Homoconjugation Mediated Spin-Spin Coupling in Triptycene Nitronyl Nitroxide Diradicals
Abstract
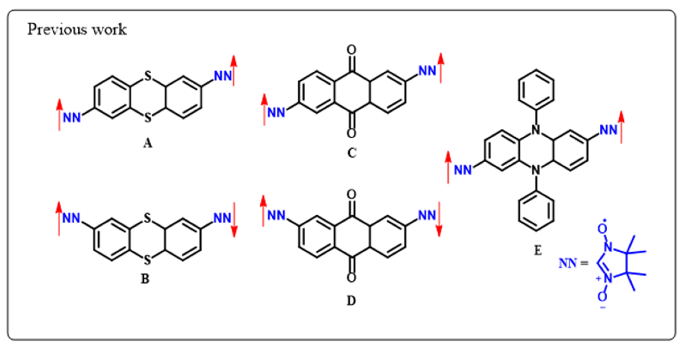
1. Introduction
2. Materials and Methods
3. Results
3.1. Optical Properties
3.2. Electron Paramagnetic Resonance Spectroscopy
3.3. Magnetic Studies
3.4. X-ray Crystallography
3.5. Computational Studies
4. Conclusions
Supplementary Materials
Author Contributions
Funding
Institutional Review Board Statement
Informed Consent Statement
Data Availability Statement
Acknowledgments
Conflicts of Interest
References
- Xu, X.; Takebayashi, S.; Hanayama, H.; Vasylevskyi, S.; Onishi, T.; Ohto, T.; Tada, H.; Narita, A. 6,6′-Biindeno[1,2-b]anthracene: An Open-Shell Biaryl with High Diradical Character. J. Am. Chem. Soc. 2023, 145, 3891–3896. [Google Scholar] [CrossRef] [PubMed]
- Shimizu, A.; Morikoshi, T.; Sugisaki, K.; Shiomi, D.; Sato, K.; Takui, T.; Shintani, R. Synthesis and Isolation of a Kekulé Hydrocarbon with a Triplet Ground State. Angew. Chem. Int. Ed. 2022, 61, e202205729. [Google Scholar] [CrossRef]
- Morita, Y.; Nishida, S.; Murata, T.; Moriguchi, M.; Ueda, A.; Satoh, M.; Arifuku, K.; Sato, K.; Takui, T. Organic tailored batteries materials using stable open-shell molecules with degenerate frontier orbitals. Nat. Mater. 2011, 10, 947–951. [Google Scholar] [CrossRef] [PubMed]
- Wang, S.; Easley, A.D.; Lutkenhaus, J.L. 100th Anniversary of Macromolecular Science Viewpoint: Fundamentals for the Future of Macromolecular Nitroxide Radicals. ACS Macro Lett. 2020, 9, 358–370. [Google Scholar] [CrossRef] [PubMed]
- Miller, J.S. Magnetically ordered molecule-based materials. Chem. Soc. Rev. 2011, 40, 3266–3296. [Google Scholar] [CrossRef]
- Abe, M. Diradicals. Chem. Rev. 2013, 113, 7011–7088. [Google Scholar] [CrossRef]
- Xu, T.; Han, Y.; Shen, Z.; Hou, X.; Jiang, Q.; Zeng, W.; Ng, P.W.; Chi, C. Antiaromatic Dicyclopenta[b,g]/[a,f]naphthalene Isomers Showing an Open-Shell Singlet Ground State with Tunable Diradical Character. J. Am. Chem. Soc. 2021, 143, 20562–20568. [Google Scholar] [CrossRef]
- Sun, Z.; Ye, Q.; Chi, C.; Wu, J. Low band gap polycyclic hydrocarbons: From closed-shell near infrared dyes and semiconductors to open-shell radicals. Chem. Soc. Rev. 2012, 41, 7857–7889. [Google Scholar] [CrossRef]
- Ghirri, A.; Candini, A.; Affronte, M. Molecular Spins in the Context of Quantum Technologies. Magnetochemistry 2017, 3, 12. [Google Scholar] [CrossRef]
- Gertz, I. Likhtenshtein. In Nitroxides: Brief History, Fundamentals, and Recent Developments; Springer Nature: Basel, Switzerland, 2020. [Google Scholar]
- Paul, A.; Gupta, A.; Konar, S. Magnetic Transition in Organic Radicals: The Crystal Engineering Aspects. Cryst. Growth Des. 2021, 21, 5473–5489. [Google Scholar] [CrossRef]
- Paul, A.; Nasani, R.; Mondal, A.; Roy, S.; Vela, S.; Konar, S. Reversible Magnetic Transition in a Bench-Stable Radical Cation Triggered by Structural Transition in the Magnetically Silent Counteranion. Cryst. Growth Des. 2020, 20, 6296–6301. [Google Scholar] [CrossRef]
- Li, T.; Tan, G.; Shao, D.; Li, J.; Zhang, Z.; Song, Y.; Sui, Y.; Chen, S.; Fang, Y.; Wang, X. Magnetic Bistability in a Discrete Organic Radical. J. Am. Chem. Soc. 2016, 138, 10092–10095. [Google Scholar] [CrossRef] [PubMed]
- Taponen, A.I.; Ayadi, A.; Lahtinen, M.K.; Oyarzabal, I.; Bonhommeau, S.; Rouzières, M.; Mathonière, C.; Tuononen, H.M.; Clérac, R.; Mailman, A. Room-Temperature Magnetic Bistability in a Salt of Organic Radical Ions. J. Am. Che. Soc. 2021, 143, 15912–15917. [Google Scholar] [CrossRef]
- Buchachenko, L. Magneto-Biology and Medicine; Nova Science: Hauppauge, NY, USA, 2014. [Google Scholar]
- Pierro, A.; Drescher, M. Dance with spins: Site-directed spin labeling coupled to electron paramagnetic resonance spectroscopy directly inside cells. Chem. Commun. 2023, 59, 1274–1284. [Google Scholar] [CrossRef] [PubMed]
- Günther, K.; Grabicki, N.; Battistella, B.; Grubert, L.; Dumele, O. An All-Organic Photochemical Magnetic Switch with Bistable Spin States. J. Am. Chem. Soc. 2022, 144, 8707–8716. [Google Scholar] [CrossRef]
- Ravat, P.; Marszalek, T.; Pisula, W.; Mullen, K.; Baumgarten, M. Positive magneto-LC effect in conjugated spin-bearing hexabenzocoronene. J. Am. Chem. Soc. 2014, 136, 12860–12863. [Google Scholar] [CrossRef]
- Sugawara, T.; Komatsu, H.; Suzuki, K. Interplay between magnetism and conductivity derived from spin-polarized donor radicals. Chem. Soc. Rev. 2011, 40, 3105–3118. [Google Scholar] [CrossRef]
- Shimizu, D.; Osuka, A. A Benzene-1,3,5-Triaminyl Radical Fused with Zn(II)-Porphyrins: Remarkable Stability and a High-Spin Quartet Ground State. Angew. Chem. Int. Ed. 2018, 57, 3733–3736. [Google Scholar] [CrossRef] [PubMed]
- Ravat, P.; Borozdina, Y.; Ito, Y.; Enkelmann, V.; Baumgarten, M. Crystal Engineering of Tolane Bridged Nitronyl Nitroxide Biradicals: Candidates for Quantum Magnets. Cryst. Growth Des. 2014, 14, 5840–5846. [Google Scholar] [CrossRef]
- Kolanji, K.; Postulka, L.; Wolf, B.; Lang, M.; Schollmeyer, D.; Baumgarten, M. Planar Benzo[1,2-b:4,5-b′]dithiophene Derivatives Decorated with Nitronyl and Imino Nitroxides. J. Org. Chem. 2019, 84, 140–149. [Google Scholar] [CrossRef]
- Akpinar, H.; Schlueter, J.A.; Allão Cassaro, R.A.; Friedman, J.R.; Lahti, P.M. Rigid Core Anthracene and Anthraquinone Linked Nitronyl and Iminoyl Nitroxide Biradicals. Cryst. Growth Des. 2016, 16, 4051–4059. [Google Scholar] [CrossRef]
- Borozdina, Y.B.; Mostovich, E.; Enkelmann, V.; Wolf, B.; Cong, P.T.; Tutsch, U.; Lang, M.; Baumgarten, M. Interacting networks of purely organic spin–1/2 dimers. J. Mater. Chem. C 2014, 2, 6618–6629. [Google Scholar] [CrossRef]
- Seber, G.; Freitas, R.S.; Oliveira, N.F.; Lahti, P.M. Crystal Packing and Magnetism in Phenolic Nitronylnitroxides: 2-(3′,5′-Dimethoxy-4′-hydroxyphenyl)-4,4,5,5-tetramethyl-4,5-dihydro-1H-imidazole-1-oxyl. Cryst. Growth Des. 2012, 13, 893–900. [Google Scholar] [CrossRef]
- Gaudenzi, R.; de Bruijckere, J.; Reta, D.; Moreira, I.P.R.; Rovira, C.; Veciana, J.; van der Zant, H.S.J.; Burzuri, E. Redox-Induced Gating of the Exchange Interactions in a Single Organic Diradical. ACS Nano 2017, 11, 5879–5883. [Google Scholar] [CrossRef] [PubMed]
- Ueda, A.; Nishida, S.; Fukui, K.; Ise, T.; Shiomi, D.; Sato, K.; Takui, T.; Nakasuji, K.; Morita, Y. Three-dimensional intramolecular exchange interaction in a curved and nonalternant π-conjugated system: Corannulene with two phenoxyl radicals. Angew. Chem. Int. Ed. 2010, 49, 1678–1682. [Google Scholar] [CrossRef] [PubMed]
- Aboaku, S.; Paduan-Filho, A.; Bindilatti, V.; Oliveira, N.F.; Schlueter, J.A.; Lahti, P.M. Aminophenylnitronylnitroxides: Highly Networked Hydrogen-Bond Assembly in Organic Radical Materials. Chem. Mater. 2011, 23, 4844–4856. [Google Scholar] [CrossRef]
- Jiang, W.L.; Peng, Z.; Huang, B.; Zhao, X.L.; Sun, D.; Shi, X.; Yang, H.B. TEMPO Radical-Functionalized Supramolecular Coordination Complexes with Controllable Spin-Spin Interactions. J. Am. Chem. Soc. 2021, 143, 433–441. [Google Scholar] [CrossRef]
- Ravat, P.; Teki, Y.; Ito, Y.; Gorelik, E.; Baumgarten, M. Breaking the Semi-Quinoid Structure: Spin-Switching from Strongly Coupled Singlet to Polarized Triplet State. Chem. Eur. J. 2014, 20, 12041–12045. [Google Scholar] [CrossRef]
- Nishide, H.; Kaneko, T.; Nii, T.; Katoh, K.; Tsuchida, E.; Lahti, P.M. Poly(phenylenevinylene)-Attached Phenoxyl Radicals: Ferromagnetic Interaction through Planarized and π-Conjugated Skeletons. J. Am. Chem. Soc. 1996, 118, 9695–9704. [Google Scholar] [CrossRef]
- Haraguchi, M.; Tretyakov, E.; Gritsan, N.; Romanenko, G.; Gorbunov, D.; Bogomyakov, A.; Maryunina, K.; Suzuki, S.; Kozaki, M.; Shiomi, D.; et al. (Azulene-1,3-diyl)-bis(nitronyl nitroxide) and (Azulene-1,3-diyl)-bis(iminonitroxide) and Their Copper Complexes. Chem. Asian J. 2017, 12, 2929–2941. [Google Scholar] [CrossRef]
- Barker, J.E.; Dressler, J.J.; Cardenas Valdivia, A.; Kishi, R.; Strand, E.T.; Zakharov, L.N.; MacMillan, S.N.; Gomez-Garcia, C.J.; Nakano, M.; Casado, J.; et al. Molecule Isomerism Modulates the Diradical Properties of Stable Singlet Diradicaloids. J. Am. Chem. Soc. 2020, 142, 1548–1555. [Google Scholar] [CrossRef] [PubMed]
- Izuoka, A.; Hiraishi, M.; Abe, T.; Sugawara, T.; Sato, K.; Takui, T. Spin Alignment in Singly Oxidized Spin-Polarized Diradical Donor: Thianthrene Bis(nitronyl nitroxide). J. Am. Chem. Soc. 2000, 122, 3234–3235. [Google Scholar] [CrossRef]
- Kollmar, H.; Staemmler, V. A theoretical study of the structure of cyclobutadiene. J. Am. Chem. Soc. 1977, 99, 3583–3587. [Google Scholar] [CrossRef]
- Borden, W.T.; Davidson, E.R. Effects of electron repulsion in conjugated hydrocarbon diradicals. J. Am. Chem. Soc. 1977, 99, 4587–4594. [Google Scholar] [CrossRef]
- Borden, W.T.; Iwamura, H.; Berson, J.A. Violations of Hund’s Rule in Non-Kekule Hydrocarbons: Theoretical Prediction and Experimental Verification. Acc. Chem. Res. 1994, 27, 109–116. [Google Scholar] [CrossRef]
- Suzuki, S.; Itoh, N.; Furuichi, K.; Kozaki, M.; Shiomi, D.; Sato, K.; Takui, T.; Ohi, H.; Itoh, S.; Okada, K. Synthesis and Magnetic Properties of Dimethylmethylenebis(iminonitroxide) Diradical. Chem. Lett. 2011, 40, 22–24. [Google Scholar] [CrossRef]
- Tsujimoto, H.; Suzuki, S.; Kozaki, M.; Shiomi, D.; Sato, K.; Takui, T.; Okada, K. Synthesis and Magnetic Properties of (Pyrrolidin-1-oxyl)-(Nitronyl Nitroxide)/(Iminonitroxide)-Dyads. Chem. Asian J. 2019, 14, 1801–1806. [Google Scholar] [CrossRef]
- Nagata, A.; Hiraoka, S.; Suzuki, S.; Kozaki, M.; Shiomi, D.; Sato, K.; Takui, T.; Tanaka, R.; Okada, K. Redox-Induced Modulation of Exchange Interaction in a High-Spin Ground-State Diradical/Triradical System. Chem. Eur. J. 2020, 26, 3166–3172. [Google Scholar] [CrossRef]
- Natia, L.F.; Rodolphe, C.; Jean-Pascal, S.; Nathalie, D.; Olivier, K.; Claude, C.; Green, M.T.; Stéphane, G.; Lahcène, O. Synthesis, Crystal Structure, Magnetic, and Electron Paramagnetic Resonance Properties of a Spiroconjugated Biradical. Evidence for Spiroconjugation Exchange Pathway. J. Am. Chem. Soc. 2000, 122, 2053–2061. [Google Scholar] [CrossRef]
- Yue, Z.; Liu, J.; Baumgarten, M.; Wang, D. Spirobifluorene Mediating the Spin-Spin Coupling of Nitronyl Nitroxide Diradicals. J. Phys. Chem. A 2023, 127, 1565–1575. [Google Scholar] [CrossRef]
- Kanetomo, T.; Ichihashi, K.; Enomoto, M.; Ishida, T. Ground Triplet Spirobiradical: 2,2′,7,7′-Tetra(tert-butyl)-9,9′(10 H,10′ H)-spirobiacridine-10,10′-dioxyl. Org. Lett. 2019, 21, 3909–3912. [Google Scholar] [CrossRef] [PubMed]
- Rajca, A.; Mukherjee, S.; Pink, M.; Rajca, S. Exchange coupling mediated through-bonds and through-space in conformationally constrained polyradical scaffolds: Calix[4]arene nitroxide tetraradicals and diradical. J. Am. Chem. Soc. 2006, 128, 13497–13507. [Google Scholar] [CrossRef] [PubMed]
- Bartlett, P.D.; Ryan, M.J.; Cohen, S.G. Triptycene1 (9,10-o-Benzenoanthracene). J. Am. Chem. Soc. 1942, 64, 2649–2653. [Google Scholar] [CrossRef]
- Jiang, Y.; Chen, C.F. Recent Developments in Synthesis and Applications of Triptycene and Pentiptycene Derivatives. Eur. J. Org. Chem. 2011, 2011, 6377–6403. [Google Scholar] [CrossRef]
- Wozny, M.; Mames, A.; Ratajczyk, T. Triptycene Derivatives: From Their Synthesis to Their Unique Properties. Molecules 2021, 27, 250. [Google Scholar] [CrossRef]
- Tang, S.; Ruan, H.; Hu, Z.; Zhao, Y.; Song, Y.; Wang, X. A cationic sulfur-hydrocarbon triradical with an excited quartet state. Chem. Commun. 2022, 58, 1986–1989. [Google Scholar] [CrossRef]
- Tretyakov, E.V.; Zhivetyeva, S.I.; Petunin, P.V.; Gorbunov, D.E.; Gritsan, N.P.; Bagryanskaya, I.Y.; Bogomyakov, A.S.; Postnikov, P.S.; Kazantsev, M.S.; Trusova, M.E.; et al. Ferromagnetically Coupled S=1 Chains in Crystals of Verdazyl-Nitronyl Nitroxide Diradicals. Angew. Chem. Int. Ed. 2020, 59, 20704–20710. [Google Scholar] [CrossRef]
- Ferguson, L.N.; Nnadi, J.C. Electronic interactions between nonconjugated groups. J. Chem. Educ. 1965, 42, 529. [Google Scholar] [CrossRef]
- Harada, N.; Uda, H.; Nakasuji, K.; Murata, I. Interchromophoric homoconjugation effect and intramolecular charge-transfer transition of the triptycene system containing a tetracyanoquinodimethane chromophore. J. Chem. Soc. Perkin Trans. 1989, 21, 1449–1453. [Google Scholar] [CrossRef]
- Kobayashi, T.; Kubota, T.; Ezumi, K. Intramolecular orbital interactions in triptycene studied by photoelectron spectroscopy. J. Am. Chem. Soc. 2002, 105, 2172–2174. [Google Scholar] [CrossRef]
- Perevedentsev, A.; Francisco-López, A.; Shi, X.; Braendle, A.; Caseri, W.R.; Goñi, A.R.; Campoy-Quiles, M. Homoconjugation in Light-Emitting Poly(phenylene methylene)s: Origin and Pressure-Enhanced Photoluminescence. Macromolecules 2020, 53, 7519–7527. [Google Scholar] [CrossRef]
- Baumgärtner, K.; Hoffmann, M.; Rominger, F.; Elbert, S.M.; Dreuw, A.; Mastalerz, M. Homoconjugation and Intramolecular Charge Transfer in Extended Aromatic Triptycenes with Different π-Planes. J. Org. Chem. 2020, 85, 15256–15272. [Google Scholar] [CrossRef]
- Wang, D.; Ma, Y.; Wolf, B.; Kokorin, A.I.; Baumgarten, M. Temperature-Dependent Intramolecular Spin Coupling Interactions of a Flexible Bridged Nitronyl Nitroxide Biradical in Solution. J. Phys. Chem. A 2018, 122, 574–581. [Google Scholar] [CrossRef]
- Li, P.F.; Chen, C.F. Synthesis, structures, and solid state self-assemblies of formyl and acetyl substituted triptycenes and their derivatives. J. Org. Chem. 2012, 77, 9250–9259. [Google Scholar] [CrossRef] [PubMed]
- Zoppellaro, G.; Geies, A.; Andersson, K.K.; Enkelmann, V.; Baumgarten, M. Synthesis, Optical Properties and Magnetic Studies of 2,6-Bis(pyrazolylmethyl)pyridine Functionalized with Two Nitronyl Nitroxide Radicals. Eur. J. Org. Chem. 2008, 2008, 1431–1440. [Google Scholar] [CrossRef]
- Stoll, S.; Schweiger, A. EasySpin, a comprehensive software package for spectral simulation and analysis in EPR. J. Magn. Reson. 2006, 178, 42–55. [Google Scholar] [CrossRef]
- Mukai, K.; Sakamoto, J. Spin–spin dipolar and exchange interactions in crystalline bisgalvinoxyl biradical. J. Chem. Phys. 1978, 68, 1432–1438. [Google Scholar] [CrossRef]
- Hase, S.; Shiomi, D.; Sato, K.; Takui, T. Phenol-substituted nitronyl nitroxide biradicalswith a triplet (S = 1) ground state. J. Mater. Chem. C 2001, 11, 756–760. [Google Scholar] [CrossRef]
- Bain, G.A.; Berry, J.F. Diamagnetic Corrections and Pascal’s Constants. J. Chem. Educ. 2008, 85, 532. [Google Scholar] [CrossRef]
- Bleaney, B.; Bowers, K. Anomalous paramagnetism of copper acetate. Proc. R. Soc. London Ser. A 1952, 214, 451–465. [Google Scholar] [CrossRef]
- Han, H.; Zhang, D.; Zhu, Z.; Wei, R.; Xiao, X.; Wang, X.; Liu, Y.; Ma, Y.; Zhao, D. Aromatic Stacking Mediated Spin–Spin Coupling in Cyclophane-Assembled Diradicals. J. Am. Chem. Soc. 2021, 143, 17690–17700. [Google Scholar] [CrossRef]
- Malik, R.; Bu, Y. Intramolecular Proton Transfer Modulation of Magnetic Spin Coupling Interaction in Photochromic Azobenzene Derivatives with an Ortho-Site Hydroxyl as a Modulator. J. Phys. Chem. A 2022, 126, 9165–9177. [Google Scholar] [CrossRef] [PubMed]
- Borozdina, Y.B.; Mostovich, E.A.; Cong, P.T.; Postulka, L.; Wolf, B.; Lang, M.; Baumgarten, M. Spin-dimer networks: Engineering tools to adjust the magnetic interactions in biradicals. J. Mater. Chem. C 2017, 5, 9053–9065. [Google Scholar] [CrossRef]
- Bajaj, A.; Ali, M.E. First-Principle Design of Blatter’s Diradicals with Strong Ferromagnetic Exchange Interactions. J. Phys. Chem. C 2019, 123, 15186–15194. [Google Scholar] [CrossRef]
- Yamaguchi, K.; Jensen, F.; Dorigo, A.; Houk, K.N. A spin correction procedure for unrestricted Hartree-Fock and Møller-Plesset wavefunctions for singlet diradicals and polyradicals. Chem. Phys. Lett 1988, 149, 537–542. [Google Scholar] [CrossRef]
- Haselbach, E.; Neuhaus, L.; Johnson, R.P.; Houk, K.N.; Paddon-Row, M.N. π-Orbital Interactions in Möbius-Type Molecules as Studied by Photoelectron Spectroscopy. Helv. Chim. Acta 1982, 65, 1743–1751. [Google Scholar] [CrossRef]
- Chen, Z.; Swager, T.M. Synthesis and Characterization of Poly(2,6-triptycene). Macromolecules 2008, 41, 6880–6885. [Google Scholar] [CrossRef]











| Radicals | λmax (nm) 1 | ε (cm−1M−1) 1 | Egopt (eV) 2 | g 3 | aN/2 (G) 3 |
|---|---|---|---|---|---|
| 2-TP-NN | 620 | 866 | 1.75 | 2.0065 | 7.50 |
| 2,6-TP-NN | 622 | 974 | 1.72 | 2.0063 | 3.75 |
| 2,7-TP-NN | 619 | 1094 | 1.80 | 2.0062 | 3.74 |
| Radicals | Tmax (K) 1 | θ (K) | Jexp (cm−1) 2 | Jexp (cm−1) 3 | Jcalc (cm−1) 4 |
|---|---|---|---|---|---|
| 2,6-TP-NN | 14.2 | −0.36 | - | 34.4 | 1.06 |
| 2,7-TP-NN | - | −4.7 | - | −36.9 | −3.50 |
Disclaimer/Publisher’s Note: The statements, opinions and data contained in all publications are solely those of the individual author(s) and contributor(s) and not of MDPI and/or the editor(s). MDPI and/or the editor(s) disclaim responsibility for any injury to people or property resulting from any ideas, methods, instructions or products referred to in the content. |
© 2023 by the authors. Licensee MDPI, Basel, Switzerland. This article is an open access article distributed under the terms and conditions of the Creative Commons Attribution (CC BY) license (https://creativecommons.org/licenses/by/4.0/).
Share and Cite
Shi, C.; Gao, L.; Baumgarten, M.; Wei, D.; Xu, Z.; Wang, W.; Wang, D. Homoconjugation Mediated Spin-Spin Coupling in Triptycene Nitronyl Nitroxide Diradicals. Magnetochemistry 2023, 9, 178. https://doi.org/10.3390/magnetochemistry9070178
Shi C, Gao L, Baumgarten M, Wei D, Xu Z, Wang W, Wang D. Homoconjugation Mediated Spin-Spin Coupling in Triptycene Nitronyl Nitroxide Diradicals. Magnetochemistry. 2023; 9(7):178. https://doi.org/10.3390/magnetochemistry9070178
Chicago/Turabian StyleShi, Chengfang, Laiwei Gao, Martin Baumgarten, Dongdong Wei, Zhipeng Xu, Wenping Wang, and Di Wang. 2023. "Homoconjugation Mediated Spin-Spin Coupling in Triptycene Nitronyl Nitroxide Diradicals" Magnetochemistry 9, no. 7: 178. https://doi.org/10.3390/magnetochemistry9070178
APA StyleShi, C., Gao, L., Baumgarten, M., Wei, D., Xu, Z., Wang, W., & Wang, D. (2023). Homoconjugation Mediated Spin-Spin Coupling in Triptycene Nitronyl Nitroxide Diradicals. Magnetochemistry, 9(7), 178. https://doi.org/10.3390/magnetochemistry9070178

