Design and Analysis of a Bionic Gliding Robotic Dolphin
Abstract
1. Introduction
2. Mechanical Design
3. Dynamic Modeling
4. Experiments Results and Analyses
4.1. Experimental Setup
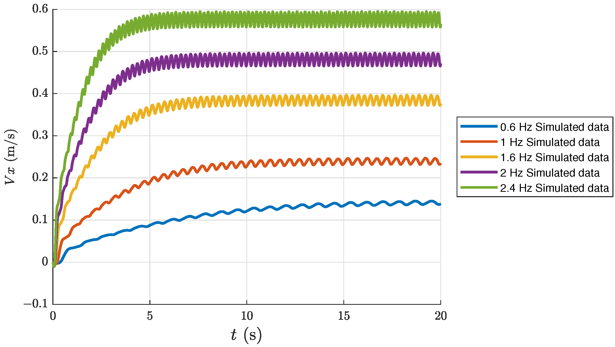
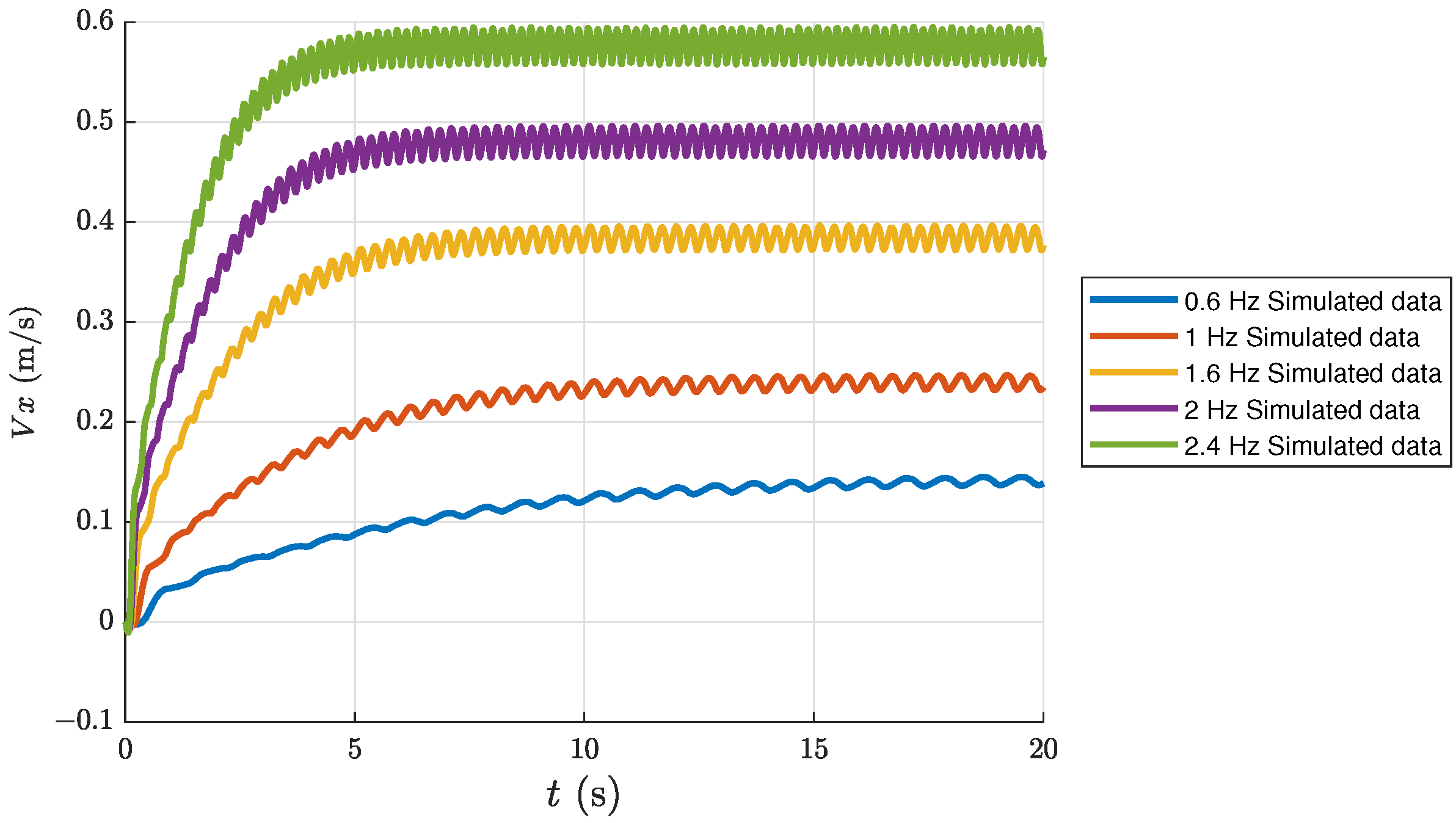
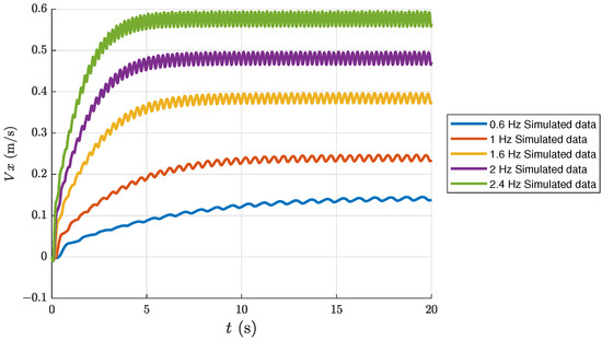
4.2. The Test in Forward Dolphin-like Swimming
4.3. The Test in Turning with the Yaw Joint
4.4. The Test in Gliding Motion
4.5. Discussion
5. Conclusions and Future Work
Author Contributions
Funding
Institutional Review Board Statement
Data Availability Statement
Conflicts of Interest
References
- Wynn, R.B.; Huvenne, V.A.I.; Bas, T.P.L.; Murton, B.J.; Connelly, D.P.; Bett, B.J.; Ruhl, H.A.; Morris, K.J.; Peakall, J.; Parsons, D.R. Autonomous Underwater Vehicles (AUVs): Their past, present and future contributions to the advancement of marine geoscience. Mar. Geol. 2014, 352, 451–468. [Google Scholar] [CrossRef]
- Zhao, Q.; Zhang, L.; Liu, L.; Pan, G. Review on energy-saving key technologies of underwater bionic robot swarm. J. Northwest. Polytech. Univ. 2022, 40, 576–583. [Google Scholar] [CrossRef]
- Xie, G.; Zheng, X. Bionic Sensing with Artificial Lateral Line Systems for Fish-like Underwater Robots; CRC Press: Boca Raton, FL, USA, 2022. [Google Scholar]
- Liu, Y.; Li, H.; Deng, S.; Wang, S.; Liu, S.; Wang, Z. Biomimetic robotic sea lion foreflippers: Design, modelling and experimentation. IEEE-ASME Trans. Mechatron. 2022, 27, 5679–5689. [Google Scholar] [CrossRef]
- Fish, F.E. Advantages of aquatic animals as models for bio-inspired drones over present AUV technology. Bioinspir. Biomim. 2020, 15, 025001. [Google Scholar] [CrossRef] [PubMed]
- Yu, J.; Su, Z.; Wang, M.; Tan, M.; Zhang, J. Control of yaw and pitch maneuvers of a multilink dolphin robot. IEEE Trans. Robot. 2011, 28, 318–329. [Google Scholar] [CrossRef]
- Yu, J.; Wu, Z.; Wang, T.; Qi, S. Motion control strategies for a repetitive leaping robotic dolphin. IEEE-ASME Trans. Mechatron. 2019, 24, 913–923. [Google Scholar] [CrossRef]
- Yu, J.; Wu, Z.; Wang, J.; Tan, M. Bionic Gliding Underwater Robots: Design, Control and Implementation; CRC Press: Boca Raton, FL, USA, 2022. [Google Scholar]
- Yang, M.; Wang, Y.; Liang, Y.; Wang, C. A new approach to system design optimization of underwater gliders. IEEE-ASME Trans. Mechatron. 2022, 27, 3494–3505. [Google Scholar] [CrossRef]
