Abstract
This laudatio is dedicated to Professors Miguel Julve Olcina and Francisco Lloret Pastor on the occasion of their retirement in 2024. The first part deals with the scientific trajectory of the Coordination Chemistry team at the University of Valencia, within the Department of Inorganic Chemistry on the Burjassot campus and then in the Paterna Institute of Molecular Science. The second part relates some of the more salient results of the heritage left by our two colleagues in molecular magnetism, where they developed, in their own way, a rational approach to designing, creating and understanding a wealth of brand new systems from the simplest to Multifunctional Molecule-based Magnetic Materials. The robust and friendly links between our two colleagues are emphasized in the third part.
1. Introduction
When our Editor-in-Chief, Carlos Gómez, proposed that I write an article for this Special Issue of Magnetochemistry, dedicated to the extraordinary scientific and human story of my two good friends, Francisco Lloret Pastor and Miguel Julve Olcina, I accepted with enthusiasm.
Now, a few months later, the terrible news of Miguel’s recent loss has knocked down my enthusiasm. I am sorry to tell the reader that the lines below were the most difficult to conceive and to write in my life, fed at the same time by my admiration for the accomplished work, my affection for my two friends and an immense sadness.
The story is so endearing that I nevertheless decided to try to tell it. I was happy to publish two tribute papers in the past, one celebrating Professor Juan Faus, the initiator of the Coordination Chemistry lab in Valencia [1], and the other for the 65th anniversary of Professor Miguel Julve [2]. I dare to use quotations from these papers below.
I had the privilege of meeting Francisco Lloret Pastor and Miguel Julve Olcina to work with them and become their friend. I am happy to have been, during more than 40 years of exchange, the witness and, among others, an actor of this remarkable scientific and friendly saga. The present contribution is an attempt to present the scientific and human story of my two friends, often affectionately called Miguel and Paco in the text.
2. The Coordination Chemistry Team at University of Valencia
We undertake here a journey of almost 50 years of scientific activity, located half and half in the XX and XXI centuries, following the track of two friends, from modest Valencian students at the beginning of the Spanish democratic transition to their international scientific recognition as European Academicians.
2.1. At the Beginning (1976)
To begin, we go back to before the beginning of the eighties. Let us imagine Professor Juan Faus at the University of Valencia, creating a group for coordination chemistry in 1976 to explore fundamental problems in solution by potentiometric and spectroscopic studies; see, e.g., the 1977 paper on violurate complexes of transition metals [3].
To locate the date, in 1976, Spain was one year after the death of Franco, at the beginning of the reign of Juan Carlos and the so-called Spanish democratic transition. “Spain knew a sudden burst of changes and hopes in many aspects of the social life. It is significant that the new group was born at this time” [1].
Among the first students of J. Faus were J.M. Moratal and our two young promising friends, Miguel and Paco. Miguel Julve was pursuing the thermodynamical study of violurato complexes of transition metals [4,5,6]. A little later, Francisco Lloret was undertaking analogous studies with other ligands, including salen [7,8,9]. Once, attending a conference of a famous French Professor of Solid-State Chemistry, Paul Hagenmüller, Miguel Julve was looking for a post-doctoral stay in a good coordination chemistry laboratory. He was advised to contact Professor Olivier Kahn at Orsay. Olivier was heading a small enthusiastic team, recently created (also in 1976), dedicated to molecular magnetism, a scientific discipline in which Olivier Kahn was one of the pioneers [10].
2.2. Orsay’s Interlude
When Miguel arrived at Orsay, “Olivier Kahn decided that Miguel and me (member of the “long chain” group in the lab with J.J. Girerd, and speaking some broken Spanish) should work together to check experimentally the Heitler-London model of exchange recently coined by him and Briat, thanks to specially designed compounds. (Figure 1). We started with a very simple system: an oxalate bis-chelating ligand bridging two Cu(II), spin = 1/2 and diamine or triamine chelating terminal ligands” [2]. The reader can find in this article how the conditions of hard work, exchanges and discussions with Olivier and with the senior scientists of the lab, Irène Morgenstern-Badarau, Marie-France Charlot, Jean-Jacques Girerd, Yves Mathey, allowed the achievement of rapid progress. This initial common experience of research, combining experiments and theory, enriched by confident discussions with colleagues in a friendly atmosphere, has coined for Miguel and me our life’s behaviour as researchers.
Figure 1.
The Orsay team at the arrival of M. Julve in 1981. One can recognize some of the protagonists of our narrative, O. Kahn (centre), at his left I. Morgensten-Badarau, J. Zarembowitch, Dr. Journaux (looking back), the author. © A. Kahn-Harari.
After a few months, Miguel produced various systems, which revealed “textbook examples” to illustrate the relevance of Olivier’s model and its efficiency in understanding and foreseeing the magnetic properties of simple dinuclear transition metal complexes and more sophisticated bimetallic ferrimagnetic chains, another hot topic at this time. As the oxalato chains were reluctant to form single crystals, we began EXAFS at LURE, the French synchrotron source at Orsay, which was continued later by I. Castro in Valencia (at ALBA in Bellaterra).
Several papers followed [11,12,13,14,15,16]. They appear important to me since they can be considered as the first seeds of the work on molecular magnetism in Valencia: the circular close link between experiment and theory, syntheses and crystal growth thanks to Miguel, who gained here his status of “green fingers” chemist, who was open to new techniques (magnetic measurements, EPR, EXAFS), close relations and discussions with crystallographers. One of the articles, a textbook example [15], is still among Miguel’s most quoted works. The last reference introduces an important new window. After the appearance of µ-oxalato binuclear copper (II) complexes, µ-oxamato and µ-oxamido ones followed [16]. A tiny change, but big developments were to come in Burjassot.
At the end of Miguel’s stay in Orsay, where he did not accept a permanent position as a researcher at the CNRS, we convinced Olivier that it could be good to pursue collaboration with the Valencia team. Indeed, a few years later, in October 1986, Francisco Lloret arrived, in collaboration with a young colleague, Dr. Y. Journaux and José Antonio Real in collaboration with Jacqueline Zarembowitch, under the leadership of Olivier. José Antonio was coming from the Inorganic Chemistry Department of the Faculty of Pharmacy in Valencia.
The stay and work of Paco, involved in the problem of magnetic exchange in the Mn-Cu chains, were very fruitful as demonstrated by [17,18,19,20,21]. New windows appeared: oxamidate derivatives, ordered bimetallic chains, molecular magnets, deeper investigation of the physics and magnetism of materials, where Paco excelled, and closer collaboration with outstanding physicists such as Jean-Pierre Renard.
José Antonio was involved in the Spin Crossover (SCO) problem, in particular combining SCO and magnetic exchange in Fe(II)-bypyrimidine dinuclear complexes, a topic proposed by Olivier. José Antonio’s stay was the source of a new burst of results. It could be, and should be, told as another amazing story.
The three post-doctoral stays, as a whole, were at the origin of several molecular magnetic seeds carefully grown by the future creative work in Valencia.
2.3. The Coordination Chemistry Group in the Department of Inorganic Chemistry (DIC), University of Valencia (Up to 2000)
Thanks to a new Spanish governmental program, talented young Spanish scientists benefitted from post-doctoral fellowships abroad. Hence, J.M. Moratal and E. García-España visited the groups of Professors Bertini and Paoletti in Florence (in bioinorganic and supramolecular chemistry), along their own scientific ways.
“Their reincorporation in the mother group in Valencia allowed the achievement of a solid background in solid-state coordination chemistry, in structural studies and in magnetism” [1]. “This national and European opening-up transformed deeply Faus’s group and beyond, the Inorganic Chemistry Department. It brought new blood, modernized and diversified the themes, and opened the way to publications in European and American journals” [1].
“Furthermore, some of the systems investigated by Professor Faus underwent spin changes [complexes of Co(II) and Fe(II) with violurate and its alkyl derivatives] and led him to be interested in Molecular Magnetism. New equipment, a variable-temperature Faraday balance permitted to carry out this new research avenue at home, always keeping and reinforcing the collaboration with foreign teams. Along the years, the scientific partnership transformed into reciprocal esteem and friendship” [1].
The lab of our two friends was initially located on the campus of Burjassot, a pleasant green place close to the teaching theatres and the students. During this time, several of them, attracted by the teaching talents of J. Faus and his coworkers, Miguel, Paco and others, as well as the dynamics of the team, joined the team and contributed to its expansion.
It is not easy to give a brief overview of the scientific production of our two friends in the period 1990–2000. As for the quantitative scientific production in this period, Miguel published around 200 papers and Paco published more than 120.
