Chemical Crosslinking of Acid Soluble Collagen Fibres
Abstract
1. Introduction
2. Crosslinking
2.1. Chemical Crosslinking
| Friess et al. [5] | Paul et al. [6] | Zeugolis et al. [13] | Ryglova et al. [52] | Adamiak et al. [32] | |
|---|---|---|---|---|---|
| Tanning agents | x | x | |||
| Aldehydes | x | x | x | x | x |
| Isocyanates (and Imidates) | x | x | x | x | |
| Carbodiimides | x | x | x | x | x |
| Acyl Azide | x | x | |||
| Epoxides | x | x | x | x | |
| Carbohydrates | x | x | |||
| Quinones | x | x | |||
| NDGA (di-catechol) | x | ||||
| Carboxylic Acid Derivatives | x | ||||
| Polyphenols (Iridoid glycosides) | x | x | x | ||
| Chitosan | x |
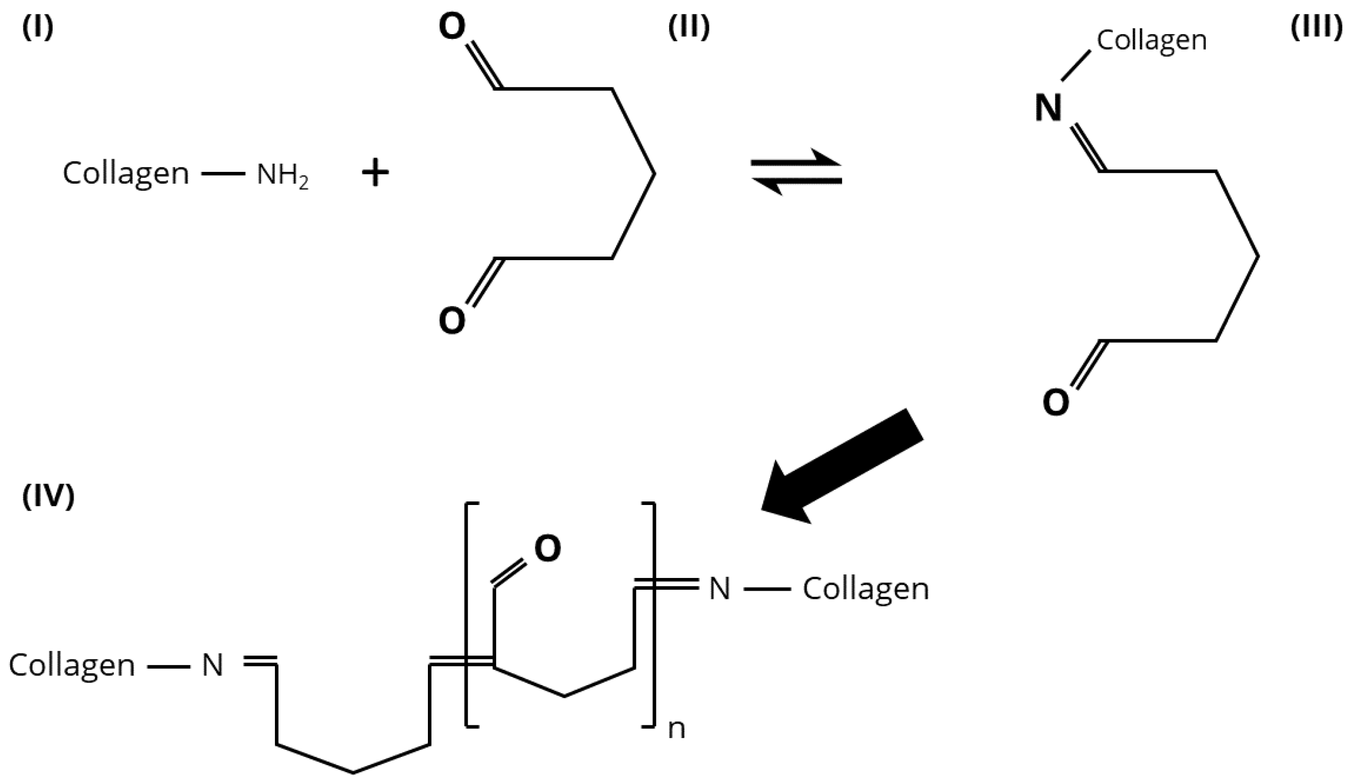
