The Solid Solutions (Per)2[PtxAu(1−x)(mnt)2]; Alloying Para- and Diamagnetic Anions in Two-Chain Compounds
Abstract
:1. Introduction
2. Results and Discussion
2.1. Crystal Structure
2.2. Electrical Transport Properties—Conductivity and Thermoelectric Power
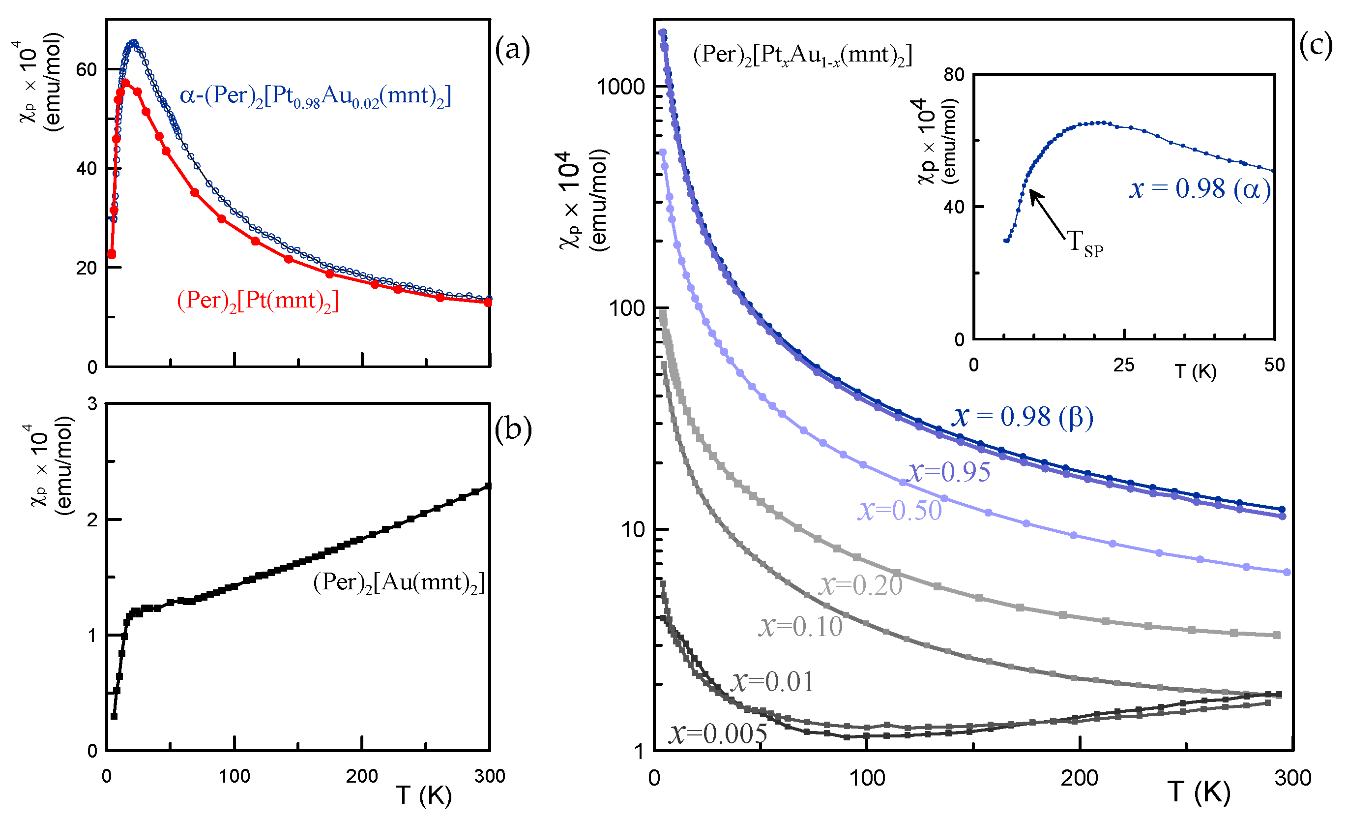
2.3. Magnetic Susceptibility
3. Materials and Methods
4. Conclusions
Supplementary Materials
Supplementary File 1Acknowledgments
Author Contributions
Conflicts of Interest
References
- Alcácer, L.; Maki, A. Electrically Conducting Metal Dithiolate-Perylene Complexes. J. Phys. Chem. 1974, 78, 215–217. [Google Scholar] [CrossRef]
- Alcácer, L.; Maki, A.H. Magnetic Properties of Some Electrically Conducting Perylene-Metal Dithiolate Complexes. J. Phys. Chem. 1976, 80, 1912–1916. [Google Scholar] [CrossRef]
- Almeida, M.; Gama, V.; Henriques, R.T.; Alcácer, L. Molecular Solids with Organic Conducting Chains and Inorganic Magnetic Chains: The (Per)2M(mnt)2 Family (M = Ni, Cu, Pd, Pt, Au, Fe and Co). In Inorganic and Organometallic Polymers with Special Properties; Laine, R.M., Ed.; Kluwer Academic Publishers: Dordrecht, The Netherlands, 1992; pp. 163–177. [Google Scholar]
- Almeida, M.; Henriques, R.T. Perylene Based Conductors. In Handbook of Organic Conductive Molecules and Polymers Volume 1 “Charge Transfer Salts, Fullerenes and Photoconductors”; Nalva, H.S., Ed.; John Wiley & Sons Ltd.: Chichester, UK, 1997; pp. 87–149. [Google Scholar]
- Gama, V.; Henriques, R.T.; Bonfait, G.; Almeida, M.; Ravy, S.; Pouget, J.P.; Alcacer, L. The interplay between conduction electrons and chains of localized spins in the molecular metals (Per)2M(mnt)2, M = Au, Pt, Pd, Ni, Cu, Co and Fe. Mol. Cryst. Liq. Cryst. 1993, 234, 171–178. [Google Scholar] [CrossRef]
- Pouget, J.-P.; Foury-Leylekian, P.; Almeida, M. Peierls and spin-Peierls instabilities in the Per2[M(mnt)2] series of one-dimensional organic conductors; experimental realization of a 1D Kondo lattice for M = Pd, Ni and Pt. Magnetocghemistry 2017, 3, 13. [Google Scholar] [CrossRef]
- Gama, V.; Almeida, M.; Henriques, R.T.; Santos, I.C.; Domingos, A.; Ravy, S.; Pouget, J.P. Low Dimensional Molecular Conductors (Per)2M(mnt)2, M = Cu and Ni: Low and High Conductivity Phases. J. Phys. Chem. 1991, 95, 4263–4267. [Google Scholar] [CrossRef]
