An Individual Prosthesis Control Method with Human Subjective Choices
Abstract
1. Introduction
- This study introduces subjective human choices into prosthesis trajectory planning. Human subjective choice is defined as choosing the option that is more subjectively comfortable through human independent judgment under comparison, rather than optimization based on sensor data or calculated indicators under a fixed control paradigm, and taking human preference as important feedback.
- This study focuses on planning the individual trajectory by reconstructing the curve by optimizing the positions of the key points instead of the gait features such as the step length and width as shown in [14]. It can be easily modelled according to the gait phase variable and does not require the transfer of gait features into joint angles.
- We built a deviation function under different actions (the parameters needed to be optimized) through Fourier series expansion and discovering the coefficients required to evaluate the performance, which has an advantage over the method that estimates every utility function of the actions that can realize trajectory optimization with fewer iteration steps.
2. Dynamic Prosthesis and Virtual Constraint Method
2.1. Dynamic Knee–Ankle Prothesis
2.2. Virtual Constraint Control
3. Methods
3.1. Dataset and Data Preprocessing
3.2. Gait Curve Reconstruction
3.3. Individual Trajectory Optimization with Subjective Choices
3.3.1. Fourier Series Expression of the Deviation Function
3.3.2. Posterior Probability Calculation
3.3.3. Maximum A Posteriori Estimation
4. Experiments and Results
4.1. The Optimization Algorithm Pseudo-Code
| Algorithm 1 Framework of individual gait optimization algorithm |
| 1: procedure INDIVIDUAL GAIT OPTIMIZATION AlGORITHM 2: Select a key point position to be optimized. 3: Initialize the Fourier Series parameters . 4: Initialized and . 5: for each do 6: for each do 7: Sample values of . 8: Choose the value of with maximum probability. 9: end for 10: Select 2 actions of from the optional value within the predefined range by random. 11: Subjective choice between the 2 actions under and refresh the choice matrix. 12: Use the MAP algorithm to update the value of and get the optimal . 13: end for 14: end procedure |
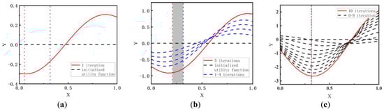
- To be closer to real situations where people make decisions on which option they prefer, the real deviation is added by Gaussian noise with a 30% error band.
- The number of actions to be selected is determined. In this study, the number of actions to be selected can be effectively reduced by directly fitting the parameters of the deviation function, and the gait curve can be optimized by fitting the deviation function with fewer subjective selections. Considering the accuracy and efficiency comprehensively, five actions were selected for each parameter to be optimized.
- By comparing the individual average gait curve of the dataset, the subjective choices of humans in the simulation experiments were replaced. In the simulation experiments of the algorithm verification, it was necessary to obtain subjective human choices as the input. Therefore, we used the individual average gait as a standard value. By calculating the difference between the positions of the key points, we substituted the subjective feelings to make a choice.