2.1.1. Glutaraldehyde
2.1.2. Hexamethylene Diisocyanate (HMDI)
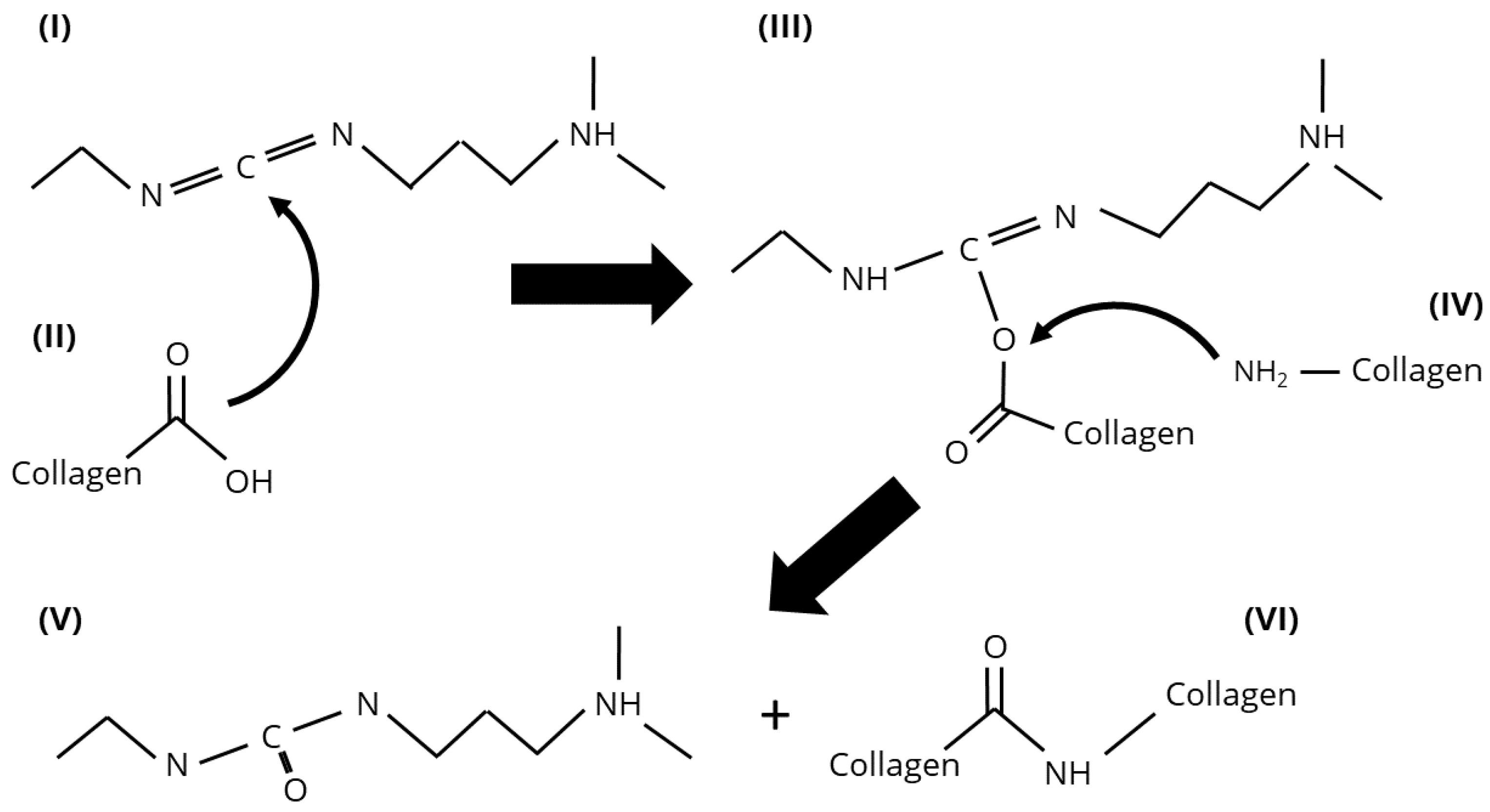
2.1.3. 1-Ethyl-3-(3ʹ-Dimethyl Amino Propyl) Carbodiimide (EDC)
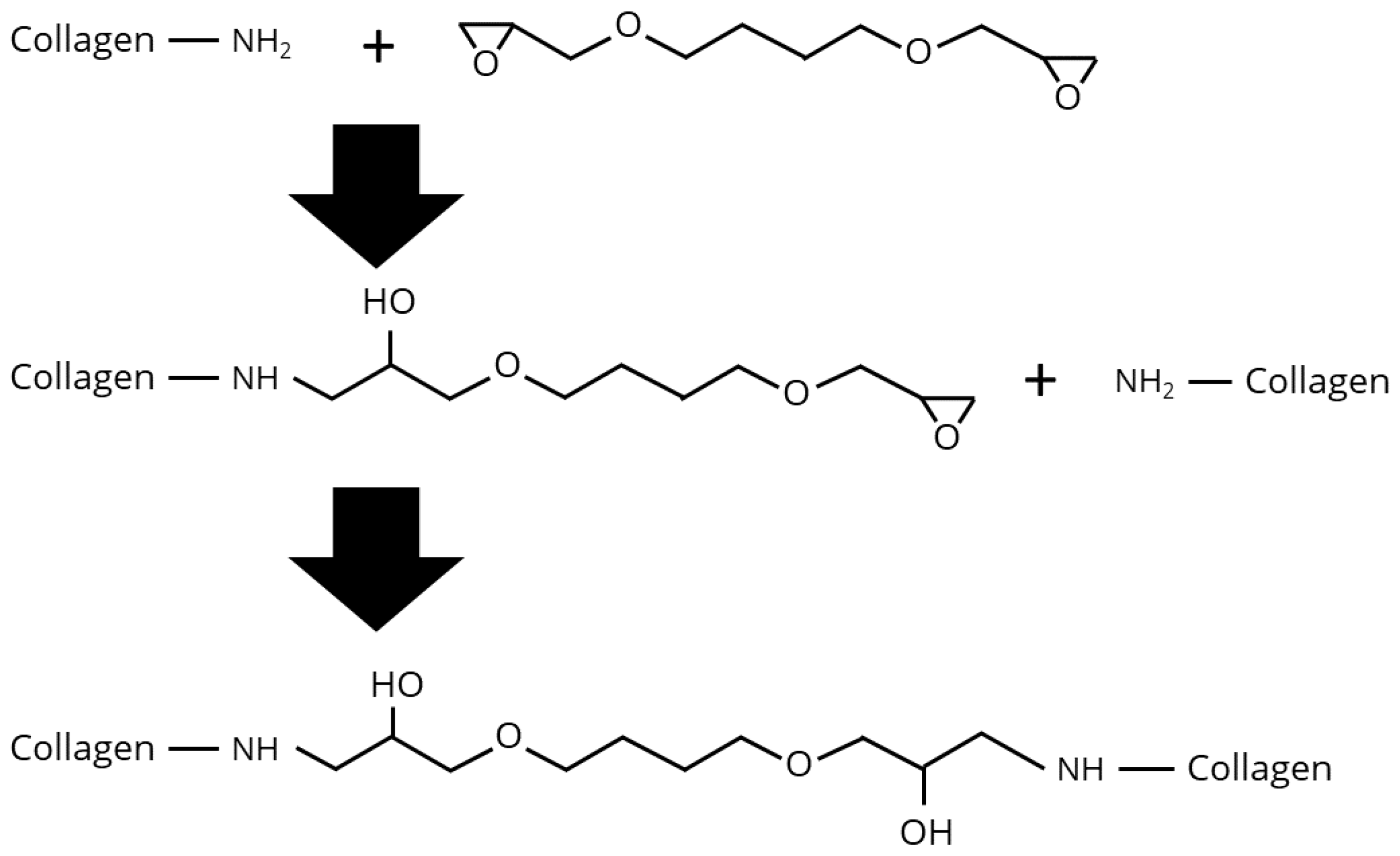
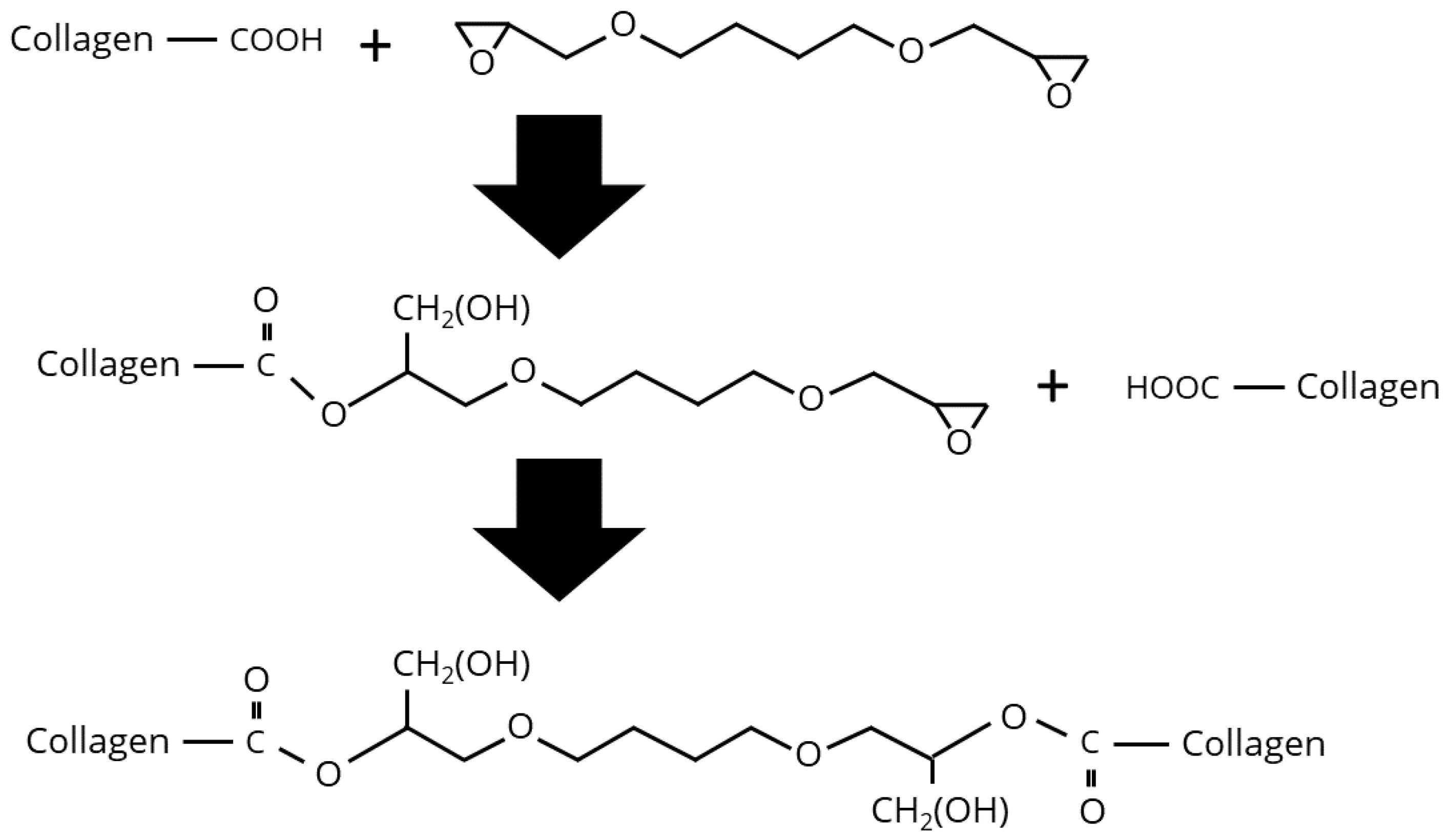
2.1.4. 1,4-Butanediol Diglycidyl Ether (BDDE)
2.1.5. Divinyl Sulfone (DVS)
2.1.6. Natural Crosslinkers Derived from Plant Extracts
3. Conclusions and Future Perspectives
- Optimising crosslinking conditions (e.g., pH, solvent systems, catalyst use) to balance crosslinking efficiency with cytocompatibility.
- Elucidating long-term in vivo responses to various crosslinkers, particularly regarding immune modulation, biodegradability, and calcification potential.
