridae | Etmopterus spinax (Linnaeus, 1758) | 476–787 | 427–778 | 547–771 | 492–608 | 482–558 | 468–635 | LC | ||
| Somniosidae | Somniosus rostratus (Risso, 1827) | 775 | - | - | - | - | - | DD | ||
| Centrophoridae | Centrophorus granulosus (Bloch & Schneider, 1801) | 476–787 | 633–778 | 624 | 612 | - | 463–538 | CR | ||
| Rajiformes | Rajidae | Dipturus oxyrinchus (Linnaeus, 1758) | - | 729 | 790–792 | - | - | 538–600 | NT | |
| Leucoraja circularis (Couch, 1838) | - | - | - | - | - | 599 | CR | |||
| Leucoraja fullonica (Linnaeus, 1758) | - | - | - | - | - | 529–599 | CR | |||
| Myliobatiformes | Dasyatidae | Pteroplatytrigon violacea (Bonaparte, 1832) | - | - | - | 338–608 | 381 | 418–529 | LC | |
| Chimaeriformes | Chimaeridae | Chimaera monstrosa Linnaeus, 1758 | - | - | - | 608 | 504–519 | - | NT | |
| Osteichthyes | ||||||||||
| Anguilliformes | Congridae | 446 | 427 | - | - | - | - | - | ||
| Conger conger (Linnaeus, 1758) | 443–788 | 576–778 | 547–792 | 314–612 | 350–603 | 418–635 | LC | |||
| Beryciformes | Trachichthyidae | Hoplostetus mediterraneus Cuvier, 1829 | 577 | - | - | - | - | - | - | |
| Carangiformes | Carangidae | Trachurus picturatus (Bowdich, 1825) | - | - | - | - | 440 | - | LC | |
| Xiphiidae | Xiphias gladius Linnaeus, 1758 | - | - | - | - | 519–538 | 418 | NT | ||
| Gadiformes | Gadidae | Gadiculus argenteus Guichenot, 1850 | 446 | - | - | - | - | - | LC | |
| Micromesistious poutassou (Risso, 1827) | - | - | - | 376–561 | 350–519 | 449–599 | LC | |||
| Lotidae | Molva macrophthalma (Rafinesque, 1810) | - | - | - | 612 | 504–538 | 463–570 | DD | ||
| Macrouridae | Hymenocephalus italicus Giglioli, 1884 | - | 440–633 | - | - | - | - | LC | ||
| Myctophiformes | Myctophidae | 442–775 | 427–729 | 559–792 | - | - | - | - | ||
| Lampanyctus crocodilus (Risso, 1810) | - | - | 547–620 | - | - | - | LC | |||
| Merlucciidae | Merluccius merluccius (Linnaeus, 1758) | 443–600 | 427–729 | 559–624 | 314–612 | 350–603 | 418–635 | VU | ||
| Moridae | Mora moro (Risso, 1810) | - | - | - | - | - | 635–635 | LC | ||
| Phycidae | Phycis blennoides (Brünnich, 1768) | 476 | 471–778 | 547–790 | 338–612 | 350–603 | 449–635 | LC | ||
| Notacanthiformes | Notacanthidae | Notacanthus bonaparte Risso, 1840 | 600 | 729 | - | - | - | - | LC | |
| Perciformes | Trichiuridae | Lepidopus caudatus (Euphrasen, 1788) | 443–600 | 427–729 | 547–624 | - | - | 449–463 | LC | |
| Polyprionidae | Polyprion americanus (Bloch & Schneider, 1801) | 577–775 | - | 615–648 | 378–543 | 558 | 449–635 | DD | ||
| Sparidae | Pagellus bogaraveo (Brünnich, 1768) | 442–787 | 427–778 | 547–559 | 402–612 | 350–505 | 455–598 | LC | ||
| Triglidae | Trigla lyra Linnaeus, 1758 | - | - | - | 314–583 | 381–519 | - | LC | ||
| Scorpaeniformes | Scorpaenidae | Scorpaena elongata Cadenat, 1943 | - | - | - | 338–338 | - | - | LC | |