4.2. The Optimization Algorithm Verification
4.3. Dataset-Based Gait Simulation
4.4. Results Analysis
5. Discussion
5.1. Advantages of Individual Gait Trajectory Optimization
5.2. Future Works
6. Conclusions
Author Contributions
Funding
Institutional Review Board Statement
Informed Consent Statement
Data Availability Statement
Conflicts of Interest
References
- Tucker, M.R.; Olivier, J.; Pagel, A.; Bleuler, H.; Bouri, M.; Lambercy, O.; Millán, J.R.; Riener, R.; Vallery, H.; Gassert, R. Control strategies for active lower extremity prosthetics and orthotics: A review. J. NeuroEng. Rehabil. 2015, 12, 1–30. [Google Scholar] [CrossRef] [PubMed]
- Chehab, E.F.; Andriacchi, T.P.; Favre, J. Speed, age, sex, and body mass index provide a rigorous basis for comparing the kinematic and kinetic profiles of the lower extremity during walking. J. Biomech. 2017, 58, 11–20. [Google Scholar] [CrossRef]
- Ko, S.; Tolea, M.I.; Hausdorff, J.M.; Ferrucci, L. Sex-specific differences in gait patterns of healthy older adults: Results from the Baltimore Longitudinal Study of Aging. Gait Posture 2011, 46, 11–17. [Google Scholar] [CrossRef]
- Kobayashi, Y.; Hobara, H.; Heldoorn, T.A.; Kouchi, M.; Mochimaru, M. Ageindependent and age-dependent sex differences in gait pattern determined by principal component analysis. Biomechanics 2016, 44, 1974–1979. [Google Scholar]
- Bruening, D.A.; Frimenko, R.E.; Goodyear, C.D.; Bowden, D.R.; Fullenkamp, A.M. Sex differences in whole body gait kinematics at preferred speeds. Biomechanics 2015, 41, 540–545. [Google Scholar] [CrossRef] [PubMed]
- Ko, S.; Stenholm, S.; Ferrucci, L. Characteristic gait patterns in older adults with obesity—Results from the Baltimore Longitudinal Study of Aging. Biomechanics 2010, 43, 1104–1110. [Google Scholar] [CrossRef] [PubMed]
- Lai, P.P.K.; Leung, A.K.L.; Li, A.N.M.; Zhang, M. Three- dimensional gait analysis of obese adults. Biomechanics 2008, 23, S2–S6. [Google Scholar] [CrossRef] [PubMed]
- Moissenet, F.; Leboeuf, F.; Armand, S. Lower limb sagittal gait kinematics can be predicted based on walking speed, gender, age and BMI. Sci. Rep. 2019, 9, 1. [Google Scholar] [CrossRef] [PubMed]
- Mn, A.; Jlh, B. Spatiotemporal gait parameters for older adults—An interactive model adjusting reference data for gender, age, and body height. Gait Posture 2020, 82, 220–226. [Google Scholar]
- Embry, K.R.; Villarreal, D.J.; Gregg, R.D. A Unified Parameterization of Human Gait Across Ambulation Modes. Gait Posture 2016, 82, 220–226. [Google Scholar]
- Best, T.K.; Embry, K.; Rouse, E.; Gregg, R. Phase-Variable Control of a Powered Knee-Ankle Prosthesis over Continuously Varying Speeds and Inclines. In Proceedings of the 2021 IEEE/RSJ International Conference on Intelligent Robots and Systems (IROS), Prague, Czech Republic, 27 September–1 October 2021. [Google Scholar]