- Exploring hybrid crosslinking strategies, such as combinations of synthetic and natural agents, to synergistically harness their respective advantages.
- Developing scalable and fibre-compatible crosslinking methods, particularly for continuous manufacturing processes such as electrospinning or wet spinning.
Author Contributions
Funding
Data Availability Statement
Conflicts of Interest
Abbreviations
| ASC | Acid-solubilised collagen |
| BDDE | 1,4-butanediol diglycidyl ether |
| DHT | Dehydrothermal treatment |
| DVS | Divinyl sulfone |
| ECM | Extracellular matrix |
| EDC | 1-ethyl-3-(3ʹ-dimethyl amino propyl) carbodiimide |
| EGDE | Ethylene glycol diglycidyl ether |
| ELACs | Electrochemical aligned collagen threads |
| EN | EDC/NHS |
| GA | Glutaraldehyde |
| Gp | Genipin |
| HMDI | Hexamethylene diisocyanat |
| n.a. | not available |
| NHS | N-hydroxy succinimide |
| PSC | Pepsin-solubilised collagen |
| SM | Sodium metabisulphite |
| SB | Sodium borohydride |
| WSB | Wet-spinning buffer |
References
- Gelse, K.; Pöschl, E.; Aigner, T. Collagens—Structure, Function, and Biosynthesis. Adv. Drug Deliv. Rev. 2003, 55, 1531–1546. [Google Scholar] [CrossRef]
- Sorushanova, A.; Delgado, L.M.; Wu, Z.; Shologu, N.; Kshirsagar, A.; Raghunath, R.; Mullen, A.M.; Bayon, Y.; Pandit, A.; Raghunath, M.; et al. The Collagen Suprafamily: From Biosynthesis to Advanced Biomaterial Development. Adv. Mater. 2019, 31, 1801651. [Google Scholar] [CrossRef] [PubMed]
- Ricard-Blum, S. The Collagen Family. Perspect. Biol. 2025, 3, a004978. [Google Scholar] [CrossRef]
- Lynn, A.; Yannas, I.; Bonfield, W. Antigenicity and Immunogenicity of Collagen. J. Biomed. Mater. Res. Part B Appl. Biomater. Off. J. Soc. Biomater. Jpn. Soc. Biomater. Aust. Soc. Biomater. Korean Soc. Biomater. 2004, 71B, 343–354. [Google Scholar] [CrossRef]
- Friess, W. Collagen—Biomaterial for Drug Delivery. Eur. J. Pharm. Biopharm. 1998, 45, 113–136. [Google Scholar] [CrossRef]
- Paul, R.G.; Bailey, A.J. Chemical Stabilisation of Collagen as a Biomimetic. Sci. World J. 2003, 3, 138–155. [Google Scholar] [CrossRef]
- Chattopadhyay, S.; Raines, R.T. Collagen-Based Biomaterials for Wound Healing. Biopolymers 2014, 101, 821–833. [Google Scholar] [CrossRef]
- Bauer, A.J.P.; Liu, J.; Windsor, L.J.; Song, F.; Li, B. Current Development of Collagen-Based Biomaterials for Tissue Repair and Regeneration. Soft Mater. 2014, 12, 359–370. [Google Scholar] [CrossRef]
- Poole, K.; Khairy, K.; Friedrichs, J.; Franz, C.; Cisneros, D.A.; Howard, J.; Mueller, D. Molecular-Scale Topographic Cues Induce the Orientation and Directional Movement of Fibroblasts on Two-dimensional Collagen Surfaces. J. Mol. Biol. 2005, 349, 380–386. [Google Scholar] [CrossRef]
- Tonndorf, R.; Gossla, E.; Aibibu, D.; Lindner, M.; Gelinsky, M.; Cherif, C. Wet Spinning and Riboflavin Crosslinking of Collagen Type I/III Filaments. Biomed. Mater. 2018, 14, 015007. [Google Scholar] [CrossRef]
- Law, J.K.; Parsons, J.R.; Silver, F.H.; Weiss, A.B. Student Research Award in the Hospital Intern, Resident or Clinical Fellow Category, 15th Annual Meeting of the Society for Biomaterials, Lake Buena Vista, Florida, April 28–May 2, 1989. An Evaluation of Purified Reconstituted Type 1 Collagen Fibers. J. Biomed. Mater. Res. 1989, 23, 961–977. [Google Scholar] [CrossRef]
- Dunn, M.G.; Avasarala, P.N.; Zawadsky, J.P. Optimization of Extruded Collagen Fibers for ACL Reconstruction. J. Biomed. Mater. Res. 1993, 27, 1545–1552. [Google Scholar] [CrossRef]
- Zeugolis, D.I.; Paul, G.R.; Attenburrow, G. Cross-Linking of Extruded Collagen Fibers—A Biomimetic Three-Dimensional Scaffold for Tissue Engineering Applications. J. Biomed. Mater. Res. Part A Off. J. Soc. Biomater. Jpn. Soc. Biomater. Aust. Soc. Biomater. Korean Soc. Biomater. 2009, 89A, 895–908. [Google Scholar] [CrossRef]
- Bou-Akl, T.; Banglmaier, R.; Miller, R.; VandeVord, P. Effect of Crosslinking on the Mechanical Properties of Mineralized and Non-Mineralized Collagen Fibers. J. Biomed. Mater. Res. Part A 2013, 101A, 2507–2514. [Google Scholar] [CrossRef] [PubMed]
- Tronci, G.; Kanuparti, R.S.; Arafat, M.T.; Yin, J.; Wood, D.J.; Russell, S.J. Wet-Spinnability and Crosslinked Fibre Properties of Two Collagen Polypeptides with Varied Molecular Weight. Int. J. Biol. Macromol. 2015, 81, 112–120. [Google Scholar] [CrossRef]
- Kato, Y.P.; Silver, F.H. Formation of Continuous Collagen Fibres: Evaluation of Biocompatibilily and Mechanical Properties. Biomaterials 1990, 11, 169–175. [Google Scholar] [CrossRef]
- Caves, J.M.; Kumar, V.A.; Wen, J.; Cui, W.; Martinez, A.; Apkarian, R.; Coats, J.E.; Berland, K.; Chaikof, E.L. Fibrillogenesis in Continuously Spun Synthetic Collagen Fiber. J. Biomed. Mater. Res. Part B Appl. Biomater. Off. J. Soc. Biomater. Jpn. Soc. Biomater. Aust. Soc. Biomater. Korean Soc. Biomater. 2010, 93B, 24–38. [Google Scholar] [CrossRef]
- Siriwardane, M.L.; DeRosa, K.; Collins, G.; Pfister, B.J. Controlled Formation of Cross-Linked Collagen Fibers for Neural Tissue Engineering Applications. Biofabrication 2014, 6, 015012. [Google Scholar] [CrossRef]
- Tonndorf, R.; Aibibu, D.; Cherif, C. Collagen Multifilament Spinning. Mater. Sci. Eng. C 2020, 106, 110105. [Google Scholar] [CrossRef]
- Rezvani Ghomi, E.; Nourbakhsh, N.; Akbari Kenari, M.; Zare, M.; Ramakrishna, S. Collagen-Based Biomaterials for Biomedical Applications. J. Biomed. Mater. Res. Part B Appl. Biomater. 2021, 109, 1986–1999. [Google Scholar] [CrossRef]
- Cisneros, D.A.; Hung, C.; Franz, C.M.; Muller, D.J. Observing Growth Steps of Collagen Self-Assembly by Time-Lapse High-Resolution Atomic Force Microscopy. J. Struct. Biol. 2006, 154, 232–245. [Google Scholar] [CrossRef]
- Stylianou, A. Assessing Collagen D-Band Periodicity with Atomic Force Microscopy. Materials 2022, 15, 1608. [Google Scholar] [CrossRef]
