Pufferfish Optimization Algorithm: A New Bio-Inspired Metaheuristic Algorithm for Solving Optimization Problems
Abstract
1. Introduction
- POA is designed based on simulating the natural behavior of pufferfish and its predators in the sea.
- The basic inspiration of POA is taken from the defense mechanism of pufferfish against predator attacks.
- The theory of POA is stated and its implementation steps are mathematically modeled in two phases: (i) exploration based on the simulation of the predator’s attack on the pufferfish and (ii) exploitation based on the simulation of the pufferfish’s defense mechanism against the predator.
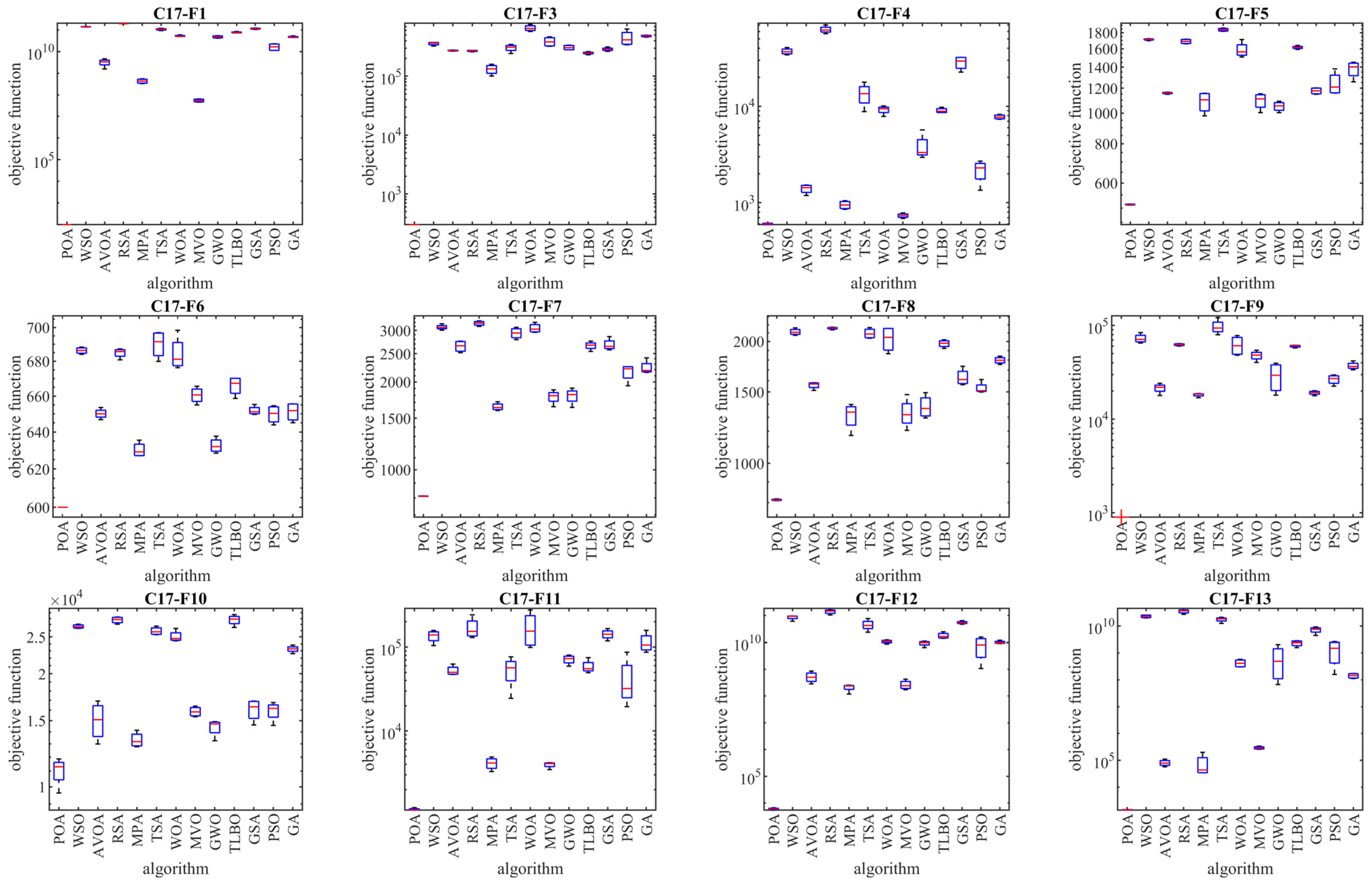
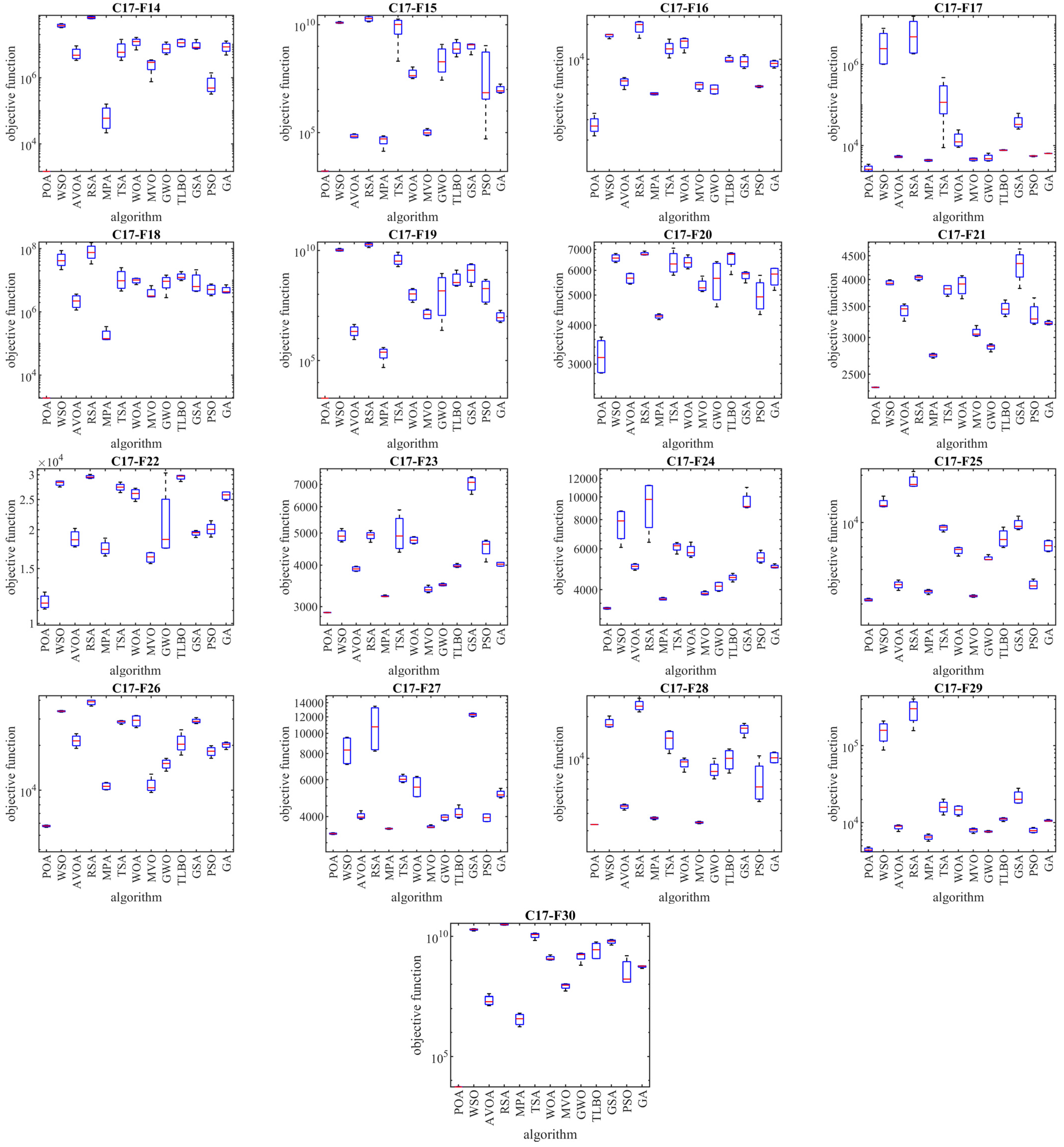
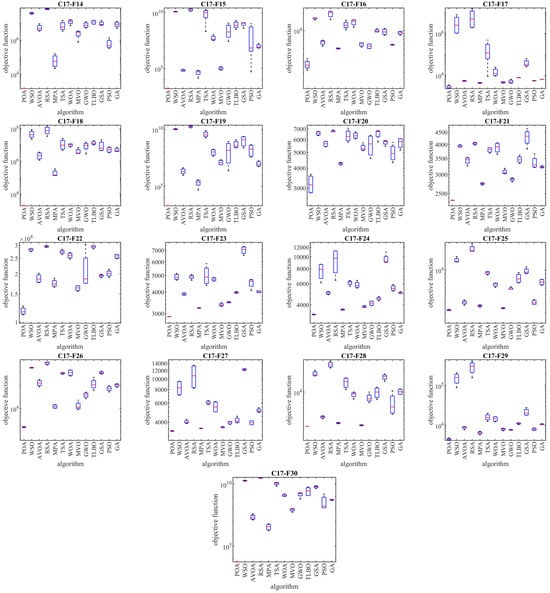
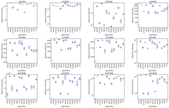
- The performance of POA is evaluated to optimize the CEC 2017 test suite for problem dimensions of 10, 30, 50, and 100.
- The effectiveness of POA in handling optimization tasks is evaluated on twenty-two constrained optimization problems from the CEC 2011 test suite and four engineering design problems.
- Results obtained from POA are compared with the performance of twelve well-known metaheuristic algorithms.
2. Literature Review
3. Pufferfish Optimization Algorithm
3.1. Inspiration of POA
3.2. Algorithm Initialization
3.3. Mathematical Modelling of POA
3.3.1. Phase 1: Predator Attack towards Pufferfish (Exploration Phase)
3.3.2. Phase 2: Defense Mechanism of Pufferfish against Predators (Exploitation Phase)
3.4. Repetition Process, Pseudocode, and Flowchart of POA
| Algorithm 1. Pseudocode of POA. | ||||
| Start POA. | ||||
| 1: | Input problem information: variables, objective function, and constraints. | |||
| 2: | Set POA population size (N) and iterations (T). | |||
| 3: | Generate the initial population matrix at random using Equation (2). . | |||
| 4: | Evaluate the objective function. | |||
| 5: | For to T | |||
| 6: | For to | |||
| 7: | Phase 1: Predator attack towards pufferfish (exploration phase). | |||
| 8: | Determine the candidate pufferfish set for the ith POA member using Equation (4). . | |||
| 9: | Select the target pufferfish for the ith POA member at random. | |||
| 10: | Calculate new position of ith POA member using Equation (5). . | |||
| 11: | Update ith POA member using Equation (6). | |||
| 12: | Phase 2: Defense mechanism of pufferfish against predators (exploitation phase). | |||
| 13: | Calculate new position of ith POA member using Equation (7). . | |||
| 14: | Update ith POA member using Equation (8). | |||
| 15: | end | |||
| 16: | Save the best candidate solution so far. | |||
| 17: | end | |||
| 18: | Output the best quasi-optimal solution obtained with the POA. | |||
| End POA. | ||||
3.5. POA for Handling the Constrained Problems
3.6. Computational Complexity of POA
4. Simulation Studies and Results
4.1. Performance Comparison
4.2. Evaluation CEC 2017 Test Suite
4.3. Statistical Analysis
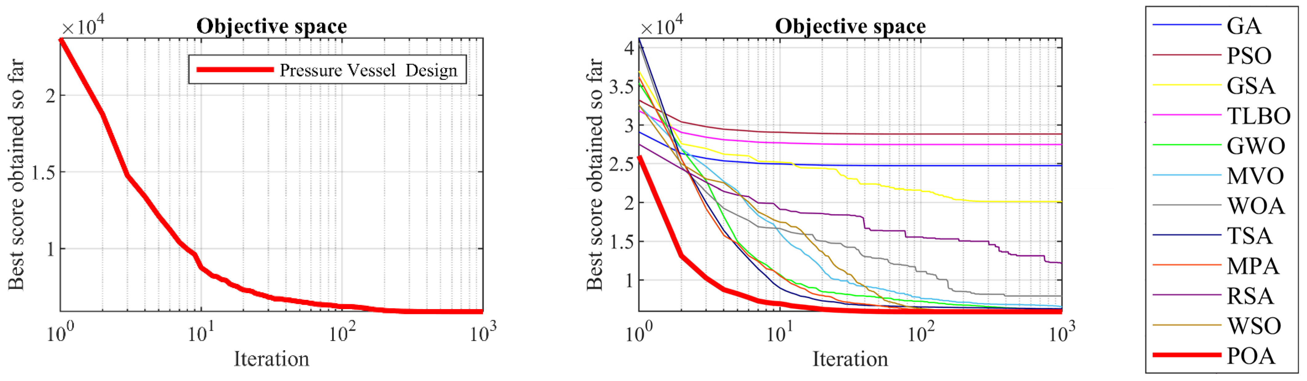
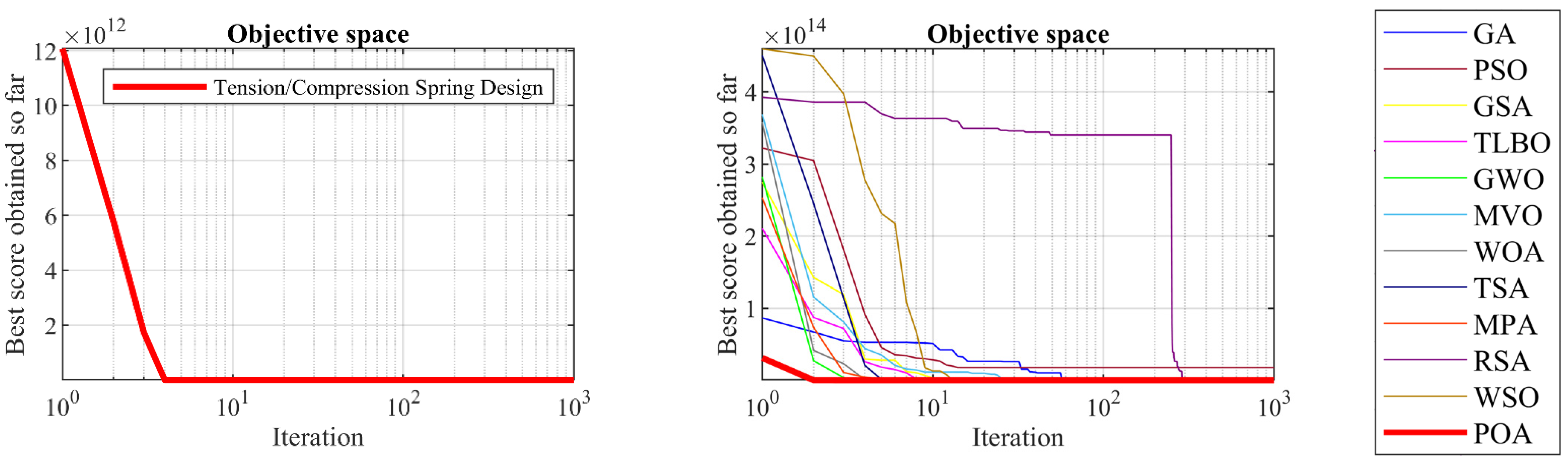
5. POA for Real-World Applications
5.1. Evaluation of CEC 2011 Test Suite
5.2. Pressure Vessel Design Problem
5.3. Speed Reducer Design Problem
5.4. Welded Beam Design
5.5. Tension/Compression Spring Design
6. Conclusions and Future Works
Author Contributions
Funding
Institutional Review Board Statement
Data Availability Statement
Acknowledgments
Conflicts of Interest
Appendix A
| function | C17-F1 | C17-F2 | C17-F3 | C17-F4 | C17-F5 | C17-F6 | C17-F7 | C17-F8 | C17-F9 | C17-F10 | C17-F11 | C17-F12 | C17-F13 | C17-F14 | C17-F15 |
| OV | 100 | 200 | 300 | 400 | 500 | 600 | 700 | 800 | 900 | 1000 | 1100 | 1200 | 1300 | 1400 | 1500 |
| function | C17-F16 | C17-F17 | C17-F18 | C17-F19 | C17-F20 | C17-F21 | C17-F22 | C17-F23 | C17-F24 | C17-F25 | C17-F26 | C17-F27 | C17-F28 | C17-F29 | C17-F30 |
| OV | 1600 | 1700 | 1800 | 1900 | 2000 | 2100 | 2200 | 2300 | 2400 | 2500 | 2600 | 2700 | 2800 | 2900 | 3000 |
References
- Zhao, S.; Zhang, T.; Ma, S.; Chen, M. Dandelion Optimizer: A nature-inspired metaheuristic algorithm for engineering applications. Eng. Appl. Artif. Intell. 2022, 114, 105075. [Google Scholar] [CrossRef]
- Sergeyev, Y.D.; Kvasov, D.; Mukhametzhanov, M. On the efficiency of nature-inspired metaheuristics in expensive global optimization with limited budget. Sci. Rep. 2018, 8, 453. [Google Scholar] [CrossRef] [PubMed]
- Liberti, L.; Kucherenko, S. Comparison of deterministic and stochastic approaches to global optimization. Int. Trans. Oper. Res. 2005, 12, 263–285. [Google Scholar] [CrossRef]
- Alshanti, W.G.; Batiha, I.M.; Hammad, M.A.; Khalil, R. A novel analytical approach for solving partial differential equations via a tensor product theory of Banach spaces. Partial Differ. Equ. Appl. Math. 2023, 8, 100531. [Google Scholar] [CrossRef]
- Dehghani, M.; Trojovská, E.; Trojovský, P. A new human-based metaheuristic algorithm for solving optimization problems on the base of simulation of driving training process. Sci. Rep. 2022, 12, 9924. [Google Scholar] [CrossRef] [PubMed]
- Matoušová, I.; Trojovský, P.; Dehghani, M.; Trojovská, E.; Kostra, J. Mother optimization algorithm: A new human-based metaheuristic approach for solving engineering optimization. Sci. Rep. 2023, 13, 10312. [Google Scholar] [CrossRef] [PubMed]
- de Armas, J.; Lalla-Ruiz, E.; Tilahun, S.L.; Voß, S. Similarity in metaheuristics: A gentle step towards a comparison methodology. Nat. Comput. 2022, 21, 265–287. [Google Scholar] [CrossRef]
- Trojovský, P.; Dehghani, M. A new optimization algorithm based on mimicking the voting process for leader selection. PeerJ Comput. Sci. 2022, 8, e976. [Google Scholar] [CrossRef]
- Zhao, W.; Wang, L.; Zhang, Z.; Fan, H.; Zhang, J.; Mirjalili, S.; Khodadadi, N.; Cao, Q. Electric eel foraging optimization: A new bio-inspired optimizer for engineering applications. Expert Syst. Appl. 2024, 238, 122200. [Google Scholar] [CrossRef]
- Wolpert, D.H.; Macready, W.G. No free lunch theorems for optimization. IEEE Trans. Evol. Comput. 1997, 1, 67–82. [Google Scholar] [CrossRef]
- Kennedy, J.; Eberhart, R. Particle Swarm Optimization. Proceedings of ICNN’95—International Conference on Neural Networks, Perth, WA, Australia, 27 November–1 December 1995; IEEE: Perth, WA, Australia, 1995; Volume 4, pp. 1942–1948. [Google Scholar]
- Dorigo, M.; Maniezzo, V.; Colorni, A. Ant system: Optimization by a colony of cooperating agents. IEEE Trans. Syst. Man Cybern. Part B 1996, 26, 29–41. [Google Scholar] [CrossRef] [PubMed]
- Karaboga, D.; Basturk, B. Artificial Bee Colony (ABC) Optimization Algorithm for Solving Constrained Optimization Problems. In Proceedings of the International Fuzzy Systems Association World Congress, Cancun, Mexico, 18–21 June 2007; Springer: Berlin/Heidelberg, Germany, 2007; pp. 789–798. [Google Scholar]
- Yang, X.-S. Firefly algorithm, stochastic test functions and design optimisation. Int. J. Bio-Inspired Comput. 2010, 2, 78–84. [Google Scholar] [CrossRef]
- Trojovský, P.; Dehghani, M. Pelican Optimization Algorithm: A Novel Nature-Inspired Algorithm for Engineering Applications. Sensors 2022, 22, 855. [Google Scholar] [CrossRef] [PubMed]
- Hashim, F.A.; Hussien, A.G. Snake Optimizer: A novel meta-heuristic optimization algorithm. Knowl.-Based Syst. 2022, 242, 108320. [Google Scholar] [CrossRef]
- Masadeh, R.; Mahafzah, B.A.; Sharieh, A. Sea lion optimization algorithm. Int. J. Adv. Comput. Sci. Appl. 2019, 10, 388–395. [Google Scholar] [CrossRef]
- Zervoudakis, K.; Tsafarakis, S. A global optimizer inspired from the survival strategies of flying foxes. Eng. Comput. 2023, 39, 1583–1616. [Google Scholar] [CrossRef]
- Zervoudakis, K.; Tsafarakis, S. A mayfly optimization algorithm. Comput. Ind. Eng. 2020, 145, 106559. [Google Scholar] [CrossRef]
- Braik, M.; Hammouri, A.; Atwan, J.; Al-Betar, M.A.; Awadallah, M.A. White Shark Optimizer: A novel bio-inspired meta-heuristic algorithm for global optimization problems. Knowl.-Based Syst. 2022, 243, 108457. [Google Scholar] [CrossRef]
- Abdollahzadeh, B.; Gharehchopogh, F.S.; Mirjalili, S. African vultures optimization algorithm: A new nature-inspired metaheuristic algorithm for global optimization problems. Comput. Ind. Eng. 2021, 158, 107408. [Google Scholar] [CrossRef]
- Mirjalili, S.; Mirjalili, S.M.; Lewis, A. Grey Wolf Optimizer. Adv. Eng. Softw. 2014, 69, 46–61. [Google Scholar] [CrossRef]
- Abualigah, L.; Abd Elaziz, M.; Sumari, P.; Geem, Z.W.; Gandomi, A.H. Reptile Search Algorithm (RSA): A nature-inspired meta-heuristic optimizer. Expert Syst. Appl. 2022, 191, 116158. [Google Scholar] [CrossRef]
- Mirjalili, S.; Lewis, A. The whale optimization algorithm. Adv. Eng. Softw. 2016, 95, 51–67. [Google Scholar] [CrossRef]
- Chopra, N.; Ansari, M.M. Golden Jackal Optimization: A Novel Nature-Inspired Optimizer for Engineering Applications. Expert Syst. Appl. 2022, 198, 116924. [Google Scholar] [CrossRef]
- Hashim, F.A.; Houssein, E.H.; Hussain, K.; Mabrouk, M.S.; Al-Atabany, W. Honey Badger Algorithm: New metaheuristic algorithm for solving optimization problems. Math. Comput. Simul. 2022, 192, 84–110. [Google Scholar] [CrossRef]
- Faramarzi, A.; Heidarinejad, M.; Mirjalili, S.; Gandomi, A.H. Marine Predators Algorithm: A nature-inspired metaheuristic. Expert Syst. Appl. 2020, 152, 113377. [Google Scholar] [CrossRef]
- Jiang, Y.; Wu, Q.; Zhu, S.; Zhang, L. Orca predation algorithm: A novel bio-inspired algorithm for global optimization problems. Expert Syst. Appl. 2022, 188, 116026. [Google Scholar] [CrossRef]
- Kaur, S.; Awasthi, L.K.; Sangal, A.L.; Dhiman, G. Tunicate Swarm Algorithm: A new bio-inspired based metaheuristic paradigm for global optimization. Eng. Appl. Artif. Intell. 2020, 90, 103541. [Google Scholar] [CrossRef]
- Goldberg, D.E.; Holland, J.H. Genetic Algorithms and Machine Learning. Mach. Learn. 1988, 3, 95–99. [Google Scholar] [CrossRef]
- Storn, R.; Price, K. Differential evolution—A simple and efficient heuristic for global optimization over continuous spaces. J. Glob. Optim. 1997, 11, 341–359. [Google Scholar] [CrossRef]
- De Castro, L.N.; Timmis, J.I. Artificial immune systems as a novel soft computing paradigm. Soft Comput. 2003, 7, 526–544. [Google Scholar] [CrossRef]
- Reynolds, R.G. An Introduction to Cultural Algorithms. In Proceedings of the Third Annual Conference on Evolutionary Programming, San Diego, CA, USA, 24–26 February 1994; World Scientific: Singapore, 1994; pp. 131–139. [Google Scholar]
- Koza, J.R.; Koza, J.R. Genetic Programming: On the Programming of Computers by Means of Natural Selection; MIT Press: Cambridge, MA, USA, 1992; Volume 1. [Google Scholar]
- Beyer, H.-G.; Schwefel, H.-P. Evolution strategies–a comprehensive introduction. Nat. Comput. 2002, 1, 3–52. [Google Scholar] [CrossRef]
- Kirkpatrick, S.; Gelatt, C.D.; Vecchi, M.P. Optimization by simulated annealing. Science 1983, 220, 671–680. [Google Scholar] [CrossRef] [PubMed]
- Rashedi, E.; Nezamabadi-Pour, H.; Saryazdi, S. GSA: A gravitational search algorithm. Inf. Sci. 2009, 179, 2232–2248. [Google Scholar] [CrossRef]
- Dehghani, M.; Samet, H. Momentum search algorithm: A new meta-heuristic optimization algorithm inspired by momentum conservation law. SN Appl. Sci. 2020, 2, 1720. [Google Scholar] [CrossRef]
- Dehghani, M.; Montazeri, Z.; Dhiman, G.; Malik, O.; Morales-Menendez, R.; Ramirez-Mendoza, R.A.; Dehghani, A.; Guerrero, J.M.; Parra-Arroyo, L. A spring search algorithm applied to engineering optimization problems. Appl. Sci. 2020, 10, 6173. [Google Scholar] [CrossRef]
- Eskandar, H.; Sadollah, A.; Bahreininejad, A.; Hamdi, M. Water cycle algorithm–A novel metaheuristic optimization method for solving constrained engineering optimization problems. Comput. Struct. 2012, 110, 151–166. [Google Scholar] [CrossRef]
- Hashim, F.A.; Mostafa, R.R.; Hussien, A.G.; Mirjalili, S.; Sallam, K.M. Fick’s Law Algorithm: A physical law-based algorithm for numerical optimization. Knowl.-Based Syst. 2023, 260, 110146. [Google Scholar] [CrossRef]
- Kundu, R.; Chattopadhyay, S.; Nag, S.; Navarro, M.A.; Oliva, D. Prism refraction search: A novel physics-based metaheuristic algorithm. J. Supercomput. 2024. [Google Scholar] [CrossRef]
- Hashim, F.A.; Houssein, E.H.; Mabrouk, M.S.; Al-Atabany, W.; Mirjalili, S. Henry gas solubility optimization: A novel physics-based algorithm. Future Gener. Comput. Syst. 2019, 101, 646–667. [Google Scholar] [CrossRef]
- Hatamlou, A. Black hole: A new heuristic optimization approach for data clustering. Inf. Sci. 2013, 222, 175–184. [Google Scholar] [CrossRef]
- Wei, Z.; Huang, C.; Wang, X.; Han, T.; Li, Y. Nuclear reaction optimization: A novel and powerful physics-based algorithm for global optimization. IEEE Access 2019, 7, 66084–66109. [Google Scholar] [CrossRef]
- Faramarzi, A.; Heidarinejad, M.; Stephens, B.; Mirjalili, S. Equilibrium optimizer: A novel optimization algorithm. Knowl.-Based Syst. 2020, 191, 105190. [Google Scholar] [CrossRef]
- Mirjalili, S.; Mirjalili, S.M.; Hatamlou, A. Multi-verse optimizer: A nature-inspired algorithm for global optimization. Neural Comput. Appl. 2016, 27, 495–513. [Google Scholar] [CrossRef]
- Pereira, J.L.J.; Francisco, M.B.; Diniz, C.A.; Oliver, G.A.; Cunha Jr, S.S.; Gomes, G.F. Lichtenberg algorithm: A novel hybrid physics-based meta-heuristic for global optimization. Expert Syst. Appl. 2021, 170, 114522. [Google Scholar] [CrossRef]
- Hashim, F.A.; Hussain, K.; Houssein, E.H.; Mabrouk, M.S.; Al-Atabany, W. Archimedes optimization algorithm: A new metaheuristic algorithm for solving optimization problems. Appl. Intell. 2021, 51, 1531–1551. [Google Scholar] [CrossRef]
- Kaveh, A.; Dadras, A. A novel meta-heuristic optimization algorithm: Thermal exchange optimization. Adv. Eng. Softw. 2017, 110, 69–84. [Google Scholar] [CrossRef]
- Cuevas, E.; Oliva, D.; Zaldivar, D.; Pérez-Cisneros, M.; Sossa, H. Circle detection using electro-magnetism optimization. Inf. Sci. 2012, 182, 40–55. [Google Scholar] [CrossRef]
- Rao, R.V.; Savsani, V.J.; Vakharia, D. Teaching–learning-based optimization: A novel method for constrained mechanical design optimization problems. Comput.-Aided Des. 2011, 43, 303–315. [Google Scholar] [CrossRef]
- Trojovská, E.; Dehghani, M. A new human-based metahurestic optimization method based on mimicking cooking training. Sci. Rep. 2022, 12, 14861. [Google Scholar] [CrossRef]
- Dehghani, M.; Trojovský, P. Teamwork Optimization Algorithm: A New Optimization Approach for Function Minimization/Maximization. Sensors 2021, 21, 4567. [Google Scholar] [CrossRef]
- Ayyarao, T.L.; RamaKrishna, N.; Elavarasam, R.M.; Polumahanthi, N.; Rambabu, M.; Saini, G.; Khan, B.; Alatas, B. War Strategy Optimization Algorithm: A New Effective Metaheuristic Algorithm for Global Optimization. IEEE Access 2022, 10, 25073–25105. [Google Scholar] [CrossRef]
- Braik, M.; Ryalat, M.H.; Al-Zoubi, H. A novel meta-heuristic algorithm for solving numerical optimization problems: Ali Baba and the forty thieves. Neural Comput. Appl. 2022, 34, 409–455. [Google Scholar] [CrossRef]
- Mohamed, A.W.; Hadi, A.A.; Mohamed, A.K. Gaining-sharing knowledge based algorithm for solving optimization problems: A novel nature-inspired algorithm. Int. J. Mach. Learn. Cybern. 2020, 11, 1501–1529. [Google Scholar] [CrossRef]
- Al-Betar, M.A.; Alyasseri, Z.A.A.; Awadallah, M.A.; Abu Doush, I. Coronavirus herd immunity optimizer (CHIO). Neural Comput. Appl. 2021, 33, 5011–5042. [Google Scholar] [CrossRef] [PubMed]
- Dehghani, M.; Montazeri, Z.; Givi, H.; Guerrero, J.M.; Dhiman, G. Darts game optimizer: A new optimization technique based on darts game. Int. J. Intell. Eng. Syst. 2020, 13, 286–294. [Google Scholar] [CrossRef]
- Montazeri, Z.; Niknam, T.; Aghaei, J.; Malik, O.P.; Dehghani, M.; Dhiman, G. Golf Optimization Algorithm: A New Game-Based Metaheuristic Algorithm and Its Application to Energy Commitment Problem Considering Resilience. Biomimetics 2023, 8, 386. [Google Scholar] [CrossRef]
- Zeidabadi, F.A.; Dehghani, M. POA: Puzzle Optimization Algorithm. Int. J. Intell. Eng. Syst. 2022, 15, 273–281. [Google Scholar]
- Moghdani, R.; Salimifard, K. Volleyball premier league algorithm. Appl. Soft Comput. 2018, 64, 161–185. [Google Scholar] [CrossRef]
- Ma, B.; Hu, Y.; Lu, P.; Liu, Y. Running city game optimizer: A game-based metaheuristic optimization algorithm for global optimization. J. Comput. Des. Eng. 2023, 10, 65–107. [Google Scholar] [CrossRef]
- Kaveh, A.; Zolghadr, A. A Novel Meta-Heuristic Algorithm: Tug of War Optimization. Int. J. Optim. Civ. Eng. 2016, 6, 469–492. [Google Scholar]
- John R, P.; Eschmeyer, W.N. Encyclopedia of Fishes, 2nd ed.; Academic Press: San Diego, CA, USA, 1998. [Google Scholar]
- Brainerd, E.L.; Patek, S.N. Vertebral column morphology, C-start curvature, and the evolution of mechanical defenses in tetraodontiform fishes. Copeia 1998, 1998, 971–984. [Google Scholar] [CrossRef]
- Awad, N.; Ali, M.; Liang, J.; Qu, B.; Suganthan, P.; Definitions, P. Evaluation criteria for the CEC 2017 special session and competition on single objective real-parameter numerical optimization. Technol. Rep. 2016. [Google Scholar]
- Wilcoxon, F. Individual Comparisons by Ranking Methods. In Breakthroughs in Statistics; Springer: Berlin/Heidelberg, Germany, 1992; pp. 196–202. [Google Scholar]
- Das, S.; Suganthan, P.N. Problem Definitions and Evaluation Criteria for CEC 2011 Competition on Testing Evolutionary Algorithms on Real World Optimization Problems; Jadavpur University, Nanyang Technological University: Kolkata, India, 2010; pp. 341–359. [Google Scholar]
- Kannan, B.; Kramer, S.N. An augmented Lagrange multiplier based method for mixed integer discrete continuous optimization and its applications to mechanical design. J. Mech. Des. 1994, 116, 405–411. [Google Scholar] [CrossRef]
- Gandomi, A.H.; Yang, X.-S. Benchmark Problems in Structural Optimization. In Computational Optimization, Methods and Algorithms; Springer: Berlin/Heidelberg, Germany, 2011; pp. 259–281. [Google Scholar]
- Mezura-Montes, E.; Coello, C.A.C. Useful Infeasible Solutions in Engineering Optimization with Evolutionary Algorithms. In Proceedings of the Mexican International Conference on Artificial Intelligence, Monterrey, Mexico, 14–18 November 2005; Springer: Berlin/Heidelberg, Germany, 2005; pp. 652–662. [Google Scholar]



















| Algorithm | Parameter | Value |
|---|---|---|
| GA | ||
| Type | Real coded | |
| Selection | Roulette wheel (Proportionate) | |
| Crossover | Whole arithmetic (Probability = 0.8, ) | |
| Mutation | Gaussian (Probability = 0.05) | |
| PSO | ||
| Topology | Fully connected | |
| Cognitive and social constant | (C1, C2) | |
| Inertia weight | Linear reduction from 0.9 to 0.1 | |
| Velocity limit | 10% of dimension range | |
| GSA | ||
| Alpha, G0, Rnorm, Rpower | 20, 100, 2, 1 | |
| TLBO | ||
| TF: teaching factor | TF = round | |
| random number | rand is a random number between | |
| GWO | ||
| Convergence parameter (a) | a: Linear reduction from 2 to 0. | |
| MVO | ||
| Wormhole existence probability (WEP) | Min(WEP) = 0.2 and Max(WEP) = 1. | |