- Monchi, K.; Poirier, M.; Bourbonnais, C.; Matos, M.J.; Henriques, R.T. The Peierls transition in Per2[AuxPt1−x(mnt)2]: Pair-breaking field effects. Synth. Met. 1999, 103, 2228–2231. [Google Scholar] [CrossRef]
- Matos, M.J.; Gama, V.; Bonfait, G.; Henriques, R.T. Magnetic and transport properties of the alloys (Perylene)2[Au1−xPtx(mnt)2]. Synth. Met. 1993, 56, 1858–1863. [Google Scholar] [CrossRef]
- Alcácer, L.; Novais, H.; Pedroso, F. Synthesis, structure and preliminary results on electrical and magnetic properties of (Perylene)2[Pt(mnt)2]. Solid State Commun. 1980, 35, 945–949. [Google Scholar] [CrossRef]
- Afonso, M.L.; Silva, R.A.; Matos, M.; Henriques, R.T.; Almeida, M. Electrocrystallisation of (perylene)2 [M(mnt)2] salts. Phys. Status Solidi 2012, 9, 1123–1126. [Google Scholar] [CrossRef]
- Domingos, A.; Henriques, R.T.; Gama, V.; Almeida, M. Crystalline structure/transport properties relationship in the (perylene)2M(mnt)2 family (M = Au, Pd, Pt, Ni). Synth. Met. 1988, 27, 411–416. [Google Scholar] [CrossRef]
- Afonso, M.L.; Silva, R.A.; Matos, M.; Lopes, E.B.; Coutinho, J.T.; Pereira, L.C.J.; Henriques, R.T.; Almeida, M. Growth of (Perylene)2[Pd(mnt)2] crystals. J. Cryst. Growth 2012, 340, 56–60. [Google Scholar] [CrossRef]
- Afonso, M.L.; Silva, R.A.; Pereira, L.C.; Coutinho, J.T.; Freitas, R.R.; Lopes, E.B.; Matos, M.; Henriques, R.T.; Viana, A.; Almeida, M. Electrocrystallisation of (Per)2[Pd(mnt)2]. Phys. Status Solidi 2012, 9, 1131–1133. [Google Scholar] [CrossRef]
- Henriques, R.T.; Sousa, I.; Dias, J.C.; Lopes, E.B.; Almeida, M.; Matos, M. Growth of High Quality Per2M(mnt)2 Single Crystals; Evidence of β-Phase in Per2Pt(mnt)2. J. Low Temp. Phys. 2006, 142, 409–412. [Google Scholar] [CrossRef]
- Bonfait, G.; Matos, M.J.; Henriques, R.T.; Almeida, M. The Peierls transition under high magnetic field. Physica B 1995, 211, 297–299. [Google Scholar] [CrossRef]
- Bonfait, G.; Lopes, E.B.; Matos, M.J.; Henriques, R.T.; Almeida, M. Magnetic field dependence of the metal-insulator transition in (PER)2Pt(mnt)2 and (PER)2Au(mnt)2. Solid State Commun. 1991, 80, 391–394. [Google Scholar] [CrossRef]
- Kwak, J.F.; Beni, G.; Chaikin, P.M. Thermoelectric power in Hubbard-model systems with different densities: N-methylphenazinium-tetracyanoquinodimethane (NMP-TCNQ), and quinolinium ditetracyanoquinodimethane. Phys. Rev. 1976, 13, 641–646. [Google Scholar] [CrossRef]