- Wickham, A. Multifunctional Biomimetic Scaffolds Tailored for Cardiac Regeneration; Linkopings Universitet: Linköping, Sweden, 2015. [Google Scholar]
- Cole, C.C.; Kreutzberger, M.A.B.; Klein, K.; Cahue, K.; Pogostin, B.H.; Farsheed, A.C.; Swain, J.W.R.; Bui, T.H.; Dey, A.; Makhoul, J.; et al. Supramolecular Assembly of Collagen Mimetic Peptide D-periodic Fibrils and Nanoassemblies. bioRxiv 2025. [Google Scholar] [CrossRef]
- Salvatore, L.; Gallo, N.; Natali, M.L.; Terzi, A.; Sannino, A.; Madaghiele, M. Mimicking the Hierarchical Organization of Natural Collagen: Toward the Development of Ideal Scaffolding Material for Tissue Regeneration. Front. Bioeng. Biotechnol. 2021, 9, 644595. [Google Scholar] [CrossRef]
- Santos, M.H.; Silva, R.M.; Dumont, V.C.; Neves, J.S.; Mansur, H.S.; Heneine, L.G.D. Extraction and Characterization of Highly Purified Collagen from Bovine Pericardium for Potential Bioengineering Applications. Mater. Sci. Eng. C 2013, 33, 790–800. [Google Scholar] [CrossRef]
- Darvish, D.M. Collagen Fibril Formation in Vitro: From Origin to Opportunities. Mater. Today Bio 2022, 15, 100322. [Google Scholar] [CrossRef]
- Figueiró, S.D.; Góes, J.C.; Moreira, R.A.; Sombra, A.S.B. On the Physico-Chemical and Dielectric Properties of Glutaraldehyde Crosslinked Galactomannan–Collagen Films. Carbohydr. Polym. 2004, 56, 313–320. [Google Scholar] [CrossRef]
- Gu, L.; Shan, T.; Ma, Y.x.; Tay, F.R.; Niu, L. Novel Biomedical Applications of Crosslinked Collagen. Trends Biotechnol. 2019, 37, 464–491. [Google Scholar] [CrossRef]
- Gvaramia, D.; Kern, J.; Jakob, Y.; Tritschler, H.; Brenner, R.E.; Breiter, R.; Kzhyshkowska, J.; Rotter, N. Modulation of the Inflammatory Response to Decellularized Collagen Matrix for Cartilage Regeneration. J. Biomed. Mater. Res. Part A 2022, 110, 1021–1035. [Google Scholar] [CrossRef]
- Zhou, X.; Wang, Y.; Ji, J.; Zhang, P. Materials Strategies to Overcome the Foreign Body Response. Adv. Healthc. Mater. 2024, 13, 2304478. [Google Scholar] [CrossRef]
- Adamiak, K.; Sionkowska, A. Current Methods of Collagen Cross-Linking: Review. Int. J. Biol. Macromol. 2020, 161, 550–560. [Google Scholar] [CrossRef]
- Kong, W.; Lyu, C.; Liao, H.; Du, Y. Collagen Crosslinking: Effect on Structure, Mechanics and Fibrosis Progression. Biomed. Mater. 2021, 16, 062005. [Google Scholar] [CrossRef]
- Nair, M.; Best, S.M.; Cameron, R.E. Crosslinking Collagen Constructs: Achieving Cellular Selectivity Through Modifications of Physical and Chemical Properties. Appl. Sci. 2020, 10, 6911. [Google Scholar] [CrossRef]
- Weadock, K.; Olson, R.M.; Silver, F.H. Evaluation of Collagen Crosslinking Techniques. Biomater. Med. Devices Artif. Organs 1983, 11, 293–318. [Google Scholar] [CrossRef]
- Zheng, M.; Wang, X.; Chen, Y.; Yue, O.; Bai, Z.; Cui, B.; Jiang, H.; Liu, X. A Review of Recent Progress on Collagen-Based Biomaterials. Adv. Healthc. Mater. 2023, 12, 2202042. [Google Scholar] [CrossRef]
- Capaldi, M.J.; Chapman, J.A. The C-terminal Extrahelical Peptide of Type I Collagen and Its Role in Fibrillogenesis in Vitro. Biopolym. Orig. Res. Biomol. 1982, 21, 2291–2313. [Google Scholar] [CrossRef]
- Brennan, M.; Davison, P.F. Influence of the Telopeptides on Type I Collagen Fibrillogenesis. Biopolym. Orig. Res. Biomol. 1981, 20, 2195–2202. [Google Scholar] [CrossRef]
- Jiang, Y.H.; Lou, Y.Y.; Li, T.H.; Liu, B.Z.; Chen, K.; Zhang, D.; Li, T. Cross-Linking Methods of Type I Collagen-Based Scaffolds for Cartilage Tissue Engineering. Am. J. Transl. Res. 2022, 14, 1146–1159. [Google Scholar]
- Indurkar, A.; Pandit, A.; Jain, R.; Dandekar, P. Plant Based Cross-Linkers for Tissue Engineering Applications. J. Biomater. Appl. 2021, 36, 76–94. [Google Scholar] [CrossRef]
- Haugh, M.G.; Jaasma, M.J.; O’Brien, F.J. The Effect of Dehydrothermal Treatment on the Mechanical and Structural Properties of Collagen-GAG Scaffolds. J. Biomed. Mater. Res. Part A Off. J. Soc. Biomater. Jpn. Soc. Biomater. Aust. Soc. Biomater. Korean Soc. Biomater. 2009, 89A, 363–369. [Google Scholar] [CrossRef]
- Wang, M.C.; Pins, G.D.; Silver, F.H. Collagen Fibres with Improved Strength for the Repair of Soft Tissue Injuries. Biomaterials 1994, 15, 507–512. [Google Scholar] [CrossRef]
- Weadock, K.S.; Miller, E.J.; Bellincampi, L.D.; Zawadsky, J.P.; Dunn, M.G. Physical Crosslinking of Collagen Fibers: Comparison of Ultraviolet Irradiation and Dehydrothermal Treatment. J. Biomed. Mater. Res. 1995, 29, 1373–1379. [Google Scholar] [CrossRef]
- Abke, J. Verbesserung Der Biokompatibilität Metallischer Implantate Durch Kovalente Anbindung Einer Quervernetzten Kollagenschicht. Ph.D. Thesis, Universität Regensburg, Regensburg, Germany, 2003. [Google Scholar] [CrossRef]
- Cooper, D.R.; Davidson, R.J. The Effect of Ultraviolet Irradiation on Soluble Collagen. Biochem. J. 1965, 97, 139–147. [Google Scholar] [CrossRef]
- Heck, T.; Faccio, G.; Richter, M.; Thöny-Meyer, L. Enzyme-Catalyzed Protein Crosslinking. Appl. Microbiol. Biotechnol. 2013, 97, 461–475. [Google Scholar] [CrossRef]
- Siegel, R.C. Biosynthesis of Collagen Crosslinks: Increased Activity of Purified Lysyl Oxidase with Reconstituted Collagen Fibrils. Proc. Natl. Acad. Sci. USA 1974, 71, 4826–4830. [Google Scholar] [CrossRef]
- Siegel, R.C.; Pinnell, S.R.; Martin, G.R. Cross-Linking of Collagen and Elastin. Properties of Lysyl Oxidase. Biochemistry 1970, 9, 4486–4492. [Google Scholar] [CrossRef]
- Trackman, P.C. Diverse Biological Functions of Extracellular Collagen Processing Enzymes. J. Cell. Biochem. 2005, 96, 927–937. [Google Scholar] [CrossRef]
- Fortunati, D.; Chau, D.Y.S.; Wang, Z.; Collighan, R.J.; Griffin, M. Cross-Linking of Collagen I by Tissue Transglutaminase Provides a Promising Biomaterial for Promoting Bone Healing. Amino Acids 2014, 46, 1751–1761. [Google Scholar] [CrossRef]