| Exploitation accuracy over the iterations (p) | . | |
| WOA | ||
| Convergence parameter (a) | a: Linear reduction from 2 to 0. | |
| r is a random vector in | ||
| l is a random number in | ||
| TSA | ||
| Pmin and Pmax | 1, 4 | |
| c1, c2, c3 | Random numbers lie in the range of | |
| MPA | ||
| Constant number | P = 0.5 | |
| Random vector | R is a vector of uniform random numbers in | |
| Fish Aggregating Devices (FADs) | FADs = 0.2 | |
| Binary vector | U = 0 or 1 | |
| RSA | ||
| Sensitive parameter | ||
| Sensitive parameter | ||
| Evolutionary Sense (ES) | ES: randomly decreasing values between 2 and −2 | |
| AVOA | ||
| L1, L2 | 0.8, 0.2 | |
| w | 2.5 | |
| P1, P2, P3 | 0.6, 0.4, 0.6 | |
| WSO | ||
| Fmin and Fmax | 0.07, 0.75 | |
| τ, ao, a1, a2 | 4.125, 6.25, 100, 0.0005 |
| POA | WSO | AVOA | RSA | MPA | TSA | WOA | MVO | GWO | TLBO | GSA | PSO | GA | ||
|---|---|---|---|---|---|---|---|---|---|---|---|---|---|---|
| C17-F1 | mean | 100 | 4.55 × 109 | 3225.251 | 8.52 × 109 | 29,456,372 | 1.45 × 109 | 5,384,532 | 6295.129 | 73,640,145 | 1.23 × 108 | 639.77 | 2641.639 | 9,894,286 |
| best | 100 | 3.82 × 109 | 113.0384 | 7.37 × 109 | 9369.202 | 3.11 × 108 | 3,920,729 | 4010.164 | 23,221.73 | 54,735,477 | 100.0161 | 305.0863 | 5,123,646 | |
| worst | 100 | 5.71 × 109 | 9961.716 | 1.02 × 1010 | 1.07 × 108 | 3.17 × 109 | 7,089,395 | 9268.077 | 2.68 × 108 | 2.96 × 108 | 1510.948 | 7789.605 | 14,204,094 | |
| std | 0 | 8.41 × 108 | 4725.098 | 1.29 × 109 | 53,343,077 | 1.31 × 109 | 1,377,344 | 2529.889 | 1.33 × 108 | 1.2 × 108 | 626.9959 | 3559.58 | 3,898,254 | |
| median | 100 | 4.34 × 109 | 1413.125 | 8.29 × 109 | 5,399,185 | 1.17 × 109 | 5,264,003 | 5951.137 | 13,496,678 | 70,182,972 | 474.0581 | 1235.933 | 10,124,702 | |
| rank | 1 | 12 | 4 | 13 | 8 | 11 | 6 | 5 | 9 | 10 | 2 | 3 | 7 | |
| C17-F3 | mean | 300 | 6378.9 | 301.5805 | 8102.009 | 1224.369 | 9399.415 | 1493.376 | 300.0456 | 2610.921 | 655.7709 | 8611.105 | 300 | 12,379.73 |
| best | 300 | 3479.574 | 300 | 4391.427 | 710.0549 | 3610.069 | 566.4824 | 300.0106 | 1325.137 | 442.915 | 5437.139 | 300 | 3679.862 | |
| worst | 300 | 8532.601 | 303.3805 | 10,823.2 | 2165.316 | 13,268.46 | 2829.352 | 300.1038 | 4963.289 | 794.8168 | 11,686.32 | 300 | 19,538.86 | |
| std | 0 | 2278.712 | 1.88337 | 3020.559 | 689.6101 | 4212.539 | 1094.985 | 0.042055 | 1724.025 | 158.4443 | 2647.296 | 4.77 × 10−14 | 8508.885 | |
| median | 1.310345 | 10.96552 | 6.103448 | 12.06897 | 3.655172 | 9.862069 | 8.241379 | 4 | 6.482759 | 6.586207 | 8.206897 | 6.310345 | 6.793103 | |
| rank | 1 | 9 | 4 | 10 | 6 | 12 | 7 | 3 | 8 | 5 | 11 | 2 | 13 | |
| C17-F4 | mean | 400 | 832.9399 | 403.9689 | 1194.33 | 405.6187 | 547.3643 | 421.0073 | 402.7854 | 409.8048 | 407.6604 | 403.8033 | 416.9675 | 412.2951 |
| best | 400 | 627.2234 | 401.0368 | 771.6337 | 402.0435 | 465.0221 | 405.381 | 401.3315 | 405.0867 | 407.0049 | 402.975 | 400.0883 | 409.7553 | |
| worst | 400 | 1019.23 | 405.4518 | 1608.364 | 409.5054 | 643.505 | 461.4439 | 404.0891 | 423.6902 | 408.0743 | 405.0755 | 458.7854 | 415.4025 | |
| std | 0 | 180.4109 | 2.136488 | 366.8366 | 3.780469 | 89.85733 | 27.77266 | 1.472703 | 9.507988 | 0.471 | 0.989405 | 28.92907 | 2.538467 | |
| median | 400 | 842.6533 | 404.6935 | 1198.66 | 405.4629 | 540.4651 | 408.6021 | 402.8604 | 405.2212 | 407.7813 | 403.5813 | 404.4981 | 412.0112 | |
| rank | 1 | 12 | 4 | 13 | 5 | 11 | 10 | 2 | 7 | 6 | 3 | 9 | 8 | |
| C17-F5 | mean | 501.2464 | 552.1378 | 537.357 | 561.6212 | 511.0763 | 554.4922 | 534.7626 | 520.197 | 511.1956 | 528.9305 | 545.6336 | 523.7417 | 523.836 |
| best | 500.9951 | 539.7089 | 522.8013 | 549.3927 | 507.3653 | 536.6275 | 519.9448 | 508.7872 | 507.3485 | 524.2608 | 541.4915 | 509.5614 | 519.8255 | |
| worst | 501.9917 | 560.5654 | 553.1728 | 574.2389 | 515.3498 | 581.634 | 565.1408 | 532.364 | 517.3034 | 531.87 | 555.5081 | 543.8277 | 528.6581 | |
| std | 0.510361 | 9.580768 | 16.32801 | 14.21183 | 4.349562 | 20.50914 | 21.74587 | 10.11023 | 4.390641 | 3.433171 | 6.847497 | 16.20352 | 4.062694 | |
| median | 500.9993 | 554.1385 | 536.7271 | 561.4266 | 510.7951 | 549.8536 | 526.9824 | 519.8183 | 510.0652 | 529.7956 | 542.7673 | 520.7889 | 523.4302 | |
| rank | 1 | 11 | 9 | 13 | 2 | 12 | 8 | 4 | 3 | 7 | 10 | 5 | 6 | |
| C17-F6 | mean | 600 | 627.3309 | 614.6691 | 634.4767 | 601.0111 | 621.0302 | 619.6218 | 601.8208 | 600.9545 | 605.8124 | 614.5724 | 606.2928 | 608.69 |
| best | 600 | 623.5055 | 613.8184 | 631.7558 | 600.6021 | 612.7676 | 606.3745 | 600.3998 | 600.5048 | 604.0305 | 602.47 | 601.1473 | 605.8484 | |
| worst | 600 | 631.2956 | 616.8301 | 638.0792 | 602.0311 | 634.2348 | 638.2827 | 603.6532 | 601.4559 | 608.5909 | 630.6117 | 616.3121 | 612.2851 | |
| std | 0 | 3.472219 | 1.484036 | 2.918649 | 0.700246 | 9.511675 | 13.80004 | 1.501618 | 0.404385 | 2.135493 | 13.37183 | 7.064953 | 2.930533 | |
| median | 600 | 627.2613 | 614.0139 | 634.0359 | 600.7057 | 618.5592 | 616.915 | 601.6152 | 600.9287 | 605.3141 | 612.604 | 603.856 | 608.3133 | |
| rank | 1 | 12 | 9 | 13 | 3 | 11 | 10 | 4 | 2 | 5 | 8 | 6 | 7 | |
| C17-F7 | mean | 711.1267 | 783.4441 | 757.2336 | 790.1017 | 722.5726 | 810.5305 | 754.2906 | 727.8586 | 723.7378 | 745.795 | 716.2033 | 729.4378 | 732.9366 |
| best | 710.6726 | 769.04 | 738.836 | 778.8415 | 719.0263 | 776.5166 | 745.0046 | 716.3701 | 716.5132 | 741.9062 | 714.3682 | 723.4728 | 724.2721 | |
| worst | 711.7995 | 793.0312 | 780.7714 | 800.7603 | 726.2643 | 845.5942 | 779.3306 | 744.1291 | 738.5278 | 752.6074 | 719.2987 | 739.1632 | 736.7494 | |
| std | 0.526035 | 10.46384 | 19.76913 | 10.5544 | 3.115174 | 30.80953 | 17.19406 | 12.0106 | 10.37385 | 4.88509 | 2.205896 | 7.383528 | 6.02182 | |
| median | 711.0174 | 785.8527 | 754.6635 | 790.4025 | 722.4998 | 810.0057 | 746.4136 | 725.4676 | 719.955 | 744.3332 | 715.5731 | 727.5577 | 735.3625 | |
| rank | 1 | 11 | 10 | 12 | 3 | 13 | 9 | 5 | 4 | 8 | 2 | 6 | 7 | |
| C17-F8 | mean | 801.4928 | 840.4137 | 826.6076 | 845.7371 | 810.9673 | 841.1529 | 831.0484 | 810.2577 | 813.6633 | 832.19 | 817.0678 | 819.5292 | 814.4624 |
| best | 800.995 | 835.9776 | 817.349 | 836.3057 | 807.6532 | 827.5049 | 815.903 | 806.4482 | 809.0741 | 826.2583 | 810.3401 | 813.4552 | 811.0084 | |
| worst | 801.9912 | 845.801 | 839.933 | 850.1049 | 812.8626 | 857.434 | 841.4662 | 814.2402 | 817.8153 | 838.8887 | 823.5791 | 825.0745 | 820.994 | |
| std | 0.590448 | 5.260983 | 9.771921 | 6.548268 | 2.434302 | 13.71341 | 11.28228 | 3.284991 | 3.76151 | 6.627541 | 5.787728 | 5.924469 | 4.572311 | |
| median | 801.4926 | 839.938 | 824.5741 | 848.2689 | 811.6767 | 839.8363 | 833.4122 | 810.1712 | 813.8819 | 831.8065 | 817.1759 | 819.7935 | 812.9235 | |
| rank | 1 | 11 | 8 | 13 | 3 | 12 | 9 | 2 | 4 | 10 | 6 | 7 | 5 | |
| C17-F9 | mean | 900 | 1342.665 | 1144.15 | 1380.729 | 904.4051 | 1307.355 | 1302.765 | 900.6792 | 910.1139 | 910.0229 | 900 | 903.5951 | 904.3318 |
| best | 900 | 1213.579 | 945.5294 | 1299.548 | 900.2775 | 1127.127 | 1047.555 | 900.0009 | 900.4858 | 906.1292 | 900 | 900.7621 | 902.3713 | |
| worst | 900 | 1461.794 | 1545.028 | 1497.235 | 911.3074 | 1551.625 | 1540.964 | 902.6395 | 928.0779 | 916.9536 | 900 | 910.4403 | 907.6936 | |
| std | 0 | 110.3068 | 285.318 | 86.45428 | 5.099179 | 188.6618 | 213.3405 | 1.342755 | 13.29542 | 4.886051 | 0 | 4.746802 | 2.472394 | |
| median | 900 | 1347.644 | 1043.021 | 1363.067 | 903.0177 | 1275.335 | 1311.271 | 900.0381 | 905.9459 | 908.5044 | 900 | 901.589 | 903.6311 | |
| rank | 1 | 11 | 8 | 12 | 5 | 10 | 9 | 2 | 7 | 6 | 1 | 3 | 4 | |
| C17-F10 | mean | 1006.179 | 2094.711 | 1653.575 | 2325.702 | 1434.373 | 1867.549 | 1861.168 | 1656.066 | 1609.581 | 1984.581 | 2073.645 | 1794.689 | 1601.404 |
| best | 1000.284 | 1844.829 | 1407.465 | 2183.265 | 1329.997 | 1635.581 | 1379.004 | 1382.572 | 1453.891 | 1657.353 | 1839.94 | 1472.001 | 1349.864 | |
| worst | 1012.668 | 2216.253 | 2188.593 | 2626.801 | 1496.489 | 2080.065 | 2300.463 | 2076.287 | 1832.601 | 2225.617 | 2161.619 | 2134.667 | 1932.365 | |
| std | 6.836865 | 177.0655 | 377.3195 | 212.4787 | 80.45788 | 240.0084 | 458.2015 | 344.9953 | 165.4887 | 248.0571 | 160.3531 | 279.4831 | 256.8364 | |
| median | 1005.882 | 2158.882 | 1509.12 | 2246.371 | 1455.502 | 1877.275 | 1882.603 | 1582.703 | 1575.916 | 2027.676 | 2146.51 | 1786.043 | 1561.693 | |
| rank | 1 | 12 | 5 | 13 | 2 | 9 | 8 | 6 | 4 | 10 | 11 | 7 | 3 | |
| C17-F11 | mean | 1100 | 3052.848 | 1140.664 | 3518.066 | 1122.675 | 4754.993 | 1142.722 | 1123.061 | 1146.339 | 1142.683 | 1132.859 | 1136.493 | 2175.454 |
| best | 1100 | 2007.707 | 1114.294 | 1400.652 | 1111.067 | 4630.721 | 1110.865 | 1104.65 | 1118.127 | 1131.718 | 1116.47 | 1127.039 | 1112.613 | |
| worst | 1100 | 4072.84 | 1185.335 | 5609.441 | 1149.281 | 4823.178 | 1161.289 | 1141.008 | 1207.627 | 1160.621 | 1157.526 | 1154.514 | 5190.671 | |
| std | 0 | 952.1951 | 32.11656 | 1942.817 | 18.53391 | 87.85611 | 23.91512 | 18.65818 | 42.85208 | 12.81477 | 17.99745 | 12.70843 | 2065.104 | |
| median | 1100 | 3065.423 | 1131.514 | 3531.087 | 1115.176 | 4783.037 | 1149.367 | 1123.294 | 1129.801 | 1139.198 | 1128.719 | 1132.21 | 1199.267 | |
| rank | 1 | 11 | 6 | 12 | 2 | 13 | 8 | 3 | 9 | 7 | 4 | 5 | 10 | |
| C17-F12 | mean | 1352.959 | 2.97 × 108 | 925,391.7 | 5.93 × 108 | 477,319.8 | 874,188.8 | 1,979,065 | 865,306 | 1,189,969 | 4,247,558 | 857,970 | 7016.058 | 508,801.4 |
| best | 1318.646 | 66,857,398 | 299,477.1 | 1.32 × 108 | 16,909.18 | 453,430 | 144,583.9 | 7633.405 | 38,406.71 | 1,136,852 | 399,108.9 | 2327.135 | 147,522.3 | |
| worst | 1438.176 | 5.19 × 108 | 1,678,010 | 1.04 × 109 | 746,882.4 | 1,073,191 | 3,283,074 | 2,717,573 | 1,862,542 | 7,519,307 | 1,450,813 | 11,928.71 | 897,999.2 | |
| std | 58.85078 | 2.35 × 108 | 662,257.5 | 4.7 × 108 | 330,296.3 | 300,169.8 | 1,498,477 | 1,285,727 | 825,776.5 | 3,472,325 | 457,249.7 | 4491.941 | 316,505.5 | |
| median | 1327.506 | 3.01 × 108 | 862,039.8 | 6.02 × 108 | 572,743.7 | 985,067.2 | 2,244,302 | 368,008.7 | 1,429,464 | 4,167,037 | 790,979.2 | 6904.195 | 494,842 | |
| rank | 1 | 12 | 8 | 13 | 3 | 7 | 10 | 6 | 9 | 11 | 5 | 2 | 4 | |
| C17-F13 | mean | 1305.324 | 14,453,034 | 15,617.23 | 28,897,755 | 4775.974 | 10,914.64 | 6578.518 | 5863.709 | 8864.918 | 14,267.13 | 8673.501 | 5773.513 | 45,976.95 |
| best | 1303.114 | 1,205,133 | 2496.902 | 2,399,357 | 3335.283 | 6585.883 | 2965.887 | 1373.109 | 5677.498 | 13,483.27 | 4451.162 | 2207.669 | 7389.402 | |
| worst | 1308.508 | 47,973,526 | 26,610.71 | 95,934,824 | 5794.402 | 17,170.59 | 12,945.79 | 10,613.54 | 12,301.39 | 16,181.02 | 12,131.5 | 14,257.57 | 151,548.5 | |
| std | 2.334346 | 23,002,094 | 12,803.89 | 46,001,701 | 1204.556 | 4692.115 | 4672.716 | 4916.238 | 2788.105 | 1323.027 | 3334.195 | 5873.675 | 72,330.17 | |
| median | 1304.837 | 4,316,738 | 16,680.66 | 8,628,419 | 4987.106 | 9951.053 | 5201.196 | 5734.095 | 8740.391 | 13,702.11 | 9055.67 | 3314.406 | 12,484.95 | |
| rank | 1 | 12 | 10 | 13 | 2 | 8 | 5 | 4 | 7 | 9 | 6 | 3 | 11 | |
| C17-F14 | mean | 1400.746 | 3425.125 | 1923.395 | 4721.354 | 1854.633 | 3071.795 | 1500.297 | 1544.788 | 2196.524 | 1560.721 | 4905.279 | 2742.875 | 11,128.99 |
| best | 1400 | 2876.326 | 1634.989 | 4160.638 | 1429.482 | 1474.157 | 1469.026 | 1419.609 | 1452.607 | 1497.896 | 4094.539 | 1427.371 | 3357.938 | |
| worst | 1400.995 | 4457.139 | 2601.909 | 6025.968 | 2665.305 | 4920.32 | 1533.639 | 1899.666 | 4398.761 | 1586.247 | 6578.375 | 5981.161 | 21,956.75 | |
| std | 0.510957 | 743.7893 | 468.0622 | 899.962 | 595.2986 | 1882.86 | 33.93495 | 243.0516 | 1507.96 | 43.22455 | 1195.352 | 2235.262 | 8092.2 | |
| median | 1400.995 | 3183.518 | 1728.342 | 4349.405 | 1661.872 | 2946.352 | 1499.262 | 1429.938 | 1467.363 | 1579.371 | 4474.102 | 1781.483 | 9600.644 | |
| rank | 1 | 10 | 6 | 11 | 5 | 9 | 2 | 3 | 7 | 4 | 12 | 8 | 13 | |
| C17-F15 | mean | 1500.331 | 8823.289 | 4695.909 | 11,912.34 | 3583.354 | 6130.176 | 5470.285 | 1535.266 | 5130.307 | 1676.091 | 20,332.03 | 7808.495 | 4066.484 |
| best | 1500.001 | 2966.931 | 1981.77 | 2538.513 | 2950.103 | 2189.717 | 1932.997 | 1521.862 | 3241.986 | 1570.783 | 9684.199 | 2654.209 | 1828.644 | |
| worst | 1500.5 | 14,888.97 | 10,862.78 | 25,783.44 | 4354.214 | 10,794.45 | 11,552.87 | 1545.424 | 6043.794 | 1751.572 | 30,396.01 | 12,686.41 | 6981.342 | |
| std | 0.241803 | 5273.186 | 4255.399 | 10,424.41 | 598.2652 | 3797.989 | 4306.832 | 10.57788 | 1322.269 | 91.12372 | 10,162.76 | 4306.45 | 2631.154 | |
| median | 1500.413 | 8718.629 | 2969.542 | 9663.698 | 3514.55 | 5768.27 | 4197.636 | 1536.889 | 5617.724 | 1691.004 | 20,623.96 | 7946.681 | 3727.975 | |
| rank | 1 | 11 | 6 | 12 | 4 | 9 | 8 | 2 | 7 | 3 | 13 | 10 | 5 | |
| C17-F16 | mean | 1600.76 | 1939.004 | 1776.431 | 1950.451 | 1670.982 | 1976.428 | 1894.978 | 1782.044 | 1708.223 | 1664.815 | 1998.193 | 1872.397 | 1770.358 |
| best | 1600.356 | 1880.829 | 1635.665 | 1784.641 | 1635.301 | 1820.937 | 1738.957 | 1706.622 | 1613.492 | 1642.982 | 1892.192 | 1787.207 | 1699.991 | |
| worst | 1601.12 | 2038.394 | 1874.634 | 2180.76 | 1696.723 | 2131.631 | 2002.906 | 1833.931 | 1789.792 | 1710.474 | 2162.104 | 2006.809 | 1796.503 | |
| std | 0.32447 | 72.16946 | 103.3883 | 171.8207 | 27.14079 | 144.7973 | 128.8395 | 55.29935 | 74.70755 | 32.32517 | 126.0765 | 104.4724 | 48.224 | |
| median | 1600.781 | 1918.398 | 1797.713 | 1918.201 | 1675.953 | 1976.572 | 1919.025 | 1793.812 | 1714.804 | 1652.902 | 1969.237 | 1847.786 | 1792.468 | |
| rank | 1 | 10 | 6 | 11 | 3 | 12 | 9 | 7 | 4 | 2 | 13 | 8 | 5 | |
| C17-F17 | mean | 1700.099 | 1802.856 | 1742.924 | 1799.64 | 1730.095 | 1786.022 | 1819.437 | 1820.178 | 1757.693 | 1749.156 | 1823.538 | 1744.089 | 1747.136 |
| best | 1700.02 | 1788.431 | 1729.01 | 1785.395 | 1718.446 | 1773.277 | 1761.955 | 1766.126 | 1720.64 | 1740.612 | 1740.352 | 1738.531 | 1744.49 | |
| worst | 1700.332 | 1808.997 | 1779.963 | 1807.391 | 1763.055 | 1795.177 | 1859.36 | 1910.802 | 1844.423 | 1757.517 | 1929.847 | 1749.707 | 1749.175 | |
| std | 0.159367 | 9.935453 | 25.42708 | 10.05161 | 22.58051 | 9.661591 | 43.46574 | 70.36918 | 59.68794 | 8.584843 | 99.23511 | 4.911284 | 2.168843 | |
| median | 1700.022 | 1806.997 | 1731.362 | 1802.888 | 1719.44 | 1787.818 | 1828.216 | 1801.892 | 1732.855 | 1749.248 | 1811.976 | 1744.06 | 1747.44 | |
| rank | 1 | 10 | 3 | 9 | 2 | 8 | 11 | 12 | 7 | 6 | 13 | 4 | 5 | |
| C17-F18 | mean | 1805.36 | 2,399,086 | 10,241.21 | 4,782,098 | 9564.09 | 10,411.16 | 19,850.53 | 17,869.42 | 16,995.77 | 25,051.26 | 8441.913 | 18,649.31 | 11,044.94 |
| best | 1800.003 | 123,923.2 | 4355.372 | 237,008.5 | 3779.841 | 6555.448 | 5705.371 | 7595.718 | 5596.977 | 20,423.43 | 5658.557 | 2707.215 | 3173.378 | |
| worst | 1820.451 | 6,951,476 | 13,378.89 | 13,881,607 | 14,152.9 | 13,959.13 | 31,012.63 | 28,581.17 | 28,478.96 | 31,262.26 | 10,239.97 | 34,482.83 | 15,801.01 | |
| std | 10.33599 | 3,247,833 | 4155.94 | 6,493,306 | 4845.014 | 3162.788 | 12,525.29 | 10,147.75 | 11,917.16 | 5120.503 | 2008.171 | 16,847.52 | 5665.568 | |
| median | 1800.492 | 1,260,473 | 11,615.29 | 2,504,888 | 10,161.81 | 10,565.02 | 21,342.07 | 17,650.4 | 16,953.58 | 24,259.68 | 8934.562 | 18,703.59 | 12,602.68 | |
| rank | 1 | 12 | 4 | 13 | 3 | 5 | 10 | 8 | 7 | 11 | 2 | 9 | 6 | |
| C17-F19 | mean | 1900.445 | 325,504.3 | 5935.585 | 591,041.3 | 5003.989 | 105,644.8 | 29,515.62 | 1912.455 | 4823.948 | 4247.239 | 34,230.4 | 21,241.26 | 5494.354 |
| best | 1900.039 | 21,793.92 | 2132.331 | 38,754.53 | 2250.713 | 1941.321 | 6733.843 | 1907.913 | 1937.739 | 2020.488 | 9623.886 | 2508.153 | 2162.926 | |
| worst | 1901.559 | 685,556.3 | 11,420.32 | 1,269,320 | 8208.202 | 210,717.9 | 53,779.76 | 1920.425 | 11,894.35 | 10,787.05 | 49512 | 64,828.83 | 8599.616 | |
| std | 0.764786 | 298,070.4 | 4638.779 | 570,173.4 | 3118.72 | 122,971.7 | 19,836.71 | 6.083054 | 4892.154 | 4478.154 | 18,348.08 | 30,181.34 | 2727.618 | |
| median | 1900.09 | 297,333.5 | 5094.842 | 528,045.5 | 4778.521 | 104,959.9 | 28,774.43 | 1910.741 | 2731.853 | 2090.709 | 38,892.85 | 8814.03 | 5607.437 | |
| rank | 1 | 12 | 7 | 13 | 5 | 11 | 9 | 2 | 4 | 3 | 10 | 8 | 6 | |
| C17-F20 | mean | 2000.312 | 2180.452 | 2143.185 | 2187.214 | 2077.529 | 2174.084 | 2173.426 | 2117.168 | 2142.643 | 2060.475 | 2212.957 | 2141.857 | 2042.189 |
| best | 2000.312 | 2137.814 | 2026.344 | 2138.12 | 2061.102 | 2089.596 | 2082.569 | 2039.442 | 2109.914 | 2051.221 | 2157.634 | 2121.612 | 2030.104 | |
| worst | 2000.312 | 2236.68 | 2247.197 | 2233.726 | 2103.132 | 2269.357 | 2241.644 | 2207.7 | 2206.499 | 2069.219 | 2291.089 | 2168.583 | 2048.706 | |
| std | 0 | 42.30789 | 102.0477 | 48.32448 | 18.49766 | 78.21301 | 78.10245 | 70.95967 | 44.71939 | 7.750585 | 66.68667 | 23.97825 | 8.809191 | |
| median | 2000.312 | 2173.657 | 2149.599 | 2188.505 | 2072.941 | 2168.692 | 2184.746 | 2110.765 | 2127.08 | 2060.729 | 2201.552 | 2138.617 | 2044.974 | |
| rank | 1 | 11 | 8 | 12 | 4 | 10 | 9 | 5 | 7 | 3 | 13 | 6 | 2 | |
| C17-F21 | mean | 2200 | 2276.888 | 2211.596 | 2256.371 | 2248.035 | 2305.12 | 2292.26 | 2244.631 | 2295.146 | 2283.72 | 2341.352 | 2299.769 | 2282.443 |
| best | 2200 | 2238.172 | 2203.467 | 2220.119 | 2245.945 | 2217.83 | 2215.447 | 2200.006 | 2291.612 | 2203.123 | 2326.674 | 2292.999 | 2222.304 | |
| worst | 2200 | 2301.147 | 2232.763 | 2276.984 | 2250.166 | 2344.556 | 2329.374 | 2290.374 | 2299.319 | 2316.211 | 2355.904 | 2306.111 | 2311.539 | |
| std | 0 | 29.46026 | 14.53934 | 25.83102 | 1.834601 | 60.80115 | 53.26074 | 52.93258 | 3.255673 | 55.58281 | 12.54634 | 6.624074 | 41.70537 | |
| median | 2200 | 2284.115 | 2205.076 | 2264.191 | 2248.015 | 2329.046 | 2312.11 | 2244.072 | 2294.826 | 2307.773 | 2341.415 | 2299.982 | 2297.965 | |
| rank | 1 | 6 | 2 | 5 | 4 | 12 | 9 | 3 | 10 | 8 | 13 | 11 | 7 | |
| C17-F22 | mean | 2300.073 | 2634.35 | 2307.561 | 2817.565 | 2304.217 | 2647.819 | 2320.013 | 2288.058 | 2307.239 | 2316.461 | 2300.016 | 2311.164 | 2315.079 |
| best | 2300 | 2534.378 | 2303.667 | 2642.042 | 2300.793 | 2425.338 | 2316.081 | 2240.701 | 2301.065 | 2311.233 | 2300 | 2300.536 | 2312.63 | |
| worst | 2300.29 | 2733.762 | 2309.368 | 2946.395 | 2307.868 | 2822.497 | 2326.426 | 2304.494 | 2318.833 | 2326.313 | 2300.063 | 2338.212 | 2318.869 | |
| std | 0.149013 | 90.41136 | 2.697547 | 131.6308 | 3.057073 | 182.0508 | 4.737604 | 32.43726 | 8.39374 | 7.097258 | 0.032379 | 18.56028 | 2.740047 | |
| median | 2300 | 2634.631 | 2308.604 | 2840.912 | 2304.104 | 2671.721 | 2318.773 | 2303.519 | 2304.53 | 2314.148 | 2300 | 2302.954 | 2314.408 | |
| rank | 3 | 11 | 6 | 13 | 4 | 12 | 10 | 1 | 5 | 9 | 2 | 7 | 8 | |
| C17-F23 | mean | 2600.919 | 2675.602 | 2635.603 | 2684.856 | 2612.206 | 2704.076 | 2641.197 | 2617.205 | 2611.715 | 2636.003 | 2761.645 | 2637.469 | 2647.453 |
| best | 2600.003 | 2646.262 | 2626.198 | 2660.766 | 2610.465 | 2629.043 | 2626.035 | 2606.13 | 2607.025 | 2626.737 | 2706.83 | 2631.721 | 2630.546 | |
| worst | 2602.87 | 2692.243 | 2650.446 | 2718.92 | 2614.369 | 2741.335 | 2658.505 | 2626.838 | 2617.257 | 2644.148 | 2878.017 | 2647.364 | 2654.735 | |
