Previous Issue
Volume 10, September
 
 

Biomimetics, Volume 10, Issue 10 (October 2025) – 63 articles

Cover Story (view full-size image): We present the foot design for the humanoid robot Mithra, with the goal of biomimetically improving impact behavior, natural power cycling throughout the gait cycle, and balance. For this purpose, an optimization framework was built which evaluates the human-inspired objectives using a dynamic finite element analysis validated by benchtop experiments. Using this framework and through several concept design iterations, a low-cost, compliant foot was optimized, designed, and fabricated. The analyses showed that the optimized foot significantly outperformed the baseline rigid foot in approaching the characteristics of human feet. The proposed framework is not limited to humanoids and can also be applied to foot design for lower-limb prostheses and exoskeletons. View this paper
  • Issues are regarded as officially published after their release is announced to the table of contents alert mailing list.
  • You may sign up for e-mail alerts to receive table of contents of newly released issues.
  • PDF is the official format for papers published in both, html and pdf forms. To view the papers in pdf format, click on the "PDF Full-text" link, and use the free Adobe Reader to open them.
Order results
Result details
Section
Select all
Export citation of selected articles as:
23 pages, 508 KB  
Review
Chemical Crosslinking of Acid Soluble Collagen Fibres
by Peter Schyra, Dilbar Aibibu, Bernd Sundag and Chokri Cherif
Biomimetics 2025, 10(10), 701; https://doi.org/10.3390/biomimetics10100701 - 15 Oct 2025
Abstract
Collagen, as the predominant structural protein in vertebrates, represents a promising biomimetic material for scaffold development. Fibre-based scaffolds produced through textile technologies enable precise modulation of structural characteristics to closely mimic the extracellular matrix architecture using wet-spun collagen fibres. However, this in vitro [...] Read more.
Collagen, as the predominant structural protein in vertebrates, represents a promising biomimetic material for scaffold development. Fibre-based scaffolds produced through textile technologies enable precise modulation of structural characteristics to closely mimic the extracellular matrix architecture using wet-spun collagen fibres. However, this in vitro fibre formation lacks natural crosslinking, resulting in collagen fibres with compromised mechanical strength, enzymatic resistance, and thermal stability compared to their native counterparts, thus restricting their biomedical applicability. Post-fabrication crosslinking is therefore imperative to enhance the durability and functional performance of collagen fibre-based scaffolds. Although traditional crosslinkers like glutaraldehyde effectively improve mechanical strength and stability, their clinical utility is hindered by cytotoxicity and associated adverse biological responses. Alternative synthetic crosslinking agents, such as hexamethylene diisocyanate, 1-Ethyl-3-(3’-dimethyl amino propyl) carbodiimide, and 1,4-Butanediol diglycidyl ether, have demonstrated superior cytocompatibility while effectively improving collagen fibre properties. Nonetheless, synthetic compounds may induce more pronounced foreign body reaction than natural agents, necessitating further investigation into their cytocompatibility across varying concentrations. In contrast, plant-based crosslinking offers a promising, cytocompatible alternative, significantly enhancing the thermal and mechanical stability of collagen fibres, provided that potential fibre discolouration is acceptable for intended biomedical applications. Full article
(This article belongs to the Section Biomimetics of Materials and Structures)
Show Figures

Figure 1

15 pages, 3846 KB  
Article
Optimizing Biodegradable Poly(D,L-lactide) Scaffolds Reinforced with Graphene Oxide for Bone Tissue Regeneration
by Esperanza Díaz, Ander García, Xabier León, Yolanda Merodio, Sylvie Ribeiro and Senentxu Lanceros-Méndez
Biomimetics 2025, 10(10), 700; https://doi.org/10.3390/biomimetics10100700 - 15 Oct 2025
Abstract
This study investigates the potential of porous poly(D,L-lactide) (PDLLA) scaffolds reinforced with graphene oxide (GO) for bone tissue engineering applications. Scaffolds were fabricated using thermally induced phase separation (TIPS) and characterized in terms of morphology, biodegradation, thermal and mechanical properties, and cytocompatibility. The [...] Read more.
This study investigates the potential of porous poly(D,L-lactide) (PDLLA) scaffolds reinforced with graphene oxide (GO) for bone tissue engineering applications. Scaffolds were fabricated using thermally induced phase separation (TIPS) and characterized in terms of morphology, biodegradation, thermal and mechanical properties, and cytocompatibility. The incorporation of GO enhanced both mechanical strength and thermal stability, likely due to hydrogen bonding and electrostatic interactions between GO’s functional groups (carbonyl, carboxyl, epoxide, and hydroxyl) and PDLLA chains. In vitro degradation studies showed that GO accelerated degradation, while scaffolds with higher GO content retained superior mechanical strength. Cytotoxicity assays confirmed the biocompatibility of all scaffold variants, supporting their suitability for biomedical applications. Overall, the findings demonstrate how GO incorporation can modulate scaffold composition and performance. This provides insights for the design of improved systems for bone tissue regeneration. Full article
(This article belongs to the Special Issue Biomimicry and Functional Materials: 5th Edition)
Show Figures

Figure 1

20 pages, 2616 KB  
Article
Biomimetic Transfer Learning-Based Complex Gastrointestinal Polyp Classification
by Daniela-Maria Cristea, Daniela Onita and Laszlo Barna Iantovics
Biomimetics 2025, 10(10), 699; https://doi.org/10.3390/biomimetics10100699 - 15 Oct 2025
Abstract
(1) Background: This research investigates the application of Artificial Intelligence (AI), particularly biomimetic convolutional neural networks (CNNs), for the automatic classification of gastrointestinal (GI) polyps in endoscopic images. The study combines AI and Transfer learning techniques to support early detection of colorectal cancer [...] Read more.
(1) Background: This research investigates the application of Artificial Intelligence (AI), particularly biomimetic convolutional neural networks (CNNs), for the automatic classification of gastrointestinal (GI) polyps in endoscopic images. The study combines AI and Transfer learning techniques to support early detection of colorectal cancer by enhancing diagnostic accuracy with pre-trained models; (2) Methods: The Kvasir dataset, comprising 4000 annotated endoscopic images across eight polyp categories, was used. Images were pre-processed via normalisation, resizing, and data augmentation. Several CNN architectures, including state-of-the-art optimized ResNet50, DenseNet121, and MobileNetV2, were trained and evaluated. Models were assessed through training, validation, and testing phases, using performance metrics such as overall accuracy, confusion matrix, precision, recall, and F1 score; (3) Results: ResNet50 achieved the highest validation accuracy at 90.5%, followed closely by DenseNet121 with 87.5% and MobileNetV2 with 86.5%. The models demonstrated good generalisation, with small differences between training and validation accuracy. The average inference time was under 0.5 s on a computer with limited resources, confirming real-time applicability. Confusion matrix analysis indicates that common errors frequently occur between visually similar classes, particularly when reviewed by less-experienced medical physicians. These errors underscore the difficulty of distinguishing subtle features in gastrointestinal imagery and highlight the value of model-assisted diagnostics; (4) Conclusions: The obtained results confirm that Deep learning-based CNN architectures, combined with Transfer learning and optimisation techniques, can classify accurately endoscopic images and support medical diagnostics. Full article
(This article belongs to the Special Issue Bio-Inspired Artificial Intelligence in Healthcare)
Show Figures