- Anderlini, E.; Salavasidis, G.; Harris, C.A.; Wu, P.; Lorenzo, A.; Phillips, A.B.; Thomas, G. A remote anomaly detection system for Slocum underwater gliders. Ocean Eng. 2021, 236, 109531. [Google Scholar] [CrossRef]
- Wu, Z.; Yu, J.; Yuan, J.; Tan, M.; Qi, S. Gliding motion regulation of a robotic dolphin based on a controllable fluke. IEEE Trans. Ind. Electron. 2020, 67, 2945–2953. [Google Scholar] [CrossRef]
- Fish, F.E.; Rohr, J. Review of Dolphin Hydrodynamics and Swimming Performance; SPAWARS System Center Technical Report 1801; SPAWARS System Center: San Diego, CA, USA, 1999. [Google Scholar]
- Han, P.; Wang, J.; Fish, F.E.; Dong, H. Kinematics and hydrodynamics of a dolphin in forward swimming. In Proceedings of the AIAA Aviation Forum, Virtual, 15–19 June 2020; p. 3015. [Google Scholar]
- Maresh, J.L.; Fish, F.E.; Nowacek, D.P.; Nowacek, S.M.; Wells, R.S. High performance turning capabilities during foraging by bottlenose dolphins. Mar. Mamm. Sci. 2004, 20, 498–509. [Google Scholar] [CrossRef]
- Fish, F.E. Balancing requirements for stability and maneuverability in cetaceans. Integr. Comp. Biol. 2002, 42, 85–93. [Google Scholar] [CrossRef] [PubMed]
- Liu, J.; Wu, Z.; Yu, J.; Cao, Z. Flippers-based turning analysis and implementation of a dolphin robot. In Proceedings of the 2017 IEEE International Conference on Robotics and Biomimetics (ROBIO), Macao, China, 5–8 December 2017; pp. 141–146. [Google Scholar]
- Wang, J.; Wu, Z.; Liu, J.; Tan, M.; Yu, J. 3-D motion analysis and implementation of a developed gliding robotic dolphin. In Proceedings of the 2019 IEEE International Conference on Robotics and Biomimetics (ROBIO), Dali, China, 6–8 December 2019; pp. 1808–1813. [Google Scholar]
- Tong, R.; Qiu, C.; Wu, Z.; Wang, J.; Tan, M.; Yu, J. NA-CPG: A robust and stable rhythm generator for robot motion control. Biomim. Intell. Robot. 2022, 2, 4. [Google Scholar] [CrossRef]
- Han, Q.; Cao, F.X.; Yi, P.; Li, T.C. Motion control of a gecko-like robot based on a central pattern generator. Sensors 2021, 21, 6045. [Google Scholar] [CrossRef] [PubMed]
- Yan, S.; Wu, Z.; Wang, J.; Tang, M.; Yu, J. Efficient cooperative structured control for a multijoint biomimetic robotic fish. IEEE-ASME Trans. Mechatron. 2020, 26, 2506–2615. [Google Scholar] [CrossRef]