It is more enlightening to look at the scientific orientation of the group, not forgetting former solution studies but clearly turning to molecular magnetism. There was, in my opinion, a triple movement: (i) some continuity with the synthesis of appropriate chemical systems to study exchange interaction between two metallic ions using new bridging and peripheral ligands; (ii) the study of more and more sophisticated systems, including polynuclear, 1D chains, 2D sheets, 3D materials; new metallic ions beyond CuII and NiII with a particular interest in CoII; and a look at lanthanides, coupled at the same time with a thorough and deeper interpretation of the physical properties; (iii) the opening to national and international collaborations with several laboratories, in Spain and abroad, often through bilateral actions (Picasso with France, INTAS with Russia, and European TMR Networks).
In the following sections, I select a few examples of ligands, complexes used as ligands, combined experimental and theoretical studies and new transition metallic ions, enlarging the research scope and the width of collaborations, hence preparing projects to develop at ICMol.
2.3.1. New Ligands, New Systems
As an extension of the post-doctoral stays, at a time of learning independence, the research continued on the exchange interaction through different bridges, including oxalate, oxamates, oxamidates, bipyrimidine, terephtalate, dithiosquarate, azide, hydroxo, cyanato, thio-cyanato, cyanido, carbonate.
I like the way Miguel answered the question “Why other bridges?” on the example of the simplest bridging ligands, two carbon atoms surrounded simply by oxygen, oxygen and nitrogen, sulfur, with their atomic orbitals ready for tuning exchange interaction. (Figure 2).
Figure 2.
A few molecular bridges used in Valencia to study exchange interaction between two metallic ions. From [22], courtesy of M. Julve, adapted with permission from Nouv. J. Chim. 1985, 9, 325–334 [16]; Inorg. Chem. 1990, 29, 4500–4507 [23]; J. Chem. Soc. Dalton Trans. 1999, 1669–1676 [24].
Paco and Miguel actively continued their exploration of new bridges and launched a series of PhD theses (I. Castro, Cu(II) complexes with Oxalate, Squarate and Croconate, 1991; R. Ruiz, Oxamidate, 1995; R. Lescouëzec, Cyanido, 2002) along with the theoretical interpretation of their magnetic properties (J. Cano, 1998).
Oxalate
As for oxalate (C2O4)2− derivatives, the syntheses were most often accompanied by crystallographic structures and theoretical interpretations of magnetism, up to a three-dimensional chiral cobalt network and magnet, introducing new perspectives in the group, with chirality and spin canting [23,25,26]. Oxalate was also elegantly used in networks with bipyrimidine (see below).
Oxamate and Oxamidate
When looking at the structure of oxamate and oxamidate in Figure 2, one discovers that nitrogen can welcome an organic tail R (N–R), offering many remarkable possibilities, structures, properties and … publications. “Oxamidato complexes”, for example, were treated in six papers and provided original structures of different dimensionalities, a combination of transition ions and lanthanides. We quote only a few [16,20,27,28,29,30].
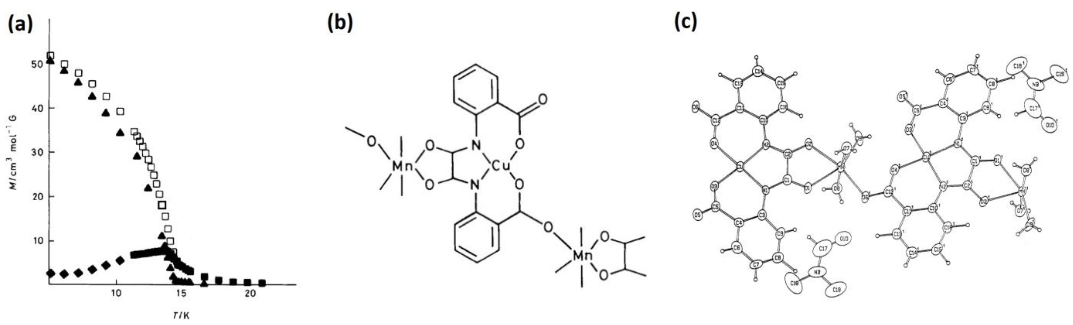
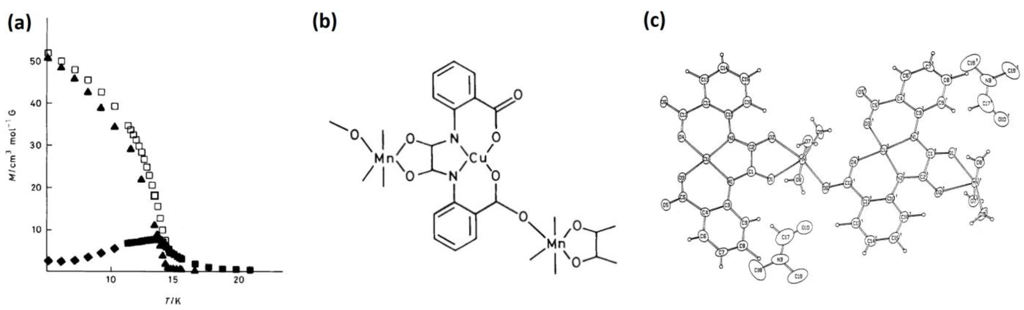
The one-dimensional bimetallic ferrimagnetic system CuMn(obbz) [17] deserves a special comment [obbz = oxamido bis(benzoate)]. It is a nice example of a complex used as a ligand, first published at Orsay by Francisco and Olivier as a magnet at Tc = 14 K, “exhibiting the highest ordering temperature reported to date” [20]. Thanks to endeavours in Valencia, the structure of its DMF solvate was solved after three years, giving the possibility of understanding the 3D magnetic ordering [29] (Figure 3).
Figure 3.
MnCu(obbz) Z (a) magnetization of MnCu(obbz)·H2O [17]; (b) postulated molecular structure [17]; (c) crystal structure of MnCu(obbz)(H2O)3·DMF [29]. Courtesy of F. Lloret, adapted from J. Chem. Soc. Chem. Comm. 1988, 10, 642–643 [17] and Inorg. Chem. 1993, 32, 27–31 [29].
The possibilities offered by oxamidates also appear on the original pentanuclear compound obtained with the so-called ligand apox (H2apox = N,N′-bis(3-aminopropyl)oxamide) with Cu(II) and lanthanide appearing here for the first time with a ferromagnetic Gd(III)-Cu(II) interaction [30].
The first of the substantial reviews published by the group on the accomplished work was precisely on oxamidates, written by Rafael Ruiz (Rafa) after his PhD thesis [31], and was a splendid summary, gathering equilibria in solution—a pedestal of the team and a strength for synthesis—organic ligand tailored syntheses, rational synthetic strategies and coordination chemistry of oxamidates, from mononuclear complexes to bimetallic chains and 2D sheets.
Bipyrimidine
Among the bischelating ligands, bipyrimidine (bipym) became a new favourite, initiated with a collaboration with Giovanni de Munno at Arcavata di Rende University (Italy), his colleague Giuseppe Bruno (Univ. Messina) and then Donatella Armentano. Several papers were dedicated to 2,2′-bipyrimidine-bridged dinuclear complexes with different transition metallic ions, e.g., Cu(II) [32], Ni(II), Fe(II), Co(II) [33]. The chelating ability of bipyrimidine and its flexibility were combined with many other ligands, such as azido, cyanato, hydroxo and oxalate (Figure 4). The azido one appeared as a copper(II) 1D ferromagnetic chain [34] and a Mn(II) plane [35]. With cyanato, 1D, 2D and 3D systems were reached [36]. The oxalate ones provided systems with dimensionalities from 0 to 3 [37,38,39].
Figure 4.
(a) Crystallographic structure of the Cu(II)(bipym)Ox·nH2O unit and the corresponding 2D network. Courtesy of F. Lloret, adapted with permission from Angew. Chem. Int. Ed. 1993, 32, 613–615. [37]. (b) 2D structure of the Cu(II)(bipym)(N3)2. Courtesy of F. Lloret.
Continuing their review of ligands, our friends explored squarate [40], croconate [41], carbonate [42,43] and malonate.
Malonate
Malonic acid is another flexible molecule that coordinates well with copper(II) and many other metallic ions. The malonate field was developed with the team of Professor Catalina Ruiz-Pérez, Univ. la Laguna, Canarias [44].
The study of metal–metal distances on the importance of the exchange was extended from diamines [45] to carboxylic acids [46].
To conclude on Burjassot’s times, a few important domains still need to be presented.