Figure 1

12 pages, 262 KB  
Article
Bioinspired Functional Design for Wearable Environmental Sensors
by Haejin Bae
Biomimetics 2025, 10(10), 698; https://doi.org/10.3390/biomimetics10100698 - 15 Oct 2025
Abstract
Biological mechanisms observed across diverse species—such as adhesion, color change, antifouling, and flexible protection—are functionally classified to inform a principle-based conceptual framework for the design of wearable environmental sensors. Existing wearable sensors are constrained by poor skin conformity, reliance on chemical adhesives, performance [...] Read more.
Biological mechanisms observed across diverse species—such as adhesion, color change, antifouling, and flexible protection—are functionally classified to inform a principle-based conceptual framework for the design of wearable environmental sensors. Existing wearable sensors are constrained by poor skin conformity, reliance on chemical adhesives, performance degradation in wet environments, dependency on external power, and low durability. In response, biological case studies are systematically organized into four functional categories—reversible and wet adhesion, power-free coloration, antifouling and antibacterial surface mechanisms, and compliant protective architectures—and hierarchically mapped to corresponding engineering layers. Rather than reporting experimental results, this framework outlines how biological mechanisms was translated into structured design principles that collectively address the core requirements of wearable sensors: skin compatibility, energy efficiency, fouling resistance, and durability under mechanical deformation. Unlike previous biomimetic surveys that primarily catalog natural phenomena, this work establishes a structured, function-oriented framework that explicitly connects biological strategies to multilayer sensor architectures aligned with Nature-based Solutions and the Global Biodiversity Framework. Ultimately, it clarifies a unique conceptual pathway for sustainable, biodiversity-informed engineering design. Full article
(This article belongs to the Section Bioinspired Sensorics, Information Processing and Control)
19 pages, 7895 KB  
Article
SpiKon-E: Hybrid Soft Artificial Muscle Control Using Hardware Spiking Neural Network
by Florian-Alexandru Brașoveanu, Mircea Hulea and Adrian Burlacu
Biomimetics 2025, 10(10), 697; https://doi.org/10.3390/biomimetics10100697 - 15 Oct 2025
Abstract
Artificial muscles play a key role in the future of humanoid robotics and medical devices, with research on wire-driven joints leading the field. While electric servo motors were once at the forefront, the focus has shifted toward materials that react to changes in [...] Read more.
Artificial muscles play a key role in the future of humanoid robotics and medical devices, with research on wire-driven joints leading the field. While electric servo motors were once at the forefront, the focus has shifted toward materials that react to changes in the environment (smart materials), including pneumatic silicone actuators and temperature-reactive metallic alloys, aiming to replicate human muscle actuation for improved performance. Initially designed for rigid actuators, control strategies were adapted to address the unique dynamics of artificial muscles. Although current controllers offer satisfactory performance, further optimization is necessary to mimic natural muscle control more rigorously. This study details the design and implementation of a novel system that mimics biological muscle. This system is designed to replicate the full range of motion and control functionalities, which can be utilized in various applications. This research has three significant contributions in the field of sustainable soft robotics. First, a novel shape memory alloy-based linear actuator is introduced, which achieves significantly higher displacements compared to traditional SMA wire-driven systems through a guiding mechanism. Second, this linear actuator is integrated into a hybrid soft actuation structure, which features a silicone PneuNet as the end effector and a force sensor for real-time pressure feedback. Lastly, a hardware Spiking Neural Network (HW-SNN) is utilized to control the exhibited force at the actuator’s endpoint. Experimental results showed that the displacement with the control system is significantly higher than that of the traditional control-based shape memory alloy systems. The system evaluation demonstrates good performance, thus advancing actuation and control in humanoid robotics. Full article
Show Figures

Figure 1

22 pages, 2258 KB  
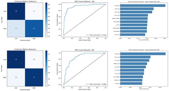
Article
Designing Light for Emotion: A Neurophysiological Approach to Modeling Affective Responses to the Interplay of Color and Illuminance
by Xuejiao Li, Ruili Wang and Mincheol Whang
Biomimetics 2025, 10(10), 696; https://doi.org/10.3390/biomimetics10100696 - 14 Oct 2025
Abstract
As the influence of indoor environments on human emotional regulation and cognitive function becomes increasingly critical in modern society, there is a growing need for intelligent lighting systems that dynamically respond to users’ emotional states. While previous studies have investigated either illuminance or [...] Read more.
As the influence of indoor environments on human emotional regulation and cognitive function becomes increasingly critical in modern society, there is a growing need for intelligent lighting systems that dynamically respond to users’ emotional states. While previous studies have investigated either illuminance or color in isolation, this study concentrates on quantitatively analyzing the interaction of these two key elements on human emotion and cognitive control capabilities. Utilizing electroencephalography (EEG) and electrocardiography (ECG) signals, we measured participants’ physiological responses and subjective emotional assessments in 18 unique lighting conditions, combining six colors and three levels of illuminance. The results confirmed that the interaction between light color and illuminance significantly affects physiological indicators related to emotion regulation. Notably, low-illuminance purple lighting was found to promote positive emotions and inhibit negative ones by increasing frontal alpha asymmetry (FAA) and gamma wave activity. Conversely, low-illuminance environments generally diminished cognitive reappraisal and negative emotion inhibition capabilities. Furthermore, a random forest model integrating time-series data from EEG and ECG predicted emotional valence and arousal with accuracies of 87% and 79%, respectively, demonstrating the validity of multi-modal physiological signal-based emotion prediction. This study provides empirical data and a theoretical foundation for the development of human-centered, emotion-adaptive lighting systems by presenting a quantitative causal model linking lighting, physiological responses, and emotion. These findings also provide a biomimetic perspective by linking lighting-induced physiological responses with emotion regulation, offering a foundation for the development of adaptive lighting systems that emulate natural light–human interactions. Full article
Show Figures

Figure 1

28 pages, 2869 KB  
Review
Scaffolds Mimicking the Tumor Microenvironment for In Vitro Malignancy Models
by Elisabetta Rosellini and Maria Grazia Cascone
Biomimetics 2025, 10(10), 695; https://doi.org/10.3390/biomimetics10100695 - 14 Oct 2025
Abstract
The tumor microenvironment (TME) plays a crucial role in regulating cancer cell proliferation, invasion, and drug resistance. Traditional two-dimensional (2D) in vitro models and animal models often fail to replicate the biochemical and biophysical complexity of human tumors, leading to low predictive power [...] Read more.
The tumor microenvironment (TME) plays a crucial role in regulating cancer cell proliferation, invasion, and drug resistance. Traditional two-dimensional (2D) in vitro models and animal models often fail to replicate the biochemical and biophysical complexity of human tumors, leading to low predictive power in preclinical drug screening. In recent years, scaffold-based three-dimensional (3D) in vitro models have emerged as promising alternatives, offering a more physiologically relevant context for studying tumor behavior. Among these, biomimetic scaffolds capable of replicating the composition, stiffness, porosity, and signaling features of the tumor extracellular matrix (ECM) are of particular interest. This review provides a comprehensive overview of scaffold-based approaches for mimicking the TME in vitro. After outlining the key characteristics of the tumor ECM, we discuss various scaffold typologies, including those based on natural, synthetic, and hybrid biomaterials, as well as decellularized ECM. Recent advancements in fabrication technologies, such as electrospinning and 3D bioprinting, are also highlighted for their role in replicating the geometric and mechanical features of tumor tissues. Special attention is given to the integration of vascular components and stromal cells to recapitulate the complexity of the TME. Finally, we explore current limitations and future directions, emphasizing the need for standardized and reproducible models, particularly in the context of personalized cancer therapy. Full article
Show Figures

Figure 1

17 pages, 1444 KB  
Article
Self-Consistent Field Modeling of Bottle-Brush with Aggrecan-like Side Chain
by Ivan V. Mikhailov, Ivan V. Lukiev, Ekaterina B. Zhulina and Oleg V. Borisov
Biomimetics 2025, 10(10), 694; https://doi.org/10.3390/biomimetics10100694 - 14 Oct 2025
Abstract
Bottle-brush polymers with aggrecan-like side chains represent a class of biomimetic macromolecules that replicate key structural and functional features of natural complexes of aggrecans with hyaluronic acid (HA) which are the major components of articular cartilage. In this study, we employ numerical self-consistent [...] Read more.
Bottle-brush polymers with aggrecan-like side chains represent a class of biomimetic macromolecules that replicate key structural and functional features of natural complexes of aggrecans with hyaluronic acid (HA) which are the major components of articular cartilage. In this study, we employ numerical self-consistent field (SCF) modeling combined with analytical theory to investigate the conformational properties of cylindrical molecular bottle-brushes composed of aggrecan-like double-comb side chains tethered to the main chain (the backbone of the bottle-brush). We demonstrate that the architecture of the brush-forming double-comb chains and, in particular, the distribution of polymer mass between the root and peripheral domains significantly influences the spatial distribution of primary side chain ends, leading to formation of a “dead” zone near the backbone of the bottle-brush and non-uniform density profiles. The axial stretching force imposed by grafted double-combs in the main chain, as well as normal force acting at the junction point between the bottle-brush backbone and the double-comb side chain are shown to depend strongly on the side-chain architecture. Furthermore, we analyze the induced bending rigidity and persistence length of the bottle-brush, revealing that while the overall scaling behavior follows established power laws, the internal structure can be finely tuned without altering the backbone stiffness. These theoretical findings provide valuable insights into relations between architecture and properties of bottle-brush-like supra-biomolecular structures, such as aggrecan-hyaluronan complexes. Full article
(This article belongs to the Special Issue Design and Fabrication of Biomimetic Smart Materials)
Show Figures

