Composite Hydrogels Based on Bacterial Cellulose and Poly-1-vinyl-1,2,4-triazole/Phosphoric Acid: Supramolecular Structure as Studied by Small Angle Scattering
Abstract
:1. Introduction
2. Materials
2.1. Synthesis of Bacterial Cellulose
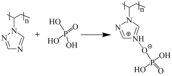
2.2. Synthesis of a Composite Hydrogel
3. Methods
3.1. SEM
3.2. XRD
3.3. Neutron Scattering
4. Results and Discussion
4.1. SANS and VSANS Studies of Native BC
4.2. Interpenetrating Polymer Networks Based on BC and PVT
5. Conclusions
Supplementary Materials
Author Contributions
Funding
Institutional Review Board Statement
Informed Consent Statement
Data Availability Statement
Acknowledgments
Conflicts of Interest
References
- Revin, V.V.; Liyas’kina, E.V.; Sapunova, N.B.; Bogatyreva, A.O. Isolation and Characterization of the Strains Producing Bacterial Cellulose. Microbiology 2020, 89, 86–95. [Google Scholar] [CrossRef]
- Buyanov, A.L.; Gofman, I.V.; Bozhkova, S.A.; Saprykina, N.N.; Kochish, A.Y.; Netyl’ko, G.I.; Khripunov, A.K.; Smyslov, R.Y.; Afanas’ev, A.V.; Panarin, E.F. Composite hydrogels based on polyacrylamide and cellulose: Synthesis and functional properties. Russ. J. Appl. Chem. 2016, 89, 772–779. [Google Scholar] [CrossRef]
- Czaja, W.K.; Young, D.J.; Kawecki, M.; Brown, R.M. The Future Prospects of Microbial Cellulose in Biomedical Applications. Biomacromolecules 2007, 8, 1–12. [Google Scholar] [CrossRef]
- Chen, P.; Cho, S.Y.; Jin, H.-J. Modification and applications of bacterial celluloses in polymer science. Macromol. Res. 2010, 18, 309–320. [Google Scholar] [CrossRef]
- Huang, Y.; Zhu, C.; Yang, J.; Nie, Y.; Chen, C.; Sun, D. Recent advances in bacterial cellulose. Cellulose 2014, 21, 1–30. [Google Scholar] [CrossRef]
- Atalla, R.H. Celluloses. In Comprehensive Natural Products Chemistry; Elsevier: Amsterdam, The Netherlands, 1999; pp. 529–598. [Google Scholar]
- Saxena, I.M.; Brown, R.M. A Perspective on the Assembly of Cellulose-Synthesizing Complexes: Possible Role of KORRIGAN and Microtubules in Cellulose Synthesis in Plants. In Cellulose: Molecular and Structural Biology; Springer: Dordrecht, The Netherlands, 2007; pp. 169–181. [Google Scholar]
- Siró, I.; Plackett, D. Microfibrillated cellulose and new nanocomposite materials: A review. Cellulose 2010, 17, 459–494. [Google Scholar] [CrossRef]
- Klechkovskaya, V.V.; Volkov, V.V.; Shtykova, E.V.; Arkharova, N.A.; Baklagina, Y.G.; Khripunov, A.K.; Smyslov, R.Y.; Borovikova, L.N.; Tkachenko, A.A. Network Model of Acetobacter Xylinum Cellulose Intercalated by Drug Nanoparticles BT—Nanomaterials for Application in Medicine and Biology; Giersig, M., Khomutov, G.B., Eds.; Springer: Dordrecht, The Netherlands, 2008; pp. 165–177. [Google Scholar]
- Volkov, V.V.; Klechkovskaya, V.V.; Shtykova, E.V.; Dembo, K.A.; Arkharova, N.A.; Ivakin, G.I.; Smyslov, R.Y. Determination of the size and phase composition of silver nanoparticles in a gel film of bacterial cellulose by small-angle X-ray scattering, electron diffraction, and electron microscopy. Crystallogr. Rep. 2009, 54, 169–173. [Google Scholar] [CrossRef]