- Huang, Y.; An, H.; Ma, H.; Wei, Q. Modelling and Individualizing Continuous Joint Kinematics Using Gaussian Process Enhanced Fourier Series. IEEE Trans. Neural Syst. Rehabil. Eng. 2022, 31, 779–788. [Google Scholar] [CrossRef] [PubMed]
- Mannini, A.; Sabatini, A.M. Walking speed estimation using foot-mounted inertial sensors: Comparing machine learning and strap-down integration methods. Med. Eng. Phys. 2014, 36, 1312–1321. [Google Scholar] [CrossRef] [PubMed]
- Tucker, M.; Novoseller, E.; Kann, C.; Sui, Y.; Yue, Y.; Burdick, J.W.; Ames, A.D. Preference-Based Learning for Exoskeleton Gait Optimization. In Proceedings of the 2020 IEEE International Conference on Robotics and Automation (ICRA), Paris, France, 31 May–31 August 2020; pp. 2351–2357. [Google Scholar]
- Quintero, D.; Lambert, D.J.; Villarreal, D.J.; Gregg, R.D. Real-Time continuous gait phase and speed estimation from a single sensor. In Proceedings of the 2017 IEEE Conference on Control Technology and Applications (CCTA), Maui, HI, USA, 27–30 August 2017; pp. 847–852. [Google Scholar] [CrossRef]
- Villarreal, D.J.; Gregg, R.D. Unified phase variables of relative degree two for human locomotion. In Proceedings of the 2016 38th Annual International Conference of the IEEE Engineering in Medicine and Biology Society (EMBC), Orlando, FL, USA; 2016; pp. 6262–6267. [Google Scholar] [CrossRef]
- Camargo, J.; Ramanathan, A.; Flanagan, W.; Young, A. A comprehensive, open-source dataset of lower limb biomechanics in multiple conditions of stairs, ramps, and level-ground ambulation and transitions. J. Biomech. 2021, 119, 110320. [Google Scholar] [CrossRef] [PubMed]









| AB06 | AB07 | AB08 | AB09 | AB10 | AB11 | AB12 | AB13 | |||||||||
|---|---|---|---|---|---|---|---|---|---|---|---|---|---|---|---|---|
| HAG | IG | HAG | IG | HAG | IG | HAG | IG | HAG | IG | HAG | IG | HAG | IG | HAG | IG | |
| 0 | 0 | 3 | 0.5 | 1 | 0.1 | 0 | 0 | 1 | 0.1 | 0 | 0.3 | 0 | 0.1 | 1 | 0 | |
| 2.47 | 0.38 | 2.38 | 0.22 | 3.3 | 0.78 | 4.53 | 1.08 | 12.8 | 0.53 | 4.16 | 0.19 | 1.42 | 0.77 | 1.78 | 0.22 | |
| 1 | 0.25 | 5 | 3 | 3 | 0.75 | 0 | 0 | 3 | 0.75 | 1 | 0.25 | 2 | 0.25 | 6 | 0.75 | |
| 0.08 | 0.19 | 4.25 | 1.64 | 3.4 | 0.71 | 1.06 | 0.83 | 2.53 | 0.58 | 0.5 | 0.43 | 2.13 | 0.62 | 4.38 | 0.11 | |
| 0 | 0 | 1 | 0.05 | 0 | 0.3 | 2 | 1.1 | 0 | 0.3 | 1 | 0.1 | 2 | 0.35 | 6 | 0 | |
| 2.91 | 0.32 | 1.52 | 16.7 | 3.91 | 0.18 | 4.39 | 0.95 | 4.38 | 2.97 | 0.02 | 0.43 | 3.1 | 1 | 4.85 | 0.31 | |
| 0.74 | 0.33 | 0.38 | 0.68 | 0.7 | 0.12 | 2.11 | 0.04 | 6.16 | 0.06 | 2.9 | 0.45 | 0.84 | 0.22 | 2.62 | 0.73 | |
| ED | 14.2 | 10.7 | 31.9 | 18.0 | 43.7 | 22.0 | 34.7 | 34.2 | 59.3 | 27.2 | 19.4 | 16.7 | 33.5 | 27.9 | 77.4 | 22.8 |
| Fre | 2.91 | 1.51 | 3.29 | 1.78 | 3.91 | 1.48 | 4.39 | 1.17 | 11.2 | 2.97 | 4.16 | 1.60 | 3.09 | 1.57 | 4.85 | 1.2 |
| Haus | 2.91 | 1.39 | 1.52 | 1.67 | 3.91 | 1.34 | 4.39 | 1.16 | 4.38 | 2.97 | 1.15 | 1.35 | 3.09 | 1.28 | 4.85 | 0.85 |
| AB15 AB27 | AB16 AB28 | AB18 AB30 | AB19 | AB21 | AB23 | AB244 | AB25 | |||||||||
| HAG | IG | HAG | IG | HAG | IG | HAG | IG | HAG | IG | HAG | IG | HAG | IG | HAG | IG | |
| 0 2 | 0.4 0.8 | 1 1 | 0.2 0.5 | 4 0 | 0.9 0.6 | 0 | 0 | 1 | 0.3 | 2 | 0.1 | 5 | 1 | 1 | 0.5 | |
| 2.23 4.35 | 0.22 0.2 | 2.62 4.21 | 1.27 0.06 | 13.1 9.48 | 6.67 1.87 | 2.47 | 0.62 | 0.57 | 0.2 | 1.01 | 0.14 | 14.9 | 8.40 | 6.07 | 0.38 | |
| 3 2 | 0.5 0.5 | 7 5 | 1 1 | 1 5 | 1 0.5 | 2 | 0.75 | 6 | 0 | 4 | 0 | 5 | 0.75 | 2 | 0.5 | |
| 3.13 5.66 | 0.62 0.97 | 1.81 4.73 | 0.48 0.64 | 5.15 3.58 | 0.05 0.53 | 0.98 | 0.48 | 3.17 | 0.12 | 0.05 | 0.36 | 10.4 | 0.28 | 7.37 | 1.06 | |
| 3 1 | 0.30 1 | 3 1 | 0.75 0.35 | 2 1 | 0.65 0.50 | 2 | 0.25 | 2 | 0.55 | 4 | 0.35 | 0 | 0.15 | 1 | 0.4 | |
| 12.8 3.92 | 1.64 0.73 | 6.70 5.89 | 0.11 0.04 | 2.50 3.41 | 0.66 0.57 | 2.31 | 0.54 | 1.48 | 0.39 | 0.45 | 0.11 | 2.46 | 0.37 | 5.01 | 0.35 | |
| 5.52 1.07 | 0.41 0.24 | 3.79 2.64 | 0.53 0.20 | 8.68 8.79 | 0.77 1.48 | 0.60 | 0.47 | 0.56 | 0.28 | 3.42 | 0.37 | 9.34 | 0.37 | 4.81 | 1.05 | |
| ED | 82.3 43.5 | 19.7 18.5 | 50.9 47.7 | 21.4 15.3 | 72.6 71.3 | 36.9 25.6 | 26.2 | 22.6 | 27.4 | 32.4 | 45.5 | 17.6 | 93.6 | 48.3 | 65.2 | 21.6 |
| Fre | 12.8 4.04 | 2.31 0.20 | 6.70 4.21 | 1.80 0.06 | 9.87 9.48 | 2.54 1.87 | 2.47 | 1.01 | 3.17 | 1.33 | 3.98 | 1.23 | 13.2 | 5.07 | 7.37 | 2.15 |
| Haus | 12.8 3.92 | 2.31 0.95 | 6.70 5.89 | 1.50 1.24 | 7.01 3.58 | 1.47 1.04 | 2.31 | 0.97 | 2.14 | 1.24 | 1.34 | 0.92 | 10.4 | 1.46 | 7.37 | 1.14 |
Disclaimer/Publisher’s Note: The statements, opinions and data contained in all publications are solely those of the individual author(s) and contributor(s) and not of MDPI and/or the editor(s). MDPI and/or the editor(s) disclaim responsibility for any injury to people or property resulting from any ideas, methods, instructions or products referred to in the content. |
© 2024 by the authors. Licensee MDPI, Basel, Switzerland. This article is an open access article distributed under the terms and conditions of the Creative Commons Attribution (CC BY) license (https://creativecommons.org/licenses/by/4.0/).
Share and Cite
Sun, L.; Ma, H.; An, H.; Wei, Q. An Individual Prosthesis Control Method with Human Subjective Choices. Biomimetics 2024, 9, 77. https://doi.org/10.3390/biomimetics9020077
Sun L, Ma H, An H, Wei Q. An Individual Prosthesis Control Method with Human Subjective Choices. Biomimetics. 2024; 9(2):77. https://doi.org/10.3390/biomimetics9020077
Chicago/Turabian StyleSun, Lei, Hongxu Ma, Honglei An, and Qing Wei. 2024. "An Individual Prosthesis Control Method with Human Subjective Choices" Biomimetics 9, no. 2: 77. https://doi.org/10.3390/biomimetics9020077
APA StyleSun, L., Ma, H., An, H., & Wei, Q. (2024). An Individual Prosthesis Control Method with Human Subjective Choices. Biomimetics, 9(2), 77. https://doi.org/10.3390/biomimetics9020077