Figure 1

14 pages, 1197 KB  
Article
An Inclusive Offline Learning Platform Integrating Gesture Recognition and Local AI Models
by Marius-Valentin Drăgoi, Ionuț Nisipeanu, Roxana-Adriana Puiu, Florentina-Geanina Tache, Teodora-Mihaela Spiridon-Mocioacă, Alexandru Hank and Cozmin Cristoiu
Biomimetics 2025, 10(10), 693; https://doi.org/10.3390/biomimetics10100693 - 14 Oct 2025
Abstract
This paper introduces a gesture-controlled conversational interface driven by a local AI model, aimed at improving accessibility and facilitating hands-free interaction within digital environments. The technology utilizes real-time hand gesture recognition via a typical laptop camera and connects with a local AI engine [...] Read more.
This paper introduces a gesture-controlled conversational interface driven by a local AI model, aimed at improving accessibility and facilitating hands-free interaction within digital environments. The technology utilizes real-time hand gesture recognition via a typical laptop camera and connects with a local AI engine to produce customized learning materials. Users can peruse educational documents, obtain topic summaries, and generate automated quizzes with intuitive gestures, including lateral finger movements, a two-finger gesture, or an open palm, without the need for conventional input devices. Upon selection of a file, the AI model analyzes its whole content, producing a structured summary and a multiple-choice assessment, both of which are immediately saved for subsequent inspection. A unified set of gestures facilitates seamless navigating within the user interface and the opened documents. The system underwent testing with university students and faculty (n = 31), utilizing assessment measures such as gesture detection accuracy, command-response latency, and user satisfaction. The findings demonstrate that the system offers a seamless, hands-free user experience with significant potential for usage in accessibility, human–computer interaction, and intelligent interface design. This work advances the creation of multimodal AI-driven educational aids, providing a pragmatic framework for gesture-based document navigation and intelligent content enhancement. Full article
(This article belongs to the Special Issue Biomimicry for Optimization, Control, and Automation: 3rd Edition)
Show Figures

Figure 1

32 pages, 17162 KB  
Article
A Novel Proposal for a Bladeless Wind Turbine: Bio-Inspired Design of a Columnar-Cactus Type Mast
by Isaac Hernández-Arriaga, Joaquín Pérez-Meneses, Guillermo Eduardo Mejía-Hernández, Juventino López-Barroso, Cynthia Graciela Flores-Hernández and Daniel Hernández-Arriaga
Biomimetics 2025, 10(10), 692; https://doi.org/10.3390/biomimetics10100692 - 14 Oct 2025
Abstract
This research presents an experimental study on a scaled prototype of a bladeless wind turbine that operates based on the principle of vortex-induced vibrations (VIV-BWT) with the implementation of bio-inspired design of a columnar-cactus type mast. The aerodynamic performance of columnar-cactus type masts [...] Read more.
This research presents an experimental study on a scaled prototype of a bladeless wind turbine that operates based on the principle of vortex-induced vibrations (VIV-BWT) with the implementation of bio-inspired design of a columnar-cactus type mast. The aerodynamic performance of columnar-cactus type masts with different numbers of ribs was investigated and compared with that of a conventional cylindrical mast. The objective of this novel proposal is to maximize wind energy conversion efficiency through vortex-induced vibrations, thereby enhancing energy generation. The present study focuses on the geometry of the columnar-cactus type mast as a vortex generator, which significantly influences the performance of this type of VIV wind energy harvester. The findings reveal that the geometric configuration of the cactus-inspired mast and the mast angle promote vortex formation, leading to higher lift coefficients and forces. Consequently, this results in greater vortex-induced vibration magnitudes. For instance, at a wind speed of 6.0 m/s and a mast angle of 0°, the 6-rib cactus-type mast exhibits 12 times greater VIV amplitude compared to the conventional cylindrical mast, while the 5-rib and 7-rib cactus-type masts show 2.4- and 2.2-times greater amplitudes, respectively. However, for wind speeds below 5 m/s, the cylindrical mast demonstrates superior VIV performance. Full article
Show Figures

Graphical abstract

15 pages, 858 KB  
Article
Efficacy and Safety of Kahook Dual Blade Goniotomy and Trabecular Micro-Bypass Stent in Combination with Cataract Extraction
by Kevin Y. Wu, Shu Yu Qian, Lysa Houadj and Michael Marchand
Biomimetics 2025, 10(10), 691; https://doi.org/10.3390/biomimetics10100691 - 14 Oct 2025
Abstract
In recent years, rapid advancements in glaucoma research have led to the development of more effective treatments of this chronic and irreversible condition. Of these, Kahook Blade Dual (KDB) goniotomy and second-generation trabecular micro-bypass stent (iStent) are two novel biomimetic procedures which have [...] Read more.
In recent years, rapid advancements in glaucoma research have led to the development of more effective treatments of this chronic and irreversible condition. Of these, Kahook Blade Dual (KDB) goniotomy and second-generation trabecular micro-bypass stent (iStent) are two novel biomimetic procedures which have designs inspired by the eye’s natural drainage mechanisms. In this retrospective study, we evaluated the safety and effectiveness of both surgeries by including 176 eyes from 110 patients: 142 eyes in the iStent group and 34 in the KDB group. The primary outcomes of this study were the proportions of patients in each group attaining a 20% reduction in IOP and a post-operative IOP < 19 mmHg. At the last follow-up, a 20% reduction in IOP was achieved by 67% of iStent inject patients and 50% of KDB patients (p = 0.07). The iStent group also showed a higher proportion of patients reaching an IOP of less than 19 mmHg (81% vs. 71% in the KDB group, p = 0.13). The number of medications did not decrease in either group from pre-op to the last follow-up. The KDB group had more failures (29.4% vs. 4.2%) and a significantly higher adverse event rate than the iStent inject group (47.1% vs 12.0%). Full article
Show Figures

Figure 1

44 pages, 49738 KB  
Article
A Hybrid SAO and RIME Optimizer for Global Optimization and Cloud Task Scheduling
by Ming Zhu, Jing Li and Xiao Yang
Biomimetics 2025, 10(10), 690; https://doi.org/10.3390/biomimetics10100690 - 13 Oct 2025
Abstract
In a global industrial landscape where the digital economy accounts for over 40% of total output, cloud computing technology is reshaping business models at a compound annual growth rate of 19%. This trend has led to an increasing number of cloud computing tasks [...] Read more.
In a global industrial landscape where the digital economy accounts for over 40% of total output, cloud computing technology is reshaping business models at a compound annual growth rate of 19%. This trend has led to an increasing number of cloud computing tasks requiring timely processing. However, most computational tasks are latency-sensitive and cannot tolerate significant delays. This has led to the urgent need for researchers to address the challenge of effectively scheduling cloud computing tasks. This paper proposes a hybrid SAO and RIME optimizer (HSAO) for global optimization and cloud task scheduling problems. First, population initialization based on ecological niche differentiation is proposed to enhance the initial population quality of SAO, enabling it to better explore the solution space. Then, the introduction of the soft frost search strategy and hard frost piercing mechanism from the RIME optimization algorithm enables the algorithm to better escape local optima and accelerate its convergence. Additionally, a population-based collaborative boundary control method is proposed to handle outlier individuals, preventing them from clustering at the boundary and enabling more effective exploration of the solution space. To evaluate the effectiveness of the proposed algorithm, we compared it with 11 other algorithms using the IEEE CEC2017 test set and assessed the differences through statistical analysis. Experimental data demonstrate that the HSAO algorithm exhibits significant advantages. Furthermore, to validate its practical applicability, we applied HSAO to real-world cloud computing task scheduling problems, achieving excellent results and successfully completing the scheduling planning of cloud computing tasks. Full article
(This article belongs to the Special Issue Exploration of Bio-Inspired Computing: 2nd Edition)
Show Figures