- Badali, E.; Hosseini, M.; Mohajer, M.; Hassanzadeh, S.; Saghati, S.; Hilborn, J.; Khanmohammadi, M. Enzymatic Crosslinked Hydrogels for Biomedical Application. Polym. Sci. Ser. A 2021, 63 (Suppl. 1), S1–S22. [Google Scholar] [CrossRef]
- Rýglová, Š.; Braun, M.; Suchý, T. Collagen and Its Modifications—Crucial Aspects with Concern to Its Processing and Analysis. Macromol. Mater. Eng. 2017, 302, 1600460. [Google Scholar] [CrossRef]
- Nimni, M.E.; Cheung, D.; Strates, B.; Kodama, M.; Sheikh, K. Chemically Modified Collagen: A Natural Biomaterial for Tissue Replacement. J. Biomed. Mater. Res. 1987, 21, 741–771. [Google Scholar] [CrossRef]
- Bowes, J.H.; Cater, C.W. The Interaction of Aldehydes with Collagen. Biochim. Biophys. Acta 1968, 168, 341–352. [Google Scholar] [CrossRef]
- Umashankar, P.R.; Mohanan, P.V.; Kumari, T.V. Glutaraldehyde Treatment Elicits Toxic Response Compared to Decellularization in Bovine Pericardium. Toxicol. Int. 2012, 19, 51. [Google Scholar] [CrossRef]
- Reddy, N.; Reddy, R.; Jiang, Q. Crosslinking Biopolymers for Biomedical Applications. Trends Biotechnol. 2015, 33, 362–369. [Google Scholar] [CrossRef]
- Speer, D.P.; Chvapil, M.; Eskelson, C.D.; Ulreich, J. Biological Effects of Residual Glutaraldehyde in Glutaraldehyde-Tanned Collagen Biomaterials. J. Biomed. Mater. Res. 1980, 14, 753–764. [Google Scholar] [CrossRef]
- Simionescu, D.T. Prevention of Calcification in Bioprosthetic Heart Valves: Challenges and Perspectives. Expert Opin. Biol. Ther. 2004, 4, 1971–1985. [Google Scholar] [CrossRef]
- Olde Damink, L.H.H.; Dijkstra, P.J.; Van Luyn, M.J.A.; Van Wachem, P.B.; Nieuwenhuis, P.; Feijen, J. Glutaraldehyde as a Crosslinking Agent for Collagen-Based Biomaterials. J. Mater. Sci. Mater. Med. 1995, 6, 460–472. [Google Scholar] [CrossRef]
- Kato, Y.P.; Christiansen, D.L.; Hahn, R.A.; Shieh, S.J.; Goldstein, J.D.; Silver, F.H. Mechanical Properties of Collagen Fibres: A Comparison of Reconstituted and Rat Tail Tendon Fibres. Biomaterials 1989, 10, 38–42. [Google Scholar] [CrossRef]
- Cavallaro, J.F.; Kemp, P.D.; Kraus, K.H. Collagen Fabrics as Biomaterials. Biotechnol. Bioeng. 1994, 43, 781–791. [Google Scholar] [CrossRef]
- Yaari, A.; Schilt, Y.; Tamburu, C.; Raviv, U.; Shoseyov, O. Wet Spinning and Drawing of Human Recombinant Collagen. ACS Biomater. Sci. Eng. 2016, 2, 349–360. [Google Scholar] [CrossRef]
- Noyes, F.R.; Butler, D.L.; Grood, E.S.; Zernicke, R.F.; Hefzy, M.S. Biomechanical Analysis of Human Ligament Grafts Used in Knee-Ligament Repairs and Reconstructions. JBJS 1984, 66, 344. [Google Scholar]
- Matsuda, S.; Iwata, H.; Se, N.; Ikada, Y. Bioadhesion of Gelatin Films Crosslinked with Glutaraldehyde. J. Biomed. Mater. Res. Off. J. Soc. Biomater. Jpn. Soc. Biomater. Aust. Soc. Biomater. 1999, 45, 20–27. [Google Scholar] [CrossRef]
- Islam, M.M.; AbuSamra, D.B.; Chivu, A.; Argüeso, P.; Dohlman, C.H.; Patra, H.K.; Chodosh, J.; González-Andrades, M. Optimization of Collagen Chemical Crosslinking to Restore Biocompatibility of Tissue-Engineered Scaffolds. Pharmaceutics 2021, 13, 832. [Google Scholar] [CrossRef]
- Olde Damink, L.H.H.; Dijkstra, P.J.; Van Luyn, M.J.A.; Van Wachem, P.B.; Nieuwenhuis, P.; Feijen, J. Crosslinking of Dermal Sheep Collagen Using Hexamethylene Diisocyanate. J. Mater. Sci. Mater. Med. 1995, 6, 429–434. [Google Scholar] [CrossRef]
- Chvapil, M.; Speer, D.; Mora, W.; Eskelson, C. Effect of Tanning Agent on Tissue Reaction to Tissue Implanted Collagen Sponge. J. Surg. Res. 2003, 35, 402–409. [Google Scholar] [CrossRef]
- Van Wachem, P.; Van Luyn, M.; Damink, L.O.; Dijkstra, P.; Feijen, J.; Nieuwenhuis, P. Tissue Regenerating Capacity of Carbodiimide-Crosslinked Dermal Sheep Collagen during Repair of the Abdominal Wall. Int. J. Artif. Organs 1994, 17, 230–239. [Google Scholar] [CrossRef]
- Jarman-Smith, M.L.; Bodamyali, T.; Stevens, C.; Howell, J.A.; Horrocks, M.; Chaudhuri, J.B. Porcine Collagen Crosslinking, Degradation and Its Capability for Fibroblast Adhesion and Proliferation. J. Mater. Sci. Mater. Med. 2004, 15, 925–932. [Google Scholar] [CrossRef]
- Billiar, K.; Murray, J.; Laude, D.; Abraham, G.; Bachrach, N. Effects of Carbodiimide Crosslinking Conditions on the Physical Properties of Laminated Intestinal Submucosa. J. Biomed. Mater. Res. Off. J. Soc. Biomater. Jpn. Soc. Biomater. Aust. Soc. Biomater. Korean Soc. Biomater. 2001, 56, 101–108. [Google Scholar] [CrossRef]
- Olde Damink, L.H.; Dijkstra, P.J.; Luyn, M.J.; Wachem, P.B.; Nieuwenhuis, P.; Feijen, J. Cross-Linking of Dermal Sheep Collagen Using a Water-Soluble Carbodiimide. Biomaterials 1996, 17, 765–773. [Google Scholar] [CrossRef]
- Akhshabi, S.; Biazar, E.; Singh, V.; Keshel, S.H.; Geetha, N. The Effect of the Carbodiimide Cross-Linker on the Structural and Biocompatibility Properties of Collagen-Chondroitin Sulfate Electrospun Mat. Int. J. Nanomed. 2018, 13, 4405–4416. [Google Scholar] [CrossRef]
- Taghiabadi, E.; Nasri, S.; Shafieyan, S.; Jalili Firoozinezhad, S.; Aghdami, N. Fabrication and Characterization of Spongy Denuded Amniotic Membrane Based Scaffold for Tissue Engineering. Cell J. 2015, 16, 476–487. [Google Scholar] [CrossRef]
- Nong, L.M.; Zhou, D.; Zheng, D.; Jiang, Y.Q.; Xu, N.W.; Zhao, G.Y.; Wei, H.; Zhou, S.Y.; Han, H.; Han, L. The Effect of Different Cross-Linking Conditions of EDC/NHS on Type II Collagen Scaffolds: An in Vitro Evaluation. Cell Tissue Bank. 2019, 20, 557–568. [Google Scholar] [CrossRef]
- Zeeman, R.; Dijkstra, P.J.; Wachem, P.B.; Luyn, M.J.A.; Hendriks, M.; Cahalan, P.T.; Feijen, J. Successive Epoxy and Carbodiimide Cross-Linking of Dermal Sheep Collagen. Biomaterials 1999, 20, 921–931. [Google Scholar] [CrossRef]
- Hermanson, G.T. (Ed.) Chapter 4—Zero-Length Crosslinkers. In Bioconjugate Techniques, 3rd ed.; Academic Press: New York, NY, USA, 2013; pp. 259–273. [Google Scholar] [CrossRef]