| std | 1.356104 | 22.27213 | 11.80346 | 27.9914 | 1.988046 | 52.16587 | 17.88037 | 9.21113 | 5.534287 | 7.906614 | 82.549 | 7.351876 | 11.7669 | |
| median | 2600.403 | 2681.952 | 2632.883 | 2679.868 | 2611.995 | 2722.963 | 2640.125 | 2617.926 | 2611.288 | 2636.562 | 2730.867 | 2635.396 | 2652.266 | |
| rank | 1 | 10 | 5 | 11 | 3 | 12 | 8 | 4 | 2 | 6 | 13 | 7 | 9 | |
| C17-F24 | mean | 2630.488 | 2762.071 | 2745.924 | 2815.196 | 2630.627 | 2662.311 | 2740.035 | 2674.963 | 2730.073 | 2736.013 | 2728.969 | 2744.203 | 2708.47 |
| best | 2516.677 | 2708.447 | 2704.758 | 2780.272 | 2600.833 | 2541.706 | 2699.899 | 2503.766 | 2691.635 | 2707.8 | 2509.432 | 2723.673 | 2568.696 | |
| worst | 2732.32 | 2835.794 | 2776.692 | 2882.878 | 2652.69 | 2798.978 | 2781.865 | 2754.804 | 2755.634 | 2760.795 | 2871.458 | 2777.392 | 2798.205 | |
| std | 119.6573 | 55.18024 | 30.9873 | 48.1502 | 25.83034 | 134.8991 | 37.08252 | 119.6302 | 28.56004 | 28.06907 | 159.5899 | 26.51961 | 100.7278 | |
| median | 2636.477 | 2752.021 | 2751.124 | 2798.817 | 2634.491 | 2654.28 | 2739.188 | 2720.64 | 2736.512 | 2737.728 | 2767.493 | 2737.874 | 2733.49 | |
| rank | 1 | 12 | 11 | 13 | 2 | 3 | 9 | 4 | 7 | 8 | 6 | 10 | 5 | |
| C17-F25 | mean | 2932.639 | 3104.863 | 2916.531 | 3222.13 | 2920.238 | 3101.7 | 2911.526 | 2923.775 | 2937.735 | 2933.388 | 2923.919 | 2924.813 | 2949.13 |
| best | 2898.047 | 3047.474 | 2898.929 | 3166.094 | 2913.328 | 2911.802 | 2793.487 | 2907.692 | 2925.184 | 2913.237 | 2909.09 | 2898.569 | 2931.825 | |
| worst | 2945.793 | 3232.527 | 2948.134 | 3280.582 | 2926.531 | 3537.034 | 2954.542 | 2943.657 | 2945.485 | 2950.891 | 2943.393 | 2946.433 | 2959.685 | |
| std | 23.71545 | 89.3546 | 22.24281 | 48.57388 | 5.736208 | 301.5004 | 80.86904 | 19.04683 | 9.501574 | 19.65598 | 17.75496 | 25.26368 | 12.48227 | |
| median | 2943.359 | 3069.725 | 2909.53 | 3220.923 | 2920.547 | 2978.982 | 2949.038 | 2921.876 | 2940.134 | 2934.712 | 2921.596 | 2927.126 | 2952.505 | |
| rank | 7 | 12 | 2 | 13 | 3 | 11 | 1 | 4 | 9 | 8 | 5 | 6 | 10 | |
| C17-F26 | mean | 2900 | 3453.143 | 2967.207 | 3620.709 | 2993.976 | 3506.647 | 3138.198 | 2900.124 | 3207.466 | 3158.072 | 3709.372 | 2903.417 | 2897.657 |
| best | 2900 | 3178.785 | 2821.729 | 3348.132 | 2893.364 | 3105.541 | 2922.904 | 2900.095 | 2958.264 | 2910.145 | 2821.729 | 2821.729 | 2737.911 | |
| worst | 2900 | 3636.374 | 3116.144 | 3904.391 | 3231.247 | 4052.733 | 3484.204 | 2900.163 | 3747.685 | 3721.239 | 4119.597 | 2991.938 | 3076.415 | |
| std | 3.81 × 10−13 | 208.2441 | 172.5583 | 246.3436 | 163.2219 | 475.7115 | 252.054 | 0.030928 | 373.311 | 388.1521 | 617.6728 | 71.48489 | 176.0918 | |
| median | 2900 | 3498.708 | 2965.477 | 3615.157 | 2925.647 | 3434.157 | 3072.842 | 2900.12 | 3061.957 | 3000.451 | 3948.081 | 2900 | 2888.152 | |
| rank | 2 | 10 | 5 | 12 | 6 | 11 | 7 | 3 | 9 | 8 | 13 | 4 | 1 | |
| C17-F27 | mean | 3089.518 | 3190.876 | 3115.176 | 3208.701 | 3102.289 | 3165.276 | 3178.234 | 3091.294 | 3111.9 | 3111.042 | 3204.412 | 3128.703 | 3148.844 |
| best | 3089.518 | 3150.567 | 3094.39 | 3121.245 | 3091.812 | 3100.385 | 3164.856 | 3089.68 | 3093.658 | 3094.456 | 3194.176 | 3095.896 | 3114.621 | |
| worst | 3089.518 | 3259.329 | 3166.45 | 3370.363 | 3126.797 | 3200.841 | 3188.133 | 3094.102 | 3162.963 | 3158.321 | 3222.553 | 3168.53 | 3198.444 | |
| std | 2.7 × 10−13 | 48.5967 | 35.21142 | 113.3577 | 16.90366 | 46.74527 | 9.978096 | 2.136325 | 34.99952 | 32.38107 | 12.96996 | 31.37261 | 36.39941 | |
| median | 3089.518 | 3176.804 | 3099.932 | 3171.599 | 3095.273 | 3179.939 | 3179.972 | 3090.697 | 3095.489 | 3095.696 | 3200.46 | 3125.193 | 3141.156 | |
| rank | 1 | 11 | 6 | 13 | 3 | 9 | 10 | 2 | 5 | 4 | 12 | 7 | 8 | |
| C17-F28 | mean | 3100 | 3514.354 | 3214.418 | 3670.974 | 3199.652 | 3508.782 | 3257.035 | 3216.62 | 3305.907 | 3289.216 | 3394.852 | 3272.889 | 3223.029 |
| best | 3100 | 3476.288 | 3100 | 3601.782 | 3156.265 | 3362.699 | 3144.295 | 3100.104 | 3179.602 | 3195.809 | 3383.704 | 3164.824 | 3137.728 | |
| worst | 3100 | 3541.169 | 3344.066 | 3720.92 | 3220.577 | 3684.645 | 3344.495 | 3344.066 | 3362.306 | 3344.269 | 3410.343 | 3344.246 | 3447.511 | |
| std | 0 | 29.78092 | 110.8815 | 56.79583 | 30.57208 | 171.5013 | 105.6768 | 138.4256 | 87.16382 | 72.781 | 12.67838 | 83.55076 | 154.2956 | |
| median | 3100 | 3519.979 | 3206.803 | 3680.597 | 3210.882 | 3493.892 | 3269.675 | 3211.154 | 3340.86 | 3308.394 | 3392.68 | 3291.243 | 3153.438 | |
| rank | 1 | 12 | 3 | 13 | 2 | 11 | 6 | 4 | 9 | 8 | 10 | 7 | 5 | |
| C17-F29 | mean | 3132.241 | 3306.737 | 3260.455 | 3336.776 | 3191.911 | 3219.805 | 3314.628 | 3191.559 | 3244.171 | 3199.94 | 3312.094 | 3244.905 | 3220.644 |
| best | 3130.076 | 3288.739 | 3197.72 | 3276.369 | 3160.311 | 3161.023 | 3219.005 | 3140.557 | 3181.05 | 3160.038 | 3218.075 | 3161.935 | 3179.846 | |
| worst | 3134.841 | 3320.542 | 3328.725 | 3392.986 | 3227.229 | 3278.448 | 3438.587 | 3261.751 | 3340.734 | 3219.468 | 3555.08 | 3314.906 | 3261.648 | |
| std | 2.549599 | 13.65937 | 69.3717 | 61.79221 | 30.11811 | 49.33958 | 94.5213 | 52.61156 | 78.09502 | 28.5812 | 167.0404 | 71.15231 | 35.44834 | |
| median | 3132.023 | 3308.834 | 3257.687 | 3338.874 | 3190.052 | 3219.874 | 3300.46 | 3181.964 | 3227.45 | 3210.127 | 3237.611 | 3251.389 | 3220.542 | |
| rank | 1 | 10 | 9 | 13 | 3 | 5 | 12 | 2 | 7 | 4 | 11 | 8 | 6 | |
| C17-F30 | mean | 3418.734 | 1,893,250 | 247,550.8 | 3,081,076 | 348,132.8 | 515,542.3 | 832,010.7 | 254,381.3 | 784,805.7 | 51,366.55 | 656,487.9 | 325,092.3 | 1,280,488 |
| best | 3394.682 | 1,395,567 | 88,283.28 | 694,121.4 | 13,900.54 | 94,669.51 | 4300.199 | 6784.595 | 28,699.43 | 25,097.75 | 504,846.8 | 5916.503 | 441,195.3 | |
| worst | 3442.907 | 2,702,421 | 644,006.3 | 4,866,186 | 513,544.8 | 1,089,459 | 3,139,392 | 968,316.2 | 1,135,568 | 85,836.23 | 838,197.2 | 644,037 | 2,916,441 | |
| std | 28.52304 | 582,331.1 | 272,203.3 | 1,794,176 | 233,063.8 | 434,164.2 | 1,581,899 | 489,011.3 | 534,148.8 | 30,469.33 | 142,278.9 | 377,756.8 | 1,198,358 | |
| median | 3418.673 | 1,737,505 | 128,956.8 | 3,381,998 | 432,543 | 439,020.4 | 92,175.23 | 21,212.13 | 987,477.9 | 47,266.11 | 641,453.7 | 325,207.8 | 882,158.5 | |
| rank | 1 | 12 | 3 | 13 | 6 | 7 | 10 | 4 | 9 | 2 | 8 | 5 | 11 | |
| Sum rank | 38 | 318 | 177 | 350 | 106 | 286 | 239 | 116 | 188 | 191 | 238 | 183 | 197 | |
| Mean rank | 1.310345 | 10.96552 | 6.103448 | 12.06897 | 3.655172 | 9.862069 | 8.241379 | 4 | 6.482759 | 6.586207 | 8.206897 | 6.310345 | 6.793103 | |
| Total rank | 1 | 12 | 4 | 13 | 2 | 11 | 10 | 3 | 6 | 7 | 9 | 5 | 8 | |
| POA | WSO | AVOA | RSA | MPA | TSA | WOA | MVO | GWO | TLBO | GSA | PSO | GA | ||
|---|---|---|---|---|---|---|---|---|---|---|---|---|---|---|
| C17-F1 | mean | 100 | 2.19 × 1010 | 2613.281 | 3.43 × 1010 | 22,347.55 | 1.49 × 1010 | 1.42 × 109 | 448,448 | 1.39 × 109 | 5.15 × 109 | 8,761,210 | 1.17 × 109 | 1.49 × 108 |
| best | 100 | 1.89 × 1010 | 249.9507 | 3.06 × 1010 | 10,293.31 | 9.38 × 109 | 1.12 × 109 | 348,397.6 | 2.29 × 108 | 3.25 × 109 | 2127.199 | 3140.724 | 1.11 × 108 | |
| worst | 100 | 2.74 × 1010 | 6400.558 | 4.22 × 1010 | 33,968.45 | 2.04 × 1010 | 1.76 × 109 | 570,375.9 | 4.19 × 109 | 7.67 × 109 | 30,586,212 | 4.68 × 109 | 2.05 × 108 | |
| std | 8.43 × 10−15 | 4.1 × 109 | 2961.181 | 5.49 × 109 | 11,751.58 | 5.27 × 109 | 3.38 × 108 | 112,689.2 | 1.93 × 109 | 1.9 × 109 | 15,098,863 | 2.4 × 109 | 41,823,286 | |
| median | 100 | 2.07 × 1010 | 1901.307 | 3.22 × 1010 | 22,564.22 | 1.5 × 1010 | 1.4 × 109 | 437,509.3 | 5.74 × 108 | 4.83 × 109 | 2,228,251 | 2,665,370 | 1.39 × 108 | |
| rank | 1 | 12 | 2 | 13 | 3 | 11 | 9 | 4 | 8 | 10 | 5 | 7 | 6 | |
| C17-F3 | mean | 300 | 81,233.41 | 37,329.8 | 61,434.22 | 969.2666 | 39,412.41 | 193,462.9 | 1530.474 | 34,798.53 | 28,973.43 | 79,991.48 | 26,646.5 | 139,514.4 |
| best | 300 | 74,187.68 | 20,290.72 | 47,586.37 | 759.5804 | 37,343.78 | 160,065.6 | 1213.136 | 30,406.4 | 24,674.27 | 68,874.59 | 19,026.26 | 105,582.7 | |
| worst | 300 | 89,185.68 | 48,259.67 | 66,731.14 | 1181.838 | 41,525.55 | 222,246.5 | 2083.641 | 38,857.75 | 31,375.4 | 88,084.82 | 34,209.61 | 193,825.8 | |
| std | 0 | 7603.304 | 12,317.32 | 9512.63 | 194.7523 | 2152.061 | 26,564.6 | 396.5439 | 3561.027 | 3099.143 | 8899.439 | 7103.868 | 43,017.94 | |
| median | 300 | 80,780.14 | 40,384.41 | 65,709.68 | 967.8242 | 39,390.15 | 195,769.8 | 1412.559 | 34,964.98 | 29,922.02 | 81,503.25 | 26,675.06 | 129,324.6 | |
| rank | 1 | 11 | 7 | 9 | 2 | 8 | 13 | 3 | 6 | 5 | 10 | 4 | 12 | |
| C17-F4 | mean | 458.5616 | 5454.175 | 505.3711 | 8271.423 | 487.4112 | 3867.585 | 790.9394 | 490.4413 | 553.0887 | 833.3965 | 572.1942 | 596.6992 | 753.4735 |
| best | 458.5616 | 3096.677 | 486.3042 | 5328.848 | 478.6691 | 949.7377 | 736.6592 | 483.8844 | 506.6625 | 660.6389 | 555.214 | 506.2318 | 709.9571 | |
| worst | 458.5616 | 7356.503 | 520.5268 | 11,531.91 | 505.5639 | 6379.264 | 858.7068 | 501.689 | 579.2485 | 1167.212 | 591.7098 | 754.0269 | 773.3006 | |
| std | 0 | 1813.388 | 14.58486 | 2644.597 | 12.6856 | 2355.048 | 57.19553 | 8.087422 | 32.75768 | 232.9876 | 16.34613 | 116.8234 | 30.48773 | |
| median | 458.5616 | 5681.76 | 507.3267 | 8112.464 | 482.706 | 4070.67 | 784.1958 | 488.0959 | 563.2219 | 752.8677 | 570.9265 | 563.2689 | 765.3182 | |
| rank | 1 | 12 | 4 | 13 | 2 | 11 | 9 | 3 | 5 | 10 | 6 | 7 | 8 | |
| C17-F5 | mean | 502.4874 | 788.675 | 688.8314 | 821.4349 | 569.9836 | 746.1304 | 770.5924 | 600.2459 | 602.3281 | 726.4291 | 686.6635 | 611.2496 | 669.5814 |
| best | 500.995 | 772.1701 | 658.1836 | 799.8365 | 551.0609 | 722.4248 | 746.244 | 587.598 | 568.2726 | 707.4411 | 670.418 | 590.5804 | 628.3879 | |
| worst | 503.9798 | 806.4481 | 737.7376 | 849.8832 | 588.9952 | 774.1923 | 781.9335 | 629.526 | 626.3604 | 748.2691 | 708.7927 | 652.7534 | 722.3131 | |
| std | 1.319286 | 14.65498 | 36.97029 | 24.54438 | 16.31498 | 25.13527 | 16.8415 | 20.18613 | 29.46007 | 20.29882 | 17.62707 | 28.98926 | 39.98674 | |
| median | 502.4874 | 788.041 | 679.7021 | 818.0099 | 569.9392 | 743.9522 | 777.0961 | 591.9299 | 607.3398 | 725.0032 | 683.7216 | 600.8324 | 663.8123 | |
| rank | 1 | 12 | 8 | 13 | 2 | 10 | 11 | 3 | 4 | 9 | 7 | 5 | 6 | |
| C17-F6 | mean | 600 | 666.4978 | 638.8884 | 669.1329 | 602.7229 | 664.118 | 663.4798 | 620.3129 | 609.9019 | 636.0709 | 647.051 | 639.0789 | 625.1306 |
| best | 600 | 665.3934 | 637.2348 | 664.7104 | 601.6637 | 651.3463 | 654.3941 | 610.402 | 603.8971 | 630.1431 | 646.43 | 628.9354 | 619.2719 | |
| worst | 600 | 667.5953 | 641.4742 | 674.6851 | 603.8923 | 671.6263 | 667.9951 | 630.8845 | 615.81 | 645.7316 | 647.876 | 648.0269 | 628.9638 | |
| std | 6.74 × 10−14 | 0.932484 | 1.88193 | 4.731746 | 0.99459 | 9.794226 | 6.374473 | 9.903149 | 5.03593 | 7.038561 | 0.654628 | 8.680735 | 4.336506 | |
| median | 600 | 666.5013 | 638.4222 | 668.568 | 602.6678 | 666.7496 | 665.7649 | 619.9825 | 609.9503 | 634.2045 | 646.9491 | 639.6766 | 626.1434 | |
| rank | 1 | 12 | 7 | 13 | 2 | 11 | 10 | 4 | 3 | 6 | 9 | 8 | 5 | |
| C17-F7 | mean | 733.478 | 1204.463 | 1078.151 | 1238.467 | 828.2657 | 1142.796 | 1211.954 | 834.3939 | 860.7791 | 1019.025 | 932.0193 | 854.6732 | 928.9018 |
| best | 732.8186 | 1164.527 | 981.5636 | 1227.053 | 805.6758 | 1021.289 | 1175.895 | 789.8107 | 801.9995 | 945.5342 | 892.7306 | 836.9552 | 895.7613 | |
| worst | 734.5199 | 1235.118 | 1213.361 | 1258.108 | 873.3993 | 1268.082 | 1279.518 | 896.1273 | 894.4226 | 1083.087 | 990.8162 | 877.4305 | 974.77 | |
| std | 0.774451 | 31.41462 | 105.2435 | 14.2092 | 31.48748 | 109.9771 | 49.47859 | 46.76886 | 41.54959 | 73.85197 | 44.20094 | 17.97128 | 33.98216 | |
| median | 733.2867 | 1209.104 | 1058.839 | 1234.354 | 816.9939 | 1140.907 | 1196.201 | 825.8188 | 873.347 | 1023.739 | 922.2653 | 852.1535 | 922.538 | |
| rank | 1 | 11 | 9 | 13 | 2 | 10 | 12 | 3 | 5 | 8 | 7 | 4 | 6 | |
| C17-F8 | mean | 803.3298 | 1038.449 | 925.7533 | 1069.623 | 876.5654 | 1016.808 | 992.9782 | 878.8546 | 877.7404 | 986.4922 | 935.6434 | 904.0603 | 956.231 |
| best | 801.2023 | 1025.817 | 900.5847 | 1052.536 | 871.0406 | 979.7928 | 945.8382 | 853.3074 | 872.0014 | 970.7384 | 915.381 | 894.3161 | 942.8596 | |
| worst | 804.1574 | 1055.496 | 943.5544 | 1092.03 | 883.5203 | 1103.866 | 1028.054 | 903.9133 | 884.2305 | 1014.274 | 958.174 | 917.1052 | 973.4873 | |
| std | 1.459319 | 13.93036 | 20.10293 | 20.64133 | 5.327237 | 60.20137 | 36.04833 | 22.81096 | 5.469996 | 19.61526 | 19.47002 | 10.42038 | 15.81918 | |
| median | 803.9798 | 1036.242 | 929.4371 | 1066.963 | 875.8503 | 991.7858 | 999.0104 | 879.0988 | 877.3648 | 980.4783 | 934.5094 | 902.4099 | 954.2886 | |
| rank | 1 | 12 | 6 | 13 | 2 | 11 | 10 | 4 | 3 | 9 | 7 | 5 | 8 | |
| C17-F9 | mean | 900 | 9295.993 | 4173.342 | 9012.957 | 1054.217 | 9733.216 | 9347.75 | 4699.464 | 1882.552 | 4964.801 | 3552.341 | 3108.773 | 1228.1 |
| best | 900 | 7964.504 | 3122.833 | 8794.493 | 924.8592 | 5988.134 | 7180.18 | 3773.249 | 1433.066 | 3627.866 | 3103.889 | 1915.365 | 1050.822 | |
| worst | 900 | 10,549.7 | 4734.648 | 9123.556 | 1181.76 | 13,095.64 | 11,118.81 | 7107.103 | 2539.514 | 7419.807 | 4243.209 | 4661.288 | 1404.044 | |
| std | 6.74 × 10−14 | 1104.682 | 740.9093 | 152.1923 | 121.9623 | 3015.762 | 2035.1 | 1652.669 | 551.4373 | 1762.665 | 515.4767 | 1196.496 | 170.3034 | |
| median | 900 | 9334.885 | 4417.945 | 9066.889 | 1055.124 | 9924.545 | 9546.007 | 3958.751 | 1778.814 | 4405.766 | 3431.134 | 2929.219 | 1228.767 | |
| rank | 1 | 11 | 7 | 10 | 2 | 13 | 12 | 8 | 4 | 9 | 6 | 5 | 3 | |
| C17-F10 | mean | 2293.267 | 6412.998 | 4935.853 | 6985.307 | 3713.286 | 5861.942 | 5808.81 | 4264.686 | 4380.976 | 7001.727 | 4430.57 | 4591.072 | 5513.346 |
| best | 1851.756 | 5855.591 | 4355.06 | 6195.64 | 3430.104 | 4624.483 | 5082.697 | 3975.742 | 3968.251 | 6711.848 | 4160.289 | 4401.901 | 5126.171 | |
| worst | 2525.027 | 6695.583 | 5351.312 | 7529.713 | 4017.336 | 6380.625 | 6852.131 | 4623.226 | 4585.773 | 7167.196 | 4793.76 | 5012.506 | 5916.111 | |
| std | 308.512 | 389.0405 | 476.6797 | 581.2411 | 280.4434 | 851.4741 | 802.03 | 315.2446 | 291.3034 | 210.3384 | 296.6351 | 296.959 | 387.4678 | |
| median | 2398.142 | 6550.409 | 5018.519 | 7107.938 | 3702.853 | 6221.329 | 5650.205 | 4229.888 | 4484.939 | 7063.932 | 4384.117 | 4474.942 | 5505.55 | |
| rank | 1 | 11 | 7 | 12 | 2 | 10 | 9 | 3 | 4 | 13 | 5 | 6 | 8 | |
| C17-F11 | mean | 1102.987 | 6454.855 | 1232.689 | 7540.948 | 1158.917 | 4470.63 | 6715.96 | 1279.834 | 2016.264 | 1842.932 | 2604.326 | 1225.604 | 7847.806 |
| best | 1100.995 | 5343.535 | 1176.99 | 6172.532 | 1119.088 | 3225.48 | 4877.451 | 1243.515 | 1342.749 | 1510.021 | 2056.133 | 1200.781 | 2992.546 | |
| worst | 1105.977 | 7366.873 | 1286.378 | 8465.077 | 1187.506 | 6656.979 | 9855.263 | 1314.717 | 3807.505 | 2457.777 | 3166.256 | 1248.844 | 14,582.53 | |
| std | 2.210814 | 913.6114 | 46.85703 | 1078.653 | 30.27007 | 1583.349 | 2228.596 | 41.35443 | 1228.211 | 431.1576 | 537.3454 | 23.86209 | 5101.831 | |
| median | 1102.487 | 6554.506 | 1233.693 | 7763.091 | 1164.537 | 4000.031 | 6065.562 | 1280.551 | 1457.402 | 1701.966 | 2597.458 | 1226.396 | 6908.076 | |
| rank | 1 | 10 | 4 | 12 | 2 | 9 | 11 | 5 | 7 | 6 | 8 | 3 | 13 | |
| C17-F12 | mean | 1744.553 | 5.88 × 109 | 17,450,698 | 9.13 × 109 | 18,387.77 | 4.24 × 109 | 2.07 × 108 | 9,395,467 | 43,971,467 | 2.53 × 108 | 1.67 × 108 | 2,145,195 | 6,431,729 |
| best | 1721.81 | 4.86 × 109 | 2,455,842 | 8.13 × 109 | 13,217.15 | 2.18 × 109 | 52,999,424 | 4,362,972 | 4,268,282 | 1.62 × 108 | 32,203,594 | 232,101.1 | 4,453,485 | |
| worst | 1764.937 | 7.46 × 109 | 42,619,251 | 1.15 × 1010 | 23,387.01 | 5.55 × 109 | 4.14 × 108 | 22,731,848 | 92,210,162 | 4.39 × 108 | 5.32 × 108 | 4,264,822 | 8,418,583 | |
| std | 20.69875 | 1.14 × 109 | 18,158,260 | 1.64 × 109 | 4451.061 | 1.49 × 109 | 1.71 × 108 | 9,145,700 | 39,378,893 | 1.29 × 108 | 2.5 × 108 | 1,786,631 | 1,847,128 | |
| median | 1745.733 | 5.59 × 109 | 12,363,849 | 8.44 × 109 | 18,473.46 | 4.62 × 109 | 1.81 × 108 | 5,243,524 | 39,703,712 | 2.06 × 108 | 51,055,526 | 2,041,929 | 6,427,424 | |
| rank | 1 | 12 | 6 | 13 | 2 | 11 | 9 | 5 | 7 | 10 | 8 | 3 | 4 | |
| C17-F13 | mean | 1315.791 | 4.78 × 109 | 125,372.3 | 8.82 × 109 | 1795.796 | 1.22 × 109 | 756,831.1 | 76,309.37 | 631,742.6 | 73,765,671 | 30,734.88 | 27,296.78 | 9,967,217 |
| best | 1314.587 | 2.33 × 109 | 69,505.05 | 4.63 × 109 | 1565.812 | 16,503,809 | 357,223.2 | 30,683.32 | 76,461.92 | 51,226,748 | 24,971.07 | 11,416.68 | 2,704,385 | |
| worst | 1318.646 | 6.69 × 109 | 198,170 | 1.08 × 1010 | 2245.82 | 4.25 × 109 | 1,118,905 | 153,076.9 | 1,959,916 | 1.09 × 108 | 44,874.71 | 61,408.81 | 21,439,242 | |
| std | 1.988738 | 1.86 × 109 | 54879 | 2.91 × 109 | 315.5748 | 2.09 × 109 | 407,890.3 | 59,034.82 | 921,235.2 | 25,573,819 | 9789.797 | 23,630.35 | 8,246,276 | |
| median | 1314.967 | 5.05 × 109 | 116,907.1 | 9.92 × 109 | 1685.776 | 3.15 × 108 | 775,598 | 60,738.64 | 245,296.1 | 67,531,342 | 26,546.87 | 18,180.81 | 7,862,621 | |
| rank | 1 | 12 | 6 | 13 | 2 | 11 | 8 | 5 | 7 | 10 | 4 | 3 | 9 | |
| C17-F14 | mean | 1423.017 | 1,583,673 | 226,835.8 | 1,835,217 | 1437.554 | 981,560.3 | 1,857,980 | 17,224.06 | 445,626.9 | 117,098.7 | 955,849.2 | 15,909.45 | 1,677,408 |
| best | 1422.014 | 976,681.6 | 31,922.39 | 922,514.9 | 1434.585 | 702,426.8 | 30,232.29 | 4403.604 | 28,944.95 | 68,150.13 | 620,319.3 | 2886.6 | 277,836.4 | |
| worst | 1423.993 | 2,004,673 | 524,857.3 | 2,732,711 | 1441.555 | 1,386,589 | 5,675,562 | 29,161.92 | 954,830.9 | 134,697.7 | 1,443,086 | 28,859.22 | 2,827,823 | |
| std | 0.830071 | 494,194.3 | 223,386.9 | 894,383.3 | 3.225506 | 322,490.9 | 2,662,657 | 10,953.49 | 482,778.6 | 33,529.54 | 397,688.3 | 11,653.16 | 1,207,941 | |
| median | 1423.03 | 1,676,669 | 175,281.7 | 1,842,822 | 1437.038 | 918,612.9 | 863,063.4 | 17,665.35 | 399,365.9 | 132,773.6 | 879,995.7 | 15,945.99 | 1,801,986 | |
| rank | 1 | 10 | 6 | 12 | 2 | 9 | 13 | 4 | 7 | 5 | 8 | 3 | 11 | |
| C17-F15 | mean | 1503.129 | 2.54 × 108 | 31,519.17 | 4.99 × 108 | 1599.839 | 12,002,926 | 4,212,356 | 35,971.42 | 13,215,344 | 4,286,963 | 13,666.1 | 4238.662 | 798,198 |
| best | 1502.462 | 2.2 × 108 | 9374.391 | 4.31 × 108 | 1568.393 | 4,728,541 | 194,271.7 | 20,925.85 | 82,288.08 | 973,598.4 | 9778.652 | 1846.111 | 146,710.5 | |
| worst | 1504.265 | 2.81 × 108 | 51,033.83 | 5.51 × 108 | 1613.784 | 27,920,922 | 13,676,518 | 59,349.91 | 49,479,680 | 8,069,607 | 18,446.14 | 7667.485 | 1,788,072 | |
| std | 0.878736 | 31,317,095 | 18,070.21 | 60,593,995 | 21.68729 | 10,995,701 | 6,568,827 | 17,104.85 | 24,843,447 | 2,988,423 | 3721.739 | 2648.141 | 771,437.9 | |
| median | 1502.893 | 2.58 × 108 | 32,834.22 | 5.07 × 108 | 1608.589 | 7,681,119 | 1,489,318 | 31,804.95 | 1,649,704 | 4,052,323 | 13,219.8 | 3720.525 | 629,004.7 | |
| rank | 1 | 12 | 5 | 13 | 2 | 10 | 8 | 6 | 11 | 9 | 4 | 3 | 7 | |
| C17-F16 | mean | 1663.469 | 3880.794 | 2780.727 | 4429.79 | 1967.727 | 3007.036 | 3818.944 | 2436.145 | 2399.236 | 3167.806 | 3336.348 | 2722.277 | 2738.09 |
| best | 1614.72 | 3612.046 | 2400.514 | 3787.816 | 1713.465 | 2646.388 | 3186.838 | 2248.521 | 2266.9 | 2999.485 | 3173.393 | 2527.152 | 2442.737 | |