Figure 1

22 pages, 3034 KB  
Review
Multifunctional Liposomes: Smart Nanomaterials for Enhanced Photodynamic Therapy
by Ji-Won Yu, Do Gyun Kim and Gi Doo Cha
Biomimetics 2025, 10(10), 689; https://doi.org/10.3390/biomimetics10100689 - 13 Oct 2025
Abstract
Cancer remains one of the leading causes of mortality worldwide and continues to pose significant therapeutic challenges despite decades of research. Conventional treatments such as chemotherapy and radiotherapy often lack selectivity, damaging both malignant and healthy tissues and resulting in severe side effects. [...] Read more.
Cancer remains one of the leading causes of mortality worldwide and continues to pose significant therapeutic challenges despite decades of research. Conventional treatments such as chemotherapy and radiotherapy often lack selectivity, damaging both malignant and healthy tissues and resulting in severe side effects. Photodynamic therapy (PDT) has emerged as a promising non-invasive alternative that selectively eradicates cancer cells or pathogens using a photosensitizer (PS), light, and oxygen. PDT induces necrosis or apoptosis in cancer cells by locally generating cytotoxic reactive oxygen species through targeted laser irradiation. However, its clinical efficacy is limited by factors such as tumor hypoxia, poor PS delivery efficiency, and light attenuation within biological tissues. Recent advances in liposomal nanoplatforms have shown considerable potential in overcoming these barriers. Liposomes can co-deliver PS, therapeutic agents, and oxygen, thereby enhancing PDT outcomes. This review outlines the fundamental principles of PDT and the physicochemical properties of liposomes. It then explores two major strategies for improving PDT efficacy using liposomes: PS-drug co-delivery and oxygen delivery to mitigate tumor hypoxia for synergistic therapeutic effects. Finally, current limitations and future perspectives of liposome-based nanomedicine in photodynamic cancer therapy are discussed. Overall, this review provides a foundation for advancing liposome-based strategies toward clinical implementation in photodynamic cancer treatment. Full article
Show Figures

Figure 1

26 pages, 4381 KB  
Article
Biocomposite-Based Biomimetic Plate for Alternative Fixation of Proximal Humerus Fractures
by Miguel Suffo, Irene Fernández-Illescas, Ana María Simonet, Celia Pérez-Muñoz and Pablo Andrés-Cano
Biomimetics 2025, 10(10), 688; https://doi.org/10.3390/biomimetics10100688 - 13 Oct 2025
Abstract
Proximal humerus fractures are frequent injuries that often require internal fixation. Conventional metallic plates, however, present significant drawbacks such as corrosion, secondary removal surgeries, and adverse reactions in patients with metal hypersensitivity. This study evaluates biocomposite plates fabricated from polylactic acid (PLA) and [...] Read more.
Proximal humerus fractures are frequent injuries that often require internal fixation. Conventional metallic plates, however, present significant drawbacks such as corrosion, secondary removal surgeries, and adverse reactions in patients with metal hypersensitivity. This study evaluates biocomposite plates fabricated from polylactic acid (PLA) and polyvinyl alcohol (PVA), reinforced with hydroxyapatite (HA) derived from sugar industry by-products (BCF) at 10% and 20% concentrations. These composites are compatible with both injection molding and 3D printing, enabling the design of patient-specific implants. Characterization by SEM, FTIR, XRD, and DSC confirmed that BCF incorporation enhances strength, stiffness, osteoconductivity, and biocompatibility. Mechanical testing showed that PVA/BCF exhibited greater tensile strength and stiffness, suggesting suitability for load-bearing applications, though their water solubility restricts use in humid environments and prevents filament-based 3D printing. PLA/BCF composites demonstrated better processability, favorable mechanical performance, and compatibility with both manufacturing routes. Finite element analysis highlighted the importance of plate–humerus contact in stress distribution and fixation stability. Compared with non-biodegradable thermoplastics such as PEI and PEEK, PLA/BCF and PVA/BCF offer the additional advantage of controlled biodegradation, reducing the need for secondary surgeries. Cell viability assays confirmed cytocompatibility, with optimal outcomes at 10% BCF in PVA and 20% in PLA. These results position PLA/BCF and PVA/BCF as sustainable, patient-tailored alternatives to metallic implants, combining adequate mechanical support with bone regeneration potential. Full article
(This article belongs to the Special Issue Biomimetic Materials for Bone Tissue Engineering)
Show Figures

Figure 1

16 pages, 758 KB  
Article
Real-Time Robust Path Following of a Biomimetic Robotic Dolphin in Disturbance-Rich Underwater Environments
by Yukai Feng, Sijie Li, Zhengxing Wu, Junzhi Yu and Min Tan
Biomimetics 2025, 10(10), 687; https://doi.org/10.3390/biomimetics10100687 - 13 Oct 2025
Abstract
In ocean engineering, path following serves as a fundamental capability for autonomous underwater vehicles (AUVs), enabling essential operations such as environmental exploration and inspection. However, for robotic dolphins employing dorsoventral undulatory propulsion, the periodic pitching induces strong coupling between propulsion and attitude, posing [...] Read more.
In ocean engineering, path following serves as a fundamental capability for autonomous underwater vehicles (AUVs), enabling essential operations such as environmental exploration and inspection. However, for robotic dolphins employing dorsoventral undulatory propulsion, the periodic pitching induces strong coupling between propulsion and attitude, posing significant challenges for precise path following in disturbed environments. In this paper, a real-time robust path-following control framework is proposed for robotic dolphins to address these challenges. First, a novel robotic dolphin platform is presented by integrating a dorsoventral propulsion mechanism with a passive peduncle joint, followed by the systematic formulation of a full-state dynamic model. Then, a minimum-snap-based path optimizer is constructed to generate smooth and dynamically feasible trajectories, improving path quality and motion safety. Subsequently, a robust model predictive controller is developed, which incorporates control surface dynamics, a nonlinear disturbance observer, and a Sigmoid-based disturbance-grading mechanism to ensure fast attitude response and precise tracking performance. Finally, extensive simulations under various environmental disturbances validate the effectiveness of the proposed approach in both trajectory optimization and robust path following. The proposed framework not only demonstrates strong robustness in path following and disturbance rejection, but also provides practical guidance for future underwater missions such as long-term environmental monitoring, inspection, and rescue. Full article
(This article belongs to the Special Issue Bionic Robotic Fish: 2nd Edition)
Show Figures