- Brown, R.M. The Biosynthesis of Cellulose. J. Macromol. Sci. Part A 1996, 33, 1345–1373. [Google Scholar] [CrossRef]
- Fink, H.-P.; Purz, H.J.; Bohn, A.; Kunze, J. Investigation of the supramolecular structure of never dried bacterial cellulose. Macromol. Symp. 1997, 120, 207–217. [Google Scholar] [CrossRef]
- Wang, J.; Zhu, Y.; Du, J. Bacterial cellulose: A natural nanomaterial for biomedical applications. J. Mech. Med. Biol. 2011, 11, 285–306. [Google Scholar] [CrossRef]
- Smyslov, R.Y.; Ezdakova, K.V.; Kopitsa, G.P.; Khripunov, A.K.; Bugrov, A.N.; Tkachenko, A.A.; Angelov, B.; Pipich, V.; Szekely, N.K.; Baranchikov, A.E.; et al. Morphological structure of Gluconacetobacter xylinus cellulose and cellulose-based organic-inorganic composite materials. J. Phys. Conf. Ser. 2017, 848, 012017. [Google Scholar] [CrossRef]
- Carlos, L.D.; Ferreira, R.A.S.; Bermudez, V.d.Z.; Ribeiro, S.J.L. Lanthanide-Containing Light-Emitting Organic-Inorganic Hybrids: A Bet on the Future. Adv. Mater. 2009, 21, 509–534. [Google Scholar] [CrossRef]
- Blasse, G.; Grabmaier, B.C. Luminescent Materials; Springer: Berlin/Heidelberg, Germany, 1994; ISBN 978-3-540-58019-5. [Google Scholar]
- Jüstel, T.; Nikol, H.; Ronda, C. New Developments in the Field of Luminescent Materials for Lighting and Displays. Angew. Chemie Int. Ed. 1998, 37, 3084–3103. [Google Scholar] [CrossRef]
- Werts, M.H.V. Making sense of Lanthanide Luminescence. Sci. Prog. 2005, 88, 101–131. [Google Scholar] [CrossRef]
- Marling, J. 1.05–1.44 µm tunability and performance of the CW Nd3+:YAG laser. IEEE J. Quantum Electron. 1978, 14, 56–62. [Google Scholar] [CrossRef]
- Kuriki, K.; Koike, Y.; Okamoto, Y. Plastic Optical Fiber Lasers and Amplifiers Containing Lanthanide Complexes. Chem. Rev. 2002, 102, 2347–2356. [Google Scholar] [CrossRef] [PubMed]
- Polman, A.; van Veggel, F.C.J.M. Broadband sensitizers for erbium-doped planar optical amplifiers: Review. J. Opt. Soc. Am. B 2004, 21, 871. [Google Scholar] [CrossRef]
- Legnani, C.; Vilani, C.; Calil, V.L.; Barud, H.S.; Quirino, W.G.; Achete, C.A.; Ribeiro, S.J.L.; Cremona, M. Bacterial cellulose membrane as flexible substrate for organic light emitting devices. Thin Solid Films 2008, 517, 1016–1020. [Google Scholar] [CrossRef]
- Martínez-Sanz, M.; Gidley, M.J.; Gilbert, E.P. Hierarchical architecture of bacterial cellulose and composite plant cell wall polysaccharide hydrogels using small angle neutron scattering. Soft Matter 2016, 12, 1534–1549. [Google Scholar] [CrossRef] [PubMed]
- Koizumi, S.; Yue, Z.; Tomita, Y.; Kondo, T.; Iwase, H.; Yamaguchi, D.; Hashimoto, T. Bacterium organizes hierarchical amorphous structure in microbial cellulose. Eur. Phys. J. E 2008, 26, 137–142. [Google Scholar] [CrossRef]
- Velichko, E.V.; Buyanov, A.L.; Saprykina, N.N.; Chetverikov, Y.O.; Duif, C.P.; Bouwman, W.G.; Smyslov, R.Y. High-strength bacterial cellulose–polyacrylamide hydrogels: Mesostructure anisotropy as studied by spin-echo small-angle neutron scattering and cryo-SEM. Eur. Polym. J. 2017, 88, 269–279. [Google Scholar] [CrossRef]