| Sebastidae | Helicolenus dactylopterus (Delaroche, 1809) | 443–787 | - | 547–648 | 314–612 | 350–603 | 418–635 | LC | ||
| Scombriformes | Bramidae | Brama brama (Bonnaterre, 1788) | - | - | - | 402–561 | 350–519 | 598 | DD | |
| Stomiiformes | Stomiidae | 482 | 576–610 | - | - | - | - | - | ||
| Stomias boa (Risso, 1810) | 476 | 576–610 | 559 | - | - | - | LC | |||
| Source | df | SS | MS | Pseudo-F | P (perm) | Perms |
|---|---|---|---|---|---|---|
| tool | 1 | 40,536 | 40,536 | 31.876 | 0.0001 | 9941 |
| area | 2 | 8201.8 | 4100.9 | 3.2248 | 0.0004 | 9919 |
| toolxarea | 2 | 11,452 | 5725.8 | 4.5025 | 0.0001 | 9924 |
| res | 78 | 99,192 | 1271.7 | |||
| total | 83 | 1.59 × 105 |
| Groups | t | P (perm) | Unique Perms | |
|---|---|---|---|---|
| Lander | BC, Mn | 1.3757 | 0.0889 | 9324 |
| BC, SML | 1.7428 | 0.0147 * | 9917 | |
| Mn, SML | 2.5118 | 0.0007 * | 9564 | |
| Longline | BC, Mn | 1.3979 | 0.0556 | 9949 |
| BC, SML | 1.4325 | 0.0407 * | 9947 | |
| Mn, SML | 1.5139 | 0.0201 * | 9942 |
| Species | Group LAN Av.Abund | Group PALAv.Abund | Av.Diss | Diss/SD | Contrib% | Cum.% |
|---|---|---|---|---|---|---|
| Galeus melastomus | 0.2 | 1.16 | 9.65 | 1.99 | 13.47 | 13.47 |
| Helicolenus dactylopterus | 0.24 | 1.19 | 9.07 | 2.03 | 12.66 | 26.12 |
| Phycis blennoides | 0.17 | 0.87 | 6.96 | 1.67 | 9.72 | 35.84 |
| Merluccius merluccius | 0.35 | 0.81 | 5.85 | 1.19 | 8.17 | 44.01 |
| Pagellus bogaraveo | 0.55 | 0.41 | 5.81 | 1.1 | 8,11 | 52.12 |
| Groups MEMO and LL | ||||||
| Average dissimilarity = 71.66 |
| Groups | Average Dissimilarity | |||||
|---|---|---|---|---|---|---|
| BC and Mn | 44.24 | |||||
| BC and SML | 46.85 | |||||
| Mn and SML | 50.26 | |||||
| Species | Group BC Av.Abund | Group Mn Av.Abund | Av.Diss | Diss/SD | Contrib% | Cum.% |
| Galeus melastomus | 0.7 | 1.03 | 4.52 | 1.08 | 10.21 | 10.21 |
| Pagellus bogaraveo | 0.59 | 0.36 | 4.22 | 1.02 | 9.54 | 19.75 |
| Conger conger | 0.84 | 0.51 | 3.55 | 1.12 | 8.02 | 27.77 |
| Phycis blennoides | 0.62 | 0.72 | 3.52 | 1 | 7.95 | 35.72 |
| Merluccius merluccius | 0.66 | 0.78 | 3.38 | 0.94 | 7.64 | 43.36 |
| Helicolenus dactylopterus | 0.87 | 0.75 | 2.99 | 0.88 | 6.77 | 50.13 |
| Species | Group BC Av. Abund | Group SML Av.Abund | ||||
| Pagellus bogaraveo | 0.59 | 0.42 | 6.14 | 0.93 | 13.12 | 13.12 |
| Merluccius merluccius | 0.66 | 0.53 | 3.87 | 1.01 | 8.27 | 21.38 |
| Galeus melastomus | 0.7 | 0.73 | 3.5 | 0.94 | 7.48 | 28.86 |
| Helicolenus dactylopterus | 0.87 | 0.88 | 3.44 | 0.76 | 7.34 | 36.2 |
| Phycis blennoides | 0.62 | 0.52 | 3.18 | 0.88 | 6.78 | 42.98 |
| Etmopterus spinax | 0.19 | 0.27 | 2.73 | 0.83 | 5.83 | 48.82 |
| Conger conger | 0.84 | 0.88 | 2.58 | 0.67 | 5.52 | 54.33 |
| Species | Group Mn Av.Abund | Group SML Av.Abund | ||||
| Pagellus bogaraveo | 0.36 | 0.42 | 4.96 | 1.06 | 9.86 | 9.86 |
| Phycis blennoides | 0.72 | 0.52 | 4.06 | 1.06 | 8.08 | 17.94 |
