Solid Electrolytes in the N-Propyl-N-methyl-pyrrolidinium Tetrafluoroborate—Lithium Tetrafluoroborate System
Abstract
1. Introduction
2. Materials and Methods

3. Results and Discussion
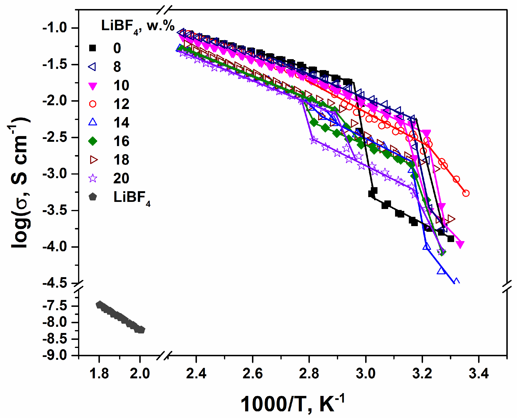
3.1. Thermal Properties, Conductivity and Crystal Structure
- at 0 < x < 0.40, there are eutectics with an eutectic temperature of 35 °C and the eutectic point near x = 0.12. The eutectics are formed by [N13pyr]BF4 and a new compound corresponding to x = 0.40 or to the composition with the formula 3[N13pyr]BF4·2LiBF4.
- at 0.40 < x < 1, the diagram relates to the peritectic type, with a peritectic temperature of nearly 80 °C. Above the peritectic temperature, the compound 3[N13pyr]BF4·2LiBF4 incongruently melts with the formation of liquid-phase [N13pyr]BF4-LiBF4 and solid LiBF4.
3.2. Electrochemical Studies
4. Conclusions
Author Contributions
Funding
Data Availability Statement
Acknowledgments
Conflicts of Interest
References
- Zhang, S.; Lu, X.; Zhou, Q.; Li, X.; Zhang, X.; Li, S. Ionic Liquids. Physicochemical Properties, 1st ed.; Elsevier: Amsterdam, The Netherlands, 2009. [Google Scholar]
- Tiago, G.A.O.; Matias, I.A.S.; Ribeiro, A.P.C.; Martins, L.M.D.R.S. Application of Ionic Liquids in Electrochemistry—Recent Advances. Molecules 2020, 25, 5812. [Google Scholar] [CrossRef] [PubMed]
- Martins, V.L.; Torresi, R.M. Ionic liquids in electrochemical energy storage. Curr. Opin. Electrochem. 2018, 9, 26–32. [Google Scholar] [CrossRef]
- MacFarlane, D.R.; Forsyth, M. Plastic Crystal Electrolyte Materials: New Perspectives on Solid State Ionics. Adv. Mater. 2001, 13, 957–966. [Google Scholar] [CrossRef]
- Wang, X.; Kerr, R.; Chen, F.; Goujon, N.; Pringle, J.M.; Mecerreyes, D.; Forsyth, M.; Howlett, P.C. Toward High-Energy-Density Lithium Metal Batteries: Opportunities and Challenges for Solid Organic Electrolytes. Adv. Mater. 2020, 32, e1905219. [Google Scholar] [CrossRef] [PubMed]
- Timmermans, J. Plastic crystals: A historical review. J. Phys. Chem. Solids 1961, 18, 1–8. [Google Scholar] [CrossRef]
- Uvarov, N.F.; Iskakova, A.A.; Bulina, N.V.; Gerasimov, K.B.; Slobodyuk, A.B.; Kavun, V.Y. Ion conductivity of the plastic phase of the organic salt [(C4H9)4N]BF4. Russ. J. Electrochem. 2015, 51, 491–494. [Google Scholar] [CrossRef]
- Iskakova, A.A.; Ulikhin, A.S.; Uvarov, N.; Gerasimov, K.B.; Mateishina, Y.G. Comparative study of the ion conductivities of substituted tetrabutylammonium salts (C4H9)4N]BF4 and [(C4H9)4N]Br. Russ. J. Electrochem. 2017, 53, 880–883. [Google Scholar] [CrossRef]
- Uvarov, N.F.; Asanbaeva, N.B.; Ulihin, A.S.; Mateyshina, Y.G.; Gerasimov, K.B. Thermal Properties and Ionic Conductivity of Tetra-n-Butylammonium Perchlorate. Crystals 2022, 12, 515. [Google Scholar] [CrossRef]
- Armel, V.; Velayutham, D.; Sun, J.; Howlett, P.C.; Forsyth, M.; MacFarlane, D.R.; Pringle, J.M. Ionic liquids and organic ionic plastic crystals utilizing small phosphonium cations. J. Mater. Chem. 2011, 21, 7640–7650. [Google Scholar] [CrossRef]
- Enomoto, T.; Kanematsu, S.; Tsunashima, K.; Matsumoto, K.; Hagiwara, R. Physicochemical properties and plastic crystal structures of phosphonium fluorohydrogenate salts. Phys. Chem. Chem. Phys. 2011, 13, 12536–12544. [Google Scholar] [CrossRef]
- Moriya, M.; Watanabe, T.; Nabeno, S.; Sakamoto, W.; Yogo, T. Crystal structure and solid-state ionic conductivity of cyclic sulfonylamide salts with cyano-substituted quaternary ammonium cations. Chem. Letts. 2014, 43, 108–110. [Google Scholar] [CrossRef]
