Abstract
This work investigates the effect of ground rubber tire (GRT) particle size and their concentration on the morphological, mechanical, physical, and thermal properties of thermoplastic elastomer (TPE) blends based on recycled high-density polyethylene (rHDPE). In our methodology, samples are prepared via melt blending (twin-screw extrusion followed by compression molding) to prepare different series of blends using GTR with three different particle sizes (0–250 μm, 250–500 μm, and 500–850 μm) for different GTR concentrations (0, 20, 35, 50, and 65 wt.%). The thermal properties are characterized by differential scanning calorimeter (DSC), and the morphology of the blends is studied by scanning electron microscopy (SEM). The mechanical and physical properties of the blends are investigated by quasi-static tensile and flexural tests, combined with impact strength and dynamic mechanical analysis (DMA). The SEM observations indicate some incompatibility and inhomogeneity in the blends, due to low interfacial adhesion between rHDPE and GTR (especially for GTR > 50 wt.%). Increasing the GTR content up to 65 wt.% leads to poor interphase (high interfacial tension) and agglomeration, resulting in the formation of voids around GTR particles and increasing defects/cracks in the matrix. However, introducing fine GTR particles (0–250 μm) with higher specific surface area leads to a more homogenous structure and uniform particle dispersion, due to improved physical/interfacial interactions. The results also show that for a fixed composition, smaller GTR particles (0–250 μm) gives lower melt flow index (MFI), but higher tensile strength/modulus/elongation at break and toughness compared to larger GTR particles (250–500 μm and 500–850 μm).
1. Introduction
Problems associated with the storage and elimination of end-of-life tires lead to growing worldwide environmental concerns. This is why a great deal of effort is devoted to seeking profitable and eco-friendly solutions for the recovery and recycling of discarded tires [1,2]. Upcycling is an effective recycling approach aiming at incorporating shredded waste tires into polymer blends to produce value-added products for various applications, such as artificial reef, playground equipment, erosion control, and highway crash barriers. Ground tire rubber (GTR), produced via different downsizing (grinding) processes, contains a high amount of high quality natural and synthetic rubbers that can be used as potential sources of valuable raw materials for incorporation into polymers (thermoplastics, thermosets, and rubbers) [3,4]. Polymer blends based on recycled rubbers and thermoplastic resins lead to the production of thermoplastic elastomers (TPE), exhibiting flexibility from the rubber phase and reprocessability from the thermoplastic resin. These blends can be economical alternatives for virgin TPE [5].
Increasing demand for recyclable compounds being processed at a large scale with high level of recycled contents is a growing market. For these applications, high-density polyethylene (HDPE) is often used, due to its availability, low density, and low cost, combined with good rigidity and hardness with excellent electrical and chemical resistance [6,7]. Recently, the availability of large quantities of recycled HDPE (rHDPE) with easy processability (low melting point) have directed TPE research and industry toward the production of TPE based on rHDPE for both indoor and outdoor applications [8,9,10]. However, increasing the GTR content above 50% usually leads to a substantial decrease in the tensile properties, due to improper homogenization (GTR distribution and high viscosity) and poor compatibility between the crosslinked rubber particles and thermoplastic matrix [10]. For example, Kakroodi and Rodrigue reported that incorporation of GTR in HDPE led to a 64% decrease in the strain at break of GTR/HDPE (70/30), while further increase in GTR content significantly decreased this value by another 44% for GTR/HDPE (90/10) [10]. In general, the mechanical properties of TPE, as a binary system, depending on the components’ compatibility as well as the GTR particle size. In general, decreasing the particle size gives better dispersion and higher specific surface area promoting interfacial interactions via bonding (mechanical and physical) and co-crosslinking possibilities during mixing leading to better tensile properties [3]. Mujal-Rosas et al. [11] observed a significant decrease in the tensile strength of a neat ethylene vinyl acetate (EVA) (23 MPa) upon the addition of only 10 wt.% GTR (12.7 MPa) having particle sizes less than 200 μm. However, increasing the particle size to 200–500 μm or above 500 μm led to even lower values with 10.4 MPa and 8.4 MPa, respectively. This trend is associated with lower compatibility between the components when the GTR size increased. Alshukri et al. [12] also reported a gradual tensile strength decrease for styrene butadiene rubber (SBR) from 16.0 MPa to 10.8 MPa and 7.5 MPa after the introduction of 30 wt.% of recycled rubber crumbs with particle sizes of 180–250 μm and 425–600 μm, respectively. These results were similar to the ones reported by Han and Han [13]. This trend was again expected as the incorporation of larger rubber particles decreases the specific contact area between both phases leading to lower filler-matrix bonding, which are acting as stress concentration points facilitating crack initiation and growth, leading to premature failure. So, the control of the GTR particle size and blend morphology is important to promote blend compatibility.
Larger GTR particles also increase the probability of GTR agglomeration and the formation of larger voids around them, while smaller particles will develop smaller cracks [14]. Colom et al. [15] observed that adding 20 wt.% GTR (200 μm) decreased the tensile strength of HDPE by 25% (from 24 to 18 MPa), while an acid treatment (sulphonitric) of GTR showed only a decrease of 13% (from 24 to 20.8 MPa). They concluded that this chemical surface treatment (etching effect) led to increased surface roughness modifying the interaction with the matrix producing better blends with higher tensile properties, especially for smaller particles (<200 μm).
It should be noticed that the GTR particle size, shape, and specific surface area depending on the grinding process. Comparing three methods of waste tires grinding (roller grinding, elastic-strain grinding, and cryogenic grinding), the particles obtained from roller grinding are expected to show the best reinforcement properties, due to higher specific surface area generated to improve interfacial bonding with the matrix [16].
Based on our previous work [17], this study aims at providing a detailed study on the effects of recycled rubber particle sizes and blend composition on the melt processability, morphological and mechanical properties of recycled TPE blends. In particular, we evaluate the possibility of melt blending different GTR particle sizes (0–250, 250–500, and 500–850 μm) with a recycled high density polyethylene matrix and optimize the formulation to obtain a 100% recycled blend with good mechanical performance. The TPE were produced via melt mixing of rHDPE with different GTR content (0, 20, 35, 50, and 65 wt.%) via twin-screw extrusion followed by compression molding as a first step.