- Kew, S.J.; Gwynne, J.H.; Enea, D.; Brookes, R.; Rushton, N.; Best, S.M.; Cameron, R.E. Synthetic Collagen Fascicles for the Regeneration of Tendon Tissue. Acta Biomater. 2012, 8, 3723–3731. [Google Scholar] [CrossRef]
- Ahmad, Z.; Shepherd, J.H.; Shepherd, D.V.; Ghose, S.; Kew, S.J.; Cameron, R.E.; Best, S.M.; Brooks, R.A.; Wardale, J.; Rushton, N. Effect of 1-Ethyl-3-(3-Dimethylaminopropyl) Carbodiimide and N-hydroxysuccinimide Concentrations on the Mechanical and Biological Characteristics of Cross-Linked Collagen Fibres for Tendon Repair. Regen. Biomater. 2015, 2, 77–85. [Google Scholar] [CrossRef]
- Cornwell, K.G.; Lei, P.; Andreadis, S.T.; Pins, G.D. Crosslinking of Discrete Self-Assembled Collagen Threads: Effects on Mechanical Strength and Cell–Matrix Interactions. J. Biomed. Mater. Res. Part A 2007, 80A, 362–371. [Google Scholar] [CrossRef]
- Wissink, M.J.B.; Beernink, R.; Pieper, J.S.; Poot, A.A.; Engbers, G.H.M.; Beugeling, T.; Aken, W.G.; Feijen, J. Immobilization of Heparin to EDC/NHS-crosslinked Collagen. Characterization and in Vitro Evaluation. Biomaterials 2001, 22, 151–163. [Google Scholar] [CrossRef]
- Nair, M.; Johal, R.K.; Hamaia, S.W.; Best, S.M.; Cameron, R.E. Tunable Bioactivity and Mechanics of Collagen-Based Tissue Engineering Constructs: A Comparison of EDC-NHS, Genipin and TG2 Crosslinkers. Biomaterials 2020, 254, 120109. [Google Scholar] [CrossRef]
- Gentleman, E.; Lay, A.N.; Dickerson, D.A.; Nauman, E.A.; Livesay, G.A.; Dee, K.C. Mechanical Characterization of Collagen Fibers and Scaffolds for Tissue Engineering. Biomaterials 2003, 24, 3805–3813. [Google Scholar] [CrossRef]
- Caruso, A.B.; Dunn, M.G. Functional Evaluation of Collagen Fiber Scaffolds for ACL Reconstruction: Cyclic Loading in Proteolytic Enzyme Solutions. J. Biomed. Mater. Res. Part A: Off. J. Soc. Biomater. Jpn. Soc. Biomater. Aust. Soc. Biomater. Korean Soc. Biomater. 2004, 69A, 164–171. [Google Scholar] [CrossRef]
- Enea, D.; Henson, F.; Kew, S.; Wardale, J.; Getgood, A.; Brooks, R.; Rushton, N. Extruded Collagen Fibres for Tissue Engineering Applications: Effect of Crosslinking Method on Mechanical and Biological Properties. J. Mater. Sci. Mater. Med. 2011, 22, 1569–1578. [Google Scholar] [CrossRef]
- Dasgupta, A.; Sori, N.; Petrova, S.; Maghdouri-White, Y.; Thayer, N.; Kemper, N.; Polk, S.; Leathers, D.; Coughenour, K.; Dascoli, J.; et al. Comprehensive Collagen Crosslinking Comparison of Microfluidic Wet-Extruded Microfibers for Bioactive Surgical Suture Development. Acta Biomater. 2021, 128, 186–200. [Google Scholar] [CrossRef]
- Cheung, D.T.; Perelman, N.; Ko, E.C.; Nimni, M.e. Mechanism of Crosslinking of Proteins by Glutaraldehyde III. Reaction with Collagen in Tissues. Connect. Tissue Res. 1985, 13, 109–115. [Google Scholar] [CrossRef]
- Wasserman, A.; Kato, Y.; Silver, F. A Simple Method for Ultrastructural Evaluation of Fragile Collagenous Biomaterials. Cells Mater. 1991, 1, 6. [Google Scholar]
- Gilles, M.A.; Hudson, A.Q.; Borders, C.L. Stability of Water-Soluble Carbodiimides in Aqueous Solution. Anal. Biochem. 1990, 184, 244–248. [Google Scholar] [CrossRef]
- Enea, D.; Gwynne, J.; Kew, S.; Arumugam, M.; Shepherd, J.; Brooks, R.; Ghose, S.; Best, S.; Cameron, R.; Rushton, N. Collagen Fibre Implant for Tendon and Ligament Biological Augmentation. In Vivo Study in an Ovine Model. Knee Surgery Sport. Traumatol. Arthrosc. 2013, 21, 1783–1793. [Google Scholar] [CrossRef]
- Fiorani, A.; Gualandi, C.; Panseri, S.; Montesi, M.; Marcacci, M.; Focarete, M.L.; Bigi, A. Comparative Performance of Collagen Nanofibers Electrospun from Different Solvents and Stabilized by Different Crosslinkers. J. Mater. Sci. Mater. Med. 2014, 25, 2313–2321. [Google Scholar] [CrossRef]
- Dias, J.R.; Baptista-Silva, S.; Oliveira, C.M.T.; Sousa, A.; Oliveira, A.L.; Bártolo, P.J.; Granja, P.L. In Situ Crosslinked Electrospun Gelatin Nanofibers for Skin Regeneration. Eur. Polym. J. 2017, 95, 161–173. [Google Scholar] [CrossRef]
- De Boulle, K.; Glogau, R.; Kono, T.; Nathan, M.; Tezel, A.; Roca-Martinez, J.X.; Paliwal, S.; Stroumpoulis, D. A Review of the Metabolism of 1,4-Butanediol Diglycidyl Ether-Crosslinked Hyaluronic Acid Dermal Fillers. Dermatol. Surg. 2013, 39, 1758. [Google Scholar] [CrossRef]
- Zeeman, R.; Dijkstra, P.J.; Van Wachem, P.B.; Van Luyn, M.J.A.; Hendriks, M.; Cahalan, P.T.; Feijen, J. Crosslinking and Modification of Dermal Sheep Collagen Using 1,4-Butanediol Diglycidyl Ether. J. Biomed. Mater. Res. Off. J. Soc. Biomater. Jpn. Soc. Biomater. Aust. Soc. Biomater. Korean Soc. Biomater. 1999, 46, 424–433. [Google Scholar] [CrossRef]
- Zeeman, R.; Dijkstra, P.J.; van Wachem, P.B.; van Luyn, M.J.; Hendriks, M.; Cahalan, P.T.; Feijen, J. The Kinetics of 1,4-Butanediol Diglycidyl Ether Crosslinking of Dermal Sheep Collagen. J. Biomed. Mater. Res. 2000, 51, 541–548. [Google Scholar] [CrossRef]
- Koh, L.B.; Islam, M.M.; Mitra, D.; Noel, C.W.; Merrett, K.; Odorcic, S.; Fagerholm, P.; Jackson, W.B.; Liedberg, B.; Phopase, J.; et al. Epoxy Cross-Linked Collagen and Collagen-Laminin Peptide Hydrogels as Corneal Substitutes. J. Funct. Biomater. 2013, 4, 162–177. [Google Scholar] [CrossRef]
- Kamal, A.; Ramu, R.; Azhar, M.A.; Khanna, G.B.R. Copper(II) Tetrafluoroborate-Catalyzed Ring-Opening of Epoxides by Amines. Tetrahedron Lett. 2005, 46, 2675–2677. [Google Scholar] [CrossRef]
- Sen, C.K.; Friday, A.; Khanna, S.; Roy, S. Collagen-Based Products in Wound, Skin, and Health Care. Adv. Wound Care, 2025; ahead of print. [Google Scholar] [CrossRef]
- Yeom, J.; Bhang, S.H.; Kim, B.S.; Seo, M.S.; Hwang, E.J.; Cho, I.H.; Park, J.K.; Hahn, S.K. Effect of Cross-Linking Reagents for Hyaluronic Acid Hydrogel Dermal Fillers on Tissue Augmentation and Regeneration. Bioconjugate Chem. 2010, 21, 240–247. [Google Scholar] [CrossRef]