Figure 1

19 pages, 20836 KB  
Article
Design and Flight Experiment of a Motor-Directly-Driven Flapping-Wing Micro Air Vehicle with Extension Springs
by Seungik Choi, Changyong Oh, Taesam Kang and Jungkeun Park
Biomimetics 2025, 10(10), 686; https://doi.org/10.3390/biomimetics10100686 - 12 Oct 2025
Viewed by 98
Abstract
This study presents the design, control, and flight experiments of a motor-directly-driven flapping-wing micro air vehicle with extension springs (MDD-FWMAVES). The flapping wing actuation utilizes the resonance of a linear extension spring and a flapping wing. The analysis results of the proposed MDD-FWMAVES [...] Read more.
This study presents the design, control, and flight experiments of a motor-directly-driven flapping-wing micro air vehicle with extension springs (MDD-FWMAVES). The flapping wing actuation utilizes the resonance of a linear extension spring and a flapping wing. The analysis results of the proposed MDD-FWMAVES revealed a resonant frequency of 19.59 Hz for the flapping-wing mechanism, and actual flapping experiments confirmed this to be 20 Hz. Using a six-axis load cell, we demonstrated the ability to generate roll, pitch, and yaw moments for attitude control based on wing flapping variations. All roll, pitch, and yaw moments were linearly proportional to the wing flapping variations. MEMS gyroscopes and accelerometers were used to measure roll, pitch, and yaw angular velocities and the gravity. A complementary filter was applied to these measurements to obtain the roll and pitch angles required for attitude control. A microprocessor, two motor drive circuits, one MEMS gyroscope/accelerometer, and one EEPROM for flight data storage were implemented on a single, ultra-compact electronic control board and mounted on the MDD-FWMAVES. Simple roll and pitch PD controllers were implemented on this electronic control board, and the controlled flight feasibility of the MDD-FWMAVES was explored. Flight tests demonstrated stable hovering for approximately 6 s. While yaw control was not achieved, the onboard feedback control system demonstrated stable roll and pitch control. Therefore, the MDD-FWMAVES holds the potential to be developed into a high-performance flapping-wing micro air vehicle if its flight system and controller are improved. Full article
(This article belongs to the Special Issue Bio-Inspired Flight Systems and Bionic Aerodynamics 2.0)
Show Figures

Graphical abstract

39 pages, 1466 KB  
Article
Empirical Evaluation of an Elitist Replacement Strategy for Differential Evolution with Micro-Populations
by Irving Luna-Ortiz, Alejandro Rodríguez-Molina, Miguel Gabriel Villarreal-Cervantes, Mario Aldape-Pérez, Alam Gabriel Rojas-López and Jesús Aldo Paredes-Ballesteros
Biomimetics 2025, 10(10), 685; https://doi.org/10.3390/biomimetics10100685 - 12 Oct 2025
Viewed by 96
Abstract
This paper introduces a variant of differential evolution with micro-populations, called μ-DE-ERM, which incorporates a periodic elitist replacement mechanism with the aim of preserving diversity without the need to measure it explicitly. The proposed algorithm is designed for scenarios with reduced evaluation [...] Read more.
This paper introduces a variant of differential evolution with micro-populations, called μ-DE-ERM, which incorporates a periodic elitist replacement mechanism with the aim of preserving diversity without the need to measure it explicitly. The proposed algorithm is designed for scenarios with reduced evaluation budgets, where efficiency and convergence stability are critical. Its performance is evaluated on CEC 2005 and CEC 2017 benchmark suites, covering unimodal, multimodal, hybrid, and composition functions, as well as on two real-world engineering problems: the identification of dynamic parameters and the tuning of a PID controller for a one-degree-of-freedom robotic manipulator. The comparative analysis shows that μ-DE-ERM achieves competitive or superior results against its predecessors DE and μ-DE, and remains effective when contrasted with advanced algorithms such as L-SHADE and RuGA. Furthermore, additional comparisons with algorithms with competitive replacement mechanisms, μ-DE-Cauchy and μ-DE-Shrink, confirm the robustness of the proposal in real applications, particularly under strict computational constraints. These findings support μ-DE-ERM as a practical and efficient alternative for optimization problems in resource-limited environments, delivering reliable solutions at low computational cost. Full article
(This article belongs to the Special Issue Exploration of Bio-Inspired Computing: 2nd Edition)
Show Figures

Figure 1

41 pages, 40370 KB  
Article
An Enhanced Prediction Model for Energy Consumption in Residential Houses: A Case Study in China
by Haining Tian, Haji Endut Esmawee, Ramele Ramli Rohaslinda, Wenqiang Li and Congxiang Tian
Biomimetics 2025, 10(10), 684; https://doi.org/10.3390/biomimetics10100684 - 11 Oct 2025
Viewed by 128
Abstract
High energy consumption in Chinese rural residential buildings, caused by rudimentary construction methods and the poor thermal performance of building envelopes, poses a significant challenge to national sustainability and “dual carbon” goals. To address this, this study proposes a comprehensive modeling and analysis [...] Read more.
High energy consumption in Chinese rural residential buildings, caused by rudimentary construction methods and the poor thermal performance of building envelopes, poses a significant challenge to national sustainability and “dual carbon” goals. To address this, this study proposes a comprehensive modeling and analysis framework integrating an improved Bio-inspired Black-winged Kite Optimization Algorithm (IBKA) with Support Vector Regression (SVR). Firstly, to address the limitations of the original B-inspired BKA, such as premature convergence and low efficiency, the proposed IBKA incorporates diversification strategies, global information exchange, stochastic behavior selection, and an NGO-based random operator to enhance exploration and convergence. The improved algorithm is benchmarked against BKA and six other optimization methods. An orthogonal experimental design was employed to generate a dataset by systematically sampling combinations of influencing factors. Subsequently, the IBKA-SVR model was developed for energy consumption prediction and analysis. The model’s predictive accuracy and stability were validated by benchmarking it against six competing models, including GA-SVR, PSO-SVR, and the baseline SVR and so forth. Finally, to elucidate the model’s internal decision-making mechanism, the SHAP (SHapley Additive exPlanations) interpretability framework was employed to quantify the independent and interactive effects of each influencing factor on energy consumption. The results indicate that: (1) The IBKA demonstrates superior convergence accuracy and global search performance compared with BKA and other algorithms. (2) The proposed IBKA-SVR model exhibits exceptional predictive accuracy. Relative to the baseline SVR, the model reduces key error metrics by 37–40% and improves the R2 to 0.9792. Furthermore, in a comparative analysis against models tuned by other metaheuristic algorithms such as GA and PSO, the IBKA-SVR consistently maintained optimal performance. (3) The SHAP analysis reveals a clear hierarchy in the impact of the design features. The Insulation Thickness in Outer Wall and Insulation Thickness in Roof Covering are the dominant factors, followed by the Window-wall Ratios of various orientations and the Sun space Depth. Key features predominantly exhibit a negative impact, and a significant non-linear relationship exists between the dominant factors (e.g., insulation layers) and the predicted values. (4) Interaction analysis reveals a distinct hierarchy of interaction strengths among the building design variables. Strong synergistic effects are observed among the Sun space Depth, Insulation Thickness in Roof Covering, and the Window-wall Ratios in the East, West, and North. In contrast, the interaction effects between the Window-wall Ratio in the South and other variables are generally weak, indicating that its influence is approximately independent and linear. Therefore, the proposed bio-inspired framework, integrating the improved IBKA with SVR, effectively predicts and analyzes residential building energy consumption, thereby providing a robust decision-support tool for the data-driven optimization of building design and retrofitting strategies to advance energy efficiency and sustainability in rural housing. Full article
(This article belongs to the Section Biological Optimisation and Management)
Show Figures

Figure 1

17 pages, 1920 KB  
Article
Addressing Parameter Variability in Corneal Biomechanical Models: A Stepwise Approach for Parameters’ Optimization
by José González-Cabrero, Carmelo Gómez, Manuel Paredes and Francisco Cavas
Biomimetics 2025, 10(10), 683; https://doi.org/10.3390/biomimetics10100683 - 10 Oct 2025
Viewed by 232
Abstract
Biomechanical modeling of the cornea is crucial for understanding the progression of some ocular diseases and optimizing surgical treatments. However, hyperelastic non-linear material models, such as those used for corneal tissue, often yield highly variable parameter sets in the scientific literature, influenced by [...] Read more.
Biomechanical modeling of the cornea is crucial for understanding the progression of some ocular diseases and optimizing surgical treatments. However, hyperelastic non-linear material models, such as those used for corneal tissue, often yield highly variable parameter sets in the scientific literature, influenced by factors like the chosen optimization intervals and differences between tensile and inflation test curve optimization, both of which are addressed in this study. This variability complicates the understanding of corneal mechanical properties. In this research, the aim is to optimize and calibrate the key parameters of the corneal material model, particularly focusing on c1, c2, k1 and k2, using the Holzapfel–Gasser–Ogden (HGO) hyperelastic model, and a novel methodology is proposed that separately estimates the isotropic and anisotropic components in a stepwise manner, addressing the issue of multiple parameter sets fitting experimental curves similarly. This approach helps to standardize corneal material models and improve the reliability of parameter estimations. Moreover, accurate biomechanical characterization within this framework contributes not only to clinical applications but also to biomimetics, inspiring the design of artificial corneal substitutes and bioengineered materials. Full article
(This article belongs to the Special Issue Advances in Computational Methods for Biomechanics and Biomimetics)
Show Figures