The pioneering work on spin cross-over by J.A. Real, with M.C. Muñoz, Miguel and French groups, allowed them to find and report the beautiful Fe(II) interlocked system allowed by the catenane, 1,2-di-(4-pyridyl)-ethylene, (tvp, Scheme 1), which turned out to be the first porous metal–organic framework with spin cross-over behaviour (Figure 5) [47].
Scheme 1.
Catenane 1,2-di-(4-pyridyl)-ethylene.
Figure 5.
Spin cross-over. (a) Structure of [Fe(tvp)2(NCS)2]·CH3OH (tvp = 1,2di-(4-pyridyl)-ethylene), in the [001] direction; (b) Mössbauer spectra from high spin to low spin. Courtesy of J.A. Real, adapted with permission from Science 1995, 268, 265–267 [47].
The 2D honeycomb-like cyanide bridged complex [Ni(cyclam)]3[Fe(CN)6]2·nH2O metamagnet opened a long-term collaboration between F. Lloret and Professor Colacio (Univ. Granada) (Figure 6) [48].
Figure 6.
Crystallographic structure of the 2D honeycomb-like [Ni(cyclam)3[Fe(CN)6]2·nH2O (cyclam = 1,4,8,11-tetraazacyclodecane)], combination of [FeIIII(CN)6] units and Nicyclam. Courtesy of F. Lloret, adapted with permission from Chem. Comm. 1999, 11, 987–988 [48].
Juan Faus introduced the study of third-row transition metal ions, developing the chemistry of Re(IV), 5d3 ion, rare at this time, and its exchange with Cu(II), in collaboration with the group of Professor Kremer (Univ. Montevideo, Uruguay) [49].
2.3.2. New Collaborations
The preceding section demonstrates that in this phase of development, the group expanded a lot of its collaborations from Spain and France to Europe and beyond. (Figure 7 and Figure 8) Several of these scientific links continued for many years with outstanding impact. They contributed to the scientific production in the ICMol years. Let us give a few prominent examples of close and sustainable collaborations—figures should be taken as rough approximations: Professor C. Ruiz-Pérez (145 articles from 1997 to 2020) among them malonates; Professor de Munno (118 items, from 1988 to 2022) among them bipyrimidine complexes. It even gave rise to a tribute by Miguel Julve. [50], Professor D. Armentano (71 items from 1999 to 2019); Dr. Journaux, who nourished in part the oxamidate work (66 items from 1989 to 2021); Professor J. Sletten (46 items from 1988 to 2011); Professor M. Andruh (36 items from 1998 to 2021); Professor A. Gleizes (13 from 1983 to 2018), including a 1996 INTAS project with Russia (Prof. N. Kuzmina). As for the author, 38 common articles either with Miguel, Paco, or both appeared from 1983 to 2018.
Figure 7.
Working visit at the Department of Inorganic Chemistry, Burjassot 1995. From left to right: Pedro Gómez-Romero, Santiago Alvarez [25], Francisco Lloret, Ramdane Ouahes [51], Pascual Román [25]. © MV.
Figure 8.
Spanish-French “Picasso’s actions” times. After a working session at the department, on the way to a paella at the Albufera. From left to right: Juan Faus, Miguel Julve, Francisco Lloret, Michel Verdaguer (visitor) © MV.
Crystallographers and Theoreticians
Our two friends carefully cultivated their collaborations with crystallographers along the years. Their names appear in the references, but it is a pleasure, and a privilege, to quote some names, with some who are from my own laboratory: Alain Gleizes (ENSIACET Toulouse), Jorunn Sletten (Univ. Bergen), Catalina Ruiz-Pérez, Jorge Pasán (Univ. La Laguna), Yves Jeannin, Michèle Philoche-Levisalles, Claudette Bois, Jacqueline Vaissermann, Patrick Herson (CIM2 Paris), Lise Marie-Chamoreau, Kamal Boukekeur (IPCM Paris), Stoekli-Evans (Univ. Neuchatel), Xavier Solans, M. Font-Bardia (Univ. Barcelona) and M. Carmen Muñoz (Univ. Valencia), without forgetting neutron scientists Oscar Fabelo and Laura Cañadillas-Delgado (I.L.L.). The crystallographic structure, molecular and supramolecular, represents an essential piece in the work and steps of Paco and Miguel for at least two reasons: (i) to check how the changes in the synthetic process modify the structure and to orient further syntheses planned by Miguel and (ii) to obtain the most precise information on the structures in view of an exact interpretation of the physical properties, the subtle magnetic ones in particular, as requested by the sophisticated theoretical interpretations by Paco.
The second kind of privileged collaboration is with theoreticians, either at home (Joan Cano, precious in molecular orbitals and spin calculations and interpretations) or elsewhere, in particular with the Department of Inorganic Chemistry of Barcelona University, Professors Santiago Alvarez and Pere Alemany, who welcomed Joan as an ICREA researcher (Institució Catalana de Recerca I Estudis Avancats) during several years.
A final word on Professor Juan Faus, the founding father.
“Professor Faus was appointed as an Assistant Professor in 1968 at the Department of Inorganic Chemistry of the University of Valencia. He became Full Professor at the same Institution in 1980. He held this position until his retirement in 2017, after almost 50 years of continuous dedication to the University. Amazingly, he decided to continue to work in the old Inorganic Chemistry building of the university, even when the new and more functional buildings of the Institute of Molecular Chemistry (ICMol) became available. His passion for teaching induced him to stay closer to the students by remaining in the old building” [1] (Figure 9).
Figure 9.
From Burjassot (DQI) to Paterna (ICMol), continuity and changes. From left to right: (a) Professors J. Faus, (b) M. Julve, (c) F. Lloret (Coordination Chemistry Group), (d) Professor E. Coronado (creator and director of ICMol). © MV and © Alvarez.
2.4. Paterna, Molecular Science Institute (ICMol) from 2000
“The ICMol was founded in 2000 to develop a competitive and high-quality research in materials science using a molecular approach. In fact, ICMol is the sole research centre in Spain exclusively focused on the molecular aspects of Nanoscience, with a special emphasis on the study of functional molecules and materials exhibiting useful magnetic, electrical or optical properties” [52]. It was created by a young, charismatic and ambitious Professor, Eugenio Coronado (Figure 9). A coordination chemist, he was studying EDTA bimetallic chains with M. Drillon in Strasbourg in the 1980s.
The group moved in 2005 to the premises of the Molecular Science Institute of Valencia, when the new building became available.
This was a new important impulsion and turn in the activity of the team. The coordination chemistry team at ICMol gathered the older members with our two full Professors, Miguel Julve and Francisco Lloret, who was just promoted (Figure 9), whereas Professors J.A. Real and M.C. Muñoz created their own group dedicated to spin cross-over. Along the years, Miguel and Paco became heads of the team, gathering colleagues such as Isabel Castro (Professor), Salah Eddine-Stiriba (Lecturer), Joan Cano and Rafael Ruiz (permanent researchers), hired researchers (Emilio Pardo, José Martínez-Lillo, Marta Viciano, Luminita Toma, Jesús Ferrando-Soria), one technician (Nicolás Moliner) and many doctoral students and Post Docs (Figure 10). It is frustrating to be unable to quote their names. They appear in the references and the Supplementary Materials.
Figure 10.
1st row, Consuelo Yuste, Julia Vallejo; 2nd row, from left to right, Isabel Castro, Paco Camallonga, Joan Cano, Jesús Ferrando-Soria, María Castellano, Luminita Toma, Thais Grancha, María Grancha, Rafael Ruiz, Emilio Pardo; 3rd row, Salah Stiriba, Miguel Julve, Marius Andruh (visitor), Francisco Lloret, Francisco Fortea-Pérez, Jeremy Chaignon © I. Castro.
To understand the evolution of the theme of the coordination chemistry team, it is perhaps appropriate to remind the reader of two papers published in Nature in the 1990s.
The first one, in 1993, by Sessoli and coworkers, opened the possibility to achieve molecular magnetic bistability without long range order, some kind of a revolution in molecular magnetism. [53] It provoked the exponential apparition of single-molecule magnets (SMMs), single-chain magnets (SCMs) and even single-ion magnets (SIMs). Ref. [53] highlights species very present in the production of Paco and Miguel. The second one in 1995, by Ferlay and coworkers, realized, through a rational approach, the initial dream of the protagonists, as shown in Figure 1, at Orsay (succeeding in obtaining a room temperature molecular magnet). At the same time, it made new endeavours and competition in this field less exciting [51]. One day, Paco even told me, “Michel, you killed the game”. Of course, the game continued, along many other different lines, illustrated by the opus of our two friends. But, from then, isotropic exchange coexisted with anisotropy. And static magnetic measurements left a useful place for dynamic ones.