2. Results and Discussion
2.1. Processability
The processability and flowability of the TPE blends depend on the GTR particle size, content, and interaction to determine the melt flow resistance at a specific temperature and stress/strain. MFI was used here as a simple tool to determine the material’s fluidity (inverse of viscosity). Table 1 reports the values for the rHDPE/GTR blends. It was found that increasing the GTR content from 35 to 50 wt.% at a fixed particle size (0–250 μm) led to an MFI reduction from 0.42 to 0.24 g/10 min. A similar observation was reported for the effect of recycled rubber loading on decreasing the TPE flowability as an indication of higher viscosity, due to the crosslinked structure of GTR, which does not flow, and agglomerates in the matrix leading to higher viscosity [18]. However, the variation of MFI with GTR content is not linear, and more significant decreases occur for blends filled with smaller GTR (0–250 μm). For the same GTR content (35 wt.%), increasing the particle sizes from 0–250 μm to 250–500 μm, and 500–850 μm increased the MFI from 0.42 to 0.46 and 0.48 g/10 min, respectively. It can be concluded that small GTR particles promote chain entanglements and particles cluster providing less available space for the GTR particles to move around and flow [19]. The decrease in MFI (inverse relation with viscosity) translates to higher extruder motor torque, since higher force is required to disperse the crosslinked GTR particles into the rHDPE matrix. To get information on the blend’s processability, the motor torque, and pressure loss in the die were also measured during the melt extrusion step and presented in Table 1. Initially, the torque rose sharply because of the mechanical resistance exerted on the rotors by the unmelted materials. While the materials melted and subjected to mechanical-induced shear force, the torque value decreased until a stabilized level, as reported in Table 1. It can be seen that the stabilized torque increased with increasing GTR content related to the crosslinked rubber network restricting the flow. Ismail et al. [20] reported that polypropylene (PP)/GTR blends containing up to 60 wt.% recycled rubber with fine GTR (250–500 μm) exhibited a slightly higher equilibrium torque than that of blends with larger GTR particles (500–710 μm and 710–1000 μm), due to higher flow resistance associated with the high friction related to the higher surface area of the fine GTR. They also reported an increase in the equilibrium torque from 4 N.m to 8 N.m by increasing the fine GTR content (from 20 to 60 wt.%) because of the higher required force to disperse the crosslinked GTR in the PP matrix, in agreement with lower MFI values (higher viscosity), the pressure loss across the die increased with GTR content. For instance, increase the GTR (0–250 μm) content from 35 to 50 wt.% led to a torque variation of 6% (49 to 52 N.m) and pressure loss by 42% (350 to 500 psi), while the same increase in GTR content for larger particles (500–850 μm) led to higher torque by 4% (48 to 50 N.m) and die pressure loss by 41% (290 to 410 psi). It was found that smaller GTR particles exerted a noticeable effect on MFI, motor torque, and pressure loss which can be associated with higher friction between GTR particles with smaller size and higher surface generating higher filler-matrix interactions [6,18]. Specific mechanical energy is a measure of how much mechanical energy is required for melt extrusion, which can affect the melting and interaction between the components of blends. An increase in GTR content for all ranges of particle sizes increased the specific mechanical energy, and this can be attributed to the higher amount of energy needed by the motor to turn the screws for mixing crosslinked rubber particles (non-melting) with thermoplastic resins [18]. For example, increasing the GTR (0–250 μm) content from 35 to 50 wt.% increased the consumed energy from 615 to 653 J/g because of the higher extruder motor torque and higher required force to disperse the crosslinked fillers at a higher mixing ratio. In agreement with torque values, the motor load, hence the specific mechanical energy, was more significantly increased by the addition of smaller GTR particles (0–250 μm) compared to larger ones (250–500 μm and 500–850 μm). For the same GTR content (35 wt.%), melt extrusion of fine GTR particles (0–250 μm) showed the highest specific mechanical energy (615 J/g) associated with the higher contact area between smaller particles (higher specific surface area) and rHDPE, which increased the friction between the components and the extruder barrel.
Table 1.
Parameters related to the compounds’ processability. See Table 3 for definition.
2.2. Crystallinity
DSC analysis was used to detect possible changes in crystallinity and microstructure of the matrix upon the incorporation of a second component (GTR). Table 2 presents the Tm, Tc, melting enthalpy, and crystallinity degree (%) of the rHDPE/GTR blends as a function of the GTR content and particle size. It was found that Tm and Tc slightly decreased with increasing GTR content from 20 to 65 wt.% for all particle sizes. A decreasing trend for the melting temperature can be related to the lower thickness of the lamella as non-crystalline GTR particles limit the growth of lamellae on the crystalline side [6]. Moreover, the melting enthalpy decreased with further GTR addition, since the crystallizable material (rHDPE) decreased in volume and space [6]. For example, increasing the GTR content from 35 to 50 wt.% at a fixed particle size (0–250 μm) led to lower melting enthalpy from 102.9 to 76.3 J/g. This is in agreement with Colom et al. [15], who concluded that small GTR particles (<200 μm) in HDPE/GTR (60/40) blends acted as nucleating agents leading to the compactness of the structure in their boundaries. The promoted crystallization led to an increase of the melting enthalpy to 200 J/g, while particle sizes of 200–500 μm decreased the melting enthalpy to 160 J/g as the nucleation effect was not triggered by larger particles. To investigate the effect of GTR content and particle size on the rHDPE crystallization, the crystallinity degree was calculated by Equation (1). Decreasing crystallinity with increasing GTR content is a common observation in rubber-thermoplastic blends, irrespective of the rubber being virgin or recycled.
Table 2.
Thermal parameters of rHDPE/GTR blends calculated from DSC. See Table 3 for definition.
As shown in Table 2, the crystallinity degree for all the compositions decreased with the introduction of a flexible amorphous phase (GTR), disturbing the packing of matrix chains. Increasing the GTR content disorganized the crystalline structure of the thermoplastic resin by confining rHDPE segments (steric hindrance), resulting in the formation of a smaller crystalline phase and lower crystallinity [6]. Moreover, possible sulfur crosslinking of GTR during melt mixing can act as local defects to deteriorate the close packing and compactness of the polymer chains leading to lower matrix crystallinity [21]. However, smaller GTR particles are responsible for a higher level of compactness, since the polymer chains have more freedom to organize themselves around them. This leads to a structure modification at their boundaries, influencing the matrix crystallinity, due to better interaction with the matrix [11]. As presented in Table 2, the slightly higher melting temperature when small particles are used compared to larger ones is associated with a more compact crystalline structure (GTR: 0–250 μm) [15]. Increasing the GTR particle size from 0–250 μm to 250–500 μm, and 500–850 μm led to lower crystallinity for GTR35 from 55.3% to 54.4% and 53.9%, respectively. The higher crystallinity obtained with small GTR particles is associated with a more compact crystalline structure, and a higher melting temperature of the blends filled with small particles (0–250 μm) correlates well with higher tensile strength and modulus as described later.