| worst | 1744.118 | 4112.827 | 3219.231 | 5016.989 | 2173.201 | 3223.217 | 4523.221 | 2651.18 | 2497.872 | 3357.115 | 3491.913 | 2958.075 | 3023.933 | |
| std | 63.65095 | 235.5644 | 345.9519 | 676.9997 | 211.8471 | 263.5324 | 566.1256 | 178.2288 | 118.7481 | 160.2248 | 145.9345 | 225.7184 | 288.5744 | |
| median | 1647.519 | 3899.152 | 2751.581 | 4457.177 | 1992.122 | 3079.27 | 3782.858 | 2422.44 | 2416.086 | 3157.312 | 3340.043 | 2701.941 | 2742.844 | |
| rank | 1 | 12 | 7 | 13 | 2 | 8 | 11 | 4 | 3 | 9 | 10 | 5 | 6 | |
| C17-F17 | mean | 1728.099 | 3134.688 | 2354.083 | 3389.138 | 1842.605 | 3022.162 | 2667.351 | 2025.542 | 1901.862 | 2120.603 | 2395.923 | 2238.525 | 2088.621 |
| best | 1718.761 | 2631.554 | 2231.916 | 3070.875 | 1748.388 | 2142.768 | 2266.432 | 1981.833 | 1792.086 | 1929.693 | 2310.34 | 2040.211 | 2049.706 | |
| worst | 1733.659 | 3757.185 | 2449.769 | 3953.478 | 1894.947 | 5325.838 | 2938.747 | 2151.766 | 2027.281 | 2368.201 | 2522.618 | 2569.374 | 2147.494 | |
| std | 6.88979 | 492.2332 | 98.22265 | 410.9112 | 66.42675 | 1579.623 | 295.4104 | 86.44565 | 114.642 | 190.9079 | 105.9575 | 243.7852 | 46.51756 | |
| median | 1729.987 | 3075.006 | 2367.323 | 3266.098 | 1863.543 | 2310.021 | 2732.113 | 1984.285 | 1894.041 | 2092.259 | 2375.366 | 2172.258 | 2078.642 | |
| rank | 1 | 12 | 8 | 13 | 2 | 11 | 10 | 4 | 3 | 6 | 9 | 7 | 5 | |
| C17-F18 | mean | 1825.696 | 23,729,550 | 2,212,009 | 27,283,974 | 1885.211 | 30,340,275 | 4,927,404 | 534,595.3 | 350,552.7 | 1,391,192 | 430,211.5 | 114,852.6 | 3,044,058 |
| best | 1822.524 | 6,835,900 | 235,823.5 | 8,821,140 | 1866.68 | 1,112,837 | 1,660,690 | 134,742.3 | 65,780.31 | 646,005.5 | 241,319.2 | 81,807.06 | 2,376,553 | |
| worst | 1828.42 | 46,083,790 | 4,413,170 | 53,602,004 | 1896.441 | 57,496,084 | 10,169,814 | 1,446,703 | 900,247.2 | 1,748,911 | 837,349.8 | 136,220 | 4,461,888 | |
| std | 2.775128 | 17,820,592 | 2,010,817 | 19,503,687 | 13.58535 | 32,158,616 | 3,755,642 | 628,519 | 403,355.5 | 520,829.7 | 282,413.8 | 24,434.14 | 981,973 | |
| median | 1825.92 | 20,999,256 | 2,099,521 | 23,356,376 | 1888.861 | 31,376,090 | 3,939,556 | 278,467.7 | 218,091.7 | 1,584,927 | 321,088.5 | 120,691.7 | 2,668,895 | |
| rank | 1 | 11 | 8 | 12 | 2 | 13 | 10 | 6 | 4 | 7 | 5 | 3 | 9 | |
| C17-F19 | mean | 1910.989 | 4.85 × 108 | 56,833.4 | 8.17 × 108 | 1921.731 | 2.46 × 108 | 11,962,405 | 784,633.2 | 3,367,690 | 4,802,159 | 68,581.12 | 37,464.21 | 1,353,797 |
| best | 1908.84 | 3.63 × 108 | 12,363.24 | 5.9 × 108 | 1919.401 | 3,053,269 | 1,556,878 | 20,101.42 | 59,431.52 | 2,492,766 | 37,340.59 | 7629.39 | 535,107.5 | |
| worst | 1913.095 | 6.31 × 108 | 126,214.8 | 1.24 × 109 | 1925.522 | 6.81 × 108 | 20,655,538 | 1,763,741 | 10,858,942 | 6,826,083 | 92,183.96 | 111,581 | 2,404,782 | |
| std | 1.984351 | 1.38 × 108 | 50,937.84 | 2.95 × 108 | 2.730401 | 3.21 × 108 | 8,945,361 | 871,528.6 | 5,164,447 | 2,189,230 | 23,450.06 | 50,925.51 | 809,908.7 | |
| median | 1911.01 | 4.73 × 108 | 44,377.77 | 7.2 × 108 | 1921.001 | 1.5 × 108 | 12,818,601 | 677,345.4 | 1,276,194 | 4,944,894 | 72,399.97 | 15,323.22 | 1,237,648 | |
| rank | 1 | 12 | 4 | 13 | 2 | 11 | 10 | 6 | 8 | 9 | 5 | 3 | 7 | |
| C17-F20 | mean | 2065.787 | 2766.527 | 2545.205 | 2811.832 | 2159.069 | 2725.378 | 2714.989 | 2519.588 | 2326.117 | 2681.848 | 2859.476 | 2470.911 | 2410.483 |
| best | 2029.521 | 2685.094 | 2405.958 | 2657.449 | 2056.898 | 2598.867 | 2558.17 | 2320.368 | 2175.006 | 2617.435 | 2539.35 | 2423.632 | 2364.938 | |
| worst | 2161.126 | 2858.293 | 2738.536 | 2900.126 | 2248.615 | 2848.489 | 2862.147 | 2876.053 | 2465.314 | 2781.176 | 3277.45 | 2576.545 | 2452.06 | |
| std | 65.37076 | 72.89626 | 145.7221 | 111.8625 | 81.15997 | 105.2842 | 133.9402 | 251.4598 | 122.4135 | 80.36502 | 318.3825 | 73.05095 | 37.17676 | |
| median | 2036.25 | 2761.36 | 2518.162 | 2844.877 | 2165.382 | 2727.077 | 2719.818 | 2440.965 | 2332.073 | 2664.39 | 2810.552 | 2441.733 | 2412.468 | |
| rank | 1 | 11 | 7 | 12 | 2 | 10 | 9 | 6 | 3 | 8 | 13 | 5 | 4 | |
| C17-F21 | mean | 2308.456 | 2572.955 | 2420.169 | 2621.231 | 2357.321 | 2499.307 | 2562.737 | 2390.021 | 2377.222 | 2466.006 | 2528.957 | 2414.753 | 2463.582 |
| best | 2304.034 | 2493.073 | 2232.502 | 2554.499 | 2348.478 | 2307.582 | 2498.155 | 2359.397 | 2347.988 | 2455.094 | 2512.979 | 2398.004 | 2435.213 | |
| worst | 2312.987 | 2625.981 | 2553.058 | 2700.04 | 2371.332 | 2612.772 | 2617.742 | 2414.764 | 2389.966 | 2475.425 | 2559.852 | 2426.276 | 2506.717 | |
| std | 4.579845 | 64.4505 | 138.5267 | 65.15362 | 10.30986 | 138.3342 | 60.89915 | 23.7242 | 20.46152 | 10.28472 | 21.56359 | 14.12901 | 31.25484 | |
| median | 2308.402 | 2586.384 | 2447.558 | 2615.193 | 2354.736 | 2538.437 | 2567.526 | 2392.961 | 2385.467 | 2466.752 | 2521.499 | 2417.367 | 2456.2 | |
| rank | 1 | 12 | 6 | 13 | 2 | 9 | 11 | 4 | 3 | 8 | 10 | 5 | 7 | |
| C17-F22 | mean | 2300 | 7084.865 | 5222.881 | 6880.473 | 2302.464 | 7749.913 | 6598.274 | 3692.769 | 2640.103 | 5149.572 | 5690.404 | 4475.754 | 2638.563 |
| best | 2300 | 6799.132 | 2302.572 | 6013.125 | 2301.607 | 7555.353 | 5792.796 | 2305.473 | 2531.242 | 2656.684 | 3732.182 | 2432.779 | 2575.489 | |
| worst | 2300 | 7530.718 | 6351.172 | 7752.205 | 2303.911 | 7841.768 | 7316.866 | 5415.585 | 2863.893 | 7913.53 | 6551.003 | 6452.917 | 2687.306 | |
| std | 0 | 321.1263 | 2002.835 | 767.6903 | 1.061178 | 138.2371 | 650.5143 | 1668.406 | 156.2621 | 2939.887 | 1349.643 | 1898.886 | 56.91863 | |
| median | 2300 | 7004.805 | 6118.891 | 6878.281 | 2302.169 | 7801.265 | 6641.717 | 3525.01 | 2582.639 | 5014.037 | 6239.216 | 4508.66 | 2645.728 | |
| rank | 1 | 12 | 8 | 11 | 2 | 13 | 10 | 5 | 4 | 7 | 9 | 6 | 3 | |
| C17-F23 | mean | 2655.081 | 3109.491 | 2885.363 | 3155.951 | 2647.452 | 3113.614 | 2987.155 | 2724.949 | 2736.577 | 2865.867 | 3597.108 | 2863.007 | 2926.383 |
| best | 2653.745 | 3036.821 | 2792.667 | 3110.28 | 2499.658 | 3013.031 | 2837.165 | 2687.2 | 2719.693 | 2847.605 | 3505.506 | 2834.598 | 2901.442 | |
| worst | 2657.377 | 3178.552 | 3031.739 | 3222.42 | 2703.755 | 3280.56 | 3071.559 | 2749.403 | 2754.474 | 2908.217 | 3687.511 | 2906.401 | 2980.154 | |
| std | 1.697988 | 68.35427 | 107.5776 | 50.12905 | 101.4466 | 121.159 | 106.8838 | 27.37701 | 15.40831 | 29.53252 | 98.94313 | 33.94444 | 37.1707 | |
| median | 2654.6 | 3111.295 | 2858.524 | 3145.551 | 2693.198 | 3080.433 | 3019.947 | 2731.596 | 2736.071 | 2853.823 | 3597.708 | 2855.513 | 2911.968 | |
| rank | 2 | 10 | 7 | 12 | 1 | 11 | 9 | 3 | 4 | 6 | 13 | 5 | 8 | |
| C17-F24 | mean | 2831.409 | 3241.513 | 3119.205 | 3326.308 | 2875.638 | 3212.496 | 3073.051 | 2894.483 | 2907.337 | 3010.226 | 3283.04 | 3085.487 | 3166.225 |
| best | 2829.992 | 3209.481 | 3001.28 | 3250.677 | 2862.509 | 3119.874 | 3018.482 | 2853.563 | 2896.635 | 2990.26 | 3251.748 | 3021.176 | 3086.14 | |
| worst | 2832.366 | 3308.124 | 3251.029 | 3457.948 | 2881.393 | 3255.852 | 3095.358 | 2913.975 | 2913.166 | 3041.037 | 3315.281 | 3182.405 | 3233.528 | |
| std | 1.176599 | 46.17052 | 112.6287 | 98.47879 | 9.095286 | 65.19122 | 37.54706 | 28.41498 | 7.691137 | 22.24128 | 28.82213 | 71.00122 | 70.21629 | |
| median | 2831.64 | 3224.223 | 3112.255 | 3298.303 | 2879.325 | 3237.129 | 3089.182 | 2905.197 | 2909.774 | 3004.803 | 3282.564 | 3069.184 | 3172.615 | |
| rank | 1 | 11 | 8 | 13 | 2 | 10 | 6 | 3 | 4 | 5 | 12 | 7 | 9 | |
| C17-F25 | mean | 2886.698 | 3778.564 | 2905.323 | 4308.259 | 2890.58 | 3380.167 | 3051.922 | 2906.017 | 2976.962 | 3045.87 | 2978.771 | 2893.691 | 3073.77 |
| best | 2886.691 | 3459.543 | 2893.27 | 3796.357 | 2884.863 | 3059.868 | 3021.001 | 2884.861 | 2944.721 | 2943.505 | 2968.969 | 2887.465 | 3059.545 | |
| worst | 2886.707 | 4017.439 | 2938.478 | 4990.555 | 2895.827 | 3712.732 | 3068.179 | 2960.374 | 3036.993 | 3162.281 | 2989.401 | 2908.295 | 3083.95 | |
| std | 0.007812 | 239.2238 | 22.7185 | 510.8381 | 5.088898 | 327.7512 | 22.78511 | 37.31992 | 43.94737 | 107.454 | 8.665444 | 10.04843 | 11.07641 | |
| median | 2886.698 | 3818.637 | 2894.771 | 4223.061 | 2890.815 | 3374.033 | 3059.254 | 2889.418 | 2963.067 | 3038.848 | 2978.357 | 2889.502 | 3075.793 | |
| rank | 1 | 12 | 4 | 13 | 2 | 11 | 9 | 5 | 6 | 8 | 7 | 3 | 10 | |
| C17-F26 | mean | 3578.65 | 8312.608 | 6748.721 | 8809.795 | 3047.747 | 7936.265 | 7634.154 | 4600.167 | 4412.45 | 5561.102 | 6871.666 | 4652.067 | 4267.871 |
| best | 3559.841 | 7952.123 | 5663.995 | 8103.995 | 3043.527 | 7376.99 | 7009.695 | 4310.505 | 4075.318 | 4388.821 | 5978.83 | 3551.522 | 3939.486 | |
| worst | 3607.686 | 8958.698 | 7389.877 | 10,063.25 | 3054.149 | 8287.494 | 8358.253 | 5135.989 | 4931.721 | 6669.841 | 7336.144 | 5966.081 | 4664.532 | |
| std | 23.3936 | 481.0495 | 778.935 | 945.3017 | 5.206666 | 401.4653 | 568.6926 | 395.2051 | 374.9892 | 1073.57 | 649.2089 | 1158.03 | 312.2156 | |
| median | 3573.536 | 8169.805 | 6970.507 | 8535.966 | 3046.657 | 8040.289 | 7584.334 | 4477.086 | 4321.379 | 5592.874 | 7085.844 | 4545.332 | 4233.733 | |
| rank | 2 | 12 | 8 | 13 | 1 | 11 | 10 | 5 | 4 | 7 | 9 | 6 | 3 | |
| C17-F27 | mean | 3207.018 | 3548.906 | 3332.744 | 3680.504 | 3213.451 | 3432.917 | 3393.896 | 3227.682 | 3243.298 | 3301.015 | 4702.192 | 3267.723 | 3421.148 |
| best | 3200.749 | 3499.138 | 3259.867 | 3442.317 | 3202.083 | 3318.525 | 3250.554 | 3212.231 | 3234.816 | 3234.55 | 4320.546 | 3234.544 | 3356.112 | |
| worst | 3210.656 | 3633.364 | 3396.858 | 3923.406 | 3229.739 | 3644.348 | 3500.711 | 3249.91 | 3256.502 | 3362.958 | 4979.658 | 3304.29 | 3460.169 | |
| std | 4.773736 | 61.58738 | 73.72286 | 211.864 | 13.2029 | 149.0222 | 110.3439 | 16.30374 | 9.514926 | 54.62672 | 331.9083 | 31.12272 | 46.40822 | |
| median | 3208.335 | 3531.561 | 3337.126 | 3678.146 | 3210.992 | 3384.398 | 3412.159 | 3224.293 | 3240.938 | 3303.276 | 4754.281 | 3266.03 | 3434.155 | |
| rank | 1 | 11 | 7 | 12 | 2 | 10 | 8 | 3 | 4 | 6 | 13 | 5 | 9 | |
| C17-F28 | mean | 3100 | 4523.86 | 3240.506 | 5294.879 | 3196.528 | 3996.778 | 3386.937 | 3232.705 | 3521.426 | 3582.827 | 3457.186 | 3294.198 | 3509.347 |
| best | 3100 | 4323.582 | 3214.275 | 5032.036 | 3182.459 | 3523.101 | 3335.125 | 3202.018 | 3352.242 | 3455.219 | 3396.665 | 3179.941 | 3465.061 | |
| worst | 3100 | 4740.947 | 3267.785 | 5570.181 | 3222.193 | 4479.995 | 3433.761 | 3260.726 | 3934.763 | 3874.887 | 3584.199 | 3469.229 | 3557.427 | |
| std | 2.7 × 10−13 | 183.7042 | 22.46907 | 264.0432 | 18.23778 | 455.0824 | 44.09313 | 24.78707 | 284.7302 | 202.2402 | 88.03279 | 137.5115 | 45.08074 | |
| median | 3100 | 4515.456 | 3239.983 | 5288.649 | 3190.73 | 3992.009 | 3389.432 | 3234.039 | 3399.349 | 3500.6 | 3423.941 | 3263.81 | 3507.45 | |
| rank | 1 | 12 | 4 | 13 | 2 | 11 | 6 | 3 | 9 | 10 | 7 | 5 | 8 | |
| C17-F29 | mean | 3353.75 | 5087.826 | 4182.435 | 5274.316 | 3611.29 | 4953.596 | 4822.947 | 3768.517 | 3724.077 | 4334.459 | 4802.573 | 4044.32 | 4145.088 |
| best | 3325.385 | 4705.704 | 3878.416 | 4739.449 | 3481.774 | 4488.326 | 4594.079 | 3656.101 | 3654.319 | 4051.046 | 4571.263 | 3877.567 | 3815.679 | |
| worst | 3370.797 | 5496.181 | 4365.531 | 6006.428 | 3731.924 | 5708.04 | 4971.577 | 3872.603 | 3822.108 | 4745.9 | 5022.554 | 4253.432 | 4448.855 | |
| std | 20.22231 | 390.4582 | 222.0926 | 640.5091 | 114.0033 | 585.6057 | 165.544 | 94.16507 | 76.66849 | 304.191 | 246.5089 | 159.5929 | 290.9356 | |
| median | 3359.41 | 5074.711 | 4242.896 | 5175.694 | 3615.731 | 4809.01 | 4863.066 | 3772.683 | 3709.94 | 4270.446 | 4808.237 | 4023.14 | 4157.909 | |
| rank | 1 | 12 | 7 | 13 | 2 | 11 | 10 | 4 | 3 | 8 | 9 | 5 | 6 | |
| C17-F30 | mean | 5007.854 | 1.2 × 109 | 1,198,183 | 2.37 × 109 | 7256.376 | 32,265,568 | 32,925,121 | 2,597,860 | 5,356,352 | 31,786,061 | 1,900,575 | 229,623.9 | 590,194.9 |
| best | 4955.449 | 8.85 × 108 | 423,016.4 | 1.7 × 109 | 6158.427 | 11,031,639 | 6,566,732 | 467,071 | 1,195,436 | 17,015,110 | 1,659,159 | 7179.109 | 163,864.3 | |
| worst | 5086.396 | 1.32 × 109 | 2,121,157 | 2.62 × 109 | 9416.184 | 75,389,656 | 52,758,912 | 3,719,132 | 14,462,906 | 66,673,306 | 2,286,605 | 867,053.8 | 1,128,316 | |
| std | 60.57214 | 2.17 × 108 | 729,213.9 | 4.58 × 108 | 1570.007 | 30,004,969 | 19,776,654 | 1,489,740 | 6,293,655 | 24,022,890 | 277,434.8 | 436,680.2 | 482,284 | |
| median | 4994.785 | 1.3 × 109 | 1,124,279 | 2.58 × 109 | 6725.446 | 21,320,489 | 36,187,421 | 3,102,619 | 2,883,533 | 21,727,915 | 1,828,269 | 22,131.29 | 534,300 | |
| rank | 1 | 12 | 5 | 13 | 2 | 10 | 11 | 7 | 8 | 9 | 6 | 3 | 4 | |
| Sum rank | 31 | 334 | 182 | 361 | 57 | 305 | 284 | 128 | 151 | 232 | 231 | 139 | 204 | |
| Mean rank | 1.068966 | 11.51724 | 6.275862 | 12.44828 | 1.965517 | 10.51724 | 9.793103 | 4.413793 | 5.206897 | 8 | 7.965517 | 4.793103 | 7.034483 | |
| Total rank | 1 | 12 | 6 | 13 | 2 | 11 | 10 | 3 | 5 | 9 | 8 | 4 | 7 | |
| POA | WSO | AVOA | RSA | MPA | TSA | WOA | MVO | GWO | TLBO | GSA | PSO | GA | ||
|---|---|---|---|---|---|---|---|---|---|---|---|---|---|---|
| C17-F1 | mean | 100 | 4.98 × 1010 | 7,694,163 | 7.8 × 1010 | 4,687,637 | 3.17 × 1010 | 6.41 × 109 | 3,383,888 | 7.78 × 109 | 1.73 × 1010 | 1.43 × 1010 | 2.11 × 109 | 8.65 × 109 |
| best | 100 | 4.44 × 1010 | 916,036.2 | 6.82 × 1010 | 1,809,188 | 2.92 × 1010 | 3.78 × 109 | 2,421,905 | 5.61 × 109 | 1.17 × 1010 | 1.14 × 1010 | 8.65 × 108 | 8.24 × 109 | |
| worst | 100 | 5.33 × 1010 | 20,360,589 | 8.52 × 1010 | 11,885,877 | 3.41 × 1010 | 9.59 × 109 | 4,212,013 | 1.07 × 1010 | 2.33 × 1010 | 1.71 × 1010 | 2.81 × 109 | 9.32 × 109 | |
| std | 0 | 4.01 × 109 | 8,873,644 | 7.62 × 109 | 4,964,317 | 2.09 × 109 | 2.82 × 109 | 756,708.6 | 2.16 × 109 | 5.76 × 109 | 2.39 × 109 | 8.78 × 108 | 5.21 × 108 | |
| median | 100 | 5.07 × 1010 | 4,750,013 | 7.92 × 1010 | 2,527,742 | 3.18 × 1010 | 6.13 × 109 | 3,450,817 | 7.44 × 109 | 1.7 × 1010 | 1.43 × 1010 | 2.38 × 109 | 8.53 × 109 | |
| rank | 1 | 12 | 4 | 13 | 3 | 11 | 6 | 2 | 7 | 10 | 9 | 5 | 8 | |
| C17-F3 | mean | 300 | 131,835.8 | 121,939.9 | 131,347.9 | 14,965.02 | 90,792.26 | 194,620.8 | 38,514.36 | 108,129.9 | 81,796.38 | 148,054.1 | 120,427.1 | 219,121.3 |
| best | 300 | 113,081.2 | 93,706.17 | 119,156.7 | 12,934.34 | 79,774.46 | 146,792.7 | 30,547.5 | 95,001.03 | 61,871.66 | 133,707 | 90,521.94 | 182,644.6 | |
| worst | 300 | 151,612.4 | 148,352 | 143,174.6 | 17,653.06 | 96,796.99 | 296,860.1 | 47,889.01 | 121,370 | 93,323.17 | 167,270.6 | 156,910.3 | 251,776.2 | |
| std | 0 | 16,662.92 | 25,349.19 | 10,952.68 | 2175.535 | 8080.823 | 72,592.69 | 7427.946 | 11,067.16 | 14,750.72 | 16,664.14 | 29,574.49 | 29,078.14 | |
| median | 300 | 131,324.8 | 122,850.8 | 131,530.3 | 14,636.35 | 93,298.79 | 167,415.2 | 37,810.47 | 108,074.4 | 85,995.34 | 145,619.5 | 117,138.1 | 221,032.1 | |
| rank | 1 | 10 | 8 | 9 | 2 | 5 | 12 | 3 | 6 | 4 | 11 | 7 | 13 | |
| C17-F4 | mean | 470.3679 | 12,353.44 | 659.3073 | 19,835.21 | 520.8641 | 6991.207 | 1692.379 | 547.5027 | 1273.318 | 2403.23 | 2627.084 | 924.1037 | 1347.608 |
| best | 428.5127 | 9616.635 | 640.999 | 13,121.57 | 484.6049 | 5610.825 | 1108.464 | 510.0485 | 960.669 | 1386.37 | 2200.404 | 641.0513 | 1168.399 | |
| worst | 525.7252 | 14,063.24 | 675.5487 | 23,684.52 | 573.5045 | 9011.58 | 2005.852 | 605.8885 | 1535.439 | 4062.787 | 2789.659 | 1582.677 | 1455.999 | |
| std | 50.91462 | 2040.528 | 16.66823 | 4949.499 | 43.26782 | 1475.615 | 412.7291 | 42.51684 | 267.1199 | 1208.173 | 293.3794 | 453.5134 | 128.9881 | |
| median | 463.6168 | 12,866.95 | 660.3407 | 21,267.38 | 512.6735 | 6671.212 | 1827.6 | 537.0369 | 1298.581 | 2081.882 | 2759.135 | 736.3432 | 1383.016 | |
| rank | 1 | 12 | 4 | 13 | 2 | 11 | 8 | 3 | 6 | 9 | 10 | 5 | 7 | |
| C17-F5 | mean | 504.7261 | 998.7714 | 797.874 | 1023.055 | 696.7875 | 1037.896 | 879.3746 | 698.9245 | 687.8787 | 914.9902 | 754.902 | 740.7178 | 826.1298 |
| best | 503.9798 | 971.6799 | 772.4922 | 1007.523 | 628.9187 | 919.5867 | 845.571 | 637.7742 | 665.0593 | 880.0784 | 711.1297 | 695.3349 | 801.0767 | |
| worst | 505.9698 | 1032.226 | 832.4122 | 1033.829 | 750.0726 | 1132.417 | 900.3438 | 792.9468 | 711.594 | 937.7921 | 785.3274 | 794.0634 | 843.8261 | |
| std | 0.978409 | 29.84483 | 26.55012 | 12.4602 | 52.17824 | 106.2494 | 25.07713 | 71.31889 | 25.48733 | 26.49006 | 35.95038 | 41.72614 | 20.88025 | |
| median | 504.4773 | 995.59 | 793.2958 | 1025.434 | 704.0793 | 1049.791 | 885.7917 | 682.4885 | 687.4307 | 921.0452 | 761.5754 | 736.7365 | 829.8082 | |
| rank | 1 | 11 | 7 | 12 | 3 | 13 | 9 | 4 | 2 | 10 | 6 | 5 | 8 | |
| C17-F6 | mean | 600 | 678.7743 | 649.8125 | 680.4897 | 609.3938 | 674.4157 | 681.0236 | 631.1676 | 618.8765 | 653.1538 | 647.9508 | 644.3503 | 640.179 |
| best | 600 | 676.2919 | 645.8267 | 678.6046 | 607.0893 | 657.5593 | 676.5779 | 622.7099 | 614.1754 | 642.6254 | 643.8879 | 642.4606 | 629.4886 | |
| worst | 600 | 682.8851 | 654.3317 | 682.9158 | 612.4396 | 688.2301 | 687.8313 | 651.0589 | 627.047 | 660.3253 | 650.3646 | 647.2969 | 650.6368 | |
| std | 0 | 3.126532 | 4.035656 | 2.072733 | 2.353657 | 13.99634 | 5.020365 | 13.86957 | 5.932199 | 7.779141 | 2.927148 | 2.245176 | 9.089876 | |
| median | 600 | 677.9601 | 649.5457 | 680.2192 | 609.0231 | 675.9367 | 679.8427 | 625.4507 | 617.1418 | 654.8323 | 648.7754 | 643.8218 | 640.2954 | |
| rank | 1 | 11 | 8 | 12 | 2 | 10 | 13 | 4 | 3 | 9 | 7 | 6 | 5 | |
| C17-F7 | mean | 756.7298 | 1615.316 | 1510.391 | 1698.01 | 982.2029 | 1524.212 | 1545.236 | 1003.011 | 1012.807 | 1355.063 | 1298.967 | 1123.67 | 1212.925 |
| best | 754.7543 | 1594.636 | 1451.321 | 1630.929 | 934.7738 | 1397.907 | 1493.027 | 971.7793 | 993.2567 | 1249.798 | 1158.917 | 991.2395 | 1147.95 | |
| worst | 758.3522 | 1641.438 | 1565.593 | 1783.808 | 1022.213 | 1648.02 | 1617.358 | 1028.408 | 1028.664 | 1406.086 | 1406.26 | 1316.364 | 1255.178 | |
| std | 1.595411 | 20.01803 | 49.79641 | 67.43425 | 43.39772 | 119.7991 | 59.49773 | 24.56744 | 16.92836 | 73.00096 | 114.5055 | 144.1241 | 48.62485 | |
| median | 756.9065 | 1612.595 | 1512.325 | 1688.651 | 985.9122 | 1525.461 | 1535.28 | 1005.929 | 1014.653 | 1382.184 | 1315.346 | 1093.538 | 1224.285 | |
| rank | 1 | 12 | 9 | 13 | 2 | 10 | 11 | 3 | 4 | 8 | 7 | 5 | 6 | |
| C17-F8 | mean | 805.721 | 1315.026 | 1069.907 | 1337.934 | 975.5652 | 1329.453 | 1236.115 | 985.028 | 994.979 | 1233.995 | 1083.154 | 1013.704 | 1180.568 |
| best | 802.9849 | 1267.365 | 1031.039 | 1311.392 | 949.5886 | 1246.589 | 1125 | 952.6691 | 965.8927 | 1187.074 | 1075.982 | 977.9443 | 1146.507 | |
| worst | 810.9446 | 1351.319 | 1110.142 | 1355.805 | 1001.572 | 1440.841 | 1328.075 | 1043.891 | 1026.654 | 1281.178 | 1095.97 | 1068.267 | 1200.173 | |
| std | 3.672737 | 39.08297 | 45.64879 | 19.32054 | 27.95425 | 86.06199 | 86.03151 | 41.35436 | 27.97589 | 39.98849 | 9.254532 | 43.73755 | 24.0814 | |
| median | 804.4773 | 1320.71 | 1069.223 | 1342.271 | 975.5499 | 1315.192 | 1245.693 | 971.7758 | 993.6848 | 1233.865 | 1080.331 | 1004.301 | 1187.795 | |
| rank | 1 | 11 | 6 | 13 | 2 | 12 | 10 | 3 | 4 | 9 | 7 | 5 | 8 | |
| C17-F9 | mean | 900 | 30,080.05 | 11,149.25 | 30,239.59 | 2906.627 | 31,546.08 | 27,482.14 | 16,432.75 | 5843.369 | 20,055.75 | 8985.748 | 8670.898 | 10,745.45 |