We can now travel through the tremendous work performed in ICMol thanks to the beautiful reviews published by our two colleagues and by their coworkers (Figure 11) authors); they often present an exhaustive review of the field and a perspective. Most often, the first author is the researcher, PhD student or Post Doc fellow who made the more substantial contribution. This is not insignificant since it shows the care of Miguel and Paco not only for training young scientists but also to lighten their work and to support their careers. Many of these young scientists are now full-time researchers, in Spain or abroad. The corresponding authors are frequently one of the two friends (starred * in the references) who accompanied the young researchers, giving them independence. Following a chronological order helps to demonstrate how the different concepts and topics developed over time.
Figure 11.
A bird’s-eye view of the reviews produced by the group from 1999, with first and corresponding authors. A readable version is available in the references. © MV.
The second review, after the one by Ruiz [31], was produced by R. Lescouëzec, a French student, joint PhD Paris-Valencia, dealing with cyanide derivatives. Single-chain magnets (SCMs) entered in the range of the team’s realizations (Figure 12) [54].
Figure 12.
Miguel’s dynamic colorful presentation of the complex-as-ligand cyanido precursors. From [22], courtesy of M. Julve. Adapted with permission from Coord. Chem. Rev. 2005, 249, 2691–2729 [54].
One year later, L. Toma, Rumanian PhD student in Valencia, introduced in the game Ru(III), a 4d element, with a novel cyanido precursor, trans-[RuIII(acac)2(CN)2]− [55].
Emilio Pardo, a Valencian PhD student, intended to demonstrate the general validity of the “complex-as-ligand” approach for the rational design of metallosupramolecular assemblies with increasing structural and magnetic complexity, using a novel family of aromatic polyoxamato (or apoxa) ligands (Figure 13) [56].
Figure 13.
A graphical summary of Metal Organic Ligands (MOLs) from oxamate able to build materials of increasing dimensionality (D), from 0D (Metal Organic Clusters; MOCs) to 1D, 2D, 3D-Metal–Organic Polymers (MOPs). Courtesy of E. Pardo, adapted with permission from Dalton Trans. 2008, 2780–2805 [56].
M.C. Dul, a French student, joint PhD Valencia-Paris, in a review dedicated to the late Professor Olivier Kahn, introduced a novel family of aromatic polyoxalamide using a supramolecular approach to multifunctional magnetic materials, with a number of international coworkers, including Brazilians colleagues. Metallacyclic complexes gave rise to metallacyclophanes or metallacryptands. (Figure 14) Devices began to be envisioned [57].
Figure 14.
Metallosupramolecular chemistry and related molecular sciences. Courtesy of F. Lloret, adapted with permission from Coord. Chem. Rev. 2010, 254, 2281–2296 [57].
G. Marinescu and M. Andruh, a long-time coworker, proposed a new tecton, bis(oxalato)chromium (III), based on an inert d3 Cr(III) ion, which allows many versatile syntheses [58].
Thais Grancha, a Spanish PhD student, enlarged the view in a feature article, introducing advances in multifunctional magnetic devices from oxamato coordination polymers (CPs). Exploratory studies reveal a wide variety of multifunctional magnetic materials (optically active chiral magnets, luminescent ones and dynamic porous magnets [59].
María Castellano, a Spanish PhD student, shows, in Accounts of Chemical Research, how to obtain magnetic devices, combining computation and experiments, from oxamato polymers and original copper(II) metallocyclophanes [60].
María continues the prospects offered in [60] by considering magnetic devices for molecular spintronics, an emerging discipline focusing on spin that is in constant evolution [61].
At the same time, J. Martínez-Lillo, a Spanish PhD student, focused on the use of a mononuclear complex of the anisotropic six-coordinate rhenium (IV), 5d3, as a metalloligand for the rational design of heterometallic magnetic compounds, a long-term project of J. Faus (Figure 15) [62].
Figure 15.
Metalloligands built from Rhenium (IV). From [22], courtesy of M. Julve. Adapted with permission from Coord. Chem. Rev. 2015, 289–290, 215–237 [62].
Isabel Castro Bleda, one of the first members of the team, and Nadia Marino (Univ. Calabria) developed the chemistry of copper(II) pyrazolenophanes with peculiar attention to the ligand effects on the structures and the magnetism [63].
Jesús Ferrando-Soria, a Spanish PhD student, presented a general reflection of the team on the future of molecular magnetism. It is a wide and well-documented fresco on the history of molecular magnetism and some of its perspectives for coordination chemistry (no less than 87 pages, 115 references) (Figure 16) [64].
Figure 16.
A general prospect on the future of molecular magnetism, expected fruits and suggested saps. At the roots, coordination chemistry. From [22], courtesy of M. Julve. Adapted with permission from Coord. Chem. Rev. 2017, 339, 17–103 [64]; Coord. Chem. Rev. 2015, 303, 110–138 [61]; Acc. Chem. Res. 2015, 48, 510–520 [60].
Miguel Julve collected in reference [65] the common results with Professors Greenfield and Doyle (Univ. Syracuse) and seized the opportunity to exhaustively describe the coordination chemistry of pyrophosphate, an anion with a strong biological impact.
Isabel Castro comes back in reference [66] on the many oxalate results with an original approach, considering oxalate not only as a magnetic coupler but as a polyatomic coordination centre, introducing the concepts of inverse polynuclear complexes (IPCs) and coordination polymers (ICPs).
Consuelo Yuste, a Spanish PhD student, proposes an ambitious perspective review. This perspective review, dedicated to G. de Munno, shows how the coordination chemistry approach to magnetic wires based on dinuclear copper(II) complexes with rodlike aromatic oligomers allows reaching a novel class of metallo-carbon nanostructures, possible models for single-molecule spintronics and quantum computing nanotechnologies. The quotation of famous authors and poets, road companions of Miguel and Joan, already present in preceding reviews (Molière, Pessoa, Reis-Prosas …), is even crowned by the Raphael’s Athens School famous fresco as a link between theory and experiment (Figure 17) [67].
Figure 17.
Art and Science, Earth and Sky. A simple dinuclear copper(II) complex at the centre of experiments and theories in the molecular design of metallo-carbon nanostructures with polycyclic aromatic hydrocarbon spacers and prototypes of advanced magnetic nanodevices for single-molecule spintronics and quantum computing. Background: Part of Raphael’s “The School of Athens”. Courtesy J. Cano. Adapted with permission from J. Coord. Chem. 2022, 75, 2359–2383 [67].
To conclude this section, I hope that the reader is convinced that the work and leadership realized by Miguel and Francisco created among their coworkers a common culture for a rational approach to new molecular systems, combining (i) the fundamental aspects of molecular magnetism (exchange interaction, anisotropy, orbitals and spin densities’ calculations and analyses); (ii) programmed synthesis; (iii) crystallography; (iv) physical measurements and their analysis; (v) and conclusions, applying them to new systems.
It is remarkable that many of the coworkers cited have now found their own way in science, securing stable positions within the team, at ICMol or in Spain, Europe and South America, with some becoming professors leading their own groups. This was a real pleasure and a source of deep satisfaction for Paco and Miguel.
3. The Scientific Work, an Extraordinary Harvest
3.1. Career
This first subsection presents the career of Miguel Julve and Francisco Lloret, their positions, publication impact and the following deserved awards. Figure 18 gathers this information, making apparent the extraordinary parallel between the two scientific lives. Beyond the individual competencies of the two friends, this tight connection is one of the sources of their common success.
Figure 18.
Career, positions, publication impact and awards of Miguel Julve and Francisco Lloret. (from Supplementary Materials (Document S3)) © MV.
3.2. Scientific Production
In this second part, we try to overview and summarize the salient discoveries in the scientific production of Professors Miguel Julve Olcina and Francisco Lloret Pastor, who have an abundant crop of results (Figure 18). Together, they found their own original way by developing a rational synthetic approach to design, create, study and understand Molecule-based Magnetic Materials from the simplest systems to more complex, multifunctional ones towards molecular electronics and spintronics. Their complex-as-ligand or metalloligand approach was efficient and produced new tailor-made homo- and heterobimetallic assemblies with tunable magnetic and associated properties. One knows that the rational syntheses, fed by experience and theory, are worth the candle and are also full of unexpected surprises, often sources of new inspiration. Miguel and Paco revealed excellent in both exercises.