2.3. Morphology
Figure 1 presents SEM micrographs of the GTR particle at different magnifications. Figure 1b,d,f illustrate the presence of considerable amounts of impurities, due to the recycled origin of GTR. As shown in Figure 2, the EDS image illustrates the presence of metals or other additives related to several materials used for the reinforcement of tire parts resulting in some impurity in GTR. Moreover, several sources of waste tires and grinding methods are responsible for various shapes like porous or smooth angular surfaces on the GTR particles. Due to the heterogeneous nature of recycled rubber particles, it is difficult to obtain a specific size and distribution. However, mechanical sieving is simple and cost-effective to achieve a good separation of each particle size selected (60, 35, and 20 mesh). The SEM micrographs show that the sieved materials are in the range of less than 250 μm (Figure 1a), up to around 500 μm (Figure 1b) and up to 850 μm (Figure 1c).
Figure 1.
SEM images at different magnification of GTR particles: (a,b) 0–250 μm, (c,d) 250–500 μm, and (e,f) 500–850 μm.
Figure 2.
EDS spectra of the GTR particles showing some impurities.
SEM images were also used to determine how the blend composition and particle size influenced the GTR dispersion state and the interfacial adhesion with the matrix. Figure 3 for rHDPE/GTR blends containing 35 and 50 wt.% GTR shows a dispersed phase (GTR) in a continuous matrix (rHDPE). As shown in Figure 3a–c, the dispersed phase size in blends containing 35 wt.% filler increased with increasing GTR particle size (0–250 μm, 250–500 μm, and 500–850 μm). Further increase in GTR content (50 wt.%) makes the GTR particles, especially larger ones (250–500 μm and 500–850 μm), to cluster/agglomerate promoting the formation of voids around them (Figure 3e,f). This suggests that coarser GTR particles easily agglomerate or coalesce during melt mixing leading to difficult distribution of filler particles and larger clusters in the matrix. The possibility of coalescence and cluster of large recycled rubber particles (over 500 μm) during compounding at high rubber concentrations (50 wt.% in Figure 3f) was also reported elsewhere [4,15].
Figure 3.
SEM micrographs of the fractured surfaces of: (a) G35S, (b) G35M, (c) G35L, (d) G50S, (e) G50M, and (f) G50L. See Table 3 for definitions.
Figure 4 presents the SEM micrographs of rHDPE/GTR (50/50) blends at different levels of magnification, which aids our understanding of the relationship between the evolutions of morphology with GTR particle sizes. Detection of the rubber phase is difficult in GTR50S (Figure 4a) because of a more textured surface and uniform filler distribution compared to GTR50M (Figure 4b) and GTR50L (Figure 4c). This observation can be related to better interaction and bonding of small GTR particles (higher specific surface area) with the polymer matrix. So higher energy is required for sample failure. On the other hand, blends filled with GTR particles larger than 250 μm (250–500 μm or 500–850 μm) show some cracks and pores around them (Figure 4e,f). The presence of these voids is associated with GTR particles being easily pulled out, due to poor interaction with the matrix. Clean surfaces of the GTR particles also imply incomplete dispersion of agglomerated recycled rubber particles, due to weak interfacial adhesion. These effects are expected to influence the mechanical properties as described next.
Figure 4.
SEM micrographs of the fractured surfaces of: (a,d) GTR50S, (b,e) GTR50M, and (c,f) GTR50L. See Table 3 for definitions.
2.4. Mechanical Properties
2.4.1. Tensile Properties
It is expected to observe a decreasing trend in the rHDPE tensile properties with the introduction of recycled rubber particles (GTR) mainly associated with the rubbery (soft) nature of the rubber phase, weak interfacial adhesion between GTR and rHDPE, and limited stress transfer between the phases [1]. Figure 5 and Figure 6 respectively present the tensile strength and tensile modulus of rHDPE/GTR blends as a function of GTR content and particle sizes. The addition of GTR decreases the tensile strength (21.3 MPa) and tensile modulus (364.7 MPa) of the neat matrix. For example. increase the GTR content (0–250 μm) from 35 to 50 wt.% decreases the tensile strength by 33% (11.6 to 7.7 MPa) and the Young’s modulus by 42% (156 to 89.5 MPa). This decreasing trend is not only related to the low affinity between GTR and rHDPE, but also to degradation of recycled materials (plastic and rubber) by exposure to oxygen/ozone, mechanical and thermal stresses during their service life, grinding, and processing [22]. The effect of GTR particle size is clearly observed when comparing the different ranges of particles selected. For example, changing the smaller particles (0–250 μm) for larger ones (500–850 μm) led to a decrease in tensile strength and Young’s modulus of rHDPE/GTR (65/35) by 8% (11.6 to 10.6 MPa) and 23% (156 to 119.3 MPa), respectively. Lower tensile properties for larger particles are attributed to more agglomeration and poor particle-particle/particle-matrix interaction of larger GTR particles (Figure 3 and Figure 4), resulting in stress concentration points and weak interfacial adhesion, increasing the probability of crack initiation and premature failure (easier crack propagation). It is clear that GTR contents below 50 wt.% contributed to higher tensile strength and Young’s modulus in agreement with similar observations in LDPE/GTR blends [23]. The effects of GTR particle size and blending composition on the elongation at break, as the most important parameter indicating the compatibility and homogeneity of TPE blends, are shown in Figure 7. Although GTR introduction led to a drop of the elongation at break of the neat rHDPE (1061%), increasing the GTR content from 20 to 65 wt.% led to a slight increase in plastic deformation, due to the presence of a more elastic phase inducing higher deformation/elasticity of the samples. Incorporation of small GTR particles resulted in higher elongation at break, but increasing the GTR particle size from 0–250 μm to 250–500 μm, and 500–850 μm for rHDPE/GTR (35/65) resulted in εb of 44.5% to 38.3% and 36.7%, respectively. However, the εb values are relatively low, which can be ascribed to the incompatibility and low affinity between the crosslinked recycled rubber and rHDPE with poor interfacial stress transfer. The presence of vulcanized (crosslinked) rubber particles as stress concentration points (crack initiation points) hindered the flow and mobility of rubber particles, as well as possible entanglement with thermoplastic molecules [7,24]. Wang et al. [7] reported a similar trend with an elongation at break of recycled PE/GTR (40/60) around 50%, due to the low homogeneity and poor interfacial adhesion between the phases leading to easy crack initiation and their fast propagation. Moreover, a high amount of contamination and impurities in recycled thermoplastic matrices (also generating cracks), as well as high shear force and elevated temperature during recycling/reprocessing (main chain degradation), can be responsible for the low plastic deformation of recycled TPE [7,25].