- Drichko, N.; Kaiser, S.; Shewmon, R.; Eckstein, J.; Wu, D.; Dressel, M.; Matos, M.; Henriques, R.T.; Almeida, M. Infrared investigations of the one-dimensional organic conductors (perylene)2M(mnt)2, M = Au, Pt. Eur. Phys. J. B 2010, 78, 283–289. [Google Scholar] [CrossRef]
- Graf, D.; Choi, E.S.; Brooks, J.S.; Matos, M.; Henriques, R.T.; Almeida, M. High Magnetic Field Induced Charge Density Wave State in a Quasi-One-Dimensional Organic Conductor. Phys. Rev. Lett. 2004, 93, 076406. [Google Scholar] [CrossRef] [PubMed]
- Graf, D.; Brooks, J.S.; Choi, E.S.; Uji, S.; Dias, J.C.; Almeida, M.; Matos, M. Suppression of a charge-density-wave ground state in high magnetic fields: Spin and orbital mechanisms. Phys. Rev. B 2004, 69, 125113. [Google Scholar] [CrossRef]
- Canadell, E.; Almeida, M.; Brooks, J. Electronic band structure of α-(Per)2M(mnt)2 compounds. Eur. Phys. J. B 2004, 42, 453–456. [Google Scholar] [CrossRef]
- Bourbonnais, C.; Henriques, R.T.; Wzieteck, P.; Köngeter, D.; Voiron, J.; Jérome, D. Nuclear and electronic resonance approaches to magnetic and lattice fluctuations in the two-chain family of organic compounds (perylene)2[M(S2C2(CN)2)2] (M = Pt, Au). Phys. Rev. B 1991, 44, 641–651. [Google Scholar] [CrossRef]
- Gama, V.; Henriques, R.T.; Almeida, M.; Alcácer, L. Magnetic Properties of the Low-Dimensional Systems (Per)2M(mnt)2 (M = Cu and Ni). J. Phys. Chem. 1994, 98, 997–1001. [Google Scholar] [CrossRef]
- Bonner, J.C.; Fisher, M.E. Linear Magnetic Chains with Anisotropic Coupling. Phys. Rev. A 1964, 135, 640–658. [Google Scholar] [CrossRef]
- Henriques, R.T.; Alcácer, L.; Pouget, J.P.; Jérome, D. Electrical conductivity and X-ray diffuse scattering study of the family of organic conductors (perylene)2M(mnt)2, (M = Pt, Pd, Au). J. Phys. C Solid State Phys. 1984, 17, 5197–5208. [Google Scholar] [CrossRef]
- Hansen, P.; Augier, D.; Riera, J.; Poilblanc, D. Study of impurities in spin-Peierls systems including lattice relaxation. Phys. Rev. 1999, 59, 13557. [Google Scholar] [CrossRef]
- Jamali, J.B.; Wada, N.; Shimobe, Y.; Achiwa, N.; Kuwajima, S.; Soejima, Y.; Mukai, K. The effect of non-magnetic impurities on the spin–Peierls transition of 3-(4-cyanophenyl)-1,5-dimethyl-6-oxoverdazyl radical crystal, p-CyDOV. Chem. Phys. Lett. 1998, 292, 661–666. [Google Scholar] [CrossRef]