Graphical abstract

21 pages, 2068 KB  
Article
Bio-Derived Metamaterials: A Hierarchical Biomimetics-Based Evaluation System for Cross-Scale Performance in Chaozhou Woodcarving
by Fan Wu, Liefeng Li and Congrong Xiao
Biomimetics 2025, 10(10), 682; https://doi.org/10.3390/biomimetics10100682 - 10 Oct 2025
Viewed by 108
Abstract
For centuries, artisans have resolved intricate engineering conundrums with intuitive ingenuity, bequeathing a legacy of design wisdom that remains largely untapped in contemporary biomimetics. This “anthro-creative” form of biomimicry, deeply embedded within traditional crafts such as Chaozhou woodcarving, is predominantly tacit and qualitative, [...] Read more.
For centuries, artisans have resolved intricate engineering conundrums with intuitive ingenuity, bequeathing a legacy of design wisdom that remains largely untapped in contemporary biomimetics. This “anthro-creative” form of biomimicry, deeply embedded within traditional crafts such as Chaozhou woodcarving, is predominantly tacit and qualitative, which has traditionally eluded systematic interpretation. To address this, we propose the Hierarchical Biomimetics-Based Evaluation System (HBBES), a transdisciplinary framework that couples expert-defined hierarchies through the Analytic Hierarchy Process (AHP) with perceptual assessments from one hundred public evaluators via Fuzzy Comprehensive Evaluation (FCE). Applied to canonical works—including the Lobster and Crab Basket (overall score: 4.36/5.00)—the HBBES revealed a striking finding: both expert and public valuations are anchored not in structural hierarchy, but in aesthetic resonance, particularly the craft’s lifelike morphological analogy and nuanced modulation of light. Beyond offering a replicable pathway for translating artisanal intuition into operative design principles, this study proposes a culture-driven paradigm for biomimetics, bridging intangible heritage with technological innovation. Full article
(This article belongs to the Section Biomimetics of Materials and Structures)
Show Figures

Figure 1

26 pages, 9453 KB  
Article
Study on the Properties and Design Applications of Polyester–Cotton Matrix Mycelium Composite Materials
by Wanlin Zheng, Yajie Gao, Xiaona Zong and Jun Wang
Biomimetics 2025, 10(10), 681; https://doi.org/10.3390/biomimetics10100681 - 10 Oct 2025
Viewed by 241
Abstract
The increased consumption of apparel has resulted in a corresponding increase in the volume of waste textiles, with polyester–cotton blended textiles accounting for as much as 80% of the total. However, extant recycling methodologies are beset by challenges, including high cost and difficulty [...] Read more.
The increased consumption of apparel has resulted in a corresponding increase in the volume of waste textiles, with polyester–cotton blended textiles accounting for as much as 80% of the total. However, extant recycling methodologies are beset by challenges, including high cost and difficulty in separation. Mycelium has been shown to possess the ability to degrade complex components in culture substrates. The present study explores the feasibility of using polyester–cotton yarn as a substrate for mycelium composite materials, thus offering an innovative approach to the treatment of waste blended textiles. Five mycelium composite materials with varying polyester–cotton ratios were prepared and tested for mechanical strength, moisture resistance, and biodegradability. ANOVA analysis confirmed that all properties of the mycelium composites were significantly influenced by the polyester–cotton matrix ratio, with partial eta-squared (ηp2) exceeding 84% across all properties. The most significant effect was observed in compressive strength (ηp2 > 99%). Experiments identified a 65:35 polyester–cotton ratio as yielding optimal comprehensive properties: namely, a compressive strength of 0.221 MPa and flexural strength of 0.791 MPa, coupled with excellent moisture resistance and biodegradability. This provides data support for the development of textile-based mycelium composite products. In light of the aforementioned performance studies and material characteristics, the development of three series of experiential home products was undertaken. Design evaluations were conducted to explore the potential application of mycelium composites, which could have significant implications for promoting sustainable development in the textile and apparel industry and advancing innovative designs for mycelium composite materials. Full article
(This article belongs to the Section Biomimetics of Materials and Structures)
Show Figures

Graphical abstract

18 pages, 4555 KB  
Article
Compressive Behavior of 316L Stainless Steel Lattice Structures for Additive Manufacturing: Experimental Characterization and Numerical Modeling
by Ignacio Ríos, Laurent Duchêne, Anne Marie Habraken, Angelo Oñate, Rodrigo Valle, Anne Mertens, César Garrido, Gonzalo Pincheira and Víctor Tuninetti
Biomimetics 2025, 10(10), 680; https://doi.org/10.3390/biomimetics10100680 - 10 Oct 2025
Viewed by 229
Abstract
Lattice structures produced by additive manufacturing are increasingly used in lightweight, load-bearing applications, yet their mechanical performance is strongly influenced by geometry, process parameters, and boundary conditions. This study investigates the compressive behavior of body-centered cubic (BCC) 316L stainless steel lattices fabricated by [...] Read more.
Lattice structures produced by additive manufacturing are increasingly used in lightweight, load-bearing applications, yet their mechanical performance is strongly influenced by geometry, process parameters, and boundary conditions. This study investigates the compressive behavior of body-centered cubic (BCC) 316L stainless steel lattices fabricated by laser powder bed fusion (LPBF). Four relative densities (20%, 40%, 60%, and 80%) were achieved by varying the strut diameter, and specimens were built in both vertical and horizontal orientations. Quasi-static compression tests characterized the elastic modulus, yield strength, energy absorption, and mean force, while finite element simulations reproduced the deformation and hardening behavior. The experimental results showed a direct correlation between density and mechanical properties, with vertically built specimens performing slightly better due to reduced processing defects. Simulations quantified the effect of strut–joint rounding and the need for multi-cell configurations to closely match the experimental curves. Regardless of the boundary conditions, for a density of 20%, simulating a single cell underestimated stiffness because of unconstrained strut buckling. For higher densities and thicker struts, this sensitivity to boundary conditions strongly decreased, indicating the possibility of using a single cell for shorter simulations—a point rarely discussed in the literature. Both experiments and simulations confirmed Gibson–Ashby scaling for elastic modulus and yield strength, while the tangent modulus was highly sensitive to boundary conditions. The combined experimental and numerical results provide a framework for the reliable modeling and design of metallic lattices for energy absorption, biomedical, and lightweight structural applications. Full article
Show Figures

Figure 1

34 pages, 6166 KB  
Article
A Dual-Mechanism Enhanced Secretary Bird Optimization Algorithm and Its Application in Engineering Optimization
by Changzu Chen, Li Cao, Binhe Chen, Yaodan Chen and Xinxue Wu
Biomimetics 2025, 10(10), 679; https://doi.org/10.3390/biomimetics10100679 - 9 Oct 2025
Viewed by 242
Abstract
The secretary bird optimization algorithm is a recently developed swarm intelligence method with potential for solving nonlinear and complex optimization problems. However, its performance is constrained by limited global exploration and insufficient local exploitation. To address these issues, an enhanced variant, ORSBOA, is [...] Read more.
The secretary bird optimization algorithm is a recently developed swarm intelligence method with potential for solving nonlinear and complex optimization problems. However, its performance is constrained by limited global exploration and insufficient local exploitation. To address these issues, an enhanced variant, ORSBOA, is proposed by integrating an optimal neighborhood perturbation mechanism with a reverse learning strategy. The algorithm is evaluated on the CEC2019 and CEC2022 benchmark suites as well as four classical engineering design problems. Experimental results demonstrate that ORSBOA achieves faster convergence, stronger robustness, and higher solution quality than nine state-of-the-art algorithms. Statistical analyses further confirm the significance of these improvements, validating the effectiveness and applicability of ORSBOA in solving complex optimization tasks. Full article
(This article belongs to the Special Issue Advances in Biological and Bio-Inspired Algorithms)
Show Figures