- Luo, Y.; Tan, J.; Zhou, Y.; Guo, Y.; Liao, X.; He, L.; Li, D.; Li, X.; Liu, Y. From Crosslinking Strategies to Biomedical Applications of Hyaluronic Acid-Based Hydrogels: A Review. Int. J. Biol. Macromol. 2023, 231, 123308. [Google Scholar] [CrossRef]
- Zhang, J.; Ma, X.; Hui, J.; Ma, P.; Deng, J.; Fan, D. Crosslinking of Hyaluronic Acid and Human-like Collagen with Divinyl Sulfone. J. Chem. Pharm. Res. 2014, 6, 726–730. [Google Scholar]
- Shymborska, Y.; Tymetska, S.; Budkowski, A.; Zemła, J.; Raczkowska, J.; Awsiuk, K.; Bernasik, A.; Lekka, M.; Volinsky, A.A.; Pabijan, J.; et al. ‘Smart’ Polymer Sandwiches From Hydrogel Nanocoatings Attached to Stimuli-Responsive Grafted Brush Coatings: Changing the Cell Behavior. J. Biomed. Mater. Res. Part B: Appl. Biomater. 2025, 113, e35631. [Google Scholar] [CrossRef]
- Muzzarelli, R.A.A.; El Mehtedi, M.; Bottegoni, C.; Aquili, A.; Gigante, A. Genipin-Crosslinked Chitosan Gels and Scaffolds for Tissue Engineering and Regeneration of Cartilage and Bone. Mar. Drugs 2015, 13, 7314–7338. [Google Scholar] [CrossRef]
- Manickam, B.; Sreedharan, R.; Elumalai, M. ‘Genipin’—The Natural Water Soluble Cross-linking Agent and Its Importance in the Modified Drug Delivery Systems: An Overview. Curr. Drug Deliv. 2014, 11, 139–145. [Google Scholar] [CrossRef]
- Wang, X.; Zhang, A.; Yan, G.; Sun, W.; Han, Y.; Sun, H. Metabolomics and Proteomics Annotate Therapeutic Properties of Geniposide: Targeting and Regulating Multiple Perturbed Pathways. PLoS ONE 2013, 8, e71403. [Google Scholar] [CrossRef]
- Akao, T.; Kobashi, K.; Aburada, M. Enzymic Studies on the Animal and Intestinal Bacterial Metabolism of Geniposide. Biol. Pharm. Bull. 1994, 17, 1573–1576. [Google Scholar] [CrossRef] [PubMed]
- Ramos-de-la-Peña, A.M.; Renard, C.M.; Montañez, J.; de la Luz Reyes-Vega, M.; Contreras-Esquivel, J.C. A Review through Recovery, Purification and Identification of Genipin. Phytochem. Rev. 2016, 15, 37–49. [Google Scholar] [CrossRef]
- Mekhail, M.; Wong, K.K.H.; Padavan, D.T.; Wu, Y.; O’Gorman, D.B.; Wan, W. Genipin-Cross-linked Electrospun Collagen Fibers. J. Biomater. Sci. Polym. Ed. 2011, 22, 2241–2259. [Google Scholar] [CrossRef]
- Lin, S.; Patrawalla, N.Y.; Zhai, Y.; Dong, P.; Kishore, V.; Gu, L. Computational and Experimental Characterization of Aligned Collagen across Varied Crosslinking Degrees. Micromachines 2024, 15, 851. [Google Scholar] [CrossRef]
- Zhai, W.; Lü, X.; Chang, J.; Zhou, Y.; Zhang, H. Quercetin-Crosslinked Porcine Heart Valve Matrix: Mechanical Properties, Stability, Anticalcification and Cytocompatibility. Acta Biomater. 2010, 6, 389–395. [Google Scholar] [CrossRef]
- Zeugolis, D.I.; Paul, R.G.; Attenburrow, G. The Influence of a Natural Cross-Linking Agent (Myrica rubra) on the Properties of Extruded Collagen Fibres for Tissue Engineering Applications. Mater. Sci. Eng. C 2010, 30, 190–195. [Google Scholar] [CrossRef]
- Delgado, L.M.; Bayon, Y.; Pandit, A.; Zeugolis, D.I. To Cross-Link or Not to Cross-Link? Cross-Linking Associated Foreign Body Response of Collagen-Based Devices. Tissue Eng. Part B Rev. 2015, 21, 298–313. [Google Scholar] [CrossRef]
- Christensen, K.; Nair, R.; Palikonda, R.; Stagnaro, V.; Carey, A.; Howell, A.; Sori, N.; Dasgupta, A.; Maghdouri-White, Y.; Bonner, K.; et al. Collagen Co-Braids Demonstrate Equivalent or Superior Physical Properties to Conventional Orthopedic Sutures. J. Orthop. Exp. Innov. 2025, 6. [Google Scholar] [CrossRef]





| Ref. | Year | Crosslinking Procedure | Dry/Wet | Young’s Modulus [MPa] | Strength [MPa] | Strain at Break [%] | Maximum Force [N] |
|---|---|---|---|---|---|---|---|
| [60] | 1989 | 25% (w/v) GA vapour; 2 or 4 d | dry (2 d) | 4070 ± 401 | 152 ± 43.6 | 14.8 ± 1.8 | n.a. |
| wet (2 d) | 503 ± 127.7 | 59.2 ± 17.9 | 13.8 ± 2.9 | n.a. | |||
| dry (4 d) | 3550 ± 311 | 142.4 ± 38 | 11.8 ± 4.7 | n.a. | |||
| wet (4 d) | 403 ± 80.9 | 55.5 ± 11.8 | 14.4 ± 3.6 | n.a. | |||
| [11] | 1989 | 25% (w/v) GA vapour; 4 d | dry | 3653 ± 547 | 176.6 ± 29.1 | 17.2 ± 4.61 | 0.313 ± 0.065 |
| wet | 482.1 ± 93.4 | 42.9 ± 9.55 | 16.2 ± 2.1 | 0.142 ± 0.034 | |||
| [16] | 1990 | 25% (w/v) GA vapour; 1 d | dry | n.a. | n.a. | n.a. | n.a. |
| wet | 270 ± 69.3 | 36.9 ± 7.9 | 16.6 ± 3.04 | n.a. | |||
| [12] | 1993 | 25% (w/v) GA vapour; 1 d | dry_280 | n.a. | 175 | n.a. | 0.06 |
| dry_580 | n.a. | 205 | n.a. | 0.43 | |||
| dry_860 | n.a. | 80 | n.a. | 0.38 | |||
| wet_280 | n.a. | 110 | n.a. | 0.05 | |||
| wet_580 | n.a. | 55 | n.a. | 0.25 | |||
| wet_860 | n.a. | 25 | n.a. | 0.18 | |||
| [61] | 1994 | GA vapour overnight | dry | n.a. | 175 ± 19 | n.a. | n.a. |
| wet | n.a. | 27.7 ± 3.1 | n.a. | n.a. | |||
| [13] | 2009 | 0.625% GA in 0.01 M PBS | dry | 34.2 ± 19.1 | 31.89 ± 9.93 | 55 ± 5 | 1.62 ± 0.23 |
| wet | 6.9 ± 3.29 | 10.85 ± 2.85 | 43 ± 4 | 0.77 ± 0.04 | |||
| [17] | 2010 | 25% (w/v) GA vapour; 18–24 h | wet | n.a. | 93.9 ± 19.2 | n.a. | n.a. |
| [18] | 2014 | 1.0% (v/v) GA in H2O; 24 h | Coll_dry | 707 ± 68 | 59 ± 18 | 10.9 ± 1.6 | n.a. |
| GA_dry | 2821 ± 168 | 136 ± 2.6 | 10.8 ± 1.9 | n.a. | |||
| [62] | 2016 | 0.1% GA in WSB | wet | 888 ± 153 | 151 ± 31 | 20.5 ± 1.95 | n.a. |
| [10] | 2018 | 25% (w/v) GA solution in 96% EtOH | Coll_dry | 2590 ± 336 | 187.6 ± 29.4 | 30.3 ± 2.6 | n.a. |
| Coll_wet | n.a. | n.a. | n.a. | n.a. | |||
| GA_dry | 2576 ± 252 | 173.6 ± 8.4 | 25.5 ± 3.8 | n.a. | |||
| GA_wet | 854 ± 266 | 65.8 ± 2.8 | 14.1 ± 2.9 | n.a. | |||
| [19] | 2020 | 25% (w/v) GA in 96% EtOH | dry | 3534 ± 399 | 169 ± 11 | n.a. | n.a. |
| wet | 281 ± 15 | 40.4 ± 4.4 | n.a. | n.a. |
| Ref. | Year | Crosslinking Procedure | Dry/Wet | Young’s Modulus [MPa] | Strength [MPa] | Strain at Break [%] | Maximum Force [N] |
|---|---|---|---|---|---|---|---|
| [13] | 2009 | 5% HMDI sol. in 100% 2-propanol | dry | 14.79 ± 5.78 | 20.05 ± 8.46 | 29 ± 11 | 1.53 ± 0.10 |
| wet | 4.39 ± 2.13 | 17.25 ± 5.92 | 45 ± 15 | 1.11 ± 0.41 |
| Ref. | Year | Crosslinking Solution (Duration) | Type | Young’s Modulus [MPa] | Strength [MPa] | Strain at Break [%] |
|---|---|---|---|---|---|---|
| [61] | 1994 | 50 mM EDC in 90% acetone (8 h) | Coll_dry | n.a. | 224 ± 19 | n.a. |
| Coll_wet | n.a. | 1.2 ± 0.2 | n.a. | |||
| EDC_dry | n.a. | 197 ± 18 | n.a. | |||
| EDC_wet | n.a. | 23.9 ± 2.7 | n.a. | |||
| [82] | 2003 | 1% (w/v) EDC in H2O (24 h) | wet_510 | 484.7 ± 76.3 | 50 ± 13.4 | n.a. |
| wet_1020 | 359.6 ± 28.4 | 36 ± 5.4 | n.a. | |||
| wet_1270 | 269.7 ± 11.9 | 24.7 ± 2.9 | n.a. | |||
| [83] | 2004 | EDC in 90% acetone (24 h) | wet_6 mM | n.a. | 28.0 | n.a. |
| wet_10 mM | n.a. | 43.0 | n.a. | |||
| wet_25 mM | n.a. | 31.0 | n.a. | |||
| [79] | 2007 | 1% (w/v) EDC in H2O (24 h) | Coll_wet | 4.0 ± 1.2 | 1.5 ± 0.2 | 42 ± 12 |
| EDC_wet | 68 ± 31 | 11 ± 4 | 17 ± 4 | |||
| [13] | 2009 | 1.731/0.415 g EDC/NHS (EN) in 0.5 M MES (overnight) | Coll_dry | 154.23 ± 22.09 | 111.85 ± 10.11 | 37 ± 7 |
| Coll_wet | 3.78 ± 1.1 | 2.97 ± 0.87 | 33 ± 7 | |||
| EDC_dry | 59.18 ± 25.2 | 125.89 ± 39.21 | 53 ± 8 | |||
| EDC_wet | 1.76 ± 0.33 | 3.16 ± 0.63 | 54 ± 11 | |||
| [84] | 2011 | 1:2:0.5 C/EDC/NHS in 0.01 M MES (1 h) | EN (wet) | 19.3 ± 1.7 | 4.6 ± 0.4 | 23.2 ± 2.0 |
| EN/EGDE (wet) | 46.2 ± 4.9 | 10.5 ± 1.3 | 23.1 ± 2.3 | |||
| [77] | 2012 | 25/12.5 mM EN in acetone/PBS (2 h) | EN (wet) | 183.5 ± 76.2 | 25.1 ± 9.2 | 13.5 ± 4.4 |
| EN/EGDE (wet) | 276.8 ± 168.4 | 49 ± 22.1 | 17.3 ± 5.6 | |||
| [14] | 2013 | 10 mM EDC in H2O or 90% acetone (24 h) | Coll_dry | 2340 ± 630 | 151.2 ± 83.5 | 11 ± 8 |
| Coll_wet | 4.7 ± 1.1 | 0.82 ± 0.1 | 31 ± 12 | |||
| EDC_dry | 2582 ± 410 | 189.2 ± 102.3 | 14 ± 10 | |||
| EDC_wet | 77 ± 6 | 7.8 ± 1 | 14 ± 4 | |||
| EDC_Ac_dry | 5000 ± 510 | 408 ± 39.5 | 18 ± 3 | |||
| EDC_Ac_wet | 474.7 ± 110 | 39.1 ± 6.6 | 12 ± 3 | |||
| [85] | 2021 | 0.25 mM EDC in 70% EtOH (24 h) | EDC (wet) | ∼480 ± 240 | 16.6 ± 1.5 | ∼5 ± 1 |
| 0.25/0.125 mM EDC/NHS in 70% EtOH (24 h) | EN (wet) | ∼240 ± 100 | 30.2 ± 1.0 | ∼19 ± 7 |
| Ref. | Type | Swelling | Fraction Wet Strength/Dry Strength |
|---|---|---|---|
| [14] | uncrosslinked | 282.92% | 0.54% |
| EDC crosslinked | 168.25% | 4.12% | |
| EDC crosslinked + acetone | 122.18% | 9.58% | |
| [61] | uncrosslinked | - | 0.54% |
| EDC crosslinked | - | 12.13% | |
| [13] | EDC crosslinked | 123.35% | 2.51% |
| GA crosslinked | 17.69% | 34.02% | |
| [16] | GA crosslinked | 23.77% | - |
| [12] | GA crosslinked (280) | 25.00% | 62.86% |
| GA crosslinked (580) | 41.51% | 26.83% | |
| GA crosslinked (860) | 21.79% | 31.25% | |
| [10] | GA crosslinked | - | 37.90% |
| Ref. | Year | Crosslinking Procedure | Dry/Wet | Young’s Modulus [MPa] | Strength [MPa] | Strain at Break [%] |
|---|---|---|---|---|---|---|
| [110] | 2010 | 1% M. rubra aq. overnight | control_wet | 3.78 ± 1.10 | 2.97 ± 0.87 | 33 ± 7 |
| MR_wet | 23.10 ± 9.45 | 28.18 ± 8.51 | 15 ± 4 | |||
| [18] | 2014 | 1% (v/v) Gp aq. 24 h | Gp_dry | 2394 ± 148 | 222 ± 74 | 16.4 ± 1.3 |
| Coll_dry | 707 ± 68 | 59 ± 18 | 10.9 ± 1.6 | |||
| [108] | 2024 | 10 mL of 0.1% (w/v) Gp solution in 90% EtOH; 4 h | wet | 1.51 ± 0.74 | ∼ 0.25 | ∼ 18 |
| 10 mL of 2% (w/v) Gp solution in 90% EtOH; 4 h | wet | 2.87 ± 1.59 | ∼ 0.65 | ∼ 16 |
| Crosslinker | Cost | Time | Mechanical Output | Safety | Cytocompatibility | Translational Potential | Citations |
|---|---|---|---|---|---|---|---|
| EDC | Moderate | Fast | High stiffness | High | Moderate | Widely used, needs balance | [13,34,39,59,70,72,74,78,85] |
| BDDE | High | Moderate | Robust | Good | Good | Good for engineered tissues | [90,91,92,93,94] |
| DVS | Moderate | Fast | Strong, stable network | Acceptable | Variable | Limited, industrial focus | [98,99,101] |
| Glutaraldehyde | Low | Fast | Very strong, denaturing | Low | Low (cytotoxic) | Limited for implants | [11,12,13,14,16] |
| Genipin | Moderate | Slow | Good, cell-favorable | Very high | High | High, natural crosslinker | [18,34,108] |
| Quercetin | Low | Slow | Moderate, antioxidant | High | High | High, natural crosslinker | [109] |
| Myrica rubra | Low | Slow | Moderate, antioxidant | High | High | High, natural crosslinker | [110] |
| HMDI | Moderate | Fast | Strong, possible flexibility | Low | Low to moderate | Limited, needs purification | [66,67,69] |
Disclaimer/Publisher’s Note: The statements, opinions and data contained in all publications are solely those of the individual author(s) and contributor(s) and not of MDPI and/or the editor(s). MDPI and/or the editor(s) disclaim responsibility for any injury to people or property resulting from any ideas, methods, instructions or products referred to in the content. |
© 2025 by the authors. Licensee MDPI, Basel, Switzerland. This article is an open access article distributed under the terms and conditions of the Creative Commons Attribution (CC BY) license (https://creativecommons.org/licenses/by/4.0/).
Share and Cite
Schyra, P.; Aibibu, D.; Sundag, B.; Cherif, C. Chemical Crosslinking of Acid Soluble Collagen Fibres. Biomimetics 2025, 10, 701. https://doi.org/10.3390/biomimetics10100701
Schyra P, Aibibu D, Sundag B, Cherif C. Chemical Crosslinking of Acid Soluble Collagen Fibres. Biomimetics. 2025; 10(10):701. https://doi.org/10.3390/biomimetics10100701
Chicago/Turabian StyleSchyra, Peter, Dilbar Aibibu, Bernd Sundag, and Chokri Cherif. 2025. "Chemical Crosslinking of Acid Soluble Collagen Fibres" Biomimetics 10, no. 10: 701. https://doi.org/10.3390/biomimetics10100701
APA StyleSchyra, P., Aibibu, D., Sundag, B., & Cherif, C. (2025). Chemical Crosslinking of Acid Soluble Collagen Fibres. Biomimetics, 10(10), 701. https://doi.org/10.3390/biomimetics10100701