Figure 5.
Tensile strength of rHDPE/GTR blends. See Table 3 for definitions.
Figure 6.
Tensile modulus of rHDPE/GTR blends. See Table 3 for definitions.
Figure 7.
Elongation at break of rHDPE/GTR blends. See Table 3 for definitions.
It is found that the effect of filler particle size on tensile properties at lower GTR content (less than 50 wt.%) is more important, while poor interfacial interaction is the main factor controlling the tensile properties of TPE at higher GTR content [26]. Finally, particle sizes smaller than 500 μm produce better mechanical properties compared to larger ones attributed to the higher specific surface area of the former, promoting better interfacial stress transfer and interaction between GTR and rHDPE [11,27].
2.4.2. Flexural Modulus
The flexural modulus is presented in Figure 8. As expected, the values decrease with increasing GTR content as for the tensile modulus (Figure 6). For example, increasing the GTR content from 35 to 50 wt.% deceased the flexural modulus of G50S, G50M, and G50L by 33% (201.8 to 133.6 MPa), 35% (175.9 to 115.1 MPa), and 40% (164.9 to 98.1 MPa), respectively. This can be related to the presence of a low modulus GTR phase (low stiffness) in rHDPE and interfacial voids/defects inside the blends (Figure 3 and Figure 4). The mechanical properties strongly depend on the filler dispersion (GTR) and interfacial interaction controlled by both the GTR content and particle size. Lower flexural modulus is also observed by using larger GTR particle (500–850 μm). For example, the flexural modulus of G35S, G35M, and G35L is 201.8, 175.9, and 164.9 MPa, respectively. Again, higher flexural modulus using smaller particles is attributed to better interfacial interaction (higher specific surface area) between the small particles and the thermoplastic molecules leading to fewer structural defects.
Figure 8.
Flexural modulus of rHDPE/GTR blends. See Table 3 for definitions.
2.4.3. Impact Strength
Figure 9 presents the impact strength showing the effect of GTR content and particle size on toughness. The addition of GTR decreased the impact strength of the neat rHDPE (360 J/m), due to low compatibility between the recycled crosslinked rubber particles and the thermoplastic phase, since the rubber molecules do not have enough freedom to entangle with the rHDPE molecules and create strong bonding [28]. This behavior can also be related to the presence of carbon black, causing defect points inducing a split in the layer structure of the rHDPE/GTR blend, providing a shorter path for fracture propagation, producing lower impact strength [29]. Despite lower rHDPE toughness with GTR addition, increasing the recycled rubber content from 35 to 50 wt.% slightly improved by 14% (121.5 to 138.9 J/m) the toughness of blends filled with small GTR particles (0–250 μm). This can be attributed to the crosslinked structure of the GTR, making the particles more deformable to absorb more energy before crack initiation. In our case, smaller particles lead to an increased toughness. For instance, G35S showed higher impact strength (121.5 J/m) compared to G35M (107.6 J/m) and G35L (105.7 J/m). This can be explained by high interfacial tension between GTR and rHDPE leading to GTR particles cluster/agglomeration and the formation of voids around large GTR, increasing the number of defects, voids, and cracks. On the other hand, smaller GTR particles (higher specific surface area) were more easily dispersed into the matrix, and improved interaction was produced between GTR and rHDPE [21].
Figure 9.
Charpy impact strength of rHDPE/GTR blends. See Table 3 for definitions.
2.4.4. Hardness
In general, the hardness of a TPE compound is influenced by the elastic modulus and crosslink density of the rubber phase (GTR) [5]. Figure 10 shows that the variation of TPE hardness as a function of GTR content and particle size follows a similar trend to that of the modulus (Figure 6) [4,30]. A reduction in hardness (Shore A and Shore D) is observed as the rubber content increases from 20 to 65 wt.% for all GTR particle sizes attributed to the presence of a higher content of a soft elastomeric component (GTR) in the rigid matrix (rHDPE). For example, increasing the GTR content (0–250 μm) from 35 to 50 wt.% decreased the Shore A hardness by 3 points (from 98 to 95) and the Shore D by 4 points (61 to 57). The results also show that hardness increased along with the recycled rubber particle size for a fixed blend composition (50 wt.% GTR). Increasing the GTR particle size from 0–250 μm to 250–500 μm, and 500–850 μm resulted in lower hardness from 57 to 56 and 54 (Shore D), respectively. In agreement with similar reports, using small GTR particles (0–250 μm) produced higher hardness, due to higher chain mobility restriction and blended rigidity as a result of a more uniform filler distribution and better interfacial interaction of small particles (high surface area) with the matrix [31,32].
Figure 10.
Hardness (Shore A, D) of rHDPE/GTR blends. See Table 3 for definitions.
2.4.5. Dynamic Mechanical Analysis
The storage modulus curves as a function of temperature can help to understand the stiffness of the polymer blends with respect to phase morphology and interfacial bonding. The storage modulus indicates the maximum energy that can be stored in a period of time and reflects the rigidity of materials [33]. Figure 11 shows the storage modulus (E’) as a function of temperature to understand the effect of GTR content and particle size on the stiffness of rHDPE/GTR blends. As expected, the higher E’ of the matrix compared to the blends is attributed to a semi-crystalline structure of rHDPE and the presence of crystallites offering relatively high stiffness [34]. As shown in Figure 11, increasing the GTR content up to 65 wt.% decreased the E’, which is associated with material softening by including soft rubber particles (low elastic modulus) in the rigid matrix, inducing lower rigidity [35]. Moreover, incorporation of small GTR particles (0–250 μm) led to higher rigidity (E’), due to a more efficient stress transfer between the phases as a result of better interaction between small GTR particles and rHDPE (Figure 3 and Figure 4). As reported before, higher specific surface area of smaller GTR particles can reduce the interfacial tension between each phase resulting in better interfacial interaction and higher modulus [19].