| best | 900 | 28,896.41 | 10,632.96 | 28,419.95 | 1871.357 | 29,089.26 | 25,588.4 | 8863.034 | 5099.754 | 15,480.28 | 8200.157 | 8043.964 | 8867.123 | |
| worst | 900 | 32,836.97 | 11,866.94 | 31,723.8 | 4145.523 | 35,169.81 | 32,120.64 | 21,685.31 | 6634.453 | 23,572.38 | 9691.888 | 9834.376 | 12,353.76 | |
| std | 9.53 × 10−14 | 1918.301 | 548.1654 | 1606.899 | 964.9071 | 2690.339 | 3186.233 | 6193.736 | 818.5837 | 3451.708 | 636.8787 | 826.9251 | 1897.767 | |
| median | 900 | 29,293.4 | 11,048.55 | 30,407.3 | 2804.813 | 30,962.63 | 26,109.75 | 17,591.33 | 5819.635 | 20,585.17 | 9025.474 | 8402.626 | 10,880.47 | |
| rank | 1 | 11 | 7 | 12 | 2 | 13 | 10 | 8 | 3 | 9 | 5 | 4 | 6 | |
| C17-F10 | mean | 4347.157 | 11,532.14 | 7659.93 | 12,543.53 | 6175.008 | 10,518.17 | 10,524.61 | 7108.216 | 7941.727 | 12,367.61 | 7886.242 | 7215.482 | 10,459.41 |
| best | 3555.132 | 10,983.86 | 7189.875 | 12,178.38 | 5457.78 | 9682.889 | 9353.445 | 5887.021 | 6184.118 | 11,645.95 | 7154.486 | 6946.725 | 10,015.5 | |
| worst | 5099.795 | 12,270.5 | 7977.589 | 12,987.68 | 6806.409 | 11,524.62 | 11,596.38 | 8039.728 | 12,231.37 | 12865 | 8919.848 | 7634.923 | 11,036.08 | |
| std | 662.2242 | 616.1048 | 346.5361 | 367.537 | 628.0243 | 833.1579 | 1005.392 | 939.4287 | 2967.615 | 603.7201 | 761.6 | 303 | 437.5358 | |
| median | 4366.851 | 11,437.1 | 7736.128 | 12,504.04 | 6217.921 | 10,432.59 | 10,574.3 | 7253.058 | 6675.708 | 12,479.74 | 7735.318 | 7140.14 | 10,393.04 | |
| rank | 1 | 11 | 5 | 13 | 2 | 9 | 10 | 3 | 7 | 12 | 6 | 4 | 8 | |
| C17-F11 | mean | 1128.435 | 12,982.43 | 1525.243 | 17,632.41 | 1233.86 | 10,936.77 | 4425.966 | 1494.635 | 5284.769 | 4439.173 | 11,990.04 | 1580.223 | 20,145.96 |
| best | 1121.25 | 11,976.46 | 1426.183 | 15,706.17 | 1192.498 | 9426.317 | 3923.366 | 1369.325 | 3249.087 | 4175.03 | 11,255.98 | 1353.431 | 11,853.62 | |
| worst | 1133.132 | 13,620.52 | 1651.403 | 19,094.94 | 1259.489 | 13,091.47 | 5491.437 | 1620.754 | 9037.193 | 4919.792 | 13,565.41 | 1850.293 | 26,952.06 | |
| std | 5.590435 | 746.9688 | 107.1157 | 1454.228 | 30.74393 | 1622.687 | 740.6431 | 112.3004 | 2746.288 | 352.4488 | 1090.518 | 218.3901 | 6413.416 | |
| median | 1129.678 | 13,166.37 | 1511.693 | 17,864.27 | 1241.727 | 10,614.66 | 4144.53 | 1494.231 | 4426.397 | 4330.935 | 11,569.38 | 1558.583 | 20,889.09 | |
| rank | 1 | 11 | 4 | 12 | 2 | 9 | 6 | 3 | 8 | 7 | 10 | 5 | 13 | |
| C17-F12 | mean | 2905.102 | 3.63 × 1010 | 61,090,788 | 5.93 × 1010 | 11,987,913 | 2.15 × 1010 | 1.1 × 109 | 65,947,360 | 7.97 × 108 | 4.21 × 109 | 1.81 × 109 | 1.34 × 109 | 1.7 × 108 |
| best | 2527.376 | 3.05 × 1010 | 25,877,157 | 4.32 × 1010 | 11,292,468 | 9.08 × 109 | 9.08 × 108 | 35,519,720 | 1.25 × 108 | 2.37 × 109 | 5.95 × 108 | 10,571,947 | 53,696,816 | |
| worst | 3168.37 | 4.35 × 1010 | 94,397,377 | 8.13 × 1010 | 12,550,029 | 3.62 × 1010 | 1.5 × 109 | 1.05 × 108 | 1.48 × 109 | 8.27 × 109 | 3.25 × 109 | 3.86 × 109 | 2.36 × 108 | |
| std | 281.1232 | 6.05 × 109 | 37,699,246 | 1.8 × 1010 | 602,939 | 1.15 × 1010 | 2.78 × 108 | 29,972,887 | 6.95 × 108 | 2.84 × 109 | 1.13 × 109 | 1.84 × 109 | 82,068,331 | |
| median | 2962.331 | 3.56 × 1010 | 62,044,309 | 5.63 × 1010 | 12,054,577 | 2.04 × 1010 | 9.97 × 108 | 61,665,741 | 7.91 × 108 | 3.09 × 109 | 1.69 × 109 | 7.36 × 108 | 1.96 × 108 | |
| rank | 1 | 12 | 3 | 13 | 2 | 11 | 7 | 4 | 6 | 10 | 9 | 8 | 5 | |
| C17-F13 | mean | 1340.1 | 2.05 × 1010 | 124,306 | 3.59 × 1010 | 13,820.12 | 8.4 × 109 | 79,029,047 | 201,080.5 | 2.97 × 108 | 4.87 × 108 | 15,429,091 | 3.97 × 108 | 34,568,913 |
| best | 1333.781 | 1.18 × 1010 | 28,752.02 | 1.81 × 1010 | 7417.988 | 4.46 × 109 | 59,414,617 | 125,544.1 | 1.35 × 108 | 3.97 × 108 | 26,219.81 | 42,641.1 | 22,533,768 | |
| worst | 1343.015 | 2.79 × 1010 | 273,649 | 5.16 × 1010 | 16,228.46 | 1.31 × 1010 | 89,739,751 | 313,654.4 | 7.48 × 108 | 6.66 × 108 | 52,008,316 | 1 × 109 | 46,202,757 | |
| std | 4.398296 | 7.27 × 109 | 107,558.8 | 1.44 × 1010 | 4388.247 | 3.74 × 109 | 13,773,809 | 82,205.87 | 3.09 × 108 | 1.24 × 108 | 25,476,621 | 5.03 × 108 | 10,856,438 | |
| median | 1341.801 | 2.11 × 1010 | 97,411.5 | 3.69 × 1010 | 15,817.02 | 8.03 × 109 | 83,480,911 | 182,561.7 | 1.53 × 108 | 4.43 × 108 | 4,840,914 | 2.93 × 108 | 34,769,564 | |
| rank | 1 | 12 | 3 | 13 | 2 | 11 | 7 | 4 | 8 | 10 | 5 | 9 | 6 | |
| C17-F14 | mean | 1429.458 | 21,629,558 | 1,019,175 | 40,326,460 | 1540.597 | 2,239,125 | 3,972,952 | 159,269.4 | 959,763.4 | 721,378.3 | 12,622,182 | 478,448.8 | 9,341,412 |
| best | 1425.995 | 7,065,176 | 315,847.7 | 12,368,356 | 1529.06 | 591,649.7 | 3,517,514 | 100,976.4 | 74,947.42 | 594,856.7 | 2,861,955 | 172,016.9 | 4,596,836 | |
| worst | 1431.939 | 42,342,695 | 2,427,168 | 81,648,276 | 1561.417 | 3,551,308 | 4,721,198 | 308,929.3 | 1,851,840 | 832,267.8 | 20,724,323 | 766,155.9 | 16,077,250 | |
| std | 2.692311 | 15,290,806 | 985,718.2 | 30,267,916 | 15.13539 | 1,260,429 | 533,876.2 | 102,826.2 | 745,089.6 | 127,191.3 | 8,317,365 | 249,747.6 | 4,978,439 | |
| median | 1429.95 | 18,555,180 | 666,841 | 33,644,603 | 1535.955 | 2,406,771 | 3,826,549 | 113,586 | 956,132.9 | 729,194.4 | 13,451,225 | 487,811.2 | 8,345,781 | |
| rank | 1 | 12 | 7 | 13 | 2 | 8 | 9 | 3 | 6 | 5 | 11 | 4 | 10 | |
| C17-F15 | mean | 1530.66 | 2.17 × 109 | 31,917.24 | 3.49 × 109 | 2139.059 | 1.42 × 109 | 8,268,173 | 101,399.5 | 4,957,875 | 58,803,800 | 1.65 × 108 | 9300.399 | 7,146,830 |
| best | 1526.359 | 1.54 × 109 | 19,800.39 | 2.72 × 109 | 2028.222 | 4.88 × 108 | 762,321.9 | 42,127.59 | 35528 | 34,481,112 | 16,215.58 | 2567.105 | 2,428,749 | |
| worst | 1532.953 | 2.84 × 109 | 58,561.65 | 4.13 × 109 | 2261.16 | 3.09 × 109 | 15,438,015 | 151,119.9 | 13,057,937 | 76,544,059 | 6.38 × 108 | 18,031.22 | 15,510,530 | |
| std | 3.013514 | 6.32 × 108 | 18,454.03 | 6.41 × 108 | 126.8756 | 1.24 × 109 | 6,625,549 | 49,760.11 | 5,836,236 | 18,067,125 | 3.25 × 108 | 7059.598 | 5,942,171 | |
| median | 1531.664 | 2.15 × 109 | 24,653.45 | 3.55 × 109 | 2133.428 | 1.05 × 109 | 8,436,177 | 106,175.3 | 3,369,019 | 62,095,015 | 9,951,567 | 8301.635 | 5,324,020 | |
| rank | 1 | 12 | 4 | 13 | 2 | 11 | 8 | 5 | 6 | 9 | 10 | 3 | 7 | |
| C17-F16 | mean | 2062.891 | 5581.005 | 3973.119 | 6665.639 | 2638.306 | 4212.793 | 4921.738 | 3117.378 | 3114.958 | 4131.227 | 3641.003 | 3128.543 | 3606.047 |
| best | 1728.601 | 4843.246 | 3647.374 | 5095.094 | 2465.812 | 3691.913 | 4094.726 | 2941.736 | 2798.314 | 3806.364 | 3373.11 | 2808.407 | 3042.777 | |
| worst | 2242.663 | 7043.283 | 4340.84 | 9804.628 | 2866.62 | 4493.657 | 5496.223 | 3348.255 | 3623.096 | 4333.498 | 4005.457 | 3509.443 | 4074.333 | |
| std | 239.2227 | 1047.135 | 333.2 | 2222.094 | 183.478 | 370.2944 | 622.3757 | 173.8423 | 404.3577 | 234.4206 | 326.9663 | 379.38 | 461.5267 | |
| median | 2140.15 | 5218.746 | 3952.13 | 5881.418 | 2610.396 | 4332.801 | 5048.001 | 3089.76 | 3019.212 | 4192.523 | 3592.723 | 3098.161 | 3653.54 | |
| rank | 1 | 12 | 8 | 13 | 2 | 10 | 11 | 4 | 3 | 9 | 7 | 5 | 6 | |
| C17-F17 | mean | 2021.151 | 6688.485 | 3302.53 | 9549.641 | 2469.247 | 3635.175 | 4115.561 | 2895.834 | 2810.65 | 3794.819 | 3520.846 | 3129.661 | 3324.428 |
| best | 1900.43 | 5149.529 | 2912.359 | 7040.035 | 2391.62 | 2961.829 | 3704.817 | 2417.094 | 2698.009 | 3243.61 | 3124.039 | 2948.398 | 3112.599 | |
| worst | 2138.267 | 8109.573 | 3761.455 | 12,292.24 | 2533.313 | 4035.847 | 4319.845 | 3292.78 | 3057.291 | 4131.374 | 3794.717 | 3425.605 | 3513.462 | |
| std | 137.8644 | 1253.581 | 404.4641 | 2220.67 | 64.57045 | 478.8141 | 295.3164 | 373.1915 | 170.8534 | 403.7638 | 294.9474 | 232.6045 | 193.1295 | |
| median | 2022.954 | 6747.419 | 3268.154 | 9433.143 | 2476.028 | 3771.512 | 4218.79 | 2936.732 | 2743.65 | 3902.147 | 3582.314 | 3072.321 | 3335.826 | |
| rank | 1 | 12 | 6 | 13 | 2 | 9 | 11 | 4 | 3 | 10 | 8 | 5 | 7 | |
| C17-F18 | mean | 1830.62 | 63,127,397 | 2,010,961 | 93,646,402 | 22,187.1 | 29,230,906 | 37,674,620 | 2,202,290 | 4,773,593 | 6,839,233 | 7,013,146 | 687,616.1 | 7,898,737 |
| best | 1822.239 | 50,515,236 | 260,770.1 | 42,104,533 | 3423.859 | 2,627,757 | 10,203,343 | 1,297,604 | 910,388.1 | 4,703,720 | 3,316,065 | 293,249.4 | 2,830,469 | |
| worst | 1841.673 | 74,439,111 | 3,683,100 | 1.3 × 108 | 33,031.5 | 83,511,815 | 68,196,717 | 3,428,095 | 9,521,953 | 9,506,696 | 13,105,733 | 1,127,379 | 18,988,156 | |
| std | 8.365267 | 10,614,200 | 1,781,089 | 44,344,961 | 13,284.68 | 38,179,569 | 29,459,324 | 1,046,951 | 4,615,210 | 2,086,960 | 4,583,614 | 392,927.4 | 7,665,119 | |
| median | 1829.285 | 63,777,620 | 2,049,987 | 1.01 × 108 | 26,146.52 | 15,392,026 | 36,149,211 | 2,041,730 | 4,331,015 | 6,573,259 | 5,815,394 | 664,918.1 | 4,888,162 | |
| rank | 1 | 12 | 4 | 13 | 2 | 10 | 11 | 5 | 6 | 7 | 8 | 3 | 9 | |
| C17-F19 | mean | 1925.185 | 2.27 × 109 | 216,902 | 3.2 × 109 | 2055.895 | 2.23 × 109 | 5,705,765 | 4,273,969 | 970,130.2 | 42,276,479 | 377,244.8 | 328,564.4 | 827,342.9 |
| best | 1924.437 | 1.08 × 109 | 76,334.3 | 2.16 × 109 | 2004.909 | 8,154,682 | 858,452.1 | 3,253,382 | 475,008.9 | 35,891,244 | 217,067.2 | 2737.203 | 647,243.5 | |
| worst | 1926.121 | 3.79 × 109 | 447,006 | 3.96 × 109 | 2081.044 | 6.51 × 109 | 13,447,694 | 5,300,348 | 1,491,455 | 53,685,590 | 826,313.6 | 820,181.3 | 1,120,630 | |
| std | 0.812781 | 1.17 × 109 | 165,222.7 | 8.22 × 108 | 35.7305 | 2.99 × 109 | 5,556,410 | 858,370.3 | 436,484.8 | 8,135,776 | 307,601.2 | 400,334.2 | 229,452.6 | |
| median | 1925.091 | 2.11 × 109 | 172,133.8 | 3.34 × 109 | 2068.813 | 1.2 × 109 | 4,258,458 | 4,271,074 | 957,028.3 | 39,764,541 | 232,799.3 | 245,669.4 | 770,749.2 | |
| rank | 1 | 12 | 3 | 13 | 2 | 11 | 9 | 8 | 7 | 10 | 5 | 4 | 6 | |
| C17-F20 | mean | 2160.172 | 3551.92 | 3081.871 | 3775.339 | 2576.451 | 3223.189 | 3486.468 | 3093.513 | 2546.611 | 3507.687 | 3729.636 | 3101.167 | 3000.111 |
| best | 2104.423 | 3261.669 | 2609.066 | 3531.444 | 2331.268 | 2834.542 | 3227.925 | 2888.455 | 2368.84 | 3394.291 | 3515.385 | 2752.085 | 2935.112 | |
| worst | 2323.891 | 3694.096 | 3519.588 | 3942.003 | 2804.926 | 3426.054 | 3967.93 | 3476.746 | 2745.71 | 3642.959 | 3955.542 | 3240.533 | 3098.743 | |
| std | 112.1118 | 208.9768 | 401.3669 | 178.7862 | 209.3622 | 272.2615 | 345.9497 | 275.9436 | 195.8616 | 112.6999 | 185.5858 | 239.6098 | 75.4523 | |
| median | 2106.186 | 3625.957 | 3099.416 | 3813.954 | 2584.806 | 3316.08 | 3375.009 | 3004.426 | 2535.946 | 3496.748 | 3723.807 | 3206.026 | 2983.294 | |
| rank | 1 | 11 | 5 | 13 | 3 | 8 | 9 | 6 | 2 | 10 | 12 | 7 | 4 | |
| C17-F21 | mean | 2314.895 | 2882.029 | 2683.598 | 2914.293 | 2427.113 | 2852.813 | 2845.191 | 2531.126 | 2487.319 | 2739.199 | 2756.115 | 2602.493 | 2678.824 |
| best | 2309.045 | 2850.955 | 2580.935 | 2825.697 | 2410.875 | 2762.782 | 2748.623 | 2500.882 | 2440.923 | 2720.286 | 2695.833 | 2541.586 | 2658.424 | |
| worst | 2329.683 | 2913.741 | 2843.263 | 2985.933 | 2446.777 | 2994.244 | 2924.65 | 2561.963 | 2522.542 | 2775.614 | 2788.092 | 2694.353 | 2694.385 | |
| std | 10.1546 | 31.61239 | 116.3349 | 79.13377 | 18.72946 | 102.2821 | 77.95723 | 31.952 | 35.48531 | 26.72565 | 43.52908 | 69.35481 | 18.71277 | |
| median | 2310.426 | 2881.71 | 2655.098 | 2922.772 | 2425.4 | 2827.113 | 2853.746 | 2530.829 | 2492.905 | 2730.448 | 2770.268 | 2587.017 | 2681.244 | |
| rank | 1 | 12 | 7 | 13 | 2 | 11 | 10 | 4 | 3 | 8 | 9 | 5 | 6 | |
| C17-F22 | mean | 3095.169 | 13,039.49 | 9826.909 | 14,101.28 | 4984.116 | 12,002.22 | 11,940.92 | 8030.367 | 7926.015 | 13,639.71 | 10,070.5 | 8665.845 | 7892.464 |
| best | 2300 | 12,675.96 | 7743.335 | 13,787.62 | 2316.91 | 11,514.62 | 11,300.89 | 6733.052 | 6917.145 | 13,106.75 | 9686.142 | 7857.368 | 3745.8 | |
| worst | 5480.678 | 13,528.23 | 11,335.17 | 14,662.71 | 7520.843 | 12,392.91 | 12,442.24 | 8996.724 | 8664.386 | 14,007.7 | 10,745.47 | 9334.598 | 11,904.18 | |
| std | 1633.424 | 370.3083 | 1769.517 | 416.5127 | 2773.424 | 454.7955 | 493.6015 | 974.6443 | 753.354 | 395.6171 | 479.7048 | 655.9321 | 4664.853 | |
| median | 2300 | 12,976.88 | 10,114.57 | 13,977.39 | 5049.356 | 12,050.67 | 12,010.28 | 8195.845 | 8061.265 | 13,722.19 | 9925.192 | 8735.706 | 7959.936 | |
| rank | 1 | 11 | 7 | 13 | 2 | 10 | 9 | 5 | 4 | 12 | 8 | 6 | 3 | |
| C17-F23 | mean | 2743.354 | 3650.732 | 3205.096 | 3714.708 | 2866.69 | 3585.901 | 3588.039 | 2950.211 | 2976.3 | 3196.58 | 4438.605 | 3277.074 | 3264.832 |
| best | 2729.988 | 3582.13 | 3133.303 | 3675.628 | 2856.807 | 3406.452 | 3431.629 | 2915.367 | 2908.134 | 3122.479 | 4273.643 | 3218.486 | 3152.818 | |
| worst | 2752.657 | 3734.727 | 3274.637 | 3747.738 | 2884.393 | 3873.109 | 3674.903 | 3010.714 | 3095.707 | 3254.528 | 4584.936 | 3325.963 | 3382.982 | |
| std | 10.28788 | 68.28771 | 69.37518 | 31.17598 | 12.52007 | 227.7969 | 111.7276 | 46.44885 | 84.38634 | 56.19525 | 131.1238 | 58.53935 | 96.7561 | |
| median | 2745.387 | 3643.036 | 3206.223 | 3717.733 | 2862.78 | 3532.023 | 3622.811 | 2937.381 | 2950.679 | 3204.656 | 4447.92 | 3281.923 | 3261.764 | |
| rank | 1 | 11 | 6 | 12 | 2 | 9 | 10 | 3 | 4 | 5 | 13 | 8 | 7 | |
| C17-F24 | mean | 2919.043 | 4010.998 | 3421.319 | 4243.979 | 3042.809 | 3837.26 | 3689.154 | 3101.868 | 3155.655 | 3366.463 | 4156.081 | 3378.972 | 3549.094 |
| best | 2909.046 | 3793.635 | 3327.519 | 3829.967 | 3017.92 | 3756.028 | 3595.113 | 3069.759 | 3072.317 | 3300.91 | 4126.692 | 3243.297 | 3515.085 | |
| worst | 2924.412 | 4494.655 | 3578.969 | 5255.436 | 3075.399 | 3956.391 | 3733.16 | 3132.026 | 3264.201 | 3416.819 | 4199.726 | 3512.298 | 3633.155 | |
| std | 7.008951 | 334.167 | 112.0403 | 699.6368 | 26.28215 | 94.77305 | 66.02717 | 27.46018 | 82.16196 | 55.82139 | 34.99998 | 122.7717 | 57.76433 | |
| median | 2921.358 | 3877.852 | 3389.395 | 3945.257 | 3038.958 | 3818.31 | 3714.171 | 3102.843 | 3143.051 | 3374.062 | 4148.953 | 3380.147 | 3524.068 | |
| rank | 1 | 11 | 7 | 13 | 2 | 10 | 9 | 3 | 4 | 5 | 12 | 6 | 8 | |
| C17-F25 | mean | 2983.145 | 7719.408 | 3147.649 | 10,531.67 | 3054.748 | 5532.008 | 3969.86 | 3043.705 | 3868.398 | 4154.663 | 4073.43 | 3099.795 | 3880.771 |
| best | 2980.235 | 6438.194 | 3123.497 | 8547.655 | 3036.952 | 4583.589 | 3624.628 | 3014.213 | 3703.685 | 3744.2 | 3779.306 | 3061.562 | 3789.69 | |
| worst | 2991.831 | 8529.623 | 3186.335 | 11,749.48 | 3069.982 | 6433.187 | 4229.797 | 3059.654 | 4040.107 | 4654.361 | 4629.915 | 3141.104 | 3983.99 | |
| std | 5.947342 | 952.1256 | 27.72478 | 1545.063 | 13.98796 | 816.7002 | 264.6084 | 21.23968 | 180.3098 | 472.2477 | 410.9092 | 41.14992 | 82.36824 | |
| median | 2980.257 | 7954.908 | 3140.382 | 10,914.77 | 3056.028 | 5555.628 | 4012.508 | 3050.476 | 3864.899 | 4110.046 | 3942.249 | 3098.256 | 3874.702 | |
| rank | 1 | 12 | 5 | 13 | 3 | 11 | 8 | 2 | 6 | 10 | 9 | 4 | 7 | |
| C17-F26 | mean | 3776.432 | 12,485.24 | 9857.964 | 13,316.65 | 3397.497 | 11,251.34 | 12,257.59 | 5477.849 | 6089.917 | 8800.124 | 10,340.32 | 7448.785 | 8179.371 |
| best | 3748.807 | 12,285.6 | 9425.481 | 12,793.3 | 3226.788 | 9462.749 | 11,475.07 | 5063.435 | 5759.105 | 8117.119 | 10,039.97 | 6963.818 | 6593.561 | |
| worst | 3793.643 | 12,649.4 | 10,292.56 | 14,122.22 | 3644.808 | 12,325.1 | 13,716.48 | 5703.791 | 6397.569 | 9439.729 | 10,681.34 | 7925.866 | 10,230.13 | |
| std | 19.97732 | 172.6557 | 364.1075 | 593.2476 | 194.1546 | 1275.012 | 1021.872 | 296.969 | 342.6607 | 569.9985 | 274.3567 | 443.6232 | 1775.382 | |
| median | 3781.639 | 12,502.99 | 9856.909 | 13,175.53 | 3359.195 | 11,608.75 | 11,919.41 | 5572.084 | 6101.497 | 8821.824 | 10,319.99 | 7452.727 | 7946.896 | |
| rank | 2 | 12 | 8 | 13 | 1 | 10 | 11 | 3 | 4 | 7 | 9 | 5 | 6 | |
| C17-F27 | mean | 3251.26 | 4558.072 | 3757.226 | 4717.941 | 3363.125 | 4482.345 | 4271.988 | 3345.037 | 3579.706 | 3740.707 | 7336.491 | 3584.334 | 4258.896 |
| best | 3227.701 | 4286.485 | 3715.225 | 4397.922 | 3268.38 | 3875.972 | 3783.542 | 3308.467 | 3538.728 | 3574.105 | 7117.882 | 3358.875 | 4162.671 | |
| worst | 3313.631 | 4750.001 | 3808.977 | 4953.475 | 3444.89 | 4909.919 | 4755.568 | 3401.624 | 3618.589 | 3892.62 | 7638.472 | 3799.69 | 4378.755 | |
| std | 42.83953 | 208.2423 | 45.64993 | 270.5635 | 75.15709 | 460.5976 | 467.4793 | 40.91249 | 40.33389 | 144.8357 | 255.2247 | 204.2976 | 94.75696 | |
| median | 3231.854 | 4597.9 | 3752.351 | 4760.183 | 3369.614 | 4571.744 | 4274.421 | 3335.029 | 3580.753 | 3748.051 | 7294.805 | 3589.385 | 4247.08 | |
| rank | 1 | 11 | 7 | 12 | 3 | 10 | 9 | 2 | 4 | 6 | 13 | 5 | 8 | |
| C17-F28 | mean | 3258.849 | 7875.995 | 3541.328 | 9941.846 | 3337.808 | 6631.38 | 4578.289 | 3281.782 | 4224.934 | 4939.068 | 4779.577 | 3776.84 | 4762.924 |
| best | 3258.849 | 7154.555 | 3471.646 | 8859.818 | 3306.732 | 5466.288 | 4063.599 | 3263.28 | 3996 | 4413.751 | 4728.187 | 3507.802 | 4548.706 | |
| worst | 3258.849 | 9699.368 | 3617.366 | 12,815.67 | 3375.969 | 7830.362 | 4775.276 | 3297.805 | 4512.748 | 5401.291 | 4880.971 | 4213.028 | 4921.505 | |
| std | 0 | 1258.68 | 73.85199 | 1971.415 | 34.88036 | 1231.024 | 353.5291 | 17.38953 | 247.5649 | 416.8153 | 71.31116 | 313.4874 | 185.5852 | |
| median | 3258.849 | 7325.028 | 3538.151 | 9045.946 | 3334.266 | 6614.436 | 4737.14 | 3283.021 | 4195.493 | 4970.615 | 4754.575 | 3693.265 | 4790.743 | |
| rank | 1 | 12 | 4 | 13 | 3 | 11 | 7 | 2 | 6 | 10 | 9 | 5 | 8 | |
| C17-F29 | mean | 3263.038 | 12,013.08 | 5155.336 | 16,966.75 | 3965.861 | 6335.854 | 8144.708 | 4593.855 | 4625.547 | 6027.632 | 7414.208 | 4596.644 | 5701.722 |
| best | 3247.132 | 8097.379 | 5034.352 | 9211.089 | 3662.325 | 5959.515 | 5651.218 | 4217.754 | 4449.501 | 5261.059 | 6198.558 | 4399.641 | 5441.194 | |
| worst | 3278.787 | 16,305.79 | 5272.736 | 26,537.5 | 4170.548 | 6783.875 | 10,517.49 | 5099.099 | 4881.193 | 6868.259 | 9561.805 | 4667.765 | 6212.377 | |
| std | 17.92966 | 3881.513 | 100.1932 | 7927.577 | 236.6456 | 351.4129 | 2058.726 | 378.9936 | 203.6804 | 780.7956 | 1556.614 | 134.9533 | 371.68 | |
| median | 3263.116 | 11,824.57 | 5157.127 | 16,059.22 | 4015.285 | 6300.014 | 8205.061 | 4529.282 | 4585.747 | 5990.604 | 6948.234 | 4659.585 | 5576.659 | |
| rank | 1 | 12 | 6 | 13 | 2 | 9 | 11 | 3 | 5 | 8 | 10 | 4 | 7 | |
| C17-F30 | mean | 623,575.2 | 2.73 × 109 | 18,352,940 | 4.58 × 109 | 1,487,669 | 1.38 × 109 | 1.32 × 108 | 58,942,891 | 1.16 × 108 | 2.51 × 108 | 1.54 × 108 | 4,120,584 | 48,887,890 |
| best | 582,411.6 | 2.11 × 109 | 11,254,579 | 2.81 × 109 | 1,154,970 | 1.7 × 108 | 89,570,536 | 53,274,378 | 56,426,470 | 1.75 × 108 | 1.18 × 108 | 2,907,481 | 39,468,838 | |
| worst | 655,637.4 | 3.71 × 109 | 25,121,412 | 7.19 × 109 | 2,358,780 | 2.81 × 109 | 1.83 × 108 | 67,789,140 | 1.73 × 108 | 3.18 × 108 | 2.02 × 108 | 5,692,794 | 68,578,838 | |
| std | 33,550.87 | 7.17 × 108 | 6,997,250 | 1.94 × 109 | 599,306 | 1.4 × 109 | 48,032,660 | 6,469,130 | 60,378,267 | 61,457,449 | 36,165,698 | 1,416,298 | 13,842,435 | |
| median | 628,125.9 | 2.56 × 109 | 18,517,886 | 4.16 × 109 | 1,218,463 | 1.28 × 109 | 1.29 × 108 | 57,354,023 | 1.18 × 108 | 2.56 × 108 | 1.48 × 108 | 3,941,030 | 43,751,942 | |
| rank | 1 | 12 | 4 | 13 | 2 | 11 | 8 | 6 | 7 | 10 | 9 | 3 | 5 | |