- Smyslov, R.Y.; Kopitsa, G.P.; Gorshkova, Y.E.; Ezdakova, K.V.; Khripunov, A.K.; Migunova, A.V.; Tsvigun, N.V.; Korzhova, S.A.; Emel’yanov, A.I.; Pozdnyakov, A.S. Novel biocompatible Cu2+-containing composite hydrogels based on bacterial cellulose and poly-1-vinyl-1,2,4-triazole. Smart Mater. Med. 2022, 3, 382–389. [Google Scholar] [CrossRef]
- Prozorova, G.F.; Pozdnyakov, A.S. Synthesis, Properties, and Biological Activity of Poly(1-vinyl-1,2,4-triazole) and Silver Nanocomposites Based on It. Polym. Sci. Ser. C 2022, 64, 62–72. [Google Scholar] [CrossRef]
- Pozdnyakov, A.S.; Kuznetsova, N.P.; Semenova, T.A.; Bolgova, Y.I.; Ivanova, A.A.; Trofimova, O.M.; Emel’yanov, A.I. Dithiocarbamates as Effective Reversible Addition–Fragmentation Chain Transfer Agents for Controlled Radical Polymerization of 1-Vinyl-1,2,4-triazole. Polymers 2022, 14, 2029. [Google Scholar] [CrossRef]
- Pozdnyakov, A.; Kuznetsova, N.; Ivanova, A.; Bolgova, Y.; Semenova, T.; Trofimova, O.; Emel’yanov, A. Synthesis and characterization of hydrophilic functionalized organosilicon copolymers containing triazole and silylimidate/silylacrylate groups. Polym. Chem. 2022, 13, 5345–5354. [Google Scholar] [CrossRef]
- Smyslov, R.; Emel’yanov, A.; Nekrasova, T.; Prozorova, G.; Korzhova, S.; Trofimova, O.; Pozdnyakov, A. Photoluminescence of Metal−Polymer Complexes Based on Functional Triazole−Carbazole Copolymers with Terbium Ions. Appl. Sci. 2023, 13, 4762. [Google Scholar] [CrossRef]
- Prozorova, G.F.; Pozdnyakov, A.S. Proton-Conducting Polymeric Membranes Based on 1,2,4-Triazole. Membranes 2023, 13, 169. [Google Scholar] [CrossRef] [PubMed]
- Kuklin, A.I.; Islamov, A.K.; Gordeliy, V.I. Scientific Reviews: Two-Detector System for Small-Angle Neutron Scattering Instrument. Neutron News 2005, 16, 16–18. [Google Scholar] [CrossRef]
- Soloviev, A.G.; Murugova, T.N.; Islamov, A.H.; Kuklin, A.I. FITTER. The package for fitting a chosen theoretical multi-parameter function through a set of data points. Application to experimental data of the YuMO spectrometer. J. Phys. Conf. Ser. 2012, 351, 012027. [Google Scholar] [CrossRef]
- Ostanevich, Y.M. Time-of-flight small-angle scattering spectrometers on pulsed neutron sources. Makromol. Chem. Macromol. Symp. 1988, 15, 91–103. [Google Scholar] [CrossRef]
- Radulescu, A.; Kentzinger, E.; Stellbrink, J.; Dohmen, L.; Alefeld, B.; Rücker, U.; Heiderich, M.; Schwahn, D.; Brückel, T.; Richter, D. KWS-3: The New (Very) Small-Angle Neutron Scattering Instrument Based on Focusing-Mirror Optics. Neutron News 2005, 16, 18–21. [Google Scholar] [CrossRef]
- Goerigk, G.; Varga, Z. Comprehensive upgrade of the high-resolution small-angle neutron scattering instrument KWS-3 at FRM II. J. Appl. Crystallogr. 2011, 44, 337–342. [Google Scholar] [CrossRef]
- Wignall, G.D.; Bates, F.S. Absolute calibration of small-angle neutron scattering data. J. Appl. Crystallogr. 1987, 20, 28–40. [Google Scholar] [CrossRef]
- Pipich, V. QtiKWS: User-Friendly Program for Reduction, Visualization, Analysis and Fit of SA (N)S Data; 2007. Available online: https://www.qtisas.com/ (accessed on 1 August 2023).
- Pipich, V: DAN: “Instrument-Free” Approach for SANS Data Treatment; 2013. Available online: https://www.qtisas.com/about (accessed on 1 August 2023).