- Chen, D.; Li, S.; Lin, F.; Wu, Q. New supper-twisting zeroing neural-dynamics model for tracking control of parallel robots: A finite-time and robust solution. IEEE Trans. Cybern. 2020, 50, 2651–2660. [Google Scholar] [CrossRef] [PubMed]
- Boyer, F.; Lebastard, V.; Candelier, F.; Renda, F. Dynamics of continuum and soft robots: A strain parameterization based approach. IEEE Trans. Robot. 2020, 37, 847–863. [Google Scholar] [CrossRef]
- Spong, M.W.; Hutchinson, S.; Vidyasagar, M. Robot Modeling and Control; John Wiley & Sons: Hoboken, NJ, USA, 2020. [Google Scholar]
- Fish, F.E.; Hui, C.A. Dolphin swimming: A review. Mamm. Rev. 1991, 21, 181–195. [Google Scholar] [CrossRef]
- Fish, F.E. Power output and propulsive efficiency of swimming bottlenose dolphins (Tursiops truncatus). J. Exp. Biol. 1993, 185, 179–193. [Google Scholar] [CrossRef]
- Fish, F.E. Comparative kinematics and hydrodynamics of odontocete cetaceans: Morphological and ecological correlates with swimming performance. J. Exp. Biol. 1998, 201, 2867–2877. [Google Scholar] [CrossRef] [PubMed]












Disclaimer/Publisher’s Note: The statements, opinions and data contained in all publications are solely those of the individual author(s) and contributor(s) and not of MDPI and/or the editor(s). MDPI and/or the editor(s) disclaim responsibility for any injury to people or property resulting from any ideas, methods, instructions or products referred to in the content. |
© 2023 by the authors. Licensee MDPI, Basel, Switzerland. This article is an open access article distributed under the terms and conditions of the Creative Commons Attribution (CC BY) license (https://creativecommons.org/licenses/by/4.0/).
Share and Cite
Zhang, Y.; Wu, Z.; Wang, J.; Tan, M. Design and Analysis of a Bionic Gliding Robotic Dolphin. Biomimetics 2023, 8, 151. https://doi.org/10.3390/biomimetics8020151
Zhang Y, Wu Z, Wang J, Tan M. Design and Analysis of a Bionic Gliding Robotic Dolphin. Biomimetics. 2023; 8(2):151. https://doi.org/10.3390/biomimetics8020151
Chicago/Turabian StyleZhang, Yang, Zhengxing Wu, Jian Wang, and Min Tan. 2023. "Design and Analysis of a Bionic Gliding Robotic Dolphin" Biomimetics 8, no. 2: 151. https://doi.org/10.3390/biomimetics8020151
APA StyleZhang, Y., Wu, Z., Wang, J., & Tan, M. (2023). Design and Analysis of a Bionic Gliding Robotic Dolphin. Biomimetics, 8(2), 151. https://doi.org/10.3390/biomimetics8020151