Unfortunately, the limited space obliges me to focus on a few particularly remarkable features, related to methodology, new systems or new phenomena.
3.2.1. Research Methodology
Francisco Lloret and Miguel Julve worked following a constant rational approach: after having defined a goal to reach (compounds with requested properties or dimensionalities), they gathered the necessary ingredients for synthesis [not the simplest step, since they need to find the good metallic ion, oxidation state, spin, anisotropy, reactivity and the appropriate ligand to permit or to avoid coordination], the reaction’s conditions (solvent, temperature, …) and the full characterization of the products (analytical, structural, physical, magnetic, functional…) before performing careful analysis, interpretation and modelization of the results. The conclusions were made towards the end (and publication) or, to go further, were applied back to other syntheses. This was an apparently simple way to scientifically follow Descartes’s Method Discourse, but was rigorously applied to thousands of experiments and theoretical models, intimately mixed, and systems of growing complexity, with organic and inorganic chemistries being intertwined. They always had an eye for defining future directions, from coordination chemistry to molecular electronics and spintronics. The reviews quoted in Section 2 [40,54,57,58,61,62,63,64,65,66,67] are nice witnesses of such steps.
Of course, as evocated before, such a rigorous step always includes an exploratory and playful side, enjoyed by Miguel and by the students, and also bad or beautiful surprises, exciting the creativity of the molecular chemists. Enthalpy H and order are faithful guides, but a touch of entropy S is always there and a welcome constitutive part of free enthalpy G.
The chemical strategy “complex-as-ligands” or “metalloligands” to design molecular, supramolecular and multifunctional materials is one of the efficient tools of this rational approach. More trendy expressions such as “molecular-programmed self-assembly methods that exploit the coordination preferences of metal ions and specifically tailored ligands” [51,52,53,54,55,56,57,58,59,60] are also used and translate the same rational and practical approach to the creation of materials.
3.2.2. Continuing Previous Research
In an intermediate period, works on ligands such as malonate [44,68,69], dicyanamide [70], oxalate [71], oxamate [72] and cyanide were continued.
Special attention was paid by the team to ferromagnetism, either in an iron tetranuclear complex, the first example of a molecular species containing three peripheral low-spin iron(III) ions linked to a central high-spin iron(III) cation by single cyanide bridges [73], in a metallacyclophane by spin polarization [74]; a 2D sheet cobalt(II), in collaboration with A. Caneschi (Univ. Firenze) [75] or the ferromagnetically ordered 3D framework built from Co(II) and octacyanidotungstate(V) brick [W(V), 5d1, S = 1/2], a newcomer [76].
We do not forget the first and rare homometallic magnet (Tc = 6 K), composed of Ni(II) chains with alternating Ni2 units linked by hydroxo bridges, ferromagnetically coupled (S = 2), and Ni centres (S = 1) linked by fumarate bridges, antiferromagnetically coupled, resulting in the observed ferrimagnetism; a study with N.R. Chaudhuri (Univ. Kolkata) [77] on new cases of spin-frustrated systems was conducted in collaboration with J. Haasnoot (Univ. Leiden) [78].
The studies on the lanthanides, which began with gadolinium in [30], are pursued in [79].
3.2.3. The Special Attention Paid to Cobalt(II) and to Anisotropy
The work on cobalt(II) began in the 1980s [3,6] and in the 1990s [75,80,81]. Cobalt was one of the favourite transition metals of the team [26,46,82], up until the PhD thesis of Renato Rabelo (2022). The total represents more than 85 articles, indeed less than the 189 ones with the friendly copper(II) with its simple spin ½, but much more complex and exciting to treat and understand.
This interest was shared by the collaborating teams abroad, as shown by recent publications, where cobalt participates in multifunctional systems [83,84].
Reference [83] presents a new class of triply thermal-, magneto-, and electro-switchable spin cross-over cobalt(II)-PDI (PDI = pyridine-2,6-diimine) compounds with field-induced SMM behaviour, which possesses multiple metal- or ligand-based redox and spin states capable of reversible interconversion, whereas [84] presents a Co(II) triple helicate supramolecular nanomagnet, a common work with D. Cangussu (Univ. Goias).
Francisco Lloret applied himself strongly in establishing the theoretical background of Co(II) complexes. The difficulty in dealing with the magnetism and fitting the magnetic susceptibility data of this d7 ion, presenting a remarkable spin–orbit coupling, led F. Lloret, J. Cano and the team of coworkers to analyze the influence of the different parameters involved in the magnetic susceptibility of six coordinated high-spin Co(II) complexes and “to propose an empirical expression to fit the magnetic susceptibility of polycrystalline samples of mononuclear Co(II) complexes with an axial distortion”. The variable parameters are ∆ (axial distortion), α (orbital reduction factor) and λ (spin–orbit coupling). For polynuclear Co(II) complexes, with an exchange coupling J between effective spin S eff = 1/2, a perturbational approach allows to describe the magnetic susceptibility in the temperature range (2–300 K) as a function of J, ∆, α and k. This approach is valid in the limit of weak magnetic coupling compared to spin–orbit coupling.
As in the Lines model, this expression is given under the form of a fictitious temperature-dependent Landé factor G(T). Figure 19 gives the energy diagrams of the splitting of the Co(II) 4F and 4T1 terms as a function of octahedral ligand field (Oh), spin–orbit and magnetic field. The 4T1 term is further split in 4A2g and 4E1 terms by an energy ∆ when going from an Oh symmetry to an elongated D4h one.
Figure 19.
(a) Octahedral ligand field splitting of the 4F and 4P terms of the single-ion Co(II) with a 3d7 electronic configuration (Dq = B = 1000 cm−1 and Q = [225B2 + 100Dq2 + 180DqB]1/2). (b) Energy diagram showing the splitting of the ground 4T1 term of a high-spin Co(II) ion in an octahedral field by spin–orbit coupling and Zeeman effects. Courtesy of F. Lloret. Adapted with permission from Inorg. Chim. Acta 2008, 361, 3432–3445 [82].
Reference [82] details the elaboration of the model and proposes equations to fit the susceptibility, such as
and simple schemes for linear polynuclear Co(II) compounds (Scheme 2).
Scheme 2.
A fictitious A-A’ dimer is used to treat orbital moment and spin-orbit coupling of Co(II) in a Spin Hamiltonian frame (example of a chain). Reproduced with permission from Inorg. Chim. Acta 2008, 361, 3432–3445 [82].
Reference [82] further discusses the model’s limits and how the empirical expression accurately describes the powder magnetic susceptibility data for octahedral distorted high-spin Co(II) ion in many mono- or bimetallic systems. The model, going beyond the Lines model, has been well received. This article, dedicated to Dante Gatteschi, an international expert in anisotropy, was published in a Special Issue tribute to Dante. It is indeed the most quoted of Paco and a featured paper in the journal.
3.2.4. New Systems and New Phenomena
- The Oxalate Saga
The work on oxalate really deserves the “saga” name [1,2,3,4,5,6,12]. Miguel constantly joked about his exhaustive work on the oxalate ligand, which “is a ligand that will always be on trend (ever green). After so many years of hard work on it, even my kidneys have specialized in its synthesis and the crystallization of calcium oxalate”. In this way, he makes fun of his kidney stones, even if he has been following an anti-oxalate diet since his painful stay at Orsay’s hospital in 1982 [2].
Oxalate (Ox) gave rise to around 90 publications, from [11,12] in 1983 to [66] in 2022, and 10 international conferences. It is present in many complex-as-ligand precursors (Figure 20) and provides systems of the three dimensionalities (0–3D).
Figure 20.
Complex used as ligands: (a–c) with 1, 2 or 3 oxalato ligands; (d) CuII(obbz); (e,f) with cyanido ligands, (e) [FeIIIbipym(CN)4−]; (f) fac-[FeIII{HB(pz)3}(CN)3]−; familiar ligands of the team: (g) oxamate; (h) oxamidate (X, substituent).
The fac-[FeIII{HB(pz)3(CN)3]− anionic complex ([HB(pz)3]− = hydrotris(1-pyrazolyl)borate) (Figure 20f) was first synthesized in Valencia. It is known as a member of the HB(pz)3 or Tp class of scorpionates discovered by Trofimenko. Its steric and electronic properties and the ones of its substituted R-Tp make it suitable for building low-dimensional cyanido derivatives and commuting ones, and it was used often.