Figure 11.
The storage modulus of rHDPE/GTR blends as a function of temperature. See Table 3 for definitions.
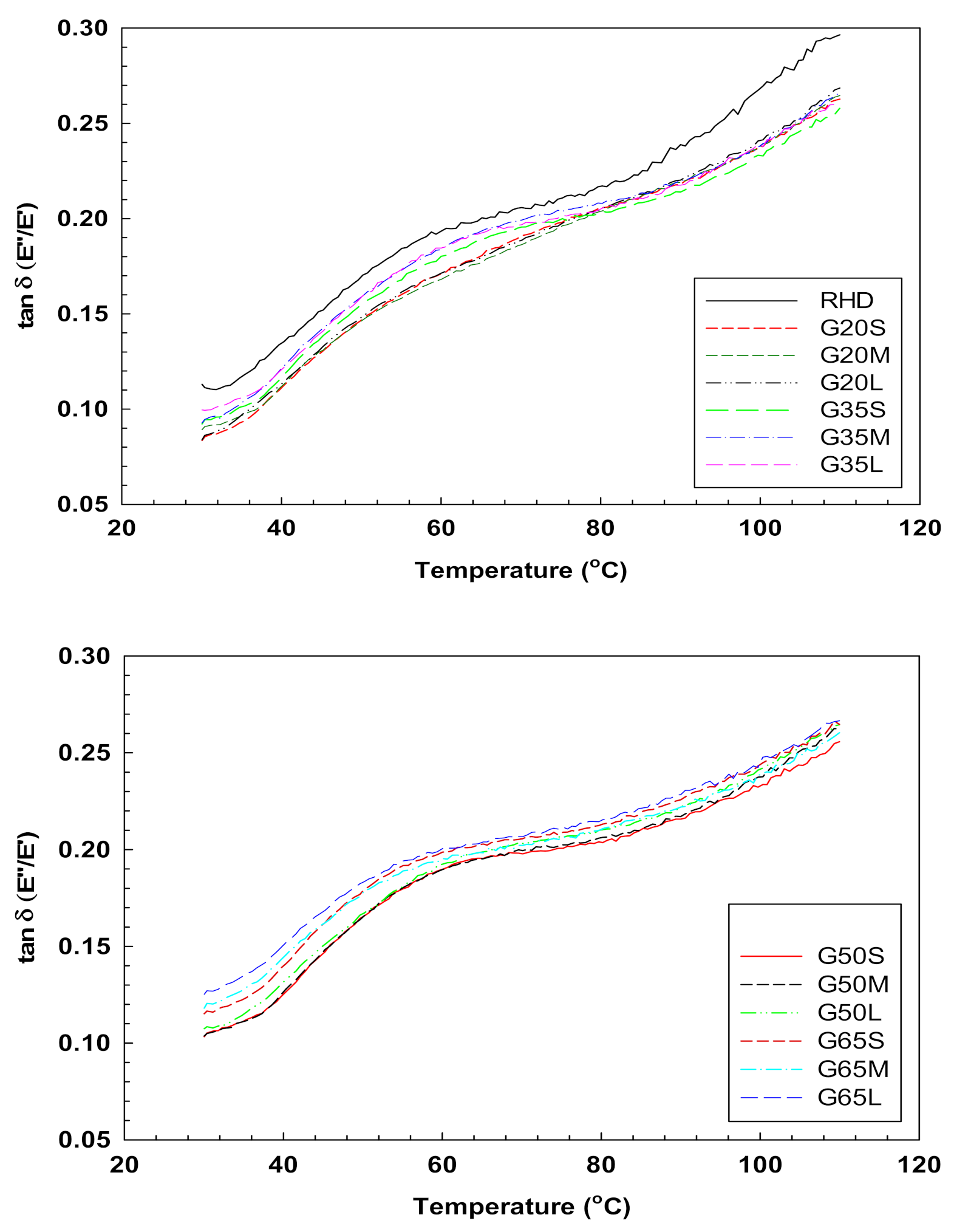
The variation of the loss tangent (tan δ) with temperature is shown in Figure 12. In general, damping is influenced by the quality of the blend interface and the friction or delamination resulting from the sliding of unbounded areas between the filler and the matrix [36]. As shown in Figure 12, higher GTR content (50 and 65 wt.%) led to a more viscous behavior implying improved damping properties. This observation implies that the rubber particles dissipate energy during the stress transfer from the matrix to GTR. Figure 12 also shows that for the same blend composition, incorporation of small GTR particles (0–250 μm) led to lower tan δ compared to larger particles (250–500 μm and 500–850 μm). The lower damping peak corresponds to a lower degree of molecular mobility, in agreement with the tensile (Figure 6) and flexural (Figure 8) moduli, as well as hardness trends (Figure 10) as small GTR particles effectively restrict the rubber molecular chains motion, and this reduces the elasticity of the compound generating friction between chains leading to more rigidity [37]. Such changes in dynamic mechanical properties with filler particle size align with tensile properties (see Figure 6).
Figure 12.
The damping factor of rHDPE/GTR blends as a function of temperature. See Table 3 for definitions.
3. Materials and Methods
3.1. Materials
The Post-consumer rHDPE was kindly provided by Gaudreau (Victoriaville, QC, Canada) and used as the matrix. This polymer has a melt flow index (MFI) of 1.3 g/10 min (at 190 °C and 2.16 kg) according to ASTM D1238. The density (ASTM D2856) and melting point (ASTM D3418) of the rHDPE are 0.967 g/cm3 and 129.5 °C, respectively. The GTR particles (manufactured through ambient mechanical grinding of tire rubber) were obtained from Phoenix Innovation Technologies (Montreal, QC, Canada) and used as received. The recycled rubber powder has a particle size distribution between 50 and 1000 μm with a density of 1.169 g/cm3.
3.2. Processing
The GTR powder was firstly separated by sieving into three categories: 0–250 μm (S: small), 250–500 μm (M: medium), and 500–850 μm (L: large). These particles were used to produce the rHDPE/GTR compounds with different GTR contents (0, 20, 35, 50, and 65 wt.%), as presented in Table 3.
Table 3.
Sample codes and formulations.