- Pouget, J.P.; Ravy, S.; Schoeffel, J.P.; Dhalenne, G.; Revcolevschi, A. Spin-Peierls lattice fluctuations and disorders in CuGeO3 and its solid solutions. Eur. Phys. J. B 2004, 38, 581–598. [Google Scholar] [CrossRef]
- Sangster, R.C.; Irvine, J.W., Jr. Study of Organic Scintillators. J. Chem. Phys. 1956, 24, 670–715. [Google Scholar] [CrossRef]
- Davison, A.; Holm, R.H. Metal Complexes Derived from cis-1,2-Dicyano-ethylene-1,2-Dithiolate and Bis-Perfluoromethyl-1,2-Dithietene. Inorg. Synth. 1967, 10, 8–26. [Google Scholar]
- Davison, A.; Edelstein, N.; Holm, R.H.; Maki, A.H. E.s.r. Studies of Four-Coordinate Complexes of Nickel, Palladium and Platinum Related by Electron Transfer Reactions. J. Am. Chem. Soc. 1963, 85, 2029–2030. [Google Scholar] [CrossRef]
- Sheldrick, G.M. SADABS; Bruker AXS Inc.: Madison, WI, USA, 2004. [Google Scholar]
- Bruker. SMART and SAINT; Bruker AXS Inc.: Madison, WI, USA, 2004. [Google Scholar]
- Altomare, A.; Burla, M.C.; Camalli, M.; Cascarano, G.L.; Giacovazzo, C.; Guagliardi, A.; Moliterni, A.G.G.; Polidori, G.; Spagna, R. SIR97: A new tool for crystal structure determination and refinement. Appl. Crystallogr. 1999, 32, 115–119. [Google Scholar] [CrossRef]
- Sheldrick, G.M. A short history of SHELX. Acta Crystallogr. Sect. A 2008, 64, 112–122. [Google Scholar] [CrossRef] [PubMed]
- Farrugia, L.J. WinGX and ORTEP for Windows: An update. J. Appl. Crystallogr. 2012, 45, 849–854. [Google Scholar] [CrossRef]
- Macrae, C.F.; Bruno, I.J.; Chisholm, J.A.; Edgington, P.R.; McCabe, P.; Pidcock, E.; Rodriguez-Monge, L.; Taylor, R.; van de Streek, J.; Wood, P.A. Mercury CSD 2.0—New features for the visualization and investigation of crystal structures. J. Appl. Cryst. 2008, 41, 466–470. [Google Scholar] [CrossRef]
- Schafer, D.E.; Wudl, F.; Thomas, G.A.; Ferraris, J.P.; Cowan, D.O. Apparent giant conductivity peaks in an anisotropic medium: TTF-TCNQ. Solid State Commun. 1974, 14, 347–351. [Google Scholar] [CrossRef]
- Almeida, M.; Alcácer, L.; Oostra, S. Anisotropy of thermopower in N-methyl-N-ethylmorpholinium bistetracyanoquinodimethane, MEM(TCNQ)2, in the region of the high-temperature phase transitions. Phys. Rev. B 1984, 30, 2839. [Google Scholar] [CrossRef]
- Chaikin, P.M.; Kwak, J.F. Apparatus for thermopower measurements on organic conductors. Rev. Sci. Instrum. 1975, 46, 218. [Google Scholar] [CrossRef]
- Lopes, E.B. Internal Report; LNETI: Sacavém, Portugal, 1990. [Google Scholar]
- Huebner, R.P. Thermoelectric Power of Lattice Vacancies in Gold. Phys. Rev. 1964, 135, 1281–1291. [Google Scholar] [CrossRef]








| Compound | β-(Per)2[Pt(mnt)2] | α-(Per)2[Pt(mnt)2] | α-(Per)2[Au(mnt)2] |
|---|---|---|---|
| Sp.Gr. | P-1 | P21/n | P21/n |
| a/Å | 4.0105(3) | 16.4258(3) | 16.5632(9) |
| b/Å | 15.2221(11) | 4.1733(1) | 4.1342(2) |
| c/Å | 20.3352(13) | 26.6028(4) | 26.5226(12) |
| α/° | 78.481(4) | 90.0 | 90.0 |
| β/° | 88.200(5) | 95.053(1) | 94.990(3) |
| γ/° | 86.334(5) | 90.0 | 90.0 |
| V/Å3 | 1213.71(17) | 1816.53(6) | 1809.27(16) |
| Z, Dcalc (Mg/m3) | 1, 1.253 1 | 2, 1.792 | 2, 1.802 |
| R1/Rw [I > 2σ(I)] | 0.0775/0.1834 | 0.0191/0.0416 | 0.0694/0.1135 |
| T/K | 150(2) | 150(2) | 150(2) |
| CCDC 2 | 1545581 | 1545582 | 1545583 |
| x | TMI (K) |
|---|---|
| 0.0 | 12.4 |
| 0.0075 | 12.3 |
| 0.01 | 12.2 |
| 0.02 | 11.8 |
| 0.05 | 10.8 |
| 0.1 | 9.7 |
| 0.2 | 9.6 |
| 0.4 | 9.1 |
| 0.5 | - |
| 0.8 | - |
| 0.9 | - |
| 0.95 | - |
| 0.98 (β) | - |
| 0.98 (α) | 8.7 |
| 1.0 | 8.1 |
© 2017 by the authors. Licensee MDPI, Basel, Switzerland. This article is an open access article distributed under the terms and conditions of the Creative Commons Attribution (CC BY) license (http://creativecommons.org/licenses/by/4.0/).
Share and Cite
Matos, M.; Bonfait, G.; Santos, I.C.; Afonso, M.L.; Henriques, R.T.; Almeida, M. The Solid Solutions (Per)2[PtxAu(1−x)(mnt)2]; Alloying Para- and Diamagnetic Anions in Two-Chain Compounds. Magnetochemistry 2017, 3, 22. https://doi.org/10.3390/magnetochemistry3020022
Matos M, Bonfait G, Santos IC, Afonso ML, Henriques RT, Almeida M. The Solid Solutions (Per)2[PtxAu(1−x)(mnt)2]; Alloying Para- and Diamagnetic Anions in Two-Chain Compounds. Magnetochemistry. 2017; 3(2):22. https://doi.org/10.3390/magnetochemistry3020022
Chicago/Turabian StyleMatos, Manuel, Gregoire Bonfait, Isabel C. Santos, Mónica L. Afonso, Rui T. Henriques, and Manuel Almeida. 2017. "The Solid Solutions (Per)2[PtxAu(1−x)(mnt)2]; Alloying Para- and Diamagnetic Anions in Two-Chain Compounds" Magnetochemistry 3, no. 2: 22. https://doi.org/10.3390/magnetochemistry3020022
APA StyleMatos, M., Bonfait, G., Santos, I. C., Afonso, M. L., Henriques, R. T., & Almeida, M. (2017). The Solid Solutions (Per)2[PtxAu(1−x)(mnt)2]; Alloying Para- and Diamagnetic Anions in Two-Chain Compounds. Magnetochemistry, 3(2), 22. https://doi.org/10.3390/magnetochemistry3020022