- Bouchet, R. Proton conduction in acid doped polybenzimidazole. Solid State Ion. 1999, 118, 287–299. [Google Scholar] [CrossRef]
- Celik, S.; Aslan, A.; Bozkurt, A. Phosphoric acid-doped poly(1-vinyl-1,2,4-triazole) as water-free proton conducting polymer electrolytes. Solid State Ion. 2008, 179, 683–688. [Google Scholar] [CrossRef]
- Pu, H.; Liu, Q.; Liu, G. Methanol permeation and proton conductivity of acid-doped poly(N-ethylbenzimidazole) and poly(N-methylbenzimidazole). J. Memb. Sci. 2004, 241, 169–175. [Google Scholar] [CrossRef]
- VanderHart, D.L.; Atalla, R.H. Studies of microstructure in native celluloses using solid-state carbon-13 NMR. Macromolecules 1984, 17, 1465–1472. [Google Scholar] [CrossRef]
- Hesse-Ertelt, S.; Heinze, T.; Togawa, E.; Kondo, T. Structure elucidation of uniformly 13C-labeled bacterial celluloses from different Gluconacetobacter xylinus strains. Cellulose 2010, 17, 139–151. [Google Scholar] [CrossRef]
- Teixeira, J. Experimental Methods for Studying Fractal Aggregates. In On Growth and Form; Springer: Dordrecht, The Netherlands, 1986; pp. 145–162. [Google Scholar]
- Guinier, A. La diffraction des rayons X aux très petits angles: Application à l’étude de phénomènes ultramicroscopiques. Ann. Phys. 1939, 11, 161–237. [Google Scholar] [CrossRef]
- Beaucage, G.; Schaefer, D.W. Structural studies of complex systems using small-angle scattering: A unified Guinier/power-law approach. J. Non. Cryst. Solids 1994, 172–174, 797–805. [Google Scholar] [CrossRef]
- Štěpánek, M.; Matějíček, P.; Procházka, K.; Filippov, S.K.; Angelov, B.; Šlouf, M.; Mountrichas, G.; Pispas, S. Polyelectrolyte−Surfactant Complexes Formed by Poly [3,5-bis(trimethylammoniummethyl)4-hydroxystyrene iodide]-block-poly(ethylene oxide) and Sodium Dodecyl Sulfate in Aqueous Solutions. Langmuir 2011, 27, 5275–5281. [Google Scholar] [CrossRef] [PubMed]
- Doucet, M.; Cho, J.H.; Alina, G.; Bakker, J.; Bouwman, W.; Butler, P.; Campbell, K.; Gonzales, M.; Heenan, R.; Jackson, A.; et al. SasView, version 4.2.1; Zenodo: Geneva, Switzerland, 2019. [CrossRef]
- Svensson, A.; Nicklasson, E.; Harrah, T.; Panilaitis, B.; Kaplan, D.L.; Brittberg, M.; Gatenholm, P. Bacterial cellulose as a potential scaffold for tissue engineering of cartilage. Biomaterials 2005, 26, 419–431. [Google Scholar] [CrossRef] [PubMed]
- Hammouda, B. A new Guinier–Porod model. J. Appl. Crystallogr. 2010, 43, 716–719. [Google Scholar] [CrossRef]








| Sample | MBA, mol.% | H2O Content in Hydrogel, wt% | BC Content, (1) wt% | PVT Content, (1) wt% | Degree of Equilibrium Swelling, g/g | H3PO4 Content, (1) wt% |
|---|---|---|---|---|---|---|
| 1 | 0.2 | 48.0 | 4.0 | 96.0 | 0.9 | - |
| 2 | 61.3 | 0.9 | 22.4 | 1.6 | 76.7 | |
| 3 | 53.1 | 2.9 | 72.3 | 1.1 | 24.8 | |
| 4 | 0.5 | 33 | 5.1 | 94.9 | 0.5 | - |
| 5 | 19.7 | 1.8 | 33.3 | 0.24 | 64.9 | |
| 6 | 13.1 | 4.1 | 72.8 | 0.15 | 23.1 |
| Samples | BC | BC/PVT | BC/PVT/H3PO4 | ||
|---|---|---|---|---|---|
| % MBA | n/a | 0.2 | 0.5 | 0.2 | 0.5 |
| 2 structural level (1) | |||||
| Rg2 (μm) | 1.59 ± 0.05 | 1.36 ± 0.05 | 1.42 ± 0.08 | 1.41 ± 0.06 | 1.51 ± 0.07 |
| m2 | 1.95 ± 0.08 | 2.58 ± 0.08 | 2.85 ± 0.06 | 2.86 ± 0.09 | 2.52 ± 0.06 |
| 1 structural level (2) | |||||
| Rc (nm) (3) | 138 ± 4 | 199 ± 10 | 214 ± 10 | 259 ± 17 | 256 ± 17 |
| ξ = 2π/qmax(nm) | 507 ± 4 | 537 ± 5 | 528 ± 4 | 523 ± 6 | 537 ± 5 |
| s (4) | 2.06 ± 0.02 | 1.37 ± 0.02 | 1.56 ± 0.02 | 1.34 ± 0.02 | 1.42 ± 0.02 |
| Rg1 (nm) | 12.1 ± 0.5 | 19.2 ± 0.5 | 20.4 ± 0.5 | 15.7 ± 0.5 | 15.0 ± 0.7 |
| m1 | 2.56 ± 0.03 | 3.41 ± 0.03 | 3.32 ± 0.03 | 3.66 ± 0.06 | 3.47 ± 0.02 |
| Dm(5) | 2.56 | – | – | – | – |
| Ds(6) | – | 2.59 | 2.68 | 2.34 | 2.53 |
| T = Rg1√12 (nm) (7) | 42 | 67 | 71 | 54 | 52 |
Disclaimer/Publisher’s Note: The statements, opinions and data contained in all publications are solely those of the individual author(s) and contributor(s) and not of MDPI and/or the editor(s). MDPI and/or the editor(s) disclaim responsibility for any injury to people or property resulting from any ideas, methods, instructions or products referred to in the content. |
© 2023 by the authors. Licensee MDPI, Basel, Switzerland. This article is an open access article distributed under the terms and conditions of the Creative Commons Attribution (CC BY) license (https://creativecommons.org/licenses/by/4.0/).
Share and Cite
Smyslov, R.Y.; Emel’yanov, A.I.; Ezdakova, K.V.; Korzhova, S.A.; Gorshkova, Y.E.; Khripunov, A.K.; Migunova, A.V.; Tsvigun, N.V.; Prozorova, G.F.; Veselova, V.O.; et al. Composite Hydrogels Based on Bacterial Cellulose and Poly-1-vinyl-1,2,4-triazole/Phosphoric Acid: Supramolecular Structure as Studied by Small Angle Scattering. Biomimetics 2023, 8, 520. https://doi.org/10.3390/biomimetics8070520
Smyslov RY, Emel’yanov AI, Ezdakova KV, Korzhova SA, Gorshkova YE, Khripunov AK, Migunova AV, Tsvigun NV, Prozorova GF, Veselova VO, et al. Composite Hydrogels Based on Bacterial Cellulose and Poly-1-vinyl-1,2,4-triazole/Phosphoric Acid: Supramolecular Structure as Studied by Small Angle Scattering. Biomimetics. 2023; 8(7):520. https://doi.org/10.3390/biomimetics8070520
Chicago/Turabian StyleSmyslov, Ruslan Y., Artem I. Emel’yanov, Ksenia V. Ezdakova, Svetlana A. Korzhova, Yulia E. Gorshkova, Albert K. Khripunov, Alexandra V. Migunova, Natalia V. Tsvigun, Galina F. Prozorova, Varvara O. Veselova, and et al. 2023. "Composite Hydrogels Based on Bacterial Cellulose and Poly-1-vinyl-1,2,4-triazole/Phosphoric Acid: Supramolecular Structure as Studied by Small Angle Scattering" Biomimetics 8, no. 7: 520. https://doi.org/10.3390/biomimetics8070520
APA StyleSmyslov, R. Y., Emel’yanov, A. I., Ezdakova, K. V., Korzhova, S. A., Gorshkova, Y. E., Khripunov, A. K., Migunova, A. V., Tsvigun, N. V., Prozorova, G. F., Veselova, V. O., Kopitsa, G. P., Lu, L., Mao, Y., & Pozdnyakov, A. S. (2023). Composite Hydrogels Based on Bacterial Cellulose and Poly-1-vinyl-1,2,4-triazole/Phosphoric Acid: Supramolecular Structure as Studied by Small Angle Scattering. Biomimetics, 8(7), 520. https://doi.org/10.3390/biomimetics8070520