For sieving, about 300 g of GTR was placed in a series of sieves with mesh sizes of 60, 35, and 20, and shaken for 30 min to obtain the three different GTR ranges. Then, all the samples were compounded by melt blending rHDPE pellets with GTR particles using a twin-screw extruder (Leistritz ZSE-27, Nürnberg, Germany) with an L/D ratio of 40 and 10 heating zones (die diameter of 2.7 mm). The screw speed and side feeder were set at 100 rpm to get a total flow rate of 3 kg/h. The temperature profile was set at 175 °C for all zones to limit degradation, since the decomposition temperature of GTR starts around 190 °C [10]. The plastic pellets (rHDPE) were fed to the extruder through the first zone (main feeder), while GTR particles were fed to the side feeder (zone 4) to limit the effect of high viscosity at higher GTR content (high motor torque and die pressure). Next, the produced blends were cooled in a water bath and pelletized using a model 304 pelletizer (Conair, CA, USA) followed by drying at 70 °C for 6 h to eliminate any residual water. The sheets were produced via compression molding at 180 °C to prepare samples for further analysis. The compounds were preheated for 3 min without pressure followed by 5 min under pressing (3 tons) using an automatic compression molding press (Carver, AutoFour/1512-PL,H, 3893, IN, USA) with a mold dimension of 115 × 115 × 3 mm3.
3.3. Characterization
3.3.1. Melt Flow Index (MFI) and Specific Mechanical Energy
MFI measurement was done at 190 °C and 2.16 kg according to ASTM D1238, and the average values were reported after three repetitions for each sample.
The specific mechanical energy (J/g) was calculated as:
where ω is the screw speed (rpm), Tr is the torque (N⋅m), and is the mass flow rate of the material processed in g/min.
3.3.2. Morphological Observation
An Inspect F50 scanning electron microscope (SEM) (FEI, Hillsboro, OR, USA) was used at 15 kV to take micrographs of the raw materials and the blends. The samples were cryogenically fractured in liquid nitrogen, and the surface was coated with gold/palladium to be observed at different magnifications. GTR was also investigated by energy dispersive spectroscopy (EDS) using the same device to identify impurities (contamination).
3.3.3. Differential Scanning Calorimetry (DSC)
The melting and crystallization behaviors of the samples were recorded on a DSC7 (Perkin Elmer, MA, USA). About 5–10 mg was placed in an aluminum pan, and measurements were performed by heating from 50 to 200 °C at 10 °C/min under a nitrogen atmosphere, then cooling back to 50 °C at 10 °C/min. The melting temperature (Tm), crystallization temperature (Tc), and enthalpy of melting (ΔHm) of the samples were calculated from the maximum of the endothermic peak, the maximum of the exothermic peak, and the area under the endothermic peak, respectively. The crystallinity degree (X) was calculated as:
where φ is the weight fraction of recycled rubber in the blend, ΔHm is the melting enthalpy of the sample, and ΔHm0 is the melting enthalpy of 100% crystalline HDPE (285.8 J/g) [6].
3.3.4. Mechanical Testing
Tensile tests were conducted at room temperature according to ASTM D638 using a 500 N load cell and a strain rate of 10 mm/min on an Instron (Instron, Norwood, MA, USA) universal mechanical tester model 5565. At least five dog bone specimens (type V) with 3 mm thickness were used for each formulation. The averaged values of the tensile strength (σY), tensile modulus (E), and elongation at break (εb) are reported with their standard deviations.
Flexural tests were done on an Instron (Instron, Norwood, MA, USA) model 5565 with a 50 N load cell according to ASTM D790 at room temperature. Rectangular specimens with dimensions of 60 × 12.7 mm2 were tested with five repetitions for each formulation in a three-point bending mode (span length of 60 mm) at a speed of 2 mm/min.
Notched Charpy impact strength was measured on a Tinius Olsen (Horsham, PA, USA) model 104 at room temperature according to ASTM D256. At least 10 specimens with dimensions of 60 × 12.7 mm2 were used for each sample. Before testing, all the samples were automatically V-notched on a Dynisco (Franklin, MA, USA) model ASN 120m sample notcher 24 h before testing.
Hardness (Shore A and Shore D) was measured by using a 307L model durometer (PTC Instruments, Boston, MA, USA) with 10 measurements for each sample.
3.3.5. Dynamic Mechanical Analysis (DMA)
The RSA3 (TA Instruments, New Castle, DE, USA) was used with rectangular specimens having dimensions of 60 × 12.7 × 3 mm3 in the three-point bending mode (span of 40 mm). The linear viscoelastic range of the blends was studied first via strain sweeps, and then temperature ramps at a strain of 0.01% with a frequency of 1 Hz were performed between 30 and 110 °C at a heating rate of 3 °C/min. The storage modulus and damping factor (tan δ) results are presented to determine the behavior of each sample.
4. Conclusions
The incorporation of recycled rubber particles (GTR) into a recycled thermoplastic matrix (rHDPE) led to a decrease in the mechanical performance because of weak interfacial adhesion and insufficient interaction between the crosslinked rubber particles with the thermoplastic chains. In this work, samples were produced via continuous melt-mixing (twin-screw extruder) of rHDPE with different GTR particle sizes (0–250 μm, 250–500 μm, and 500–850 μm) over a range of concentration (0–65 wt.%). The results confirmed the effect of GTR particle size and concentration on the properties of recycled TPE blends. It was found that agglomeration of larger GTR particles (above 500 μm), especially at higher concentrations (above 50 wt.%), led to poor rubber dispersion and higher defects leading to lower mechanical properties. Due to their crosslinked network, GTR particles do not flow and agglomerate in the matrix, increasing the blend viscosity (lower MFI), leading to higher motor torque and die pressure loss in extrusion, especially for smaller particles (0–250 μm). Increasing the GTR content disorganized the crystalline structure of the thermoplastic resin, while using smaller GTR particles (0–250 μm) led to a higher melting temperature of the blends associated with close packing of the polymer chains and higher crystallinity of the blends correlating well with the higher tensile properties of rHDPE/GTR blends filled with smaller GTR. Scanning electron micrographs of the blends showed that smaller GTR (0–250 μm) had better interaction with the matrix (less voids/defects), due to their higher specific surface area. However, the introduction of larger GTR (250–500 μm and 500–850 μm) showed more defaults/cracks in the matrix, hence lower interfacial adhesion compared to similar blends filled with small GTR particles. The results indicated that all blends containing small GTR particles (0–250 μm) had higher tensile strength, Young’s modulus, flexural modulus, and elongation at break compared to samples produced based on larger GTR particles (250–500 μm and 500–850 μm). As the introduction of larger GTR particles induced higher defects (stress concentration points), the probability for crack initiation and propagation also led to lower toughness.
Based on our results, it is suggested that GTR particle size below 250 μm is the most suitable range to be used in melt mixing for producing TPE based on recycled GTR/rHDPE blends. This observation is related to the higher specific surface area (higher value and better contact) between the small rubber particles and the matrix. Moreover, the agglomeration of large particles inhibited their uniform dispersion which was the origin of TPE performance degradation. However, the smaller particle size showed marginal improvement of mechanical strength at high GTR content (above 50 wt.%), since incompatibility and poor interphase quality played a more significant role.
Author Contributions
Conceptualization, A.F. and D.R.; methodology, A.F.; validation, D.R.; formal analysis, A.F.; investigation, A.F.; resources, D.R.; data curation, D.R.; writing—original draft preparation, A.F.; writing—review and editing, D.R.; visualization, A.F.; supervision, D.R.; project administration, D.R.; funding acquisition, D.R. All authors have read and agreed to the published version of the manuscript.
Funding
This research was funded by the Natural Science and Engineering Research Council of Canada (NSERC).
Institutional Review Board Statement
Not applicable.
Informed Consent Statement
Not applicable.
Data Availability Statement
Data available upon request.
Acknowledgments
The authors acknowledge the financial support of the Natural Sciences and Engineering Research Council of Canada (NSERC) and the technical support of the Research Center on Advanced Materials (CERMA). Finally, the technical help of Yann Giroux was highly appreciated.
Conflicts of Interest
The authors declare no conflict of interest.
References
- Fazli, A.; Rodrigue, D. Waste Rubber Recycling: A review on the evolution and properties of thermoplastic elastomers. Materials 2020, 13, 782. [Google Scholar] [CrossRef] [Green Version]
- Karger-Kocsis, J.; Meszaros, L.; Bárány, T. Ground tyre rubber (GTR) in thermoplastics, thermosets, and rubbers. J. Mater. Sci. 2012, 48, 1–38. [Google Scholar] [CrossRef]
- Ramarad, S.; Khalid, M.; Ratnam, C.; Chuah, A.L.; Rashmi, W. Waste tire rubber in polymer blends: A review on the evolution, properties and future. Prog. Mater. Sci. 2015, 72, 100–140. [Google Scholar] [CrossRef]
- Egodage, S.; Harper, J.; Walpalage, S. The development of rubber-thermoplastic blends from ground tyre rubber and waste polypropylene. J. Natl. Sci. Found. Sri Lanka 2009, 37, 117. [Google Scholar] [CrossRef]
- Fazli, A.; Rodrigue, D. Recycling Waste Tires into Ground Tire Rubber (GTR)/Rubber Compounds: A Review. J. Compos. Sci. 2020, 4, 103. [Google Scholar] [CrossRef]
- Esmizadeh, E.; Bakhshandeh, G.R.; Fasaie, M.R.; Ahmadi, S.; Naderi, G. Reactively compatibilized and dynamically vulcanized thermoplastic elastomers based on high-density polyethylene and reclaimed rubber. Polym. Sci. Ser. B 2017, 59, 362–371. [Google Scholar] [CrossRef]
- Wang, Y.-H.; Chen, Y.-K.; Rodrigue, D. Production of Thermoplastic Elastomers Based on Recycled PE and Ground Tire Rubber: Morphology, Mechanical Properties and Effect of Compatibilizer Addition. Int. Polym. Process. 2018, 33, 525–534. [Google Scholar] [CrossRef]
- Zhang, X.; Chen, C.; Lu, C. High-Density Polyethylene/Ground Tyre Rubber Blends: Effective Dispersion and Mechanical Property Enhancement through Solid-State Mechanochemical Milling. Prog. Rubber Plast. Recycl. Technol. 2012, 28, 81–94. [Google Scholar] [CrossRef]
- Mujal-Rosas, R.; Marin-Genesca, M.; Orrit-Prat, J.; Rahhali, A.; Colom-Fajula, X. Dielectric, mechanical, and thermal charac-terization of high-density polyethylene composites with ground tire rubber. J. Thermoplast. Compos. Mater. 2012, 25, 537–559. [Google Scholar] [CrossRef]
- Kakroodi, A.R.; Rodrigue, D. Highly filled thermoplastic elastomers from ground tire rubber, maleated polyethylene and high density polyethylene. Plast. Rubber Compos. 2013, 42, 115–122. [Google Scholar] [CrossRef]
- Mujal-Rosas, R.; Orrit-Prat, J.; Ramis-Juan, X.; Marín-Genescà, M.; Rahhali, A. Study on dielectric, thermal, and mechanical properties of the ethylene vinyl acetate reinforced with ground tire rubber. J. Reinf. Plast. Compos. 2011, 30, 581–592. [Google Scholar] [CrossRef]
- Alshukri, A.A.; Faieza, A.A.; Sapuan, S.M.; Nuraini, A.A.; Al-Maamori, M.; Zageer, D.S. Effect of Crumb Rubber Content and Particle Size on the Mechanical and Rheological Properties of Passenger Tyre Tread Composite. J. Eng. Appl. Sci. 2017, 12, 232–238. [Google Scholar]
- Han, S.-C.; Han, M.-H. Fracture behavior of NR and SBR vulcanizates filled with ground rubber having uniform particle size. J. Appl. Polym. Sci. 2002, 85, 2491–2500. [Google Scholar] [CrossRef]
- Ratnam, C.T.; Malaysia Nuclear Agency (Nuclear Malaysia); Ramarad, S.; Khalid, M.; Noraini, N. Effect of Pre-Irradiation of Waste Tire Dust on the Properties of Ethylene Vinyl Acetate/Waste Tire Dust Blend (EVA/WTD) Blends. J. Compos. Biodegrad. Polym. 2013, 1, 16–22. [Google Scholar] [CrossRef]
- Colom, X.; Cañavate, J.; Carrillo-Navarrete, F.; Suñol, J. Effect of the particle size and acid pretreatments on compatibility and properties of recycled HDPE plastic bottles filled with ground tyre powder. J. Appl. Polym. Sci. 2009, 112, 1882–1890. [Google Scholar] [CrossRef]
- Adhikari, J.; Das, A.; Sinha, T.; Saha, P.; Kim, J.K. Grinding of Waste Rubber. In Rubber Recycling: Challenges and Developments; The Royal Society of Chemistry: London, UK, 2018. [Google Scholar]
- Fazli, A.; Rodrigue, D. Morphological and Mechanical Properties of Thermoplastic Elastomers Based on Recycled High Densi-ty Polyethylene and Recycled Natural Rubber. Intern. Polym. Process 2021, 36, 156–164. [Google Scholar] [CrossRef]
- Egodage, S.M.; Harper, J.F.; Walpalage, S. ground tyre rubber/waste polypropylene blends–effect of composition on mechanical properties. Prog. Rubber Plast. Recycl. Technol. 2009, 25, 213–231. [Google Scholar] [CrossRef]
- Abbas-Abadi, M.S.; Haghighi, M.N.; Yeganeh, H.; Bozorgi, B. The effect of melt flow index, melt flow rate, and particle size on the thermal degradation of commercial high density polyethylene powder. J. Therm. Anal. Calorim. 2013, 114, 1333–1339. [Google Scholar] [CrossRef]
- Ismail, H.; Awang, M.; Hazizan, M.A. Effect of waste tire dust (wtd) size on the mechanical and morphological properties of polypropylene/waste tire dust (pp/wtd) blends. Polym. Technol. Eng. 2006, 45, 463–468. [Google Scholar] [CrossRef]
- Tantayanon, S.; Juikham, S. Enhanced toughening of poly(propylene) with reclaimed-tire rubber. J. Appl. Polym. Sci. 2003, 91, 510–515. [Google Scholar] [CrossRef]
- Meysami, M. A Study of Scrap Rubber Devulcanization and Incorporation of Devulcanized Rubber into Virgin Rubber Compound. Ph.D. Thesis, University of Waterloo, Waterloo, ON, Canada, 2012. [Google Scholar]
- Shaker, R.; Rodrigue, D. Rotomolding of Thermoplastic Elastomers Based on Low-Density Polyethylene and Recycled Natural Rubber. Appl. Sci. 2019, 9, 5430. [Google Scholar] [CrossRef] [Green Version]
- Meszaros, L.; Tábi, T.; Kovacs, J.G.; Bárány, T. The effect of EVA content on the processing parameters and the mechanical properties of LDPE/ground tire rubber blends. Polym. Eng. Sci. 2008, 48, 868–874. [Google Scholar] [CrossRef]
- Grigoryeva, O.; Fainleb, A.M.; Shumskii, V.F.; Vilenskii, V.A.; Kozak, N.; Babkina, N.V. The Effect of multi-reprocessing on the structure and characteristics of thermoplastic elastomers based on recycled polymers. Polym. Sci. Ser. A 2009, 51, 216–225. [Google Scholar] [CrossRef]
- Hassan, M.M.; Aly, R.O.; Aal, S.A.; El-Masry, A.M.; Fathy, E. Mechanochemical devulcanization and gamma irradiation of devulcanized waste rubber/high density polyethylene thermoplastic elastomer. J. Ind. Eng. Chem. 2013, 19, 1722–1729. [Google Scholar] [CrossRef]
- Karaağaç, B.; Turan, H.O.; Oral, D.D. Use of ground EPDM wastes in EPDM-based rubber compounds: With and without compatibilization. J. Elastomers Plast. 2015, 47, 117–135. [Google Scholar] [CrossRef]
- Kakroodi, A.R.; Kazemi, Y.; Rodrigue, D. Mechanical, rheological, morphological and water absorption properties of maleated polyethylene/hemp composites: Effect of ground tire rubber addition. Compos. Part B Eng. 2013, 51, 337–344. [Google Scholar] [CrossRef]
- Punnarak, P.; Tantayanon, S.; Tangpasuthadol, V. Dynamic vulcanization of reclaimed tire rubber and high density polyethylene blends. Polym. Degrad. Stab. 2006, 91, 3456–3462. [Google Scholar] [CrossRef]
- Lima, P.; Oliveira, J.; Costa, V. Partial replacement of EPDM by GTR in thermoplastic elastomers based on PP/EPDM: Effects on morphology and mechanical properties. J. Appl. Polym. Sci. 2013, 131, 131. [Google Scholar] [CrossRef]
- Sanjay, O.S. Effect of Crumb-rubber Particle Size on the Mechanical Response of Polyurethane Foam Composites. Ph.D. Thesis, Oklahoma State University, Stillwater, OK, USA, 2014. [Google Scholar]
- Herrero, S.; Mayor, P.; Hernández-Olivares, F. Influence of proportion and particle size gradation of rubber from end-of-life tires on mechanical, thermal and acoustic properties of plaster–rubber mortars. Mater. Des. 2013, 47, 633–642. [Google Scholar] [CrossRef] [Green Version]
- Moghaddamzadeh, S.; Rodrigue, D. Rheological characterization of polyethylene/polyester recycled tire fibers/ground tire rubber composites. J. Appl. Polym. Sci. 2018, 135, 46563. [Google Scholar] [CrossRef]
- Saleesung, T.; Saeoui, P.; Sirisinha, C. Mechanical and thermal properties of thermoplastic elastomer based on low density polyethylene and ultra-fine fully-vulcanized acrylonitrile butadiene rubber powder (UFNBRP). Polym. Test. 2010, 29, 977–983. [Google Scholar] [CrossRef]
- Moghaddamzadeh, S.; Rodrigue, D. The effect of polyester recycled tire fibers mixed with ground tire rubber on polyethylene composites. Part II. Prog. Rubber, Plast. Recycl. Technol. 2018, 34, 128–142. [Google Scholar] [CrossRef]
- Zhao, X.; Hu, H.; Zhang, D.; Zhang, Z.; Peng, S.; Sun, Y. Curing behaviors, mechanical properties, dynamic mechanical analysis and morphologies of natural rubber vulcanizates containing reclaimed rubber. e-Polymers 2019, 19, 482–488. [Google Scholar] [CrossRef]
- Pal, K.; Pal, S.; Das, C.; Kim, J.K. Relationship between normal load and dynamic co-efficient of friction on rock-rubber wear mechanism. Mater. Des. 2010, 31, 4792–4799. [Google Scholar] [CrossRef]
Publisher’s Note: MDPI stays neutral with regard to jurisdictional claims in published maps and institutional affiliations. |
© 2021 by the authors. Licensee MDPI, Basel, Switzerland. This article is an open access article distributed under the terms and conditions of the Creative Commons Attribution (CC BY) license (https://creativecommons.org/licenses/by/4.0/).