Graphical abstract

33 pages, 9966 KB  
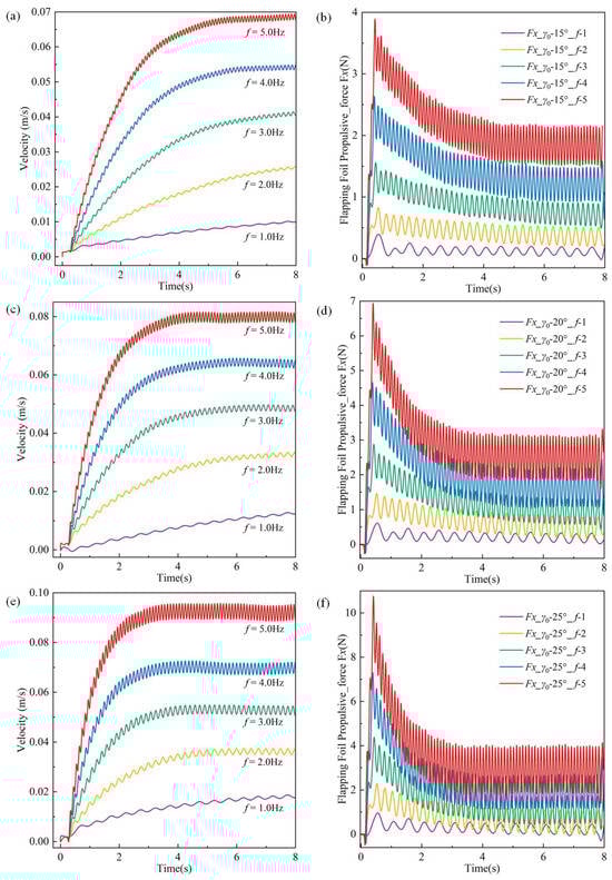
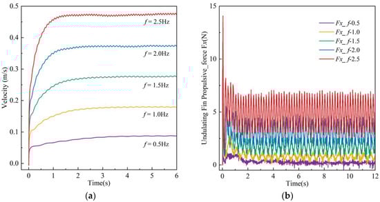
Article
Modeling and Experimental Validation of a Bionic Underwater Robot with Undulating and Flapping Composite Propulsion
by Haisen Zeng, Minghai Xia, Qian Yin, Ganzhou Yao, Zhongyue Lu and Zirong Luo
Biomimetics 2025, 10(10), 678; https://doi.org/10.3390/biomimetics10100678 - 9 Oct 2025
Viewed by 136
Abstract
As the demand for marine resource development escalates, underwater robots have gained prominence as a technological alternative to human participation in deep-sea exploration, resource assessments, and other intricate tasks, underscoring their academic and engineering importance. Traditional underwater robots, however, typically exhibit limited resilience [...] Read more.
As the demand for marine resource development escalates, underwater robots have gained prominence as a technological alternative to human participation in deep-sea exploration, resource assessments, and other intricate tasks, underscoring their academic and engineering importance. Traditional underwater robots, however, typically exhibit limited resilience to environmental disturbances and are readily obstructed or interfered with by aquatic vegetation, sediments, and other physical impediments. This paper examines the biological locomotion mechanisms of black ghostfish, which utilize undulatory fins and flapping wings, and presents a coupled undulatory-flapping propulsion strategy to facilitate rapid movement and precise posture adjustment in underwater robots. A multimodal undulatory-flapping bio-inspired underwater robotic platform is proposed, with a systematic explanation of its structure and motion principles. Additionally, kinematic and dynamic models for coordinated propulsion with multiple actuators are developed, and the robot’s performance under various driving modes is evaluated using computational fluid dynamics simulations. The simulation outcomes confirm the viability of the developed dynamic model. A prototype was constructed, and a PID-based control algorithm was developed to assess the robot’s performance in linear movement, turning, and other behaviors in both undulatory fin and flapping modes. Experimental findings indicate that the robot, functioning in undulatory fin propulsion mode at a frequency of 2.5 Hz, attains a velocity of 0.35 m/s, while maintaining attitude angle fluctuation errors within ±5°. In the flapping propulsion mode, precise posture modifications can be executed. These results validate the feasibility of the proposed multimodal bio-inspired underwater robot design and provide a new approach for the development of high-performance, autonomous bio-inspired underwater robots. Full article
(This article belongs to the Section Locomotion and Bioinspired Robotics)
Show Figures

Figure 1

18 pages, 4854 KB  
Article
Numerical and Experimental Assessment of Poly-Pyrrole Used in Spinal Cord Injuries
by Carlos Alberto Espinoza-Garcés, Axayácatl Morales-Guadarrama, Elliot Alonso Alcántara-Arreola, Jose Luis Torres-Ariza, Mario Alberto Grave-Capistrán and Christopher René Torres-SanMiguel
Biomimetics 2025, 10(10), 677; https://doi.org/10.3390/biomimetics10100677 - 9 Oct 2025
Viewed by 136
Abstract
Some common conductive polymers are polyfuran, polyacetylene, polythiophene, and poly-pyrrole. Since their discovery, many researchers have been exploring and evaluating their conductive and electronic properties. Various applications have been developed for conductive materials. Their biocompatibility offers a new alternative for studying and solving [...] Read more.
Some common conductive polymers are polyfuran, polyacetylene, polythiophene, and poly-pyrrole. Since their discovery, many researchers have been exploring and evaluating their conductive and electronic properties. Various applications have been developed for conductive materials. Their biocompatibility offers a new alternative for studying and solving complex problems, such as cellular activity, or, more recently, for use as neural implants and as an alternative to spinal cord regenerative tissue. This is particularly true for the use of poly pyrrole. The main obstacle lies in estimating some of the mechanical properties, such as Young’s or shear modulus values for poly pyrrole, since these vary depending on the type of synthesis used. This article outlines a composite methodology for characterizing the elastic modulus according to ASTM D882 and the shear modulus according to E143 standards. It is specifically designed and applied for 3D composite samples involving PLA and PPy, where the PPy was processed by plasma oxidation. As a result, an increase of 360.11 MPa in the modulus of elasticity is observed on samples coated with poly pyrrole. The results are evaluated through a numerical test using COMSOL Multiphysics software 6.2 version, finding a similar behavior in the elastic zone, as indicated by the stress–strain diagram. The statistical analysis yields consistent data for tensile and shear results, with low to moderate variability. Full article
(This article belongs to the Special Issue Advances in Biomaterials, Biocomposites and Biopolymers 2025)
Show Figures

Figure 1

15 pages, 1516 KB  
Article
Bio-Inspired Multi-Granularity Model for Rice Pests and Diseases Named Entity Recognition in Chinese
by Zhan Tang, Xiaoyu Lu, Enli Liu, Yan Zhong and Xiaoli Peng
Biomimetics 2025, 10(10), 676; https://doi.org/10.3390/biomimetics10100676 - 8 Oct 2025
Viewed by 281
Abstract
Rice, as one of the world’s four major staple crops, is frequently threatened by pests and diseases during its growth. With the rapid expansion of agricultural information data, the effective management and utilization of such data have become crucial for the development of [...] Read more.
Rice, as one of the world’s four major staple crops, is frequently threatened by pests and diseases during its growth. With the rapid expansion of agricultural information data, the effective management and utilization of such data have become crucial for the development of agricultural informatization. Named entity recognition technology offers precise support for the early prevention and control of crop pests and diseases. However, entity recognition for rice pests and diseases faces challenges such as structural complexity and prevalent nesting issues. Inspired by biological visual mechanisms, we propose a deep learning model capable of extracting multi-granularity features. Text representations are encoded using BERT, and the model enhances its ability to capture nested boundary information through multi-granularity convolutional neural networks (CNNs). Finally, sequence modeling and labeling are performed using a bidirectional long short-term memory network (BiLSTM) combined with a conditional random field (CRF). Experimental results demonstrate that the proposed model effectively identifies entities related to rice diseases and pests, achieving an F1 score of 91.74% on a self-constructed dataset. Full article
Show Figures

Figure 1

19 pages, 5900 KB  
Article
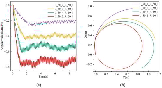
Design of Human-Inspired Feet to Enhance the Performance of the Humanoid Robot Mithra
by Spencer Brewster, Paul J. Rullkoetter and Siavash Rezazadeh
Biomimetics 2025, 10(10), 675; https://doi.org/10.3390/biomimetics10100675 - 7 Oct 2025
Viewed by 430
Abstract
This paper presents the foot design for humanoid robot Mithra, with the goal of biomimetically improving impact behavior, natural power cycling throughout the gait cycle, and balance. For this purpose, an optimization framework was built which evaluates the human-inspired objectives using a dynamic [...] Read more.
This paper presents the foot design for humanoid robot Mithra, with the goal of biomimetically improving impact behavior, natural power cycling throughout the gait cycle, and balance. For this purpose, an optimization framework was built which evaluates the human-inspired objectives using a dynamic finite element analysis validated by benchtop experiments. Using this framework and through several concept design iterations, a low-cost, compliant foot was optimized, designed, and fabricated. The analyses showed that the optimized foot significantly outperformed the baseline rigid foot in approaching the characteristics of human feet. The proposed framework is not limited to humanoids and can also be applied to the foot design for lower-limb prostheses and exoskeletons. Full article
(This article belongs to the Special Issue Bioinspired Engineered Systems)
Show Figures

Figure 1

10 pages, 1225 KB  
Article
Stress Distribution in Immature Incisors with Regenerative Endodontic Treatment: Which Coronal Restoration Performs Best? An FEA Study
by Öznur Eraslan, Mukadder İnci Başer Kolcu, Oğuz Eraslan and Sema Belli
Biomimetics 2025, 10(10), 674; https://doi.org/10.3390/biomimetics10100674 - 7 Oct 2025
Viewed by 363
Abstract
Purpose: This study aimed to evaluate the effect of different coronal restoration methods on stresses in immature central incisors with regenerative endodontic treatment and excessive loss of coronal structure. Methods: A three-dimensional (3D) Finite Element Analysis (FEA) model of a maxillary central incisor [...] Read more.
Purpose: This study aimed to evaluate the effect of different coronal restoration methods on stresses in immature central incisors with regenerative endodontic treatment and excessive loss of coronal structure. Methods: A three-dimensional (3D) Finite Element Analysis (FEA) model of a maxillary central incisor treated with a 3 mm MTA coronal plug after regenerative endodontic treatment was created. Six different models were simulated: (1) intact immature tooth (control), (2) direct composite resin build-up, (3) fibre-reinforced composite build-up, (4) hybrid ceramic endocrown, (5) LiSi ceramic endocrown, and (6) endocore and ceramic crown restoration. Analyses were performed with SolidWorks/CosmosWorks, and a 150 N load was applied at a 135° angle. Results: Maximum tensile stresses were concentrated in the cervical region (4.577 MPa). Direct composite and fibre-reinforced restorations showed high stress in root dentin (3.891 and 3.841 MPa, respectively). The endocore/ceramic crown restoration (1.578 MPa) provided the closest stress distribution to the natural tooth (1.322 MPa). Conclusions: The biomechanical performance of the restoration–tooth complex depends on both the restorative material and the restoration design. In immature teeth undergoing regenerative endodontic treatment, the most biomechanically favourable restoration option was an endocore/ceramic crown. Full article
Show Figures

Figure 1

26 pages, 1947 KB  
Article
Active Suspension Control for Improved Ride Comfort and Vehicle Performance Using HHO-Based Type-I and Type-II Fuzzy Logic
by Tayfun Abut, Enver Salkim and Harun Tugal
Biomimetics 2025, 10(10), 673; https://doi.org/10.3390/biomimetics10100673 - 7 Oct 2025
Viewed by 284
Abstract
This study focuses on improving the control system of vehicle suspension, which is critical for optimizing driving dynamics and enhancing passenger comfort. Traditional passive suspension systems are limited in their ability to effectively mitigate road-induced vibrations, often resulting in compromised ride quality and [...] Read more.
This study focuses on improving the control system of vehicle suspension, which is critical for optimizing driving dynamics and enhancing passenger comfort. Traditional passive suspension systems are limited in their ability to effectively mitigate road-induced vibrations, often resulting in compromised ride quality and vehicle handling. To overcome these limitations, this work explores the application of active suspension control strategies aimed at improving both comfort and performance. Type-I and Type-II Fuzzy Logic Control (FLC) methods were designed and implemented to enhance vehicle stability and ride quality. The Harris Hawks Optimization (HHO) algorithm was employed to optimize the membership function parameters of both fuzzy control types. The system was tested under two distinct road disturbance inputs to evaluate performance. The designed control methods were evaluated in simulations where results demonstrated that the proposed active control approaches significantly outperformed the passive suspension system in terms of vibration reduction. Specifically, the Type-II FLC achieved a 54.7% reduction in vehicle body displacement and a 76.8% reduction in acceleration for the first road input, while improvements of 75.2% and 72.8% were recorded, respectively, for the second input. Performance was assessed using percentage-based metrics and Root Mean Square Error (RMSE) criteria. Numerical and graphical analyses of suspension deflection and tire deformation further confirm that the proposed control strategies substantially enhance both ride comfort and vehicle handling. Full article
Show Figures

Figure 1

15 pages, 9299 KB  
Article
Comparative Chemical and Physical Characterization of Biomimetic Versus Commercial Hydroxyapatites for Tooth Enamel Repair
by Marco Lelli, Ismaela Foltran, Rossella Pucci and Fabrizio Tarterini
Biomimetics 2025, 10(10), 672; https://doi.org/10.3390/biomimetics10100672 - 6 Oct 2025
Viewed by 256
Abstract
Background: Substituted hydroxyapatites (HAps) are widely used in oral-care formulations for enamel repair; however, head-to-head comparisons among commercial grades remain limited. Objective: To compare four commercial HAps: A (Kal-HAp), B (FL-HAp), C (FL-HAp-SC), and D (microRepair®, a biomimetic Zn–carbonate-substituted [...] Read more.
Background: Substituted hydroxyapatites (HAps) are widely used in oral-care formulations for enamel repair; however, head-to-head comparisons among commercial grades remain limited. Objective: To compare four commercial HAps: A (Kal-HAp), B (FL-HAp), C (FL-HAp-SC), and D (microRepair®, a biomimetic Zn–carbonate-substituted HAp) and to evaluate their ability to form an enamel-like coating in vitro. Methods: We characterized the powders by X-ray diffraction (crystalline phase, Landi crystallinity index), FTIR-ATR (phosphate/carbonate bands), SEM/EDS (morphology, surface Ca/P), and DLS (particles size, ζ-potential). In vitro, human enamel sections were treated with 5% slurries in artificial saliva; surface coverage was quantified by image analysis on SEM. Results: All commercial materials analyzed in this work were composed of HAp. Differences were observed between HApin terms of crystallinity-range [2 Theta 8.0–60.0°], carbonate substitution (ATR [carbonate group evaluated −870 cm−1]), and particle size (DLS [in a range 0.1–10,000 nm], Z-mean [mV]). On enamel, all samples form a hydroxyapatite layer; coverage differed between groups ([A] 28.83 ± 7.35% vs. [B] 31.11 ± 3.12% vs. [C] 57.20 ± 33.12% vs. [D] 99.90 ± 0.12%), with the biomimetic Zn–carbonate-substituted HAp showing the highest coverage, and the post-treatment Ca/P ratio approached values similar to those of dental enamel. Conclusions: Complementary physic-chemical signatures (crystallinity, carbonate substitution, and morphology) relate to enamel-surface coverage in vitro, providing evidence base for selecting HAp grades for enamel-repair formulations, which is a practical implication for product design. Full article
(This article belongs to the Special Issue Advances in Biomaterials, Biocomposites and Biopolymers 2025)
Show Figures

Graphical abstract

Previous Issue
Back to TopTop