Effect of Magnetic Coupling on the Optical Properties of Oxide Co Nanowires on Vicinal Pt Surfaces
Abstract
1. Introduction
2. Methods
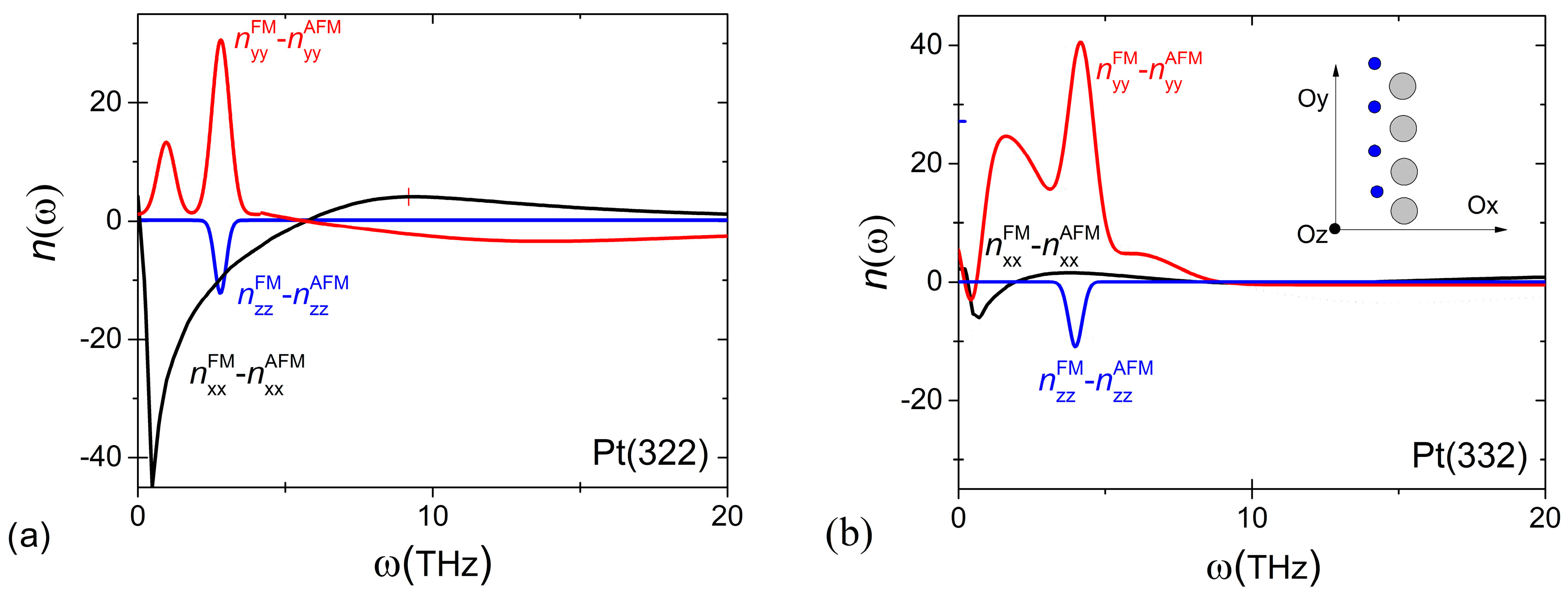
3. Results and Discussion
4. Conclusions
Author Contributions
Funding
Data Availability Statement
Acknowledgments
Conflicts of Interest
References
- Belotelov, V.I.; Akimov, I.A.; Pohl, M.; Kotov, V.A.; Kasture, S.; Vengurlekar, A.S.; Bayer, M. Enhanced magneto-optical effects in magnetoplasmonic crystals. Nat. Nanotechnol. 2011, 6, 370–376. [Google Scholar] [CrossRef]
- Kimel, A.V.; Kirilyuk, A.; Usachev, P.A.; Pisarev, R.V.; Balbashov, A.M.; Rasing, T. Ultrafast non-thermal control of magnetization by instantaneous photomagnetic pulses. Nature 2005, 435, 655–657. [Google Scholar] [CrossRef]
- Bigot, J.-Y.; Vomir, M.; Beaurepaire, E. Coherent Ultrafast magnetism induced by femtosecond laser pulses. Nat. Phys. 2009, 5, 515–520. [Google Scholar] [CrossRef]
- Berritta, M.; Mondal, R.; Carva, K.; Oppeneer, P.M. Ab initio theory of coherent laser-induced magnetization in metals. Phys. Rev. Lett. 2016, 117, 137203. [Google Scholar] [CrossRef]
- López-Ortega, A.; Zapata-Herrera, M.; Maccaferri, N.; Pancaldi, M.; Garcia, M.; Chuvilin, A.; Vavassori, P. Enhanced magnetic modulation of light polarization exploiting hybridization with multipolar dark plasmons in magnetoplasmonic nanocavities. Light Sci. Appl. 2020, 9, 49. [Google Scholar] [CrossRef]
- Gambardella, P.; Dallmeyer, K.A.; Maiti, M.C.; Malagoli, W.; Eberhardt, K.; Kern, C. Carbone Ferromagnetism in one-dimensional monatomic metal chains. Nature 2002, 416, 301–304. [Google Scholar] [CrossRef]
- Gambardella, P.; Dallmeyer, A.; Maiti, K.; Malagoli, M.C.; Rusponi, S.; Ohresser, P.; Eberhardt, W.; Carbone, C.; Kern, K. Oscillatory magnetic anisotropy in one-dimensional atomic wires. Phys. Rev. Lett. 2004, 93, 077203. [Google Scholar] [CrossRef]
- Cheng, R.; Guslienko, K.Y.; Fradin, F.Y.; Pearson, J.E.; Ding, H.F.; Li, D.; Bader, S.D. Step-decorated ferromagnetic Fe nanostripes on Pt(997). Phys. Rev. B 2005, 72, 014409. [Google Scholar] [CrossRef]
- Cheng, R.; Ayieta, E.; Losovyj, Y.B. Electronic states of Fe nanostructures on Pt(997) surface. J. Vac. Sci. Technol. A 2008, 26, 673–677. [Google Scholar] [CrossRef]
- Baud, S.; Ramseyer, C.; Bihlmayer, G.; Blügel, S. Relaxation effects on the magnetism of decorated step edges: Co/Pt(664). Phys. Rev. B 2006, 73, 104427. [Google Scholar] [CrossRef]
- Bazhanov, D.I.; Hergert, W.; Stepanyuk, V.S.; Katsnelson, A.A.; Rennert, P.; Kokko, K.; Demangeat, C. One-dimensional magnetism of Rh chains on the Ag(001) surface. Phys. Rev.B 2000, 62, 6415–6420. [Google Scholar] [CrossRef]
- Bellini, V.; Papanikolaou, N.; Zeller, R.; Dederichs, P.H. Magnetic 4d monoatomic rows on Ag vicinal surfaces. Phys. Rev. B 2001, 64, 094403. [Google Scholar] [CrossRef]
- Tsysar, K.M.; Smelova, E.M.; Bazhanov, D.I.; Saletsky, A.M. Effect of stretching-contraction deformations on the magnetic ordering state of mixed Pd-Fe nanowires. JETP Lett. 2011, 94, 246–251. [Google Scholar] [CrossRef]
- Tsysar, K.M.; Bazhanov, D.I.; Smelova, E.M.; Saletsky, A.M. Emergence of giant magnetic anisotropy in freestanding Au/Co nanowires. Appl. Phys. Lett. 2012, 101, 043108. [Google Scholar] [CrossRef]
- Tsysar, K.M.; Kolesnikov, S.V.; Saletsky, A.M. Magnetization dynamics of mixed Co-Au chains on Cu(110) substrate: Combined ab initio and kinetic Monte Carlo study. Chin. Phys. B 2015, 24, 097302. [Google Scholar] [CrossRef]
- Hammer, L.; Meier, W.; Klein, A.; Landfried, P.; Schmidt, A.; Heinz, K. Hydrogen-induced self-organized nanostructuring of the Ir(100) surface. Phys. Rev. Lett. 2003, 91, 156101. [Google Scholar] [CrossRef]
- Alnot, M.; Fusy, J. Study of Cobalt films deposited on Pt(110)(1×2). Appl. Surf. Sci. 1992, 55, 209–219. Available online: http://www.sciencedirect.com/science/article/pii/016943329290112B (accessed on 23 September 2002). [CrossRef]
- Moulas, G.; Lehnert, A.; Rusponi, S.; Zabloudil, J.; Etz, C.; Ouazi, S.; Etzkorn, M.; Bencok, P.; Gambardella, P.; Weinberger, P.; et al. High magnetic moments and anisotropies for Fex Co1− x monolayers on Pt(111). Phys. Rev. B 2008, 78, 214424. [Google Scholar] [CrossRef]
- Vukajlovič, F.R.; Popovič, Z.S.; Baldereschi, A.; Šljivančanin, Ž. Effect of adsorbed H atoms on magnetism in monoatomic Fe wires at Ir(100). Phys. Rev. B 2010, 81, 085425. [Google Scholar] [CrossRef]
- Urdaniz, M.C.; Barral, M.A.; Llois, A.M.; Sa’ul, A. Magnetic interactions in 3d metal chains on Cu2X/Cu(001) (x = N; O): Comparison with corresponding unsupported chains. Phys. Rev. B 2014, 195423. [Google Scholar] [CrossRef]
- Korobova, J.G.; Nikitina, I.A.; Bazhanov, D.I.; Ruiz-Díaz, P. Oxygen-Mediated Superexchange Interactions and Their Impact on the Structural Stability, Magnetic Order, and Magnetocrystalline Anisotropy of One-Dimensional Co-Oxide Chains on Rh(553) Step-Surfaces. J. Phys. Chem. C 2020, 124, 26026–26036. [Google Scholar] [CrossRef]
- Koshelev, Y.S.; Bazhanov, D.I. Effect of Oxygen on the quantum, magnetic, and thermodynamic properties of Co nanowires on the reconstructed anisotropic (1 × 2)/Au(110) and (1 × 2)/Pt(110) surfaces: Ab initio approach. J. Exp. Theor. Phys. 2018, 127, 179–188. [Google Scholar] [CrossRef]
- Maca, F.C.V.; Kudrnovský, J.; Drchal, V.; Redinger, J. Influence of Oxygen and Hydrogen adsorption on the magnetic structure of an ultrathin Iron film on an Ir(001) surface. Phys. Rev. B 2013, 201388, 045423. [Google Scholar] [CrossRef]
- Ma, X.-D.; Nakagawa, T.; Yokoyama, T. Effect of surface chemisorption on the spin reorientation transition in magnetic ultrathin Fe film on Ag(001). Surf. Sci. 2006, 600, 4605–4612. Available online: http://www.sciencedirect.com/science/article/pii/S003960280600817X (accessed on 14 August 2006). [CrossRef]
- Jacobson, P.; Muenks, M.; Laskin, G.; Brovko, O.; Stepanyuk, V.; Ternes, M.; Kern, K. Potential energy-driven spin manipulation via a controllable Hydrogen ligand. Sci. Adv. 2017, 3, e1602060. Available online: https://advances.sciencemag.org/content/3/4/e1602060.full.pdf (accessed on 17 April 2017). [CrossRef]
- Netzer, F.P. ”Small and beautiful”—The novel structures and phases of nano-oxides. Surf. Sci. 2010, 604, 485–489. Available online: http://www.sciencedirect.com/science/article/pii/S003960281000004X (accessed on 11 January 2010). [CrossRef]
- Li, F.; Allegretti, F.; Surnev, S.; Netzer, F.P. Atomic engineering of oxide nanostructure superlattices. Surf. Sci. 2010, 604, L43–L47. Available online: http://www.sciencedirect.com/science/article/pii/S0039602810002190 (accessed on 24 May 2010). [CrossRef]
- Ma, L.Y.; Picone, A.; Wagner, M.; Surnev, S.; Barcaro, G.; Fortunelli, A.; Netzer, F.P. Structure and electronic properties of CoO nanostructures on a vicinal Pd(100) surface. J. Phys. Chem. C 2013, 117, 18464–18474. [Google Scholar] [CrossRef]
- Surnev, S.; Allegretti, F.; Parteder, G.; Franz, T.; Mittendorfer, F.; Andersen, J.N.; Netzer, F.P. One-dimensional oxide-metal hybrid structures: Site-specific enhanced reactivity for CO oxidation. ChemPhysChem 2010, 11, 2506–2509. [Google Scholar] [CrossRef]
- Schoiswohl, J.; Mittendorfer, J.F.; Surnev, S.; Ramsey, M.G.; Andersen, J.N.; Netzer, F.P. Chemical reactivity of Ni-Rh nanowires. Phys. Rev. Lett. 2006, 97, 126102. [Google Scholar] [CrossRef]
- Tsysar, K.M.; Koshelev, Y.; Bazhanov, D.I.; Smelova, E.M. Emergence of magnetic transition in Cobalt oxide nanowires on vicinal Pt substrate. IEEE Magn. Lett. 2021, 13, 1–5. [Google Scholar] [CrossRef]
- Tsysar, K.M.; Smelova, E.M.; Bazhanov, D.I. Magneto-Optical Properties of Oxidized Co Nanowires on Pt Substrate. Phys. Status Solidi B 2022, 259, 2200018. [Google Scholar] [CrossRef]
- Von Kugelgen, S.; Krzyaniak, M.D.; Gu, M.; Puggioni, D.; Rondinelli, J.M.; Wasielewski, M.R.; Freedman, D.E. Spectral Addressability in a Modular Two Qubit System. J. Am. Chem. Soc. 2021, 143, 8069–8077. [Google Scholar] [CrossRef]
- Bandlow, J.; Kaghazchi, P.; Jacob, T.; Papp, C.; Tränkenschuh, B.; Streber, R.; Lorenz, M.P.A.; Fuhrmann, T.; Denecke, R.; Steinrück, H.-P. Oxidation of stepped Pt(111) studied by X-ray photoelectron spectroscopy and density functional theory. Phys. Rev. B 2011, 83, 174107. [Google Scholar] [CrossRef]
- Kresse, G.; Furthmuller, J. Efficient iterative schemes for ab initio total-energy calculations using a plane-wave basis Se. Phys. Rev. B 1996, 54, 11169. [Google Scholar] [CrossRef]
- Kohn, W.; Sham, L.J. Self–consistent equations including exchange and correlation effects. Phys. Rev. A 1965, 140, 1133–1138. [Google Scholar] [CrossRef]
- Shishkin, M.; Kresse, G. Implementation and performance of the frequency-dependent GW method within the PAW framework. Phys. Rev. B 2006, 74, 035101. [Google Scholar] [CrossRef]
- Blochl, P.P. Projector augmented-wave method. Phys. Rev. B 1994, 50, 17953. [Google Scholar] [CrossRef]
- Monkhorst, H.J.; Pack, J.D. Special points for Brillouin-zone integrations. Phys. Rev. B 1976, 13, 5188. [Google Scholar] [CrossRef]
- Klikovits, J.; Schmid, M.; Merte, L.R.; Varga, P. Step-Orientation-Dependent Oxidation: From 1D to 2D Oxides. Phys. Rev. Lett. 2008, 101, 266104. [Google Scholar] [CrossRef]
- Dudarev, S.L.; Botton, G.A.; Savrasov, S.Y.; Humphreys, C.J.; Sutton, A.P. Electron-energy-loss spectra and the structural stability of nickel oxide: An lsda+u study. Phys. Rev. B 1998, 57, 1505–1509. [Google Scholar] [CrossRef]
- Wang, L.; Maxisch, T.; Ceder, G. Oxidation energies of transition metal oxides within the GGA+U framework. Phys. Rev. B 2006, 73, 195107. [Google Scholar] [CrossRef]
- Mittendorfer, F.; Weinert, M.; Podloucky, R.; Redinger, J. Strain and structure driven complex magnetic ordering of a coo overlayer on ir(100). Phys. Rev. Lett. 2012, 109, 015501. [Google Scholar] [CrossRef]
- Gajdoš, M.; Hummer, K.; Kresse, G.; Furthmüller, J.; Bechstedt, F. Linear optical properties in the projector-augmented wave methodology. Phys. Rev. B 2006, 73, 045112. [Google Scholar] [CrossRef]
- Shishkin, M.; Marsman, M.; Kresse, G. Accurate Quasiparticle Spectra from Self-Consistent GW Calculations with Vertex Corrections. Phys. Rev. Lett. 2007, 99, 246403. [Google Scholar] [CrossRef]
- Helen, V.; Joseph Prince, J. Influence of annealing on the structural, optical and magnetic properties of CoO thin films. Mater. Res. Innov. 2019, 23, 200–206. [Google Scholar] [CrossRef]
- Harl, J.; Kresse, G.; Sun, L.D.; Hohage, M.; Zeppenfeld, P. Ab initio reflectance difference spectra of the bare and adsorbate covered Cu(110) surfaces. Phys. Rev. B 2007, 76, 035436. [Google Scholar] [CrossRef]




Disclaimer/Publisher’s Note: The statements, opinions and data contained in all publications are solely those of the individual author(s) and contributor(s) and not of MDPI and/or the editor(s). MDPI and/or the editor(s) disclaim responsibility for any injury to people or property resulting from any ideas, methods, instructions or products referred to in the content. |
© 2023 by the authors. Licensee MDPI, Basel, Switzerland. This article is an open access article distributed under the terms and conditions of the Creative Commons Attribution (CC BY) license (https://creativecommons.org/licenses/by/4.0/).
Share and Cite
Tsysar, K.M.; Bazhanov, D.I.; Smelova, E.M. Effect of Magnetic Coupling on the Optical Properties of Oxide Co Nanowires on Vicinal Pt Surfaces. Magnetochemistry 2023, 9, 72. https://doi.org/10.3390/magnetochemistry9030072
Tsysar KM, Bazhanov DI, Smelova EM. Effect of Magnetic Coupling on the Optical Properties of Oxide Co Nanowires on Vicinal Pt Surfaces. Magnetochemistry. 2023; 9(3):72. https://doi.org/10.3390/magnetochemistry9030072
Chicago/Turabian StyleTsysar, Kseniya M., Dmitry I. Bazhanov, and Ekaterina M. Smelova. 2023. "Effect of Magnetic Coupling on the Optical Properties of Oxide Co Nanowires on Vicinal Pt Surfaces" Magnetochemistry 9, no. 3: 72. https://doi.org/10.3390/magnetochemistry9030072
APA StyleTsysar, K. M., Bazhanov, D. I., & Smelova, E. M. (2023). Effect of Magnetic Coupling on the Optical Properties of Oxide Co Nanowires on Vicinal Pt Surfaces. Magnetochemistry, 9(3), 72. https://doi.org/10.3390/magnetochemistry9030072