| Galeus melastomus | 1.03 | 0.73 | 3.93 | 1.05 | 7.81 | 25.75 |
| Conger conger | 0.51 | 0.88 | 3.9 | 1.12 | 7.77 | 33.52 |
| Merluccius merluccius | 0.78 | 0.53 | 3.57 | 0.91 | 7.1 | 40.61 |
| Helicolenus dactylopterus | 0.75 | 0.88 | 3.42 | 0.83 | 6.81 | 47.43 |
| Etmopterus spinax | 0.26 | 0.27 | 3.07 | 0.92 | 6.11 | 53.53 |
| Species | Specimen | VME | Depth (m) | Number of Returns | Time Interval Between Each Return (m) | |||||||
|---|---|---|---|---|---|---|---|---|---|---|---|---|
| C. granulosus | 1 male | Mn | 729 | 1 | 78 | |||||||
| white dot | ||||||||||||
| D. licha | no name 1 female | BC | 442 | 1 | 45 | |||||||
| no name male | BC | 446 | 2 | 60 | 173 | |||||||
| 1 female black spot | Mn | 471 | 2 | 9 | 86 | |||||||
| 2 female | Mn | 471 | 2 | 6 | 73 | |||||||
| no spot | ||||||||||||
| 1 male | Mn | 471 | 1 | 8 | ||||||||
| no name 1 | Mn | 633 | 1 | 7 | ||||||||
| D. xyrinchus | no name 1 female | Mn | 729 | 2 | 6 | 6 | ||||||
| no name 1 male | SML | 792 | 3 | 24 | 108 | 5 | ||||||
| H. griseus | 1 white little dot | BC | 775 | 1 | 6 | |||||||
| no name female | Mn | 576 | 8 | 12 | 9 | 10 | 29 | 36 | 9 | 19 | 35 | |
| 1 white spot on the head | SML | 792 | 2 | 8 | 8 | |||||||
| S. rostratus | no name | BC | 775 | 1 | 53 | |||||||
Disclaimer/Publisher’s Note: The statements, opinions and data contained in all publications are solely those of the individual author(s) and contributor(s) and not of MDPI and/or the editor(s). MDPI and/or the editor(s) disclaim responsibility for any injury to people or property resulting from any ideas, methods, instructions or products referred to in the content. |
© 2024 by the authors. Licensee MDPI, Basel, Switzerland. This article is an open access article distributed under the terms and conditions of the Creative Commons Attribution (CC BY) license (https://creativecommons.org/licenses/by/4.0/).
Share and Cite
Carluccio, A.; Capezzuto, F.; Maiorano, P.; Sion, L.; D’Onghia, G. Fishes Associated with a Vulnerable Marine Ecosystem Network in the Central Mediterranean Sea. Fishes 2024, 9, 433. https://doi.org/10.3390/fishes9110433
Carluccio A, Capezzuto F, Maiorano P, Sion L, D’Onghia G. Fishes Associated with a Vulnerable Marine Ecosystem Network in the Central Mediterranean Sea. Fishes. 2024; 9(11):433. https://doi.org/10.3390/fishes9110433
Chicago/Turabian StyleCarluccio, Angela, Francesca Capezzuto, Porzia Maiorano, Letizia Sion, and Gianfranco D’Onghia. 2024. "Fishes Associated with a Vulnerable Marine Ecosystem Network in the Central Mediterranean Sea" Fishes 9, no. 11: 433. https://doi.org/10.3390/fishes9110433
APA StyleCarluccio, A., Capezzuto, F., Maiorano, P., Sion, L., & D’Onghia, G. (2024). Fishes Associated with a Vulnerable Marine Ecosystem Network in the Central Mediterranean Sea. Fishes, 9(11), 433. https://doi.org/10.3390/fishes9110433