- Matsumoto, H.; Yanagida, M.; Tanimoto, K.; Nomura, M.; Kitagawa, Y.; Miyazaki, Y. Highly Conductive Room Temperature Molten Salts Based on Small Trimethylalkylammonium Cations and Bis(trifluoromethylsulfonyl)imide. Chem. Lett. 2000, 29, 922–923. [Google Scholar] [CrossRef]
- Howlett, P.; MacFarlane, D.; Hollenkamp, A.F. High Lithium Metal Cycling Efficiency in a Room-Temperature Ionic Liquid. Electrochem. Solid-State Lett. 2004, 7, A97–A101. [Google Scholar] [CrossRef]
- McCallum, R.; Barghamadi, M.; Forsyth, C.; Hollenkamp, A.F.; Oldham, G.; Mahon, P.J.; Rüther, T. Comparing the Physicochemical, Electrochemical, and Structural Properties of Boronium versus Pyrrolidinium Cation-Based Ionic Liquids and Their Performance as Li-Ion Battery Electrolytes. J. Phys. Chem. C 2021, 125, 8055–8067. [Google Scholar] [CrossRef]
- Efthimiadis, J.; Pas, S.J.; Forsyth, M.; MacFarlane, D.R. Structure and transport properties in an N,N-substituted pyrrolidinium tetrafluoroborate plastic crystal system. Solid State Ionics 2002, 154–155, 279–284. [Google Scholar] [CrossRef]
- Pringle, J.M.; Adebahr, J.; MacFarlane, D.R.; Forsyth, M. Unusual phase behaviour of the organic ionic plastic crystal N,N-dimethylpyrrolidinium tetrafluoroborate. Phys. Chem. Chem. Phys. 2010, 12, 7234–7240. [Google Scholar] [CrossRef]
- Pringle, J.M. Recent progress in the development and use of organic ionic plastic crystal electrolytes. Phys. Chem. Chem. Phys. 2013, 15, 1339–1351. [Google Scholar] [CrossRef]
- Taniki, R.; Matsumoto, K.; Nohira, T.; Hagiwara, R. All solid-state electrochemical capacitors using N,N-dimethylpyrrolidinium fluorohydrogenate as ionic plastic crystal electrolyte. J. Power Sources 2014, 245, 758–763. [Google Scholar] [CrossRef]
- Howlett, P.C.; Sunarso, J.; Shekibi, Y.; Wasser, E.; Jin, L.; MacFarlane, D.; Forsyth, M. On the use of organic ionic plastic crystals in all solid-state lithium metal batteries. Solid State Ionics 2011, 204-205, 73–79. [Google Scholar] [CrossRef]
- Alarco, P.-J.; Abu-Lebdeh, Y.; Ravet, N.; Armand, M. Lithium conducting pyrazolium imides plastic crystals: A new solid state electrolyte matrix. Solid State Ionics 2004, 172, 53–56. [Google Scholar] [CrossRef]
- Forsyth, M.; Huang, J.; MacFarlane, D.R. Lithium doped N-methyl-N-ethylpyrrolidinium bis(trifluoromethanesulfonyl)amide fast-ion conducting plastic crystals. J. Mater. Chem. 2000, 10, 2259–2265. [Google Scholar] [CrossRef]
- Shekibi, Y.; Rüther, T.; Huang, J.; Hollenkamp, A.F. Realisation of an all solid state lithium battery using solid high temperature plastic crystal electrolytes exhibiting liquid like conductivity (c2mpyrBF4-LiBF4). Phys. Chem. Chem. Phys. 2012, 14, 4597–4604. [Google Scholar] [CrossRef] [PubMed]
- Long, S.M.D.R.; Macfarlane, D.R.; Forsyth, M. Fast ion conduction in molecular plastic crystals. Solid State Ionics 2003, 161, 105–112. [Google Scholar] [CrossRef]
- Jin, L.; Howlett, P.; Efthimiadis, J.; Kar, M.; Macfarlane, D.; Forsyth, M. Lithium doped N,N-dimethyl pyrrolidinium tetrafluoroborate organic ionic plastic crystal electrolytes for solid state lithium batteries. J. Mater. Chem. 2011, 21, 10171–10178. [Google Scholar] [CrossRef]
- Iranipour, N.; Gunzelmann, D.J.; Seeber, A.; Vongsvivut, J.; Doherty, C.; Ponzio, F.; O’Dell, L.A.; Hollenkamp, A.F.; Forsyth, M.; Howlett, P.C. Ionic transport through a composite structure of N-ethyl-N-methylpyrrolidinium tetrafluoroborate organic ionic plastic crystals reinforced with polymer nanofibres. J. Mater. Chem. A 2015, 3, 6038–6052. [Google Scholar] [CrossRef]
- Forsyth, S.; Golding, J.; MacFarlane, D.; Forsyth, M. N-methyl-N-alkylpyrrolidinium tetrafluoroborate salts: Ionic solvents and solid electrolytes. Electrochimica Acta 2001, 46, 1753–1757. [Google Scholar] [CrossRef]
- Zhou, Q.; Boyle, P.D.; Malpezzi, L.; Mele, A.; Shin, J.-H.; Passerini, S.; Henderson, W.A. Phase Behavior of Ionic Liquid–LiX Mixtures: Pyrrolidinium Cations and TFSI− Anions–Linking Structure to Transport Properties. Chem. Mater. 2011, 23, 4331–4337. [Google Scholar] [CrossRef]
- Matsumoto, K.; Hagiwara, R.; Tamada, O. Coordination environment around the lithium cation in solid Li2(EMIm)(N(SO2CF3)2)3 (EMIm=1-ethyl-3-methylimidazolium): Structural clue of ionic liquid electrolytes for lithium batteries. Solid State Sci. 2006, 8, 1103–1107. [Google Scholar] [CrossRef]
- Henderson, W.A.; Seo, D.M.; Zhou, Q.; Boyle, P.D.; Shin, J.-H.; De Long, H.C.; Trulove, P.C.; Passerini, S. An Alternative Ionic Conductivity Mechanism for Plastic Crystalline Salt-Lithium Salt Electrolyte Mixtures. Adv. Energy Mater. 2012, 2, 1343–1350. [Google Scholar] [CrossRef]
- Howlett, P.C.; Shekibi, Y.; Macfarlane, D.R.; Forsyth, M. Li-Metal Symmetrical Cell Studies Using Ionic Organic Plastic Crystal Electrolyte. Adv. Eng. Mater. 2009, 11, 1044–1048. [Google Scholar] [CrossRef]
- Bondarenko, A.S.; Ragoisha, G.A. Inverse problem in potentiodynamic electrochemical impedance. In Progress in Chemometrics Research; Pomerantsev, A.L., Ed.; Nova Science Publishers: New York, NY, USA, 2005; pp. 89–102. [Google Scholar]







| Parameter | Before Cycling | After Cycling |
|---|---|---|
| Re, Ohm | 43 ± 2 | 49 ± 4 |
| R1, Ohm | 270 ± 10 | 400 ± 20 |
| Y10, S1−n1 | 4.5·10−7 ± 0.3·10−7 | 4.5·10−7 ± 0.4·10−7 |
| n1 | 0.645 ± 0.013 | 0.607 ± 0.011 |
| R2, kOhm | 0.77 ± 0.02 | 2.26 ± 0.05 |
| Y20, S1−n2 | 3.6·10−6 ± 0.4·10−6 | 1.9·10−6 ± 0.3·10−6 |
| n2 | 0.669 ± 0.008 | 0.649 ± 0.011 |
| W0, Ohm0.5 | 1.35·104 ± 0.9·104 | 2.67·104 ± 1.6·104 |
| Cg, pF | 79 ± 12 | 37 ± 23 |
Disclaimer/Publisher’s Note: The statements, opinions and data contained in all publications are solely those of the individual author(s) and contributor(s) and not of MDPI and/or the editor(s). MDPI and/or the editor(s) disclaim responsibility for any injury to people or property resulting from any ideas, methods, instructions or products referred to in the content. |
© 2023 by the authors. Licensee MDPI, Basel, Switzerland. This article is an open access article distributed under the terms and conditions of the Creative Commons Attribution (CC BY) license (https://creativecommons.org/licenses/by/4.0/).
Share and Cite
Ulihin, A.; Novozhilov, D.; Uvarov, N. Solid Electrolytes in the N-Propyl-N-methyl-pyrrolidinium Tetrafluoroborate—Lithium Tetrafluoroborate System. Batteries 2023, 9, 167. https://doi.org/10.3390/batteries9030167
Ulihin A, Novozhilov D, Uvarov N. Solid Electrolytes in the N-Propyl-N-methyl-pyrrolidinium Tetrafluoroborate—Lithium Tetrafluoroborate System. Batteries. 2023; 9(3):167. https://doi.org/10.3390/batteries9030167
Chicago/Turabian StyleUlihin, Artem, Dmitry Novozhilov, and Nikolai Uvarov. 2023. "Solid Electrolytes in the N-Propyl-N-methyl-pyrrolidinium Tetrafluoroborate—Lithium Tetrafluoroborate System" Batteries 9, no. 3: 167. https://doi.org/10.3390/batteries9030167
APA StyleUlihin, A., Novozhilov, D., & Uvarov, N. (2023). Solid Electrolytes in the N-Propyl-N-methyl-pyrrolidinium Tetrafluoroborate—Lithium Tetrafluoroborate System. Batteries, 9(3), 167. https://doi.org/10.3390/batteries9030167