Miguel and Isabel Castro (a faithful and long-standing researcher on oxalates) recall some striking oxalate results of the team in [66], a review with more than 150 references. They furthermore describe them using the concepts of Inverse Coordination Chemistry (ICC), introduced by Haiduc [85]. Our usual oxalato polynuclear copper(II) systems then present oxalate as a polyatomic coordination centre for amine terminal ligands, forming inverse polynuclear complexes (IPCs) or multidimensional inverse coordination polymers (ICPs). The review then focuses on polypyrazole as a terminal ligand.
I give only one example of such an “ICP”, the initial simple system [Cu–Oxalate–Cu], quoted in [66], in a completely different context. To explore all its facets, we decided 30 years ago to look at the role of the counterion around the dication [(bipy)Cu(Ox)Cu(bipy)]2+. We found that different anions ensured neutrality and deeply modified the structures and the magnetism, with the antiferromagnetic J coupling constant moving from −10 to −380cm−1 [2].
The first paper was submitted, rejected and forgotten for 25 years. Thanks to Miguel’s determination, it was completely adapted to the new publication constraints on crystallographic data: new single crystals were grown by Miguel’s green fingers, new crystallographic structures were determined by L M. Chamoreau and DFT calculations were performed by E. Ruiz. Paco welcomed me in his Valencia office to better fit the susceptibility data with his homemade programs! The paper was published roughly 30 years after the beginning of the work, realizing one of Miguel’s oxalate dreams [86] (Figure 21). It reminds us of an important message: in synthesis, there is no “innocent” component. “Programming” all the details, even apparently the most trivial, is an essential step for success.
Figure 21.
A long-waited rational resurrection miracle. Realization of one of Julve’s oxalate dreams. From [22], adapted with permission from Eur. J. Inorg. Chem. 2018, 509–516 [86].
- b.
- Oxamate and Oxamidate, Another Fruitful Adventure
As for the oxalate, the work on these ligands is enormous, original and fruitful, including no less than seven PhD theses (R. Ruiz 1998), E. Pardo (2006), M.C. Dul (2009), J. Ferrando-Soria (2012), M. Castellano (2013), F. Fortea-Pérez (2015), T. Grancha (2015), more than 70 articles, and 10 conferences in congresses. It started in 1985 [16] and is still going on today [84,87,88]. The first goal was to achieve molecular-based magnets mainly with the precious bridging qualities of oxamidates [16,21,27,28,29]. Then, it moved to more sophisticated materials of all dimensionalities, thanks to the versatile chemistry of flexible oxamates and the derived cyclophanes.
The giant synthetic work, which can be perceived in Figure 13 and Figure 16, was accompanied by calculations and theoretical orbital and spin densities interpretations, in the intricated theoretical/experimental manner of our two friends. Figure 22 shows that previous work on spin polarization [74] allows us to complete and interpret how a simple change in the meta- or para-position on the aromatic spacer between two copper(II) oxamate moieties leads either to a singlet or to a triplet ground state.
Figure 22.
Dinuclear copper(II) cyclophane, meta- (a) and para (b). Ligand and metal are shown by sticks and balls. Spin density distributions in the ground state triplet (c) and singlet (d). Yellow and blue contours are the positive and negative spin densities. Spin polarization interpretation, triplet (e), singlet (f). Courtesy of J. Cano. Adapted with permission from Coord. Chem. Rev. 2010, 254, 2281–2296 [57]; Coord. Chem. Rev. 2015, 303, 110–138 [61].
More generally, the programmed change in the spacer between oxamate moieties in cyclophanes opened the way to porous materials. Many results on porous magnets take their origin from them (see list-item f. below) and multifunctional systems (see list-item g. below).
- c.
- Single-Chain, Single-Molecule and Single-Ion Magnets (SCMs, SMMs, SIMs)
Anisotropy of the metallic ion is essential in this field as predicted by Glauber. Cobalt(II) is often present. The energy barrier between the up and down magnetization ground states governs the long relaxation time for the magnetization reversal, tuned by quantum tunnelling.
Among the results obtained with cyanides, we highlight the seminal paper published on the two nanowires [{FeIII(L)(CN)4}2CoII(H2O)2]·4H2O] (L = 2,2′-bipyridine) or 1,10-phenanthroline), with D. Gatteschi and W. Wernsdorfer, leaders in the field, in Angewandte Chemie, 2003 [89]. Figure 23 displays the structure and the magnetism.
Figure 23.
One of the first Single-Chain Magnet. (a) Structure of the Fe2Co chain; (b) double-chain magnetization vectors; (c) magnetization when rotating the field; (d) magnet behaviour at low T; (e) ac susceptibility. Adapted with permission from Angew. Chem. Int. Ed. 2003, 42, 13, 1483–1486 [89].
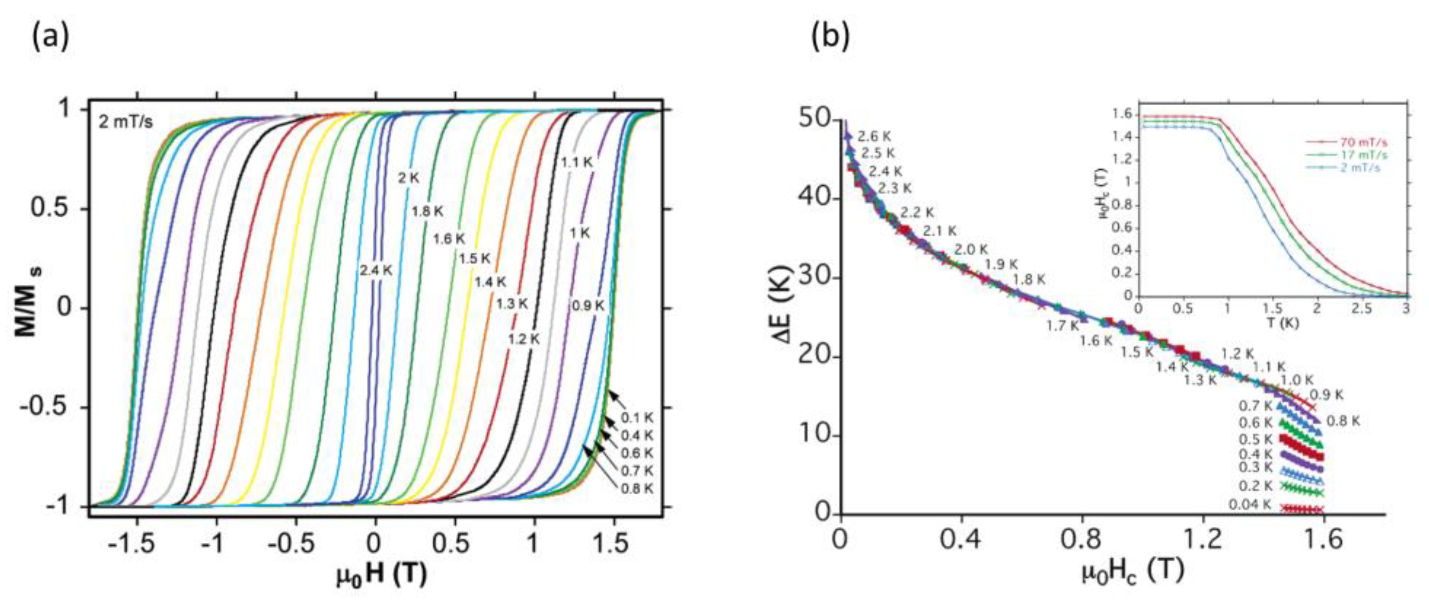
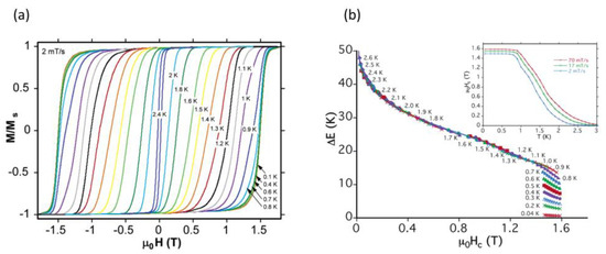
Similar chains were soon identified [90]. The beautiful review [54] replaced the name “nanowires” with the more trendy “single-chain magnets” and reviewed studies on stable cyanide-bearing six-coordinate complexes of formula [MIII(L)(CN)x](x+l−m)− (M = trivalent transition metal ion and L = polydentate blocking ligand) to build materials, including single-chain magnet (SCMs). Then, other building blocks were proposed, such as [FeIII(bipyrimidine)(CN)4]−, to obtain new SCMs [91]. It is difficult for me to resist the pleasure of showing how revealing the magnetic data are when measured on a micro-SQUID (W. Wernsdorfer) and how spectacular their representation becomes (Figure 24).