| Sum rank | 30 | 335 | 166 | 367 | 63 | 294 | 269 | 112 | 144 | 248 | 254 | 150 | 207 | |
| Mean rank | 1.034483 | 11.55172 | 5.724138 | 12.65517 | 2.172414 | 10.13793 | 9.275862 | 3.862069 | 4.965517 | 8.551724 | 8.758621 | 5.172414 | 7.137931 | |
| Total rank | 1 | 12 | 6 | 13 | 2 | 11 | 10 | 3 | 4 | 8 | 9 | 5 | 7 | |
| POA | WSO | AVOA | RSA | MPA | TSA | WOA | MVO | GWO | TLBO | GSA | PSO | GA | ||
|---|---|---|---|---|---|---|---|---|---|---|---|---|---|---|
| C17-F1 | mean | 100 | 1.39 × 1011 | 3.19 × 109 | 1.94 × 1011 | 4.33 × 108 | 1.05 × 1011 | 5.23 × 1010 | 54,852,229 | 4.76 × 1010 | 7.6 × 1010 | 1.14 × 1011 | 1.67 × 1010 | 4.68 × 1010 |
| best | 100 | 1.36 × 1011 | 1.55 × 109 | 1.91 × 1011 | 3.28 × 108 | 9.25 × 1010 | 4.94 × 1010 | 45,706,387 | 4.13 × 1010 | 7.24 × 1010 | 1.04 × 1011 | 1.12 × 1010 | 4.43 × 1010 | |
| worst | 100 | 1.43 × 1011 | 4.59 × 109 | 1.96 × 1011 | 5.47 × 108 | 1.17 × 1011 | 5.85 × 1010 | 64,235,296 | 5.39 × 1010 | 8.38 × 1010 | 1.21 × 1011 | 2.27 × 1010 | 5.28 × 1010 | |
| std | 1.19 × 10−14 | 2.93 × 109 | 1.28 × 109 | 2.3 × 109 | 1.09 × 108 | 1.06 × 1010 | 4.32 × 109 | 9,293,959 | 6.15 × 109 | 5.41 × 109 | 7.44 × 109 | 6.48 × 109 | 4.2 × 109 | |
| median | 100 | 1.39 × 1011 | 3.31 × 109 | 1.95 × 1011 | 4.29 × 108 | 1.05 × 1011 | 5.06 × 1010 | 54,733,616 | 4.77 × 1010 | 7.4 × 1010 | 1.14 × 1011 | 1.64 × 1010 | 4.5 × 1010 | |
| rank | 1 | 12 | 4 | 13 | 3 | 10 | 8 | 2 | 7 | 9 | 11 | 5 | 6 | |
| C17-F3 | mean | 300 | 356,822.5 | 272,039.4 | 268,843.8 | 131,575.1 | 302,970 | 657,547.9 | 388,370.4 | 306,828.3 | 246,796 | 286,153.2 | 450,679.2 | 481,038.8 |
| best | 300 | 325,159.2 | 265,681.1 | 259,332.9 | 100,728.8 | 242,793.7 | 575,512.9 | 322,609.5 | 280,769.3 | 231,497.7 | 264,862.3 | 341,428.2 | 461,303.6 | |
| worst | 300 | 373,192.5 | 278,132.7 | 274,437.1 | 159,198.2 | 345,991.9 | 761,479.5 | 464,924.1 | 336,002.8 | 261,138.9 | 313,191.9 | 632,641.2 | 496,677.8 | |
| std | 0 | 23,069.08 | 5405.063 | 7264.194 | 26,086.31 | 44888 | 82,337.72 | 74,421.55 | 30,350.08 | 12,441.73 | 20,597.91 | 138,498.8 | 16,046.35 | |
| median | 300 | 364,469 | 272,171.8 | 270,802.5 | 133,186.8 | 311,547.2 | 646,599.6 | 382,974 | 305,270.6 | 247,273.7 | 283,279.4 | 414,323.8 | 483,086.9 | |
| rank | 1 | 9 | 5 | 4 | 2 | 7 | 13 | 10 | 8 | 3 | 6 | 11 | 12 | |
| C17-F4 | mean | 602.1722 | 37,200.13 | 1395.351 | 62,656.05 | 949.0996 | 13,432.06 | 9212.415 | 733.9504 | 3820.981 | 9046.233 | 28,507.72 | 2159.921 | 7767.034 |
| best | 592.0676 | 34,244.38 | 1188.769 | 56,805.13 | 853.8108 | 8822.324 | 7863.571 | 686.5776 | 2959.035 | 8625.057 | 22,690.11 | 1346.902 | 7344.033 | |
| worst | 612.2769 | 40,775.07 | 1525.893 | 69,800.05 | 1048.065 | 17,828.22 | 10,104.17 | 782.7016 | 5694.419 | 9775.514 | 32,247.61 | 2697.897 | 8247.69 | |
| std | 11.98393 | 2884.073 | 157.7992 | 5534.342 | 96.64646 | 3822.612 | 978.9794 | 41.15435 | 1294.375 | 562.1131 | 4740.337 | 598.0332 | 430.9479 | |
| median | 602.1722 | 36,890.53 | 1433.37 | 62,009.52 | 947.2614 | 13,538.85 | 9440.961 | 733.2611 | 3315.236 | 8892.181 | 29,546.57 | 2297.443 | 7738.206 | |
| rank | 1 | 12 | 4 | 13 | 3 | 10 | 9 | 2 | 6 | 8 | 11 | 5 | 7 | |
| C17-F5 | mean | 512.9345 | 1713.456 | 1158.356 | 1688.389 | 1085.416 | 1839.181 | 1587.534 | 1094.013 | 1050.695 | 1616.155 | 1176.387 | 1240.032 | 1378.034 |
| best | 510.9445 | 1698.059 | 1148.207 | 1659.418 | 980.744 | 1818.63 | 1507.616 | 1004.061 | 1003.78 | 1593.486 | 1148.27 | 1158.131 | 1257.35 | |
| worst | 514.9244 | 1722.799 | 1165.849 | 1716.686 | 1156.185 | 1863.108 | 1712.415 | 1151.854 | 1090.71 | 1640.148 | 1202.516 | 1381.78 | 1450.591 | |
| std | 1.865752 | 11.03134 | 7.635601 | 29.64844 | 86.76592 | 21.19345 | 91.26585 | 68.35644 | 38.92925 | 19.58371 | 29.03695 | 107.9789 | 89.24287 | |
| median | 512.9345 | 1716.483 | 1159.684 | 1688.726 | 1102.367 | 1837.493 | 1565.052 | 1110.068 | 1054.144 | 1615.493 | 1177.382 | 1210.109 | 1402.098 | |
| rank | 1 | 12 | 5 | 11 | 3 | 13 | 9 | 4 | 2 | 10 | 6 | 7 | 8 | |
| C17-F6 | mean | 600 | 686.2561 | 650.1087 | 684.8479 | 630.2372 | 689.9604 | 684.22 | 660.4596 | 632.5629 | 665.8413 | 651.8302 | 649.7509 | 651.0804 |
| best | 600 | 684.0572 | 646.8065 | 680.8364 | 627.1287 | 679.9345 | 676.264 | 654.9711 | 628.4932 | 658.6757 | 649.7166 | 643.883 | 645.0896 | |
| worst | 600 | 688.314 | 653.57 | 687.2264 | 635.5005 | 696.8682 | 698.2933 | 665.5673 | 637.7053 | 670.1556 | 655.2582 | 654.5349 | 655.6 | |
| std | 0 | 1.973412 | 2.863424 | 2.900847 | 4.076006 | 8.394353 | 10.15573 | 4.674826 | 4.103813 | 5.638744 | 2.510844 | 5.196738 | 5.435079 | |
| median | 600 | 686.3265 | 650.0291 | 685.6644 | 629.1598 | 691.5195 | 681.1614 | 660.6501 | 632.0266 | 667.2669 | 651.173 | 650.2929 | 651.8159 | |
| rank | 1 | 12 | 5 | 11 | 2 | 13 | 10 | 8 | 3 | 9 | 7 | 4 | 6 | |
| C17-F7 | mean | 811.392 | 3078.549 | 2647.876 | 3172.9 | 1642.885 | 2936.941 | 3055.083 | 1776.654 | 1789.226 | 2661.299 | 2681.923 | 2157.269 | 2236.865 |
| best | 810.0205 | 3007.362 | 2517.822 | 3098.601 | 1595.363 | 2790.616 | 2956.24 | 1643.858 | 1635.004 | 2543.213 | 2575.234 | 1939.203 | 2154.734 | |
| worst | 813.1726 | 3162.245 | 2757.1 | 3235.912 | 1709.012 | 3075.254 | 3198.987 | 1877.404 | 1903.283 | 2758.246 | 2858.635 | 2254.415 | 2416.55 | |
| std | 1.500732 | 65.36608 | 123.0115 | 60.62822 | 50.50046 | 131.9066 | 114.421 | 99.82659 | 115.2611 | 91.24165 | 126.9898 | 153.3934 | 124.6292 | |
| median | 811.1874 | 3072.294 | 2658.291 | 3178.543 | 1633.582 | 2940.946 | 3032.553 | 1792.676 | 1809.308 | 2671.868 | 2646.912 | 2217.73 | 2188.088 | |
| rank | 1 | 12 | 7 | 13 | 2 | 10 | 11 | 3 | 4 | 8 | 9 | 5 | 6 | |
| C17-F8 | mean | 812.437 | 2111.514 | 1558.999 | 2155.866 | 1311.287 | 2093.096 | 2028.263 | 1330.475 | 1380.248 | 1975.447 | 1630.458 | 1533.499 | 1796.9 |
| best | 808.9546 | 2070.756 | 1514.017 | 2136.282 | 1172.108 | 2037.043 | 1865.023 | 1206.239 | 1294.809 | 1922.602 | 1563.68 | 1500.057 | 1755.117 | |
| worst | 816.9143 | 2160.449 | 1581.305 | 2168.607 | 1397.316 | 2164.109 | 2153.686 | 1478.289 | 1494.139 | 2018.868 | 1736.527 | 1610.497 | 1838.762 | |
| std | 3.490503 | 39.46893 | 31.82517 | 14.21747 | 101.6924 | 62.6837 | 151.6583 | 115.3078 | 92.24407 | 42.9253 | 79.30347 | 53.02921 | 36.57804 | |
| median | 811.9395 | 2107.427 | 1570.336 | 2159.287 | 1337.862 | 2085.616 | 2047.173 | 1318.687 | 1366.021 | 1980.159 | 1610.813 | 1511.721 | 1796.86 | |
| rank | 1 | 12 | 6 | 13 | 2 | 11 | 10 | 3 | 4 | 9 | 7 | 5 | 8 | |
| C17-F9 | mean | 900 | 72673 | 21,463.42 | 62,321.68 | 18,200.53 | 97,087.11 | 61,930.12 | 47,807.54 | 29,078.92 | 60,047.03 | 19,113.92 | 26,597.15 | 37,150.16 |
| best | 900 | 64,890.1 | 17,889.47 | 60,247.62 | 16,949.52 | 79,614.15 | 48,186.59 | 40,332.69 | 18,044.02 | 57,514.84 | 17,799.99 | 22,511.34 | 33,658.16 | |
| worst | 900 | 83,934.4 | 24,142.23 | 64,020.16 | 18,766.82 | 121,069 | 78,018.06 | 54,357.12 | 39,496.25 | 61,393.32 | 20,131.39 | 29,609.34 | 41,831.24 | |
| std | 9.53 × 10−14 | 8439.843 | 2676.226 | 1688.451 | 863.4577 | 17,876.94 | 15,298.97 | 5930.986 | 10,756.32 | 1817.986 | 1001.368 | 3241.433 | 3525.3 | |
| median | 900 | 70,933.74 | 21,910.99 | 62,509.46 | 18,542.9 | 93,832.65 | 60,757.92 | 48,270.17 | 29,387.71 | 60,639.98 | 19,262.15 | 27,133.95 | 36,555.61 | |
| rank | 1 | 12 | 4 | 11 | 2 | 13 | 10 | 8 | 6 | 9 | 3 | 5 | 7 | |
| C17-F10 | mean | 11,023.04 | 26,654.96 | 15,020.3 | 27,732.34 | 13,324.39 | 25,915.94 | 25,070.06 | 15,849.77 | 14,388.1 | 27,740.18 | 16,039.68 | 15,915.96 | 23,258.07 |
| best | 9625.608 | 26,353.3 | 12,995.83 | 27,038.62 | 12,781.35 | 25,353.33 | 24,414.69 | 15,359.08 | 13,258.65 | 26,507.18 | 14,606.66 | 14,564.86 | 22,622.29 | |
| worst | 11,858.81 | 27,030.57 | 16,910.95 | 28,251.05 | 14,141.58 | 26,715.13 | 26,344.54 | 16,388.95 | 14,902.23 | 28,667.37 | 16,907.43 | 16,756.64 | 23,837.44 | |
| std | 995.114 | 320.0939 | 1798.552 | 577.2643 | 634.1048 | 654.8937 | 901.4097 | 496.5617 | 784.6955 | 931.1423 | 1107.631 | 971.114 | 511.2961 | |
| median | 11,303.87 | 26,617.99 | 15,087.21 | 27,819.85 | 13,187.32 | 25,797.65 | 24,760.5 | 15,825.52 | 14,695.77 | 27,893.09 | 16,322.32 | 16,171.17 | 23,286.27 | |
| rank | 1 | 11 | 4 | 12 | 2 | 10 | 9 | 5 | 3 | 13 | 7 | 6 | 8 | |
| C17-F11 | mean | 1162.329 | 134,612.3 | 52,588.01 | 168,880.7 | 4126.681 | 53,605.52 | 170,451.2 | 3961.419 | 71,430.16 | 58,834.42 | 141,339.7 | 42,727.78 | 113,994.6 |
| best | 1139.568 | 104,512.5 | 47,266.62 | 129,243.6 | 3290.22 | 24,535.81 | 99,263.93 | 3471.134 | 59,361.4 | 49,651.74 | 117,805.8 | 19,535.8 | 87,032.77 | |
| worst | 1220.662 | 156,634.3 | 62,800.07 | 240,550.6 | 4901.723 | 76,617.73 | 274,712.4 | 4194.313 | 80,462.48 | 74,953.97 | 164,872.9 | 87,137.65 | 157,108.2 | |
| std | 40.09338 | 23,016.42 | 7379.838 | 51,504.53 | 711.6997 | 22,173.17 | 83,830.02 | 340.274 | 9275.106 | 11,393.93 | 19,966.49 | 31,050.73 | 31,530.95 | |
| median | 1144.542 | 138,651.1 | 50,142.67 | 152,864.4 | 4157.391 | 56,634.27 | 153,914.3 | 4090.115 | 72,948.37 | 55,365.98 | 141,340.1 | 32,118.83 | 105,918.8 | |
| rank | 1 | 10 | 5 | 12 | 3 | 6 | 13 | 2 | 8 | 7 | 11 | 4 | 9 | |
| C17-F12 | mean | 5974.805 | 8.62 × 1010 | 5.38 × 108 | 1.4 × 1011 | 2.13 × 108 | 4.64 × 1010 | 1.08 × 1010 | 2.72 × 108 | 9.35 × 109 | 1.79 × 1010 | 5.46 × 1010 | 8.25 × 109 | 1.01 × 1010 |
| best | 5383.905 | 6.13 × 1010 | 2.85 × 108 | 1.05 × 1011 | 1.19 × 108 | 2.38 × 1010 | 8.75 × 109 | 1.73 × 108 | 6.48 × 109 | 1.41 × 1010 | 4.74 × 1010 | 1.07 × 109 | 9.19 × 109 | |
| worst | 6570.199 | 9.61 × 1010 | 8.59 × 108 | 1.63 × 1011 | 2.55 × 108 | 7.7 × 1010 | 1.23 × 1010 | 4.27 × 108 | 1.11 × 1010 | 2.47 × 1010 | 6.42 × 1010 | 1.57 × 1010 | 1.19 × 1010 | |
| std | 507.8693 | 1.71 × 1010 | 2.54 × 108 | 2.73 × 1010 | 65,009,208 | 2.28 × 1010 | 1.54 × 109 | 1.15 × 108 | 2.06 × 109 | 4.98 × 109 | 7.21 × 109 | 6.83 × 109 | 1.27 × 109 | |
| median | 5972.559 | 9.37 × 1010 | 5.04 × 108 | 1.47 × 1011 | 2.39 × 108 | 4.25 × 1010 | 1.1 × 1010 | 2.44 × 108 | 9.9 × 109 | 1.65 × 1010 | 5.34 × 1010 | 8.12 × 109 | 9.62 × 109 | |
| rank | 1 | 12 | 4 | 13 | 2 | 10 | 8 | 3 | 6 | 9 | 11 | 5 | 7 | |
| C17-F13 | mean | 1407.28 | 2.28 × 1010 | 80,574.27 | 3.49 × 1010 | 79,471.01 | 1.75 × 1010 | 4.27 × 108 | 289,792.7 | 7.74 × 108 | 2.3 × 109 | 7.14 × 109 | 1.44 × 109 | 1.43 × 108 |
| best | 1371.145 | 1.98 × 1010 | 56,979.61 | 2.7 × 1010 | 34,182.78 | 1.24 × 1010 | 3.04 × 108 | 255,398.6 | 66,792,621 | 1.59 × 109 | 4.39 × 109 | 1.59 × 108 | 1.12 × 108 | |
| worst | 1439.935 | 2.53 × 1010 | 109,768.5 | 3.95 × 1010 | 197,022.9 | 2.09 × 1010 | 5.78 × 108 | 337,817.3 | 2.05 × 109 | 2.79 × 109 | 9.17 × 109 | 2.61 × 109 | 1.72 × 108 | |
| std | 35.69163 | 2.91 × 109 | 22,990.78 | 5.96 × 109 | 80968 | 3.7 × 109 | 1.45 × 108 | 37,057.41 | 9.39 × 108 | 5.59 × 108 | 2.05 × 109 | 1.24 × 109 | 31,895,575 | |
| median | 1409.02 | 2.3 × 1010 | 77,774.48 | 3.65 × 1010 | 43,339.18 | 1.83 × 1010 | 4.14 × 108 | 282,977.3 | 4.92 × 108 | 2.42 × 109 | 7.5 × 109 | 1.5 × 109 | 1.44 × 108 | |
| rank | 1 | 12 | 3 | 13 | 2 | 11 | 6 | 4 | 7 | 9 | 10 | 8 | 5 | |
| C17-F14 | mean | 1467.509 | 37,197,454 | 5,466,685 | 65,255,522 | 74,687.09 | 7,286,846 | 11,918,194 | 2,485,352 | 7,878,524 | 11,393,244 | 9,418,373 | 667,883.9 | 8,603,616 |
| best | 1458.803 | 32,123,384 | 3,315,151 | 59,516,459 | 21,503.76 | 3,309,974 | 6,860,812 | 750,232.9 | 4,983,390 | 8,488,751 | 7,259,554 | 317,528.2 | 4,814,013 | |
| worst | 1472.733 | 42,492,312 | 9,074,791 | 71,434,249 | 158,404.6 | 14,217,196 | 16,291,558 | 3,420,974 | 11,810,971 | 14,559,371 | 14,124,953 | 1,386,468 | 12,674,056 | |
| std | 6.209197 | 4,677,964 | 2,605,972 | 5,879,918 | 62,965.71 | 4,935,970 | 3,982,571 | 1,222,873 | 3,073,855 | 3,260,247 | 3,259,370 | 499,763.2 | 3,360,478 | |
| median | 1469.25 | 37,087,060 | 4,738,399 | 65,035,690 | 59,419.98 | 5,810,108 | 12,260,204 | 2,885,101 | 7,359,867 | 11,262,427 | 8,144,493 | 483,769.8 | 8,463,198 | |
| rank | 1 | 12 | 5 | 13 | 2 | 6 | 11 | 4 | 7 | 10 | 9 | 3 | 8 | |
| C17-F15 | mean | 1609.893 | 1.26 × 1010 | 69,370.46 | 1.93 × 1010 | 46,148.1 | 9.88 × 109 | 57,422,101 | 103,903 | 4.11 × 108 | 9.76 × 108 | 1.02 × 109 | 2.73 × 108 | 10,394,502 |
| best | 1551.154 | 1.17 × 1010 | 56,780.13 | 1.38 × 1010 | 13,517.63 | 2.05 × 108 | 31,981,638 | 71,184.3 | 26,937,678 | 3.26 × 108 | 4.07 × 108 | 50,630.11 | 6,702,420 | |
| worst | 1652.294 | 1.42 × 1010 | 87,025.88 | 2.4 × 1010 | 69,938.59 | 1.85 × 1010 | 1.1 × 108 | 152,770.1 | 1.23 × 109 | 2.08 × 109 | 1.3 × 109 | 1.08 × 109 | 17,711,015 | |
| std | 45.3586 | 1.12 × 109 | 14,851.33 | 5.23 × 109 | 24,462.7 | 8.16 × 109 | 36,744,160 | 36,893.9 | 5.72 × 108 | 7.92 × 108 | 4.25 × 108 | 5.52 × 108 | 5,136,228 | |
| median | 1618.063 | 1.23 × 1010 | 66,837.92 | 1.97 × 1010 | 50,568.08 | 1.04 × 1010 | 43,686,519 | 95,828.73 | 1.93 × 108 | 7.47 × 108 | 1.18 × 109 | 7,071,707 | 8,582,287 | |
| rank | 1 | 12 | 3 | 13 | 2 | 11 | 6 | 4 | 8 | 9 | 10 | 7 | 5 | |
| C17-F16 | mean | 2711.795 | 16,012.75 | 6339.766 | 19,049.54 | 5020.833 | 12,428.05 | 13,797.85 | 5899.538 | 5494.114 | 9913.052 | 9553.895 | 5807.791 | 9132.825 |
| best | 2171.69 | 15,028.6 | 5463.708 | 15,158.15 | 4904.968 | 10,251.41 | 11,324.27 | 5278.217 | 4983.364 | 9463.009 | 8315.094 | 5671.273 | 8374.525 | |
| worst | 3397.326 | 16,418.68 | 6926.982 | 21,180.98 | 5123.19 | 14,905.49 | 15,213.89 | 6292.986 | 5983.629 | 10,735.61 | 10,910.6 | 5919.126 | 9778.948 | |
| std | 523.7732 | 679.046 | 642.8286 | 2818.137 | 118.6712 | 1964.904 | 1809.969 | 491.0011 | 564.8153 | 614.6226 | 1208.589 | 105.6406 | 647.8327 | |
| median | 2639.081 | 16,301.87 | 6484.187 | 19,929.51 | 5027.588 | 12,277.66 | 14,326.62 | 6013.474 | 5504.731 | 9726.794 | 9494.942 | 5820.383 | 9188.914 | |
| rank | 1 | 12 | 6 | 13 | 2 | 10 | 11 | 5 | 3 | 9 | 8 | 4 | 7 | |
| C17-F17 | mean | 2716.564 | 3,460,690 | 5278.977 | 6,807,697 | 4297.894 | 179,834.7 | 14,457.77 | 4560.73 | 5000.734 | 7657.1 | 38,547.08 | 5486.593 | 6354.464 |
| best | 2275.021 | 1,014,586 | 5040.925 | 1,845,539 | 4049.324 | 8854.736 | 9018.615 | 4149.113 | 4121.38 | 7508 | 25,526.42 | 5266.846 | 6299.009 | |
| worst | 3429.127 | 7,873,139 | 5666.053 | 15,664,206 | 4526.101 | 476,948.7 | 24,245.76 | 4922.177 | 6445.983 | 7893.557 | 62,324.99 | 5629.111 | 6460.004 | |
| std | 528.3898 | 3,320,761 | 301.2767 | 6,677,440 | 227.8255 | 210,069.5 | 7045.023 | 392.0188 | 1070.156 | 175.195 | 16,751.95 | 158.8681 | 73.75885 | |
| median | 2581.054 | 2,477,518 | 5204.466 | 4,860,521 | 4308.075 | 116,767.6 | 12,283.34 | 4585.815 | 4717.786 | 7613.422 | 33,168.45 | 5525.207 | 6329.422 | |
| rank | 1 | 12 | 5 | 13 | 2 | 11 | 9 | 3 | 4 | 8 | 10 | 6 | 7 | |
| C17-F18 | mean | 1903.746 | 47,894,555 | 2,310,227 | 84,518,490 | 190,659.1 | 12,221,836 | 9,843,795 | 4,025,843 | 8,988,758 | 13,289,966 | 9,641,892 | 5,279,389 | 4,952,111 |
| best | 1881.15 | 21,698,211 | 1,148,961 | 32,805,132 | 133,021.7 | 4,578,030 | 7,321,990 | 2,981,556 | 2,830,828 | 9,793,146 | 4,445,340 | 3,260,604 | 3,970,706 | |
| worst | 1919.921 | 86,612,495 | 3,652,415 | 1.55 × 108 | 343,343.4 | 24,974,816 | 11,661,348 | 6,762,303 | 14,525,423 | 18,785,306 | 21,434,676 | 7,605,804 | 7,169,003 | |
| std | 19.90425 | 28,481,148 | 1,164,994 | 52,706,461 | 104,871 | 9,439,239 | 2,031,181 | 1,881,089 | 4,942,116 | 3,967,275 | 8,225,806 | 2,073,772 | 1,546,019 | |
| median | 1906.955 | 41,633,757 | 2,219,766 | 75,362,668 | 143,135.6 | 9,667,250 | 10,195,921 | 3,179,757 | 9,299,390 | 12,290,706 | 6,343,776 | 5,125,574 | 4,334,367 | |
| rank | 1 | 12 | 3 | 13 | 2 | 10 | 9 | 4 | 7 | 11 | 8 | 6 | 5 | |
| C17-F19 | mean | 1972.839 | 1.04 × 1010 | 2,362,491 | 1.83 × 1010 | 230,108.6 | 4.14 × 109 | 1.1 × 108 | 13,654,870 | 2.96 × 108 | 5.49 × 108 | 1.3 × 109 | 2.21 × 108 | 10,503,303 |
| best | 1967.139 | 9.2 × 109 | 904,673.4 | 1.34 × 1010 | 48,684.43 | 1.84 × 109 | 43,630,380 | 7,964,383 | 2,348,641 | 2.38 × 108 | 2.33 × 108 | 36,773,561 | 5,362,045 | |
| worst | 1977.869 | 1.23 × 1010 | 4,348,722 | 2.28 × 1010 | 389,547.4 | 8.23 × 109 | 1.85 × 108 | 21,704,035 | 8.9 × 108 | 1.26 × 109 | 2.45 × 109 | 4.79 × 108 | 18,995,339 | |
| std | 4.659759 | 1.43 × 109 | 1,495,119 | 4 × 109 | 145,313.2 | 2.9 × 109 | 67,427,821 | 6,966,481 | 4.26 × 108 | 4.94 × 108 | 1.13 × 109 | 2.2 × 108 | 6,213,630 | |
| median | 1973.174 | 1.01 × 1010 | 2,098,285 | 1.86 × 1010 | 241,101.2 | 3.25 × 109 | 1.05 × 108 | 12,475,530 | 1.46 × 108 | 3.48 × 108 | 1.25 × 109 | 1.85 × 108 | 8,827,915 | |
| rank | 1 | 12 | 3 | 13 | 2 | 11 | 6 | 5 | 8 | 9 | 10 | 7 | 4 | |
| C17-F20 | mean | 3192.04 | 6567.794 | 5653.156 | 6776.389 | 4267.781 | 6355.055 | 6365.416 | 5352.871 | 5569.311 | 6533.95 | 5772.471 | 4990.757 | 5732.389 |
| best | 2806.762 | 6354.057 | 5417.394 | 6712.36 | 4167.712 | 5784.031 | 6063.448 | 5126.343 | 4577.831 | 5811.094 | 5463.899 | 4325.736 | 5172.25 | |
| worst | 3662.121 | 6787.248 | 5871.457 | 6910.434 | 4349.534 | 7064.472 | 6720.677 | 5744.821 | 6391.821 | 6826.52 | 5934.124 | 5777.557 | 6089.943 | |
| std | 451.2632 | 195.8611 | 240.0771 | 93.26987 | 77.59644 | 573.7388 | 296.3053 | 281.3659 | 910.8455 | 496.684 | 216.9234 | 643.6342 | 451.9964 | |
| median | 3149.639 | 6564.936 | 5661.887 | 6741.381 | 4276.94 | 6285.858 | 6338.769 | 5270.159 | 5653.796 | 6749.093 | 5845.931 | 4929.869 | 5833.682 | |
| rank | 1 | 12 | 6 | 13 | 2 | 9 | 10 | 4 | 5 | 11 | 8 | 3 | 7 | |
| C17-F21 | mean | 2342.155 | 3936.255 | 3428.272 | 4037.847 | 2744.718 | 3800.888 | 3885.327 | 3076.144 | 2861.886 | 3461.987 | 4286.766 | 3358.879 | 3224.172 |
| best | 2338.689 | 3897.727 | 3253.086 | 3974.827 | 2708.006 | 3681.123 | 3637.319 | 3018.663 | 2793.484 | 3329.061 | 3827.764 | 3203.068 | 3194.14 | |
| worst | 2346.015 | 3994.366 | 3542.899 | 4085.116 | 2773.289 | 3882.291 | 4076.884 | 3183.716 | 2907.116 | 3613.682 | 4655.793 | 3653.096 | 3265.66 | |
| std | 3.460098 | 47.67605 | 128.2378 | 49.14714 | 28.36417 | 101.2622 | 202.301 | 75.94341 | 49.60032 | 124.534 | 354.7142 | 209.5381 | 31.7634 | |
| median | 2341.959 | 3926.465 | 3458.551 | 4045.723 | 2748.788 | 3820.069 | 3913.553 | 3051.099 | 2873.472 | 3452.602 | 4331.754 | 3289.676 | 3218.445 | |
| rank | 1 | 11 | 7 | 12 | 2 | 9 | 10 | 4 | 3 | 8 | 13 | 6 | 5 | |
| C17-F22 | mean | 11739 | 28,172.59 | 18,735.12 | 29,538.13 | 17,455.15 | 27,345.2 | 25,999.83 | 16,295.9 | 21,263.1 | 29,437.21 | 19,478.09 | 20,105.81 | 25,721.35 |
| best | 11,119.08 | 27,395.55 | 17,607.65 | 29,162.03 | 16,460.94 | 26,279.36 | 24,653.63 | 15,563.07 | 17,435.82 | 28,520.7 | 18,881.33 | 18,940.91 | 24,806.45 | |
| worst | 12,601.6 | 28,629.67 | 20,191.76 | 30,067.56 | 18,790.81 | 28,390.93 | 27,133.25 | 16,899.95 | 30,390.26 | 29,867.78 | 19,882.71 | 21,371.61 | 26,403.85 | |
| std | 670.4039 | 589.6365 | 1219.607 | 397.6551 | 1012.878 | 888.746 | 1118.426 | 683.2184 | 6344.73 | 641.5669 | 435.4176 | 1030.321 | 823.7796 | |
| median | 11,617.67 | 28,332.57 | 18,570.54 | 29,461.46 | 17,284.43 | 27,355.26 | 26,106.21 | 16,360.29 | 18,613.17 | 29,680.17 | 19,574.16 | 20,055.37 | 25,837.55 | |
| rank | 1 | 11 | 4 | 13 | 3 | 10 | 9 | 2 | 7 | 12 | 5 | 6 | 8 | |
| C17-F23 | mean | 2877.697 | 4909.274 | 3897.417 | 4911.066 | 3224.427 | 5009.228 | 4754.862 | 3379.513 | 3490.336 | 3981.02 | 7024.793 | 4523.727 | 4024.355 |
| best | 2872.107 | 4698.658 | 3829.733 | 4686.8 | 3212.144 | 4375.185 | 4635.595 | 3302.136 | 3462.519 | 3935.695 | 6528.447 | 4088.171 | 3968.4 | |
| worst | 2884.013 | 5155.534 | 3968.806 | 5086.335 | 3250.782 | 5868.487 | 4874.469 | 3478.908 | 3528.331 | 4046.2 | 7376.676 | 4755.132 | 4077.859 | |
| std | 5.357202 | 210.0399 | 66.98634 | 170.0295 | 18.22406 | 686.4955 | 117.7478 | 76.61245 | 30.8675 | 47.9752 | 393.8005 | 308.3436 | 61.38807 | |
| median | 2877.334 | 4891.451 | 3895.564 | 4935.565 | 3217.391 | 4896.619 | 4754.692 | 3368.504 | 3485.247 | 3971.092 | 7097.025 | 4625.801 | 4025.582 | |
| rank | 1 | 10 | 5 | 11 | 2 | 12 | 9 | 3 | 4 | 6 | 13 | 8 | 7 | |
| C17-F24 | mean | 3327.407 | 7654.069 | 5028.818 | 9295.819 | 3650.5 | 6109.359 | 5866.757 | 3860.667 | 4131.949 | 4512.935 | 9557.407 | 5518.107 | 5031.28 |
| best | 3295.518 | 6080.871 | 4849.854 | 6396.632 | 3611.852 | 5694.234 | 5511.285 | 3798.2 | 3936.704 | 4319.754 | 9006.742 | 5206.928 | 4959.558 | |
| worst | 3357.991 | 8722.239 | 5178.953 | 11,219.82 | 3708.311 | 6378.761 | 6406.139 | 3951.043 | 4307.423 | 4701.792 | 10,990.06 | 5915.538 | 5169.385 | |
| std | 30.42243 | 1296.2 | 149.2755 | 2398.2 | 47.49002 | 300.5585 | 399.0602 | 73.00364 | 199.5073 | 160.6953 | 982.4706 | 324.0293 | 98.16265 | |
| median | 3328.059 | 7906.583 | 5043.231 | 9783.41 | 3640.918 | 6182.221 | 5774.802 | 3846.713 | 4141.834 | 4515.097 | 9116.414 | 5474.982 | 4998.089 | |
| rank | 1 | 11 | 6 | 12 | 2 | 10 | 9 | 3 | 4 | 5 | 13 | 8 | 7 | |
| C17-F25 | mean | 3185.232 | 13,234.48 | 3979.524 | 18,274.73 | 3601.961 | 9249.247 | 6611.679 | 3371.093 | 5886.412 | 7946.071 | 9713.328 | 3980.408 | 7098.013 |
| best | 3137.371 | 12,601.16 | 3665.163 | 16,991.17 | 3447.531 | 8695.57 | 6085.761 | 3309.86 | 5764.028 | 6909.91 | 8992.442 | 3756.703 | 6495.826 | |
| worst | 3261.571 | 14,707.24 | 4270.313 | 21,165.62 | 3717.086 | 9610.909 | 6926.438 | 3431.056 | 6217.517 | 9331.78 | 10,981.67 | 4331.937 | 7700.584 | |
| std | 61.52949 | 1018.704 | 255.7634 | 2022.54 | 115.5731 | 424.0722 | 391.3741 | 51.16903 | 227.2854 | 1137.891 | 902.3143 | 285.8758 | 640.5351 | |
| median | 3170.992 | 12,814.75 | 3991.31 | 17,471.07 | 3621.612 | 9345.255 | 6717.259 | 3371.727 | 5782.052 | 7771.298 | 9439.599 | 3916.495 | 7097.821 | |
| rank | 1 | 12 | 4 | 13 | 3 | 10 | 7 | 2 | 6 | 9 | 11 | 5 | 8 | |
| C17-F26 | mean | 5757.621 | 33,814.21 | 21,454.77 | 38,754.91 | 10,644.44 | 28,664.88 | 29,186.46 | 10,818.08 | 14,996.27 | 20,816.13 | 29,105.02 | 18190 | 20,097.35 |
| best | 5645.905 | 33,338.22 | 19,072.76 | 36,608.49 | 10,053.37 | 27,618.72 | 26,275.7 | 9665.832 | 13,418.35 | 17,195.2 | 27,945.26 | 16,373.82 | 18,751.66 | |
| worst | 5844.642 | 34,231.54 | 23,904.72 | 40,086.1 | 11,279.01 | 29,309.07 | 31,664.53 | 12,812.66 | 16,341.08 | 25,395.27 | 30,626.7 | 19,856.37 | 21,014.33 | |
| std | 86.19253 | 384.2725 | 2124.891 | 1711.43 | 626.4884 | 750.0704 | 2731.102 | 1414.348 | 1266.478 | 3492.437 | 1155.517 | 1506.606 | 1001.112 | |
| median | 5769.969 | 33,843.54 | 21,420.8 | 39,162.52 | 10,622.68 | 28,865.87 | 29,402.8 | 10,396.92 | 15,112.83 | 20,337.02 | 28,924.06 | 18,264.9 | 20,311.69 | |
| rank | 1 | 12 | 8 | 13 | 2 | 9 | 11 | 3 | 4 | 7 | 10 | 5 | 6 | |
| C17-F27 | mean | 3309.493 | 8327.753 | 4022.239 | 10,795.84 | 3497.578 | 6058.864 | 5560.881 | 3572.454 | 3954.812 | 4160.881 | 12,269.99 | 3948.446 | 5126.891 |
| best | 3278.01 | 7097.49 | 3875.389 | 8220.487 | 3469.565 | 5810.983 | 4968.438 | 3536.2 | 3809.989 | 3928.691 | 11,978.11 | 3778.598 | 4908.649 | |
| worst | 3344.5 | 9574.168 | 4263.384 | 13,478.56 | 3524.275 | 6368.227 | 6219.759 | 3649.169 | 4072.225 | 4543.659 | 12,503.97 | 4115.756 | 5453.529 | |
| std | 29.13307 | 1382.852 | 172.1394 | 2911.656 | 22.95773 | 248.8617 | 690.9647 | 53.9399 | 132.5784 | 279.9852 | 242.9169 | 193.7832 | 239.7051 | |
| median | 3307.732 | 8319.677 | 3975.091 | 10,742.15 | 3498.236 | 6028.123 | 5527.664 | 3552.225 | 3968.516 | 4085.586 | 12,298.95 | 3949.714 | 5072.694 | |
| rank | 1 | 11 | 6 | 12 | 2 | 10 | 9 | 3 | 5 | 7 | 13 | 4 | 8 | |
| C17-F28 | mean | 3322.242 | 17,991.2 | 4478.19 | 24,108.64 | 3697.249 | 13,651.33 | 9207.387 | 3436.49 | 8286.21 | 9873.556 | 16,237.66 | 6929.717 | 10,135.48 |
| best | 3318.742 | 16,786.97 | 4225.378 | 21,649.57 | 3592.713 | 10,824.52 | 7941.293 | 3366.715 | 7097.487 | 7824.721 | 14,079.56 | 4870.127 | 9275.217 | |
| worst | 3327.816 | 20,221.49 | 4664.684 | 27,186.66 | 3771.72 | 15,794.61 | 10,035.95 | 3504.902 | 9983.366 | 11,672.86 | 17,865.46 | 10,422.95 | 11,089.27 | |
| std | 4.500714 | 1604.85 | 191.0708 | 2384.987 | 77.38139 | 2446.604 | 916.0249 | 58.38879 | 1250.086 | 1842.249 | 1626.437 | 2598.878 | 997.1342 | |
| median | 3321.205 | 17,478.16 | 4511.349 | 23,799.16 | 3712.281 | 13,993.1 | 9426.153 | 3437.172 | 8031.994 | 9998.32 | 16,502.81 | 6212.894 | 10,088.71 | |
| rank | 1 | 12 | 4 | 13 | 3 | 10 | 7 | 2 | 6 | 8 | 11 | 5 | 9 | |
| C17-F29 | mean | 4450.696 | 153,525.4 | 8751.92 | 291,582.6 | 6470.85 | 16,101.64 | 14,518.18 | 7969.069 | 7654.422 | 11,086.21 | 21,508.36 | 7938.949 | 10,592.56 |
| best | 4169.151 | 87,746.73 | 7664.862 | 156,769.3 | 5742.449 | 12,568.33 | 12,184.87 | 7242.033 | 7468.228 | 10,329.34 | 17,877.27 | 7368.964 | 10,404.47 | |
| worst | 4829.521 | 209,282.3 | 9350.469 | 404,565.4 | 7122.632 | 20,193.8 | 16,519.68 | 8491.258 | 7895.494 | 11,599.65 | 27,959.25 | 8649.222 | 10,989.46 | |
| std | 289.9914 | 53,145.28 | 764.3004 | 108,453.6 | 584.5761 | 3272.876 | 2201.057 | 551.5885 | 183.939 | 554.7787 | 4827.237 | 610.5231 | 282.6706 | |
| median | 4402.056 | 158,536.3 | 8996.175 | 302,497.8 | 6509.159 | 15,822.21 | 14,684.08 | 8071.493 | 7626.983 | 11,207.92 | 20,098.45 | 7868.806 | 10,488.15 | |
| rank | 1 | 12 | 6 | 13 | 2 | 10 | 9 | 5 | 3 | 8 | 11 | 4 | 7 | |
| C17-F30 | mean | 5407.166 | 1.93 × 1010 | 23,035,407 | 3.13 × 1010 | 3,901,472 | 1.11 × 1010 | 1.25 × 109 | 85,519,419 | 1.53 × 109 | 3.14 × 109 | 6.1 × 109 | 5.03 × 108 | 5.53 × 108 |
| best | 5337.48 | 1.69 × 1010 | 13,126,945 | 2.93 × 1010 | 1,739,030 | 6.77 × 109 | 1.02 × 109 | 52,622,040 | 6.27 × 108 | 1.18 × 109 | 4.36 × 109 | 1.22 × 108 | 4.61 × 108 | |
| worst | 5557.155 | 2.09 × 1010 | 40,507,493 | 3.39 × 1010 | 6,370,142 | 1.38 × 1010 | 1.69 × 109 | 1.05 × 108 | 2 × 109 | 5.83 × 109 | 7.39 × 109 | 1.56 × 109 | 5.93 × 108 | |
| std | 103.8976 | 1.74 × 109 | 12,590,648 | 2.04 × 109 | 2,198,236 | 3.15 × 109 | 3.09 × 108 | 24,056,210 | 6.32 × 108 | 2.4 × 109 | 1.32 × 109 | 7.23 × 108 | 63,276,132 | |
| median | 5367.014 | 1.96 × 1010 | 19,253,594 | 3.11 × 1010 | 3,748,358 | 1.2 × 1010 | 1.14 × 109 | 92,179,183 | 1.74 × 109 | 2.78 × 109 | 6.34 × 109 | 1.65 × 108 | 5.79 × 108 | |
| rank | 1 | 12 | 3 | 13 | 2 | 11 | 7 | 4 | 8 | 9 | 10 | 5 | 6 | |
| Sum rank | 29 | 336 | 140 | 355 | 65 | 293 | 265 | 114 | 156 | 249 | 272 | 162 | 203 | |
| Mean rank | 1 | 11.586207 | 4.8275862 | 12.241379 | 2.2413793 | 10.103448 | 9.137931 | 3.9310345 | 5.3793103 | 8.5862069 | 9.3793103 | 5.5862069 | 7 | |
| Total rank | 1 | 12 | 4 | 13 | 2 | 11 | 9 | 3 | 5 | 8 | 10 | 6 | 7 | |
| Compared Algorithm | Objective Function Type | |||
|---|---|---|---|---|
| CEC 2017 | ||||
| D = 10 | D = 30 | D = 50 | D = 100 | |
| POA vs. WSO | 1.28 × 10−21 | 1.28 × 10−21 | 1.28 × 10−21 | 1.28 × 10−21 |
| POA vs. AVOA | 2.46 × 10−19 | 1.98 × 10−21 | 1.28 × 10−21 | 1.28 × 10−21 |
| POA vs. RSA | 1.28 × 10−21 | 1.28 × 10−21 | 1.28 × 10−21 | 1.28 × 10−21 |
| POA vs. MPA | 1.31 × 10−18 | 1.02 × 10−16 | 4.33 × 10−18 | 1.28 × 10−21 |
| POA vs. TSA | 6.20 × 10−21 | 1.28 × 10−21 | 1.28 × 10−21 | 1.28 × 10−21 |
| POA vs. WOA | 6.20 × 10−21 | 1.28 × 10−21 | 1.28 × 10−21 | 1.28 × 10−21 |
| POA vs. MVO | 5.89 × 10−19 | 1.39 × 10−21 | 1.28 × 10−21 | 1.28 × 10−21 |
| POA vs. GWO | 3.41 × 10−21 | 1.28 × 10−21 | 1.28 × 10−21 | 1.28 × 10−21 |
| POA vs. TLBO | 2.41 × 10−21 | 1.28 × 10−21 | 1.28 × 10−21 | 1.28 × 10−21 |
| POA vs. GSA | 1.05 × 10−18 | 1.32 × 10−21 | 1.28 × 10−21 | 1.28 × 10−21 |
| POA vs. PSO | 1.01 × 10−19 | 1.54 × 10−21 | 1.28 × 10−21 | 1.28 × 10−21 |
| POA vs. GA | 1.76 × 10−19 | 1.28 × 10−21 | 1.28 × 10−21 | 1.28 × 10−21 |
| POA | WSO | AVOA | RSA | MPA | TSA | WOA | MVO | GWO | TLBO | GSA | PSO | GA | ||
|---|---|---|---|---|---|---|---|---|---|---|---|---|---|---|
| C11-F1 | mean | 5.920103 | 16.29617 | 12.12715 | 20.06805 | 7.372872 | 16.94094 | 12.38434 | 13.04843 | 10.27841 | 16.96911 | 19.8221 | 16.53429 | 21.31513 |
| best | 2 × 10−10 | 13.50111 | 7.791703 | 17.72143 | 0.326893 | 15.41917 | 7.235374 | 11.08197 | 0.980679 | 16.26314 | 17.25998 | 9.2021 | 19.60384 | |
| worst | 12.30606 | 19.44839 | 16.24841 | 22.93654 | 12.64011 | 18.86907 | 16.64328 | 15.36547 | 15.30159 | 17.55835 | 21.86564 | 22.8677 | 24.01321 | |
| std | 7.032006 | 3.148419 | 4.880388 | 2.738736 | 5.899133 | 1.518094 | 4.62061 | 2.084239 | 6.560785 | 0.705619 | 2.041764 | 6.1097 | 2.014154 | |
| median | 5.687176 | 16.11758 | 12.23424 | 19.80712 | 8.262244 | 16.73777 | 12.82936 | 12.87313 | 12.41568 | 17.02748 | 20.08139 | 17.03368 | 20.82173 | |
| rank | 1 | 7 | 4 | 12 | 2 | 9 | 5 | 6 | 3 | 10 | 11 | 8 | 13 | |
| C11-F2 | mean | −26.3179 | −15.9138 | −21.7194 | −13.4565 | −25.2481 | −13.2117 | −19.6074 | −11.0437 | −23.1085 | −12.8688 | −16.9203 | −23.1512 | −14.6421 |
| best | −27.0676 | −16.9621 | −22.2939 | −13.8985 | −25.85 | −16.3476 | −22.4632 | −12.8537 | −24.8167 | −14.0126 | −21.4324 | −24.3687 | −16.5512 | |
| worst | −25.4328 | −14.9089 | −21.1364 | −13.0127 | −24.0741 | −11.3447 | −16.2291 | −9.68473 | −19.9571 | −11.8322 | −13.3466 | −21.1826 | −13.2755 | |
| std | 0.722057 | 1.072936 | 0.501119 | 0.475801 | 0.857781 | 2.413417 | 3.328862 | 1.440992 | 2.237383 | 0.930503 | 3.745006 | 1.408354 | 1.621478 | |
| median | −26.3856 | −15.8921 | −21.7236 | −13.4575 | −25.5342 | −12.5772 | −19.8687 | −10.8182 | −23.8302 | −12.8153 | −16.4511 | −23.5268 | −14.3708 | |
| rank | 1 | 8 | 5 | 10 | 2 | 11 | 6 | 13 | 4 | 12 | 7 | 3 | 9 | |
| C11-F4 | mean | 1.15 × 10−5 | 1.15 × 10−5 | 1.15 × 10−5 | 1.15 × 10−5 | 1.15 × 10−5 | 1.15 × 10−5 | 1.15 × 10−5 | 1.15 × 10−5 | 1.15 × 10−5 | 1.15 × 10−5 | 1.15 × 10−5 | 1.15 × 10−5 | 1.15 × 10−5 |
| best | 1.15 × 10−5 | 1.15 × 10−5 | 1.15 × 10−5 | 1.15 × 10−5 | 1.15 × 10−5 | 1.15 × 10−5 | 1.15 × 10−5 | 1.15 × 10−5 | 1.15 × 10−5 | 1.15 × 10−5 | 1.15 × 10−5 | 1.15 × 10−5 | 1.15 × 10−5 | |
| worst | 1.15 × 10−5 | 1.15 × 10−5 | 1.15 × 10−5 | 1.15 × 10−5 | 1.15 × 10−5 | 1.15 × 10−5 | 1.15 × 10−5 | 1.15 × 10−5 | 1.15 × 10−5 | 1.15 × 10−5 | 1.15 × 10−5 | 1.15 × 10−5 | 1.15 × 10−5 | |
| std | 1.95 × 10−19 | 1.87 × 10−11 | 2.14 × 10−9 | 4.2 × 10−11 | 1.05 × 10−15 | 2.01 × 10−14 | 4.9 × 10−19 | 8.38 × 10−13 | 3.14 × 10−15 | 6.6 × 10−14 | 1.69 × 10−19 | 6.42 × 10−20 | 2.31 × 10−18 | |
| median | 1.15 × 10−5 | 1.15 × 10−5 | 1.15 × 10−5 | 1.15 × 10−5 | 1.15 × 10−5 | 1.15 × 10−5 | 1.15 × 10−5 | 1.15 × 10−5 | 1.15 × 10−5 | 1.15 × 10−5 | 1.15 × 10−5 | 1.15 × 10−5 | 1.15 × 10−5 | |
| rank | 1 | 11 | 13 | 12 | 6 | 8 | 4 | 10 | 7 | 9 | 3 | 2 | 5 | |
| C11-F4 | mean | 0 | 0 | 0 | 0 | 0 | 0 | 0 | 0 | 0 | 0 | 0 | 0 | 0 |
| best | 0 | 0 | 0 | 0 | 0 | 0 | 0 | 0 | 0 | 0 | 0 | 0 | 0 | |
| worst | 0 | 0 | 0 | 0 | 0 | 0 | 0 | 0 | 0 | 0 | 0 | 0 | 0 | |
| std | 0 | 0 | 0 | 0 | 0 | 0 | 0 | 0 | 0 | 0 | 0 | 0 | 0 | |
| median | 0 | 0 | 0 | 0 | 0 | 0 | 0 | 0 | 0 | 0 | 0 | 0 | 0 | |
| rank | 1 | 1 | 1 | 1 | 1 | 1 | 1 | 1 | 1 | 1 | 1 | 1 | 1 | |
| C11-F5 | mean | −34.1274 | −26.0703 | −28.9288 | −21.8701 | −33.3926 | −28.0835 | −28.5154 | −27.9624 | −31.9229 | −13.9037 | −28.2712 | −12.0273 | −12.7727 |
| best | −34.7494 | −27.0714 | −29.9445 | −23.7379 | −33.9826 | −31.8021 | −28.7 | −32.0647 | −34.0666 | −15.6486 | −31.8924 | −15.1159 | −14.023 | |
| worst | −33.3862 | −25.2709 | −28.4411 | −19.8332 | −32.2519 | −23.5537 | −28.0652 | −25.7367 | −28.4426 | −12.5761 | −25.4354 | −10.552 | −11.4111 | |
| std | 0.576513 | 0.784839 | 0.712623 | 2.17301 | 0.797135 | 3.492912 | 0.30949 | 3.012029 | 2.490682 | 1.348016 | 2.897875 | 2.196324 | 1.205573 | |
| median | −34.1871 | −25.9695 | −28.6647 | −21.9546 | −33.668 | −28.489 | −28.6481 | −27.0241 | −32.5912 | −13.6952 | −27.8785 | −11.2207 | −12.8284 | |
| rank | 1 | 9 | 4 | 10 | 2 | 7 | 5 | 8 | 3 | 11 | 6 | 13 | 12 | |
| C11-F6 | mean | −24.1119 | −15.3943 | −19.7225 | −14.5328 | −22.8219 | −9.77998 | −20.5213 | −11.488 | −20.2419 | −5.23929 | −22.1938 | −5.98984 | −6.77572 |
| best | −27.4298 | −15.7454 | −21.3912 | −14.9609 | −25.9832 | −17.4134 | −22.9922 | −18.1843 | −23.0902 | −5.96024 | −26.1223 | −8.96244 | −11.1447 | |
| worst | −23.0059 | −15.0486 | −18.0255 | −13.5029 | −21.5594 | −6.79967 | −14.3118 | −4.99898 | −18.6664 | −4.99898 | −19.1024 | −4.99898 | −4.99898 | |
| std | 2.271847 | 0.377713 | 1.521189 | 0.708141 | 2.185792 | 5.265013 | 4.285644 | 7.160496 | 2.151891 | 0.493651 | 3.158433 | 2.035421 | 3.027548 | |
| median | −23.0059 | −15.3917 | −19.7367 | −14.8337 | −21.8724 | −7.45343 | −22.3905 | −11.3843 | −19.6054 | −4.99898 | −21.7752 | −4.99898 | −5.47961 | |
| rank | 1 | 7 | 6 | 8 | 2 | 10 | 4 | 9 | 5 | 13 | 3 | 12 | 11 | |
| C11-F7 | mean | 0.860699 | 1.502351 | 1.225146 | 1.772504 | 0.920045 | 1.240506 | 1.620768 | 0.878234 | 1.038737 | 1.599303 | 1.049111 | 1.086923 | 1.618042 |
| best | 0.582266 | 1.411009 | 1.079851 | 1.582205 | 0.732937 | 1.052704 | 1.518444 | 0.841591 | 0.843875 | 1.452557 | 0.842345 | 0.854143 | 1.242676 | |
| worst | 1.025027 | 1.620161 | 1.365036 | 1.955283 | 1.008514 | 1.572375 | 1.793033 | 0.9401 | 1.231193 | 1.744715 | 1.219762 | 1.293277 | 1.812241 | |
| std | 0.206672 | 0.092172 | 0.160099 | 0.156595 | 0.129573 | 0.235055 | 0.123128 | 0.044511 | 0.162482 | 0.133354 | 0.172852 | 0.221148 | 0.266994 | |
| median | 0.91775 | 1.489116 | 1.227848 | 1.776264 | 0.969365 | 1.168472 | 1.585796 | 0.865622 | 1.039941 | 1.59997 | 1.067169 | 1.100137 | 1.708625 | |
| rank | 1 | 9 | 7 | 13 | 3 | 8 | 12 | 2 | 4 | 10 | 5 | 6 | 11 | |
| C11-F8 | mean | 220 | 276.1359 | 237.6892 | 311.0486 | 222.1133 | 252.2281 | 259.8008 | 223.5222 | 226.3399 | 223.5222 | 242.7658 | 435.5821 | 222.1525 |
| best | 220 | 253.2495 | 223.1308 | 275.6506 | 220 | 220 | 241.8376 | 220 | 220 | 220 | 220 | 244.264 | 220 | |
| worst | 220 | 306.1606 | 252.2476 | 349.6166 | 224.2266 | 336.2323 | 299.6015 | 234.0888 | 232.6799 | 234.0888 | 283.3994 | 522.4314 | 228.6098 | |
| std | 0 | 23.79358 | 12.86933 | 31.16122 | 2.506357 | 57.84678 | 27.4653 | 7.235229 | 7.519071 | 7.235229 | 30.87915 | 135.2212 | 4.421529 | |
| median | 220 | 272.5668 | 237.6892 | 309.4637 | 222.1133 | 226.3399 | 248.882 | 220 | 226.3399 | 220 | 233.8319 | 487.8164 | 220 | |
| rank | 1 | 10 | 6 | 11 | 2 | 8 | 9 | 4 | 5 | 4 | 7 | 12 | 3 | |
| C11-F9 | mean | 8789.286 | 483,074.6 | 328,388.4 | 919,557.3 | 18,656.81 | 58,460.01 | 325,218 | 116,528.7 | 38,391.85 | 354,583.9 | 713,172.7 | 937,253.5 | 1,681,148 |
| best | 5457.674 | 324,045.2 | 290,082.5 | 601,645.3 | 10,517.11 | 41,850.42 | 180,313.9 | 66,460.77 | 16,926.42 | 293,497.2 | 611,204 | 752,356.9 | 1,611,892 | |
| worst | 14,042.29 | 554,409.1 | 353,198.3 | 1,078,156 | 25,556.09 | 73,839.47 | 550,072.5 | 176,575.1 | 65,752.91 | 455,337 | 767,456.3 | 1,148,459 | 1,779,466 | |
| std | 3800.348 | 111,655 | 28,458.98 | 221,949 | 7021.667 | 14,112.97 | 172,929.7 | 46,690.19 | 21,194.23 | 73,247.74 | 71,385.83 | 217,154.4 | 84,994.93 | |
| median | 7828.591 | 526,922 | 335,136.4 | 999,213.8 | 19,277.02 | 59,075.07 | 285,242.7 | 111,539.5 | 35,444.03 | 334,750.6 | 737,015.2 | 924,099 | 1,666,617 | |
| rank | 1 | 9 | 7 | 11 | 2 | 4 | 6 | 5 | 3 | 8 | 10 | 12 | 13 | |
| C11-F10 | mean | −21.4889 | −14.9961 | −17.5447 | −13.5346 | −19.3631 | −15.3584 | −14.0482 | −15.6278 | −15.1114 | −12.678 | −14.2904 | −12.7642 | −12.5089 |
| best | −21.8299 | −16.0597 | −17.7395 | −13.9161 | −19.746 | −19.2378 | −14.5308 | −21.2538 | −15.5783 | −12.7902 | −14.7804 | −12.8378 | −12.5968 | |
| worst | −20.7878 | −14.5 | −17.1211 | −13.3132 | −18.9255 | −13.3665 | −13.6616 | −12.8466 | −14.1286 | −12.4989 | −13.6383 | −12.6297 | −12.346 | |
| std | 0.487227 | 0.736752 | 0.299069 | 0.289239 | 0.407904 | 2.72605 | 0.369057 | 3.909365 | 0.695109 | 0.132631 | 0.590486 | 0.094807 | 0.114197 | |
| median | −21.669 | −14.7122 | −17.659 | −13.4545 | −19.3905 | −14.4147 | −14.0001 | −14.2053 | −15.3695 | −12.7115 | −14.3714 | −12.7947 | −12.5465 | |
| rank | 1 | 7 | 3 | 10 | 2 | 5 | 9 | 4 | 6 | 12 | 8 | 11 | 13 | |
| C11-F11 | mean | 571,712.3 | 5,089,428 | 933,728.2 | 7,729,839 | 1,510,643 | 5,212,407 | 1,127,503 | 1,207,727 | 3,388,503 | 4,577,612 | 1,296,573 | 4,587,180 | 5,366,107 |
| best | 260,837.9 | 4,846,157 | 702,522.4 | 7,431,600 | 1,392,282 | 4,341,728 | 1,021,968 | 624,656.8 | 3,211,626 | 4,510,062 | 1,160,011 | 4,529,197 | 5,286,309 | |
| worst | 828,560.9 | 5,424,830 | 1,124,700 | 7,928,857 | 1,662,178 | 6,302,843 | 1,302,398 | 2,427,751 | 3,655,171 | 4,633,423 | 1,466,471 | 4,633,423 | 5,417,883 | |
| std | 254,962.4 | 288,930.1 | 189,236.6 | 216,947.1 | 138,529.7 | 833,226.9 | 130,660.1 | 845,509.3 | 193,819.7 | 55,400.98 | 134,407.8 | 51,634.41 | 59,799.43 | |
| median | 598,725.2 | 5,043,362 | 953,845.3 | 7,779,449 | 1,494,055 | 5,102,528 | 1,092,822 | 889,249.9 | 3,343,608 | 4,583,482 | 1,279,905 | 4,593,050 | 5,380,117 | |
| rank | 1 | 10 | 2 | 13 | 6 | 11 | 3 | 4 | 7 | 8 | 5 | 9 | 12 | |
| C11-F12 | mean | 1,199,805 | 7,409,804 | 3,078,638 | 11,593,820 | 1,264,353 | 4,507,023 | 5,185,186 | 1,310,025 | 1,393,451 | 12,537,698 | 5,163,454 | 2,161,837 | 12,676,663 |
| best | 1,155,937 | 7,106,082 | 2,984,012 | 10,776,140 | 1,194,678 | 4,281,046 | 4,827,396 | 1,182,719 | 1,247,427 | 11,817,734 | 4,917,229 | 2,021,679 | 12,560,401 | |
| worst | 1,249,353 | 7,682,492 | 3,144,051 | 12,315,917 | 1,339,516 | 4,626,721 | 5,361,089 | 1,428,430 | 1,519,843 | 13,096,880 | 5,338,627 | 2,335,962 | 12,793,601 | |
| std | 46,080.46 | 244,867.2 | 71,787.57 | 648,639.6 | 66,020.2 | 164,278.3 | 252,560.4 | 103,468 | 116,316.4 | 550,537.4 | 185,730.7 | 133,330.1 | 98,177.52 | |
| median | 1,196,965 | 7,425,322 | 3,093,245 | 11,641,612 | 1,261,610 | 4,560,163 | 5,276,130 | 1,314,475 | 1,403,267 | 12,618,090 | 5,198,980 | 2,144,854 | 12,676,324 | |
| rank | 1 | 10 | 6 | 11 | 2 | 7 | 9 | 3 | 4 | 12 | 8 | 5 | 13 | |
| C11-F13 | mean | 15,444.2 | 15,801.46 | 15,447.48 | 16,192.64 | 15,460.59 | 15,483.94 | 15,523.07 | 15,499.24 | 15,493.37 | 15,866.74 | 112,999.3 | 15,484.49 | 28,024.66 |
| best | 15,444.19 | 15,641.17 | 15,446.62 | 15,833.03 | 15,458.6 | 15,475.37 | 15,485.31 | 15,481.76 | 15,487.39 | 15,602.6 | 82,270.86 | 15,469.61 | 15,458.24 | |
| worst | 15,444.21 | 16,189.79 | 15,448.43 | 17,086.06 | 15,464.04 | 15,494.84 | 15,573.96 | 15,532.51 | 15,503.73 | 16,353.34 | 154,677.9 | 15,516.05 | 65,420.01 | |
| std | 0.008884 | 268.4869 | 0.785818 | 616.7849 | 2.478024 | 9.886368 | 42.36283 | 24.1668 | 7.436411 | 349.0008 | 33,482.43 | 21.84165 | 25,605.76 | |
| median | 15,444.2 | 15,687.44 | 15,447.43 | 15,925.73 | 15,459.86 | 15,482.78 | 15,516.5 | 15,491.35 | 15,491.19 | 15,755.51 | 107,524.3 | 15,476.15 | 15,610.2 | |
| rank | 1 | 9 | 2 | 11 | 3 | 4 | 8 | 7 | 6 | 10 | 13 | 5 | 12 | |
| C11-F14 | mean | 18,295.35 | 99,701.16 | 18,488.97 | 200,495.8 | 18,565.39 | 19,363.59 | 19,099.47 | 19,266.84 | 19,105.47 | 271,120.5 | 18,984.5 | 19,012.65 | 19,001.62 |
| best | 18,241.58 | 76,442.57 | 18,382.24 | 148,310.8 | 18,484.84 | 19,143.07 | 18,958.94 | 19,171.86 | 18,971.35 | 28,642.2 | 18,736.06 | 18,872.44 | 18,757.13 | |
| worst | 18,388.08 | 138,457.2 | 18,586.71 | 287,843.8 | 18,643.92 | 19,830.86 | 19,196.33 | 19,330.18 | 19,258.69 | 520,996.6 | 19,158.54 | 19,151.92 | 19,253.43 | |
| std | 69.96398 | 28,491.57 | 97.99008 | 64,196.31 | 68.36705 | 323.4255 | 115.9594 | 71.45986 | 130.9626 | 242,775.2 | 191.4042 | 117.2667 | 208.7133 | |
| median | 18,275.87 | 91,952.46 | 18,493.46 | 182,914.4 | 18,566.4 | 19,240.21 | 19,121.31 | 19,282.67 | 19,095.92 | 267,421.6 | 19,021.71 | 19,013.11 | 18,997.96 | |
| rank | 1 | 11 | 2 | 12 | 3 | 10 | 7 | 9 | 8 | 13 | 4 | 6 | 5 | |
| C11-F15 | mean | 32,883.58 | 789,854 | 97,714.07 | 1,660,569 | 32,939.59 | 51,625.11 | 193,517.4 | 33,070.75 | 33,051.61 | 13,341,620 | 263,714.8 | 33,233.38 | 6,868,518 |
| best | 32,782.17 | 328,154.6 | 41,791.18 | 697,019.4 | 32858 | 33,035.37 | 32,978.67 | 32,983.94 | 33,009.67 | 2,799,046 | 233,893.6 | 33,217.56 | 3,128,721 | |
| worst | 32,956.46 | 1,979,409 | 160,296.7 | 4,327,558 | 33,010.26 | 107,181.4 | 275,074.9 | 33,122.91 | 33,117.85 | 19,893,221 | 284,122.7 | 33,253.24 | 11,768,149 | |
| std | 75.18941 | 817,470.1 | 65,423.85 | 1,829,004 | 64.17747 | 38,041.05 | 112,257.6 | 63.22443 | 49.31413 | 7,983,297 | 24,000.85 | 15.28513 | 4,068,609 | |
| median | 32,897.86 | 425,926.1 | 94,384.21 | 808,848.4 | 32,945.06 | 33,141.84 | 233,008 | 33,088.08 | 33,039.45 | 15,337,106 | 268,421.4 | 33,231.35 | 6,288,601 | |
| rank | 1 | 10 | 7 | 11 | 2 | 6 | 8 | 4 | 3 | 13 | 9 | 5 | 12 | |
| C11-F16 | mean | 133,550 | 835,504.6 | 134,957 | 1,703,962 | 137,102.1 | 143,561.1 | 140,998.8 | 140,691.3 | 144,206.2 | 76,907,410 | 16,210,894 | 68,837,661 | 66,096,332 |
| best | 131,374.2 | 268,051.3 | 133,344.2 | 427,899.5 | 135,005.9 | 140,925.2 | 136,081.1 | 133,384.9 | 142,154.2 | 74,944,479 | 8,242,318 | 56,944,849 | 53,423,145 | |
| worst | 136,310.8 | 1,949,599 | 135,633 | 4,208,326 | 140,662.2 | 145,270.7 | 145,978.3 | 148,000 | 149,364.9 | 79,121,321 | 29,314,317 | 82,255,889 | 84,537,318 | |
| std | 2337.559 | 776,901.4 | 1116.913 | 1,746,392 | 2587.54 | 2086.663 | 4238.576 | 6256.899 | 3555.112 | 1,797,875 | 9,358,325 | 11,205,354 | 13,574,898 | |
| median | 133,257.5 | 562,184 | 135,425.5 | 1,089,810 | 136,370.1 | 144,024.3 | 140,967.9 | 140,690.3 | 142,653 | 76,781,921 | 13,643,470 | 68,074,953 | 63,212,432 | |
| rank | 1 | 8 | 2 | 9 | 3 | 6 | 5 | 4 | 7 | 13 | 10 | 12 | 11 | |
| C11-F17 | mean | 1,926,615 | 7.75 × 109 | 2 × 109 | 1.34 × 1010 | 2,241,719 | 1.11 × 109 | 8.39 × 109 | 2,951,922 | 2,871,926 | 1.93 × 1010 | 9.7 × 109 | 1.8 × 1010 | 1.89 × 1010 |
| best | 1,916,953 | 6.6 × 109 | 1.82 × 109 | 9.64 × 109 | 1,951,893 | 9.14 × 108 | 5.98 × 109 | 2,248,940 | 2,021,775 | 1.86 × 1010 | 8.53 × 109 | 1.59 × 1010 | 1.77 × 1010 | |
| worst | 1,942,685 | 8.59 × 109 | 2.19 × 109 | 1.64 × 1010 | 2,773,823 | 1.27 × 109 | 1.11 × 1010 | 3,497,374 | 4,480,830 | 2.01 × 1010 | 1.03 × 1010 | 2.08 × 1010 | 2.14 × 1010 | |
| std | 11,729.35 | 9.04 × 108 | 1.68 × 108 | 2.98 × 109 | 378,232.3 | 1.87 × 108 | 2.23 × 109 | 591,769.5 | 1,137,387 | 6.69 × 108 | 8.12 × 108 | 2.28 × 109 | 1.72 × 109 | |
| median | 1,923,412 | 7.9 × 109 | 2 × 109 | 1.38 × 1010 | 2,120,579 | 1.13 × 109 | 8.2 × 109 | 3,030,686 | 2,492,549 | 1.92 × 1010 | 9.99 × 109 | 1.77 × 1010 | 1.83 × 1010 | |
| rank | 1 | 7 | 6 | 10 | 2 | 5 | 8 | 4 | 3 | 13 | 9 | 11 | 12 | |
| C11-F18 | mean | 942,057.5 | 47,685,736 | 5,797,182 | 1.03 × 108 | 967,735.7 | 1,900,478 | 8,412,951 | 981,892.1 | 1,019,092 | 26,941,532 | 9,752,238 | 1.17 × 108 | 99,204,327 |
| best | 938,416.2 | 32,835,794 | 3,536,567 | 70,851,530 | 948,240.5 | 1,678,127 | 3,691,349 | 961,316.7 | 963,662 | 21,379,694 | 7,310,034 | 98,075,250 | 95,567,953 | |
| worst | 944,706.9 | 54,224,643 | 9,852,395 | 1.17 × 108 | 1,018,468 | 2,196,439 | 14,673,571 | 991,091.1 | 1,165,991 | 29,133,515 | 12,269,456 | 1.3 × 108 | 1.03 × 108 | |
| std | 2710.775 | 10,287,738 | 3,021,014 | 22,213,838 | 34,862.01 | 256,626.5 | 4,762,937 | 14,247.92 | 100,799.7 | 3,824,041 | 2,275,875 | 14,522,917 | 3,058,517 | |
| median | 942,553.5 | 51,841,254 | 4,899,884 | 1.11 × 108 | 952,117 | 1,863,672 | 7,643,442 | 987,580.2 | 973,357.6 | 28,626,459 | 9,714,731 | 1.2 × 108 | 99,195,338 | |
| rank | 1 | 10 | 6 | 12 | 2 | 5 | 7 | 3 | 4 | 9 | 8 | 13 | 11 | |
| C11-F19 | mean | 1,025,341 | 46,951,626 | 5,895,982 | 1 × 108 | 1,122,631 | 2,269,177 | 8,976,703 | 1,415,705 | 1,317,213 | 30,923,282 | 5,559,356 | 1.49 × 108 | 99,546,536 |
| best | 967,927.7 | 40,077,691 | 5,413,733 | 86,762,354 | 1,056,780 | 2,056,560 | 1,912,200 | 1,106,530 | 1,198,912 | 21,691,480 | 2,222,360 | 1.36 × 108 | 97,066,099 | |
| worst | 1,167,142 | 59,652,101 | 7,107,091 | 1.26 × 108 | 1,275,910 | 2,645,965 | 16,142,794 | 1,827,341 | 1,493,445 | 38,532,571 | 7,250,902 | 1.73 × 108 | 1.02 × 108 | |
| std | 97,398.36 | 9,066,953 | 834,136.7 | 18,873,011 | 105,641.6 | 265,805.2 | 6,885,212 | 308,560.8 | 128,320.4 | 7,489,918 | 2,343,343 | 16,563,540 | 2,301,701 | |
| median | 983,146.6 | 44,038,356 | 5,531,551 | 94,386,241 | 1,078,918 | 2,187,092 | 8,925,910 | 1,364,474 | 1,288,247 | 31,734,538 | 6,382,080 | 1.45 × 108 | 99,313,659 | |
| rank | 1 | 10 | 7 | 12 | 2 | 5 | 8 | 4 | 3 | 9 | 6 | 13 | 11 | |
| C11-F20 | mean | 941,250.4 | 49,902,655 | 5,223,809 | 1.08 × 108 | 957,767.4 | 1,706,979 | 6,424,884 | 968,550.5 | 990,801.4 | 30,030,029 | 12,470,747 | 1.38 × 108 | 99,812,450 |
| best | 936,143.2 | 43,921,348 | 4,620,095 | 94,897,156 | 955,705.6 | 1,548,205 | 6,060,356 | 960,209 | 973,383.7 | 29,375,031 | 8,325,455 | 1.26 × 108 | 95,046,637 | |
| worst | 946,866.6 | 59,071,400 | 5,868,197 | 1.29 × 108 | 958,850.4 | 1,972,240 | 6,911,234 | 977,985.8 | 1,004,265 | 30,738,864 | 19,234,959 | 1.5 × 108 | 1.04 × 108 | |
| std | 4899.038 | 6,630,787 | 532,074.1 | 14,882,069 | 1441.981 | 206,856.4 | 373,449.1 | 7851.209 | 13,658.84 | 582,763.3 | 4,896,556 | 13,558,271 | 3,674,975 | |
| median | 940,995.9 | 48,308,936 | 5,203,473 | 1.05 × 108 | 958,256.7 | 1,653,735 | 6,363,973 | 968,003.6 | 992,778.4 | 30,003,110 | 11,161,287 | 1.38 × 108 | 1 × 108 | |
| rank | 1 | 10 | 6 | 12 | 2 | 5 | 7 | 3 | 4 | 9 | 8 | 13 | 11 | |
| C11-F21 | mean | 12.71443 | 45.1876 | 20.43993 | 67.87132 | 15.50132 | 27.51897 | 35.27695 | 25.54006 | 21.07511 | 88.83355 | 36.93059 | 93.18987 | 90.48226 |
| best | 9.974206 | 37.79559 | 18.9035 | 51.24228 | 13.24809 | 24.4736 | 32.7261 | 22.6756 | 19.38568 | 43.73739 | 33.01343 | 80.97607 | 52.76258 | |
| worst | 14.97499 | 53.06318 | 22.32666 | 84.41698 | 17.78701 | 28.83146 | 38.45684 | 28.47066 | 23.41105 | 129.9077 | 39.66032 | 103.1089 | 109.7311 | |
| std | 2.357559 | 6.741994 | 1.502622 | 15.03798 | 2.158206 | 2.098538 | 2.590224 | 3.174898 | 1.907519 | 36.26977 | 3.001039 | 11.39521 | 27.27537 | |
| median | 12.95425 | 44.94581 | 20.26478 | 67.91302 | 15.48509 | 28.38542 | 34.96244 | 25.507 | 20.75185 | 90.84455 | 37.5243 | 94.33725 | 99.71769 | |
| rank | 1 | 9 | 3 | 10 | 2 | 6 | 7 | 5 | 4 | 11 | 8 | 13 | 12 | |
| C11-F22 | mean | 16.12513 | 42.68276 | 25.9215 | 57.10887 | 18.68324 | 29.98205 | 42.26705 | 30.11715 | 23.79947 | 90.96656 | 42.57617 | 94.45669 | 82.28708 |
| best | 11.50133 | 37.81929 | 20.73719 | 42.43422 | 15.55659 | 25.85189 | 36.1813 | 23.32794 | 23.31157 | 59.34979 | 36.35534 | 78.91304 | 80.82874 | |
| worst | 19.55286 | 47.9384 | 30.93823 | 65.87537 | 21.03086 | 32.65023 | 46.82953 | 34.97092 | 24.23236 | 107.8169 | 50.02428 | 104.5544 | 84.13235 | |
| std | 4.101915 | 4.49598 | 4.977189 | 10.48875 | 2.703119 | 2.979601 | 4.988123 | 5.135703 | 0.41001 | 22.32621 | 5.84784 | 11.714 | 1.411088 | |
| median | 16.72317 | 42.48667 | 26.00529 | 60.06295 | 19.07277 | 30.71304 | 43.02869 | 31.08487 | 23.82698 | 98.34978 | 41.96253 | 97.17966 | 82.09361 | |
| rank | 1 | 9 | 4 | 10 | 2 | 5 | 7 | 6 | 3 | 12 | 8 | 13 | 11 | |
| Sum rank | 22 | 191 | 109 | 231 | 55 | 146 | 145 | 118 | 97 | 222 | 157 | 198 | 224 | |
| Mean rank | 1 | 8.681818 | 4.954545 | 10.5 | 2.5 | 6.636364 | 6.590909 | 5.363636 | 4.409091 | 10.09091 | 7.136364 | 9 | 10.18182 | |
| Total rank | 1 | 2 | 12 | 4 | 13 | 3 | 11 | 9 | 6 | 7 | 10 | 5 | 8 | |
| Wilcoxon: p-value | 1.28 × 10−15 | 7.32 × 10−15 | 1.28 × 10−15 | 5.32 × 10−15 | 2.74 × 10−15 | 1.28 × 10−15 | 2.99 × 10−12 | 5.32 × 10−15 | 4.02 × 10−15 | 6.38 × 10−15 | 1.90 × 10−15 | 4.02 × 10−15 | ||
| Algorithm | Optimum Variables | Optimum Cost | |||
|---|---|---|---|---|---|
| Ts | Th | R | L | ||
| POA | 0.7780271 | 0.3845792 | 40.312284 | 200 | 5882.8955 |
| WSO | 0.7780272 | 0.3845788 | 40.312283 | 200 | 5882.9013 |
| AVOA | 0.7780307 | 0.384581 | 40.312469 | 199.99741 | 5882.9075 |
| RSA | 1.1799694 | 0.6311498 | 59.819101 | 53.515497 | 7692.0978 |
| MPA | 0.7780271 | 0.3845792 | 40.312284 | 200 | 5882.9013 |
| TSA | 0.7794463 | 0.3857743 | 40.383839 | 200 | 5908.4196 |
| WOA | 0.9067002 | 0.448673 | 46.017223 | 136.2267 | 6256.8632 |
| MVO | 0.8323916 | 0.4152568 | 43.112935 | 165.20916 | 5999.4855 |
| GWO | 0.7784443 | 0.3857682 | 40.320326 | 199.96571 | 5889.9468 |
| TLBO | 1.5339616 | 0.4778123 | 47.429558 | 127.36717 | 10,629.675 |
| GSA | 1.1173119 | 1.1297405 | 43.973024 | 191.12001 | 11,764.254 |
| PSO | 1.5222025 | 0.6145174 | 62.315801 | 55.20521 | 9850.1299 |
| GA | 1.3837426 | 0.7688899 | 57.605994 | 78.51226 | 10,738.52 |
| Algorithm | Mean | Best | Worst | Std | Median | Rank |
|---|---|---|---|---|---|---|
| POA | 5882.8955 | 5882.8955 | 5882.8955 | 1.92 × 10−12 | 5882.8955 | 1 |
| WSO | 5890.9257 | 5882.9013 | 5962.0728 | 21.997434 | 5882.9017 | 3 |
| AVOA | 6207.3916 | 5882.9075 | 7004.3405 | 348.84586 | 6041.7492 | 5 |
| RSA | 12,174.081 | 7692.0978 | 19,482.674 | 3095.8917 | 11,204.142 | 9 |
| MPA | 5882.9013 | 5882.9013 | 5882.9013 | 3.65 × 10−6 | 5882.9013 | 2 |
| TSA | 6257.1233 | 5908.4196 | 6909.9332 | 329.83718 | 6134.2078 | 6 |
| WOA | 7922.2943 | 6256.8632 | 12,555.602 | 1665.1308 | 7518.4095 | 8 |
| MVO | 6495.1818 | 5999.4855 | 7008.2785 | 317.12575 | 6547.3182 | 7 |
| GWO | 6007.6959 | 5889.9468 | 6642.5575 | 236.99908 | 5897.9847 | 4 |
| TLBO | 27,465.413 | 10,629.675 | 58,347.67 | 13,658.123 | 24,286.567 | 12 |
| GSA | 20,110.975 | 11,764.254 | 31,159.248 | 6644.7597 | 19,327.122 | 10 |
| PSO | 28,828.623 | 9850.1299 | 49,094.713 | 12,786.567 | 31,741.352 | 13 |
| GA | 24,722.523 | 10,738.52 | 44,100.29 | 10,720.864 | 21,949.806 | 11 |
| Algorithm | Optimum Variables | Optimum Cost | ||||||
|---|---|---|---|---|---|---|---|---|
| b | M | p | l1 | l2 | d1 | d2 | ||
| POA | 3.5 | 0.7 | 17 | 7.3 | 7.8 | 3.3502147 | 5.2866832 | 2996.3482 |
| WSO | 3.5000004 | 0.7 | 17 | 7.3000084 | 7.8000004 | 3.3502148 | 5.2866833 | 2996.3483 |
| AVOA | 3.5 | 0.7 | 17 | 7.3000006 | 7.8 | 3.3502147 | 5.2866832 | 2996.3482 |
| RSA | 3.5782709 | 0.7 | 17 | 8.0827092 | 8.1913546 | 3.3548418 | 5.4536482 | 3154.7106 |
| MPA | 3.5 | 0.7 | 17 | 7.3 | 7.8 | 3.3502147 | 5.2866832 | 2996.3482 |
| TSA | 3.5109533 | 0.7 | 17 | 7.3 | 8.1913546 | 3.3504914 | 5.2896834 | 3011.2327 |
| WOA | 3.5742812 | 0.7 | 17 | 7.3 | 7.9777636 | 3.3598929 | 5.2867448 | 3031.9314 |
| MVO | 3.5019122 | 0.7 | 17 | 7.3 | 8.0284714 | 3.366672 | 5.2868519 | 3006.4419 |
| GWO | 3.5005445 | 0.7 | 17 | 7.3043676 | 7.8 | 3.3618765 | 5.2884893 | 3000.7349 |
| TLBO | 3.5476378 | 0.7033945 | 24.917693 | 7.9805293 | 8.0931464 | 3.6162006 | 5.3314146 | 4927.3723 |
| GSA | 3.5194552 | 0.7023381 | 17.313478 | 7.7420374 | 7.8760975 | 3.3999447 | 5.3709689 | 3143.5799 |
| PSO | 3.5069497 | 0.7000611 | 17.930439 | 7.3841039 | 7.8577718 | 3.5584711 | 5.3353772 | 3256.3667 |
| GA | 3.5662501 | 0.7047261 | 17.691104 | 7.6758437 | 7.8474233 | 3.6485809 | 5.3373389 | 3294.0025 |
| Algorithm | Mean | Best | Worst | Std | Median | Rank |
|---|---|---|---|---|---|---|
| POA | 2996.3482 | 2996.3482 | 2996.3482 | 9.58 × 10−13 | 2996.3482 | 1 |
| WSO | 2996.5889 | 2996.3483 | 2998.4297 | 0.5101165 | 2996.3619 | 3 |
| AVOA | 3000.1762 | 2996.3482 | 3008.8545 | 3.4609637 | 3000.0917 | 4 |
| RSA | 3234.4969 | 3154.7106 | 3284.0135 | 50.166314 | 3247.1314 | 9 |
| MPA | 2996.3482 | 2996.3482 | 2996.3482 | 2.78 × 10−6 | 2996.3482 | 2 |
| TSA | 3026.7367 | 3011.2327 | 3038.3972 | 8.8440577 | 3028.2551 | 7 |
| WOA | 3126.8766 | 3031.9314 | 3377.445 | 92.715236 | 3098.5654 | 8 |
| MVO | 3024.7753 | 3006.4419 | 3059.0455 | 11.563388 | 3025.1488 | 6 |
| GWO | 3003.374 | 3000.7349 | 3008.4394 | 2.1869003 | 3002.9342 | 5 |
| TLBO | 5.907 × 1013 | 4927.3723 | 4.275 × 1014 | 1.01 × 1014 | 2.313 × 1013 | 12 |
| GSA | 3385.5422 | 3143.5799 | 3912.9273 | 228.70017 | 3275.4427 | 10 |
| PSO | 8.717 × 1013 | 3256.3667 | 4.416 × 1014 | 1.081 × 1014 | 6.235 × 1013 | 13 |
| GA | 4.197 × 1013 | 3294.0025 | 2.709 × 1014 | 6.79 × 1013 | 1.682 × 1013 | 11 |
| Algorithm | Optimum Variables | Optimum Cost | |||
|---|---|---|---|---|---|
| h | l | t | b | ||
| POA | 0.2057296 | 3.4704887 | 9.0366239 | 0.2057296 | 1.7246798 |
| WSO | 0.2057292 | 3.4704885 | 9.0366237 | 0.2057291 | 1.7248523 |
| AVOA | 0.2050803 | 3.4845704 | 9.0365333 | 0.2057338 | 1.7257584 |
| RSA | 0.1980596 | 3.5249794 | 9.7906672 | 0.2159744 | 1.9375828 |
| MPA | 0.2057296 | 3.4704887 | 9.0366239 | 0.2057296 | 1.7248523 |
| TSA | 0.2044275 | 3.4916172 | 9.0600241 | 0.2060919 | 1.7324856 |
| WOA | 0.2125196 | 3.3510058 | 8.9833094 | 0.2186902 | 1.8067407 |
| MVO | 0.2059533 | 3.4656684 | 9.0434674 | 0.2060063 | 1.7278338 |
| GWO | 0.2056128 | 3.4731682 | 9.0362981 | 0.2057883 | 1.7254222 |
| TLBO | 0.2986976 | 4.2778023 | 7.1361343 | 0.3919305 | 2.8272527 |
| GSA | 0.2805172 | 2.8349124 | 7.6654232 | 0.2924906 | 2.0300996 |
| PSO | 0.3473169 | 3.4316063 | 7.6004377 | 0.5182734 | 3.675343 |
| GA | 0.2214997 | 6.3937785 | 7.9559315 | 0.2894528 | 2.6042749 |
| Algorithm | Mean | Best | Worst | Std | Median | Rank |
|---|---|---|---|---|---|---|
| POA | 1.7246798 | 1.7246798 | 1.7246798 | 2.34 × 10−16 | 1.7246798 | 1 |
| WSO | 1.7248526 | 1.7248523 | 1.724857 | 1.09 × 10−6 | 1.7248523 | 3 |
| AVOA | 1.7557138 | 1.7257584 | 1.8248581 | 0.0317906 | 1.7439234 | 7 |
| RSA | 2.1125267 | 1.9375828 | 2.4075717 | 0.1256523 | 2.0912766 | 8 |
| MPA | 1.7248523 | 1.7248523 | 1.7248523 | 2.92 × 10−9 | 1.7248523 | 2 |
| TSA | 1.7403814 | 1.7324856 | 1.7481834 | 0.0048867 | 1.7404631 | 6 |
| WOA | 2.2220918 | 1.8067407 | 3.6950008 | 0.5593985 | 2.031176 | 9 |
| MVO | 1.7387463 | 1.7278338 | 1.7674553 | 0.0119923 | 1.7352918 | 5 |
| GWO | 1.7268895 | 1.7254222 | 1.7303217 | 0.001188 | 1.7266813 | 4 |
| TLBO | 2.823 × 1013 | 2.8272527 | 2.724 × 1014 | 7.072 × 1013 | 5.0914359 | 12 |
| GSA | 2.3349608 | 2.0300996 | 2.5968573 | 0.1669487 | 2.3600351 | 10 |
| PSO | 3.893 × 1013 | 3.675343 | 2.357 × 1014 | 7.636 × 1013 | 5.9728379 | 13 |
| GA | 9.556 × 1012 | 2.6042749 | 1.034 × 1014 | 3.013 × 1013 | 5.0630857 | 11 |
| Algorithm | Optimum Variables | Optimum Cost | ||
|---|---|---|---|---|
| d | D | P | ||
| POA | 0.0516891 | 0.3567177 | 11.288966 | 0.0126019 |
| WSO | 0.0516874 | 0.3566773 | 11.291337 | 0.0126652 |
| AVOA | 0.0512669 | 0.3466708 | 11.910602 | 0.0126694 |
| RSA | 0.050367 | 0.3206032 | 14.193627 | 0.0130834 |
| MPA | 0.0516905 | 0.3567522 | 11.286949 | 0.0126652 |
| TSA | 0.0510947 | 0.3426132 | 12.187613 | 0.0126794 |
| WOA | 0.0512453 | 0.3461621 | 11.94391 | 0.0126699 |
| MVO | 0.050367 | 0.325522 | 13.492324 | 0.0127369 |
| GWO | 0.0519158 | 0.3621859 | 10.980498 | 0.0126699 |
| TLBO | 0.0653037 | 0.8107583 | 4.0184069 | 0.0167497 |
| GSA | 0.0545928 | 0.4283484 | 8.3456483 | 0.0130117 |
| PSO | 0.0652338 | 0.8081171 | 4.0184069 | 0.0166633 |
| GA | 0.0657002 | 0.8173757 | 4.0184069 | 0.0170839 |
| Algorithm | Mean | Best | Worst | Std | Median | Rank |
|---|---|---|---|---|---|---|
| POA | 0.0126019 | 0.0126019 | 0.0126019 | 7.07 × 10−18 | 0.0126019 | 1 |
| WSO | 0.0126746 | 0.0126652 | 0.0127999 | 3.084 × 10−5 | 0.0126656 | 3 |
| AVOA | 0.0132328 | 0.0126694 | 0.0139111 | 0.0004795 | 0.0131756 | 8 |
| RSA | 0.0131519 | 0.0130834 | 0.0132725 | 5.968 × 10−5 | 0.0131343 | 6 |
| MPA | 0.0126652 | 0.0126652 | 0.0126652 | 2.45 × 10−9 | 0.0126652 | 2 |
| TSA | 0.0129142 | 0.0126794 | 0.0133863 | 0.0002078 | 0.0128525 | 5 |
| WOA | 0.0131737 | 0.0126699 | 0.014201 | 0.0005197 | 0.0130077 | 7 |
| MVO | 0.0158555 | 0.0127369 | 0.0170594 | 0.0014169 | 0.0166225 | 9 |
| GWO | 0.0127136 | 0.0126699 | 0.0129006 | 4.757 × 10−5 | 0.0127115 | 4 |
| TLBO | 0.0171949 | 0.0167497 | 0.0177033 | 0.0003079 | 0.0171578 | 10 |
| GSA | 0.0183255 | 0.0130117 | 0.0289135 | 0.003664 | 0.0179686 | 11 |
| PSO | 1.752 × 1013 | 0.0166633 | 3.109 × 1014 | 7.145 × 1013 | 0.0166633 | 13 |
| GA | 1.369 × 1012 | 0.0170839 | 1.416 × 1013 | 4.198 × 1012 | 0.0234606 | 12 |
Disclaimer/Publisher’s Note: The statements, opinions and data contained in all publications are solely those of the individual author(s) and contributor(s) and not of MDPI and/or the editor(s). MDPI and/or the editor(s) disclaim responsibility for any injury to people or property resulting from any ideas, methods, instructions or products referred to in the content. |
© 2024 by the authors. Licensee MDPI, Basel, Switzerland. This article is an open access article distributed under the terms and conditions of the Creative Commons Attribution (CC BY) license (https://creativecommons.org/licenses/by/4.0/).
Share and Cite
Al-Baik, O.; Alomari, S.; Alssayed, O.; Gochhait, S.; Leonova, I.; Dutta, U.; Malik, O.P.; Montazeri, Z.; Dehghani, M. Pufferfish Optimization Algorithm: A New Bio-Inspired Metaheuristic Algorithm for Solving Optimization Problems. Biomimetics 2024, 9, 65. https://doi.org/10.3390/biomimetics9020065
Al-Baik O, Alomari S, Alssayed O, Gochhait S, Leonova I, Dutta U, Malik OP, Montazeri Z, Dehghani M. Pufferfish Optimization Algorithm: A New Bio-Inspired Metaheuristic Algorithm for Solving Optimization Problems. Biomimetics. 2024; 9(2):65. https://doi.org/10.3390/biomimetics9020065
Chicago/Turabian StyleAl-Baik, Osama, Saleh Alomari, Omar Alssayed, Saikat Gochhait, Irina Leonova, Uma Dutta, Om Parkash Malik, Zeinab Montazeri, and Mohammad Dehghani. 2024. "Pufferfish Optimization Algorithm: A New Bio-Inspired Metaheuristic Algorithm for Solving Optimization Problems" Biomimetics 9, no. 2: 65. https://doi.org/10.3390/biomimetics9020065
APA StyleAl-Baik, O., Alomari, S., Alssayed, O., Gochhait, S., Leonova, I., Dutta, U., Malik, O. P., Montazeri, Z., & Dehghani, M. (2024). Pufferfish Optimization Algorithm: A New Bio-Inspired Metaheuristic Algorithm for Solving Optimization Problems. Biomimetics, 9(2), 65. https://doi.org/10.3390/biomimetics9020065