Figure 24.
Micro-SQUID measurements on the{[FeIII(bpym)(CN)4]2CoII(H2O)2·6H2O]} Single-Chain Magnet. (a) single crystal hysteresis loops at several temperatures and 0.002 T/s. (b) field dependence of the energy barrier and coercive field Hc for the chain as a function of temperature. Adapted with permission from J. Am. Chem. Soc. 2006, 12, 4842–4853 [91].
The first oxamate Single-Chain Magnet, a bimetallic Co(II)-Cu(II) chain, with a large Ising anisotropy, was identified, and a new class of SCMs was discovered [92]. A review was written with other experts 8 years after the discovery of SCMs in Florence in a Special Issue in Inorganic Chemistry dedicated to molecular magnetism [93].
Single-molecule magnets were also tackled with ions such as Mn(III) or Co(II).
Mn(III) was studied with polynuclear complexes Mn6 and the famous Mn12 [53] in a Greek-Catalan collaboration with Paco [94]; also, a mononuclear complex was studied with J. Krzystek and W. Wernsdorfer. It can be named a single-ion magnet and is the first Mn(III) SIM [95].
The few other SIMs existing at this date were iron or cobalt complexes.
With Co(II), positive anisotropy was demonstrated in the first example of field-induced single-molecule magnet behaviour in a mononuclear six-coordinate Co(II) complex with a transverse anisotropy energy barrier [96].
- d.
- Coordination Chemistry of Heavier 4d and 5d Elements, Re(IV), Lanthanides
The remarkable creative contribution of the group to coordination chemistry is also illustrated by the development of the chemistry of heavy transition elements of the second (4d) and third period (5d) and lanthanides (4f). Ruthenium is presented in [55].
The chemistry of rhenium ion Re(IV), which exploits the large magnetic anisotropy of this 5d3 ion, was initiated by J. Faus. [49], followed by further work from the group and José Martínez-Lillo. This difficult enterprise was reviewed by José and Joan [62]. Structures and magnetism are synthetically illustrated in Figure 15 and Figure 25.
Figure 25.
Above: mononuclear Re(IV) metalloligand. Middle: nuclearity and structure of the synthesized complexes; Below: magnetism. From [22], courtesy of M. Julve, J. Martínez-Lillo. Adapted with permission from Dalton Trans. 2011, 40, 4818–4820 [97]; Inorg. Chem. 2007, 46, 3523–3530 [98]; J. Am. Chem. Soc. 2006, 128, 14218–14219 [99]; Dalton Trans. 2008, 40–43 [100].
Lanthanides were addressed on many occasions, including the thesis by Alejandro Alvarez (2017). It began with the common work with A. Gleizes and N. Kuzmina on d–f heterometallic complexes [101]. Several works dealt with the d–f exchange interaction [30,79]; familiar ligands, malonate and dicarboxylate [102,103], cyanide [79,104] or others [105,106]; the anisotropy in single-ion magnets (SIMs) [107]; or the luminescent properties (see list-item g).
Lanthanides were also sources of rarely observed trinuclear structures [108] and phenomena [109] carefully explored.
- e.
- Spin Cross-Over (SCO)
The change in spin of a transition metal ion under different constraints (T, P, hν; …) was and remains a hot topic in molecular magnetism. The domain was beautifully developed by José Antonio Real and M. Carmen Muñoz in another ICMol team and it was not specifically looked at closely by Paco and Miguel. The 1995 Science paper was already quoted [47]. The SCO phenomenon emerged when appropriate systems, mainly with cobalt(II), were developed, starting a long time ago with the violurate [81]. This work was conducted in collaboration with B. Machura (Univ. Silesia, Katowice] [110,111] and was even applied in a multifunctional context (electroswitching in a Co(II) SMM) [112].
- f.
- Porous Magnets
This is another important issue in the scientific trajectory of Paco and Miguel. Their strategy to obtain porous magnets with predictable structures and tunable magnetic properties was similar to the strategy of Robson, Yaghi and Kahn but followed their own original approach, using, for example, ferromagnetically coupled, oxamato-based dinuclear metallacyclic complexes as ligands towards other ions to elaborate mixed metal–organic frameworks. The following figures (Figure 26, Figure 27, Figure 28 and Figure 29), extracted from a presentation by Paco at a Spanish National School (in Spanish and English), illustrate the rational strategy described above, which was put into action in a very clear pedagogical manner together with the results [113]. When useful, titles have been translated to English in the captions.
Figure 26.
Spacers envisioned for synthesizing porous polymers; growing interest in porous systems; how to obtain various porous solids. From [113], courtesy of F. Lloret. Acknowledgement to CrystEngComm 2012, 14, 3001–3004 [114]; Pure Appl. Chem. 2013, 85, 8, 1715–1724 [115]. “Espaciadores orgánicos para polímeros de coordinación porosos” (English: “Organic spacers for porous coordination polymers”).
Figure 27.
Rational design of achiral 2D networks from complexes used as ligands. From [113], courtesy of F. Lloret.
Figure 28.
Rational design of chiral 3D networks and the obstacle of networks’ interpenetration. From [113], courtesy of F. Lloret. Adapted with permission from Chem. Commun. 2012, 48, 3539–3541 [116]. “Con contracationes quirales: Polímeros 3D quirales” (English: “With chiral counterions, 3D chiral polymers”).
Figure 29.
Porous magnets made from cyclophanes. Subtle influence of the molecular precursors’ structure on the final 3D structure and pores’ sizes. From [113], courtesy of F. Lloret. Adapted from J. Am. Chem. Soc. 2012, 134, 15301–15304 [117].
The porous magnets’ realizations relied on previous works performed on metallocyclophanes, coordination polymers, MOFs and open frameworks [118,119].
The presence of pores permits the selective sorption or insertion of gases and molecules. It opens the way to other selected functions accompanying magnetism, solvatomagnetic switching [120], spin control [121] and selective gas and vapour sorption, including CO2, which tunes the Tc temperature of the 3D solid [117]. They can be used for applications in multifunctional materials, such as catalysts, or luminescent selective chemical sensing [122].
- g.
- Multifunctional Materials
When the essentials of molecular magnetism (exchange, anisotropy, …) are mastered, it is natural, with beautiful flexible building blocks in hand and extensive experience in building magnetic molecular and supramolecular solids, to try associating magnetic properties with one or more additional characteristics.
This is the way followed by Paco and Miguel and their team. Many of their funded projects (Valencian, Spanish, European) are devoted to this research, and examples of realized multifunctionality appear in the reviews reported above [56,59,60,61,62]. We need therefore to add only a few other references.
It is important to first highlights results with practical environmental applications, a sign that our two friends are conscious that science can help solve social challenges [123,124,125]. MOFs are able to welcome many guests: alkaline cations, spin cross-over complexes, big molecules [126]. Slow relaxation of the magnetization and luminescence can coexist in lanthanide complexes [107,127].
A more elaborated goal is to go beyond the coexistence of two functions by conceiving them so that they interact and one is able to control the other. Ferroicity is one of the targets, with the goal to one day be able to govern magnetism by electric means or conduction using a magnetic field. This implies the need for intricate experiments such as the study conducted on oxalate-based helix made of (NH4)4[MnCr2(ox)6]3·4H2O by Lloret, Pardo, and Train in a Spanish-French-Japanese collaboration (S.I. Ohkoshi, H. Tokoro, Univ. Tokyo) [128] (Figure 30) with neutron scientists [129].
Figure 30.
Artist view of the Chiral Ferromagnetic Metal-Organic Quartz-like Framework, low-T magnet and High Proton Conductor [128]. Courtesy C. Train. Adapted from J. Am. Chem. Soc. 2011, 133, 15328–15331.
Multifunctionality also leads to further exploration in spintronics and quantum computing. This is performed in review [130], where R. Rabelo proposes proofs of concepts, relying on the hypotheses of Castellano, Lloret, and Julve [61] for the design of molecular magnetic switches for single-molecule spintronics and quantum computing. Metallacyclophanes presenting different possible chemo-, electro-, photo-, electro- and/or photoactive excitations are the privileged models. One example is given in Figure 31, with a clear and elegant design.
Figure 31.
Copper(II) Metallacyclophanes as models for electrical (a) and logic circuits (b) of single-molecule spintronics and quantum computing [130]. From authors’ private communication.
Students can find some other sources of inspiration in the two last references, where the work of Paco and Miguel is present. The first is the Dover edition of Olivier’s book [10]. The second glorifies the electron in the molecule, electrons and molecules that Paco and Miguel elegantly showed how to master [131].
4. A Long Friendly Story
It is now a wonderful time to show that the harvest of the results evoked above is largely due to the marvellous friendship unifying Miguel Julve and Francisco Lloret since their students’ years in Burjassot, their families and their talent for establishing a warm friendly atmosphere in the team, which was extended to external collaborations. I am lucky to have benefitted from this lesson of life. I simply add a few pictures as witnesses of those times (Figure 32, Figure 33, Figure 34 and Figure 35).
Figure 32.
The two friends and their gifts during the ICMol science day, 15 December 2023, on the occasion of their retirement. © Isabel Lloret, María José Sanz, ICMol.
Figure 33.
ICMol tribute to Miguel and Paco on the occasion of their retirement. Left: Francisco Romero, head of the Department of Inorganic Chemistry (Univ. Valencia), Eugenio Coronado, head of ICMol. The retirees with their wives, daughters and friends. © Alvarez.
Figure 34.
Relaxed atmosphere in the coordination chemistry group. From left to right, Giovanni de Munno (visitor), Joan Cano, Isabel Castro, Juan Faus, Francisco Lloret, Miguel Julve. © I. Castro.
Figure 35.
After a lecture in the Department of Inorganic Chemistry, Burjassot 2009. From left to right, first row: Miguel Julve, José Antonio Real; second row: Francisco Lloret, Michel Verdaguer (visitor), Juan Faus, Santiago Alvarez (visitor), M. Carmen Muñoz. © MV.
Miguel and Paco were also united in receiving prestigious professional awards. Both members of Academia Europaea, they received Spanish and Spanish-French Awards and an Honoris Doctorate from Bucharest University (Figure 36).
Figure 36.
(a,b) Presentation of the Spanish-French Catalan Sabatier Prize to Miguel and Paco in Paris; (c) Honoris Causa Doctorate for three Valencian chemists—150th anniversary of Bucharest University. © MV.
Along these hard-working years, our two friends enjoyed a nice and fulfilling family life. (Figure 37).
Figure 37.
Family times for Paco and Miguel. “Happiness is not an option, it is a way of life”. Left © Isabel Lloret; Right © MV.
The teaching qualities of our two friends have been told previously. It is time to also celebrate Miguel’s activities in citizen awareness among young pupils or science festivals. Figure 38 shows Miguel in the lab or in action, happy to be working, alongside the cover of a book he just published (in Spanish) with two colleagues of the Department of Inorganic Chemistry in Valencia, a model and a very useful volume for children and teachers.
Figure 38.
Left, Ana Isabel Terraes and Miguel Julve in the lab (© Anabel Terraes). Centre, Miguel performing experiments in a Valencia’s Science Festivai (© Carlos Gómez). Right, Book just published (2024) for teachers and pupils: Learning Chemistry: Experimenting.
5. Conclusions
It is difficult to conclude. We still have so many things to tell, as we planned with Miguel. We are condemned now to continue without him.
“The consternation of all the members of the Faculty shows the personal affection of which he was worthy. Miguel was a good person. Around him, this university world was kinder, less complex, less tense” [132].
We knew of course that his health was fragile but he was so alive, so active that he appeared indestructible. We are not.
Nevertheless, it is important nevertheless to tell today that the work achieved by Francisco Lloret, Miguel Julve, Juan Faus and their coworkers of the coordination chemistry group at the University of Valencia has played a key role in the foundation of what is known nowadays as Molecular Magnetism. The two friends have contributed to effectively demonstrate, through their rigorous steps and their many “Premières”, that coordination chemistry is an efficient tool in the design of advanced materials. They have reported exciting examples of Multifunctional Molecule-based Magnetic Materials (chiral magnets, porous magnets, photomagnetic systems, redox switches, among others). They have defined possible illuminating routes to go beyond. They have trained a countless number of young scientists, coming from different continents and now pursuing their careers.
I tried to emphasize that this was made possible in happy and peaceful times. We are facing today a world full of violence and wars. A few weeks ago, dramatic climate events in the Valencia region reminded us that nature and people need to be understood and respected.
The life-long endeavours of our two friends to develop science, better understand matter and world, spread knowledge and the scientific method and respect each other are a timely message that strengthens their outstanding scientific legacy. I wish that the present Special Issue contributes to relaying their example.
Supplementary Materials
The following supporting information can be downloaded at https://www.mdpi.com/article/10.3390/magnetochemistry11020006/s1, Document S1: Publications List of Professor M. Julve, private communication. Document S2: Publications List of Professor F. Lloret, private communication. Document S3: M. Verdaguer, Conference “Homenaje a los Profesores Miguel Julve Olcina y Francisco Lloret Pastor, a personal and scientific retrospective”, ICMOl Scientific Day, 15 December 2023.
Funding
Written at retirement times, this work received no external funding.
Data Availability Statement
This is a Laudatio for Prof. Miguel Julve and Prof. Francisco Lloret, based solely on published data and sources related to the two honorees and their families. No new data were created in this paper, and data sharing is not applicable.
Acknowledgments
As a retiree and volunteer, I informed the head of my research team and of my institute who reviewed the work. This article covers 40 years of memories about the scientific trajectory of two close friends. I quote many of their coworkers and friends. Many provided information and pictures and are acknowledged. I would like to acknowledge particularly all the people and friends who made possible this article, including Francisco and our late friend Miguel; their wives Isabel and María José for documents, pictures and advice; their coworkers and friends, in particular Juan Faus, Joan Cano, Emilio Pardo, José Antonio Real and M. Carmen Muñoz; Rodrigue Lescouëzec, Santiago Alvarez and Carlos Gómez for valuable comments and careful reading of the initial manuscript; Isabel Castro, Anabel Terraes, Santiago Alvarez and the ICMol staffs for pictures; Francisco Romero and Eugenio Coronado for their welcome in Valencia; my own coworkers Sylvie Ferlay, Talal Mallah, Cyrille Train, Valérie Marvaud and Anne Bleuzen. Their names and others appear in the references.
Conflicts of Interest
The author declares no conflicts of interest.
References
- Julve, M.; Lloret, F.; Verdaguer, M. A tribute to Professor Juan Faus Paya. J. Coord. Chem. 2018, 71, 585–589. [Google Scholar] [CrossRef]
- Verdaguer, M. Miguel Julve, a creative chemist and scholar, a personal account. Polyhedron 2019, 170, 109–114. [Google Scholar] [CrossRef]
- Moratal, J.; Faus, J. Violurato complexes of transition-metals. 3. Synthesis and characterization of tris(dihydrogenviolurato)cobalt(III)—Deprotonation equilibria in aqueous-solution. Inorg. Chim. Acta 1977, 25, L1–L3. [Google Scholar] [CrossRef]
- Julve, M.; Moratal, J.; Faus, J. Spectrophotometric and Potentiometic Study of Fe(III) Complexes in DMSO. Rev. Chim. Min. 1980, 17, 138–145. [Google Scholar]
- Faus, J.; Moratal, J.; Julve, M. Potentiometric Study of the Ni(II)-dihydrogenviolurate System in Dimethylsulphoxide (DMSO). J. Inorg. Nucl. Chem. 1980, 42, 1786–1788. [Google Scholar] [CrossRef]
- Moratal, J.M.; Julve, M.; Faus, J. Violurato Complexes of Fe(II), Co(II) and Cu(II) in DMSO Solution. A Potentiometric Study. Rev. Chim. Min. 1982, 19, 72–79. [Google Scholar]
- Lloret, F.; Moratal, J.; Faus, J. The formation of the 1-1 complex Fe(III)-H2PI in DMSO solution. In An. Quim. Serie B; Real Sociedad Española de Física y Química: Madrid, Spain, 1981; pp. 202–205. [Google Scholar]
- Lloret, F.; Moratal, J.; Faus, J. Solution chemistry of NN-ethylenebis (salicylideneiminato)iron(III). 1. Deprotonation equilibria and reversible decomposition in acid-medium of NN′-ethylenebis (salicylideneimine)—Stability constant of NN′-ethylenebis(salicylideneiminato) iron(III). J. Chem. Soc. Dalton Trans. 1983, 1743–1748. [Google Scholar] [CrossRef]
- Lloret, F.; Moratal, J.; Faus, J. Solution chemistry of NN-ethylenebis (salicylideneiminato)iron(III). 2. Formation equilibria of µ-oxo-bis (NN-ethylenebis (salicylideneiminato)iron(III)) and catecholato (NN′-ethylenebis (salicylideneiminato)) ferrate(III). J. Chem. Soc. Dalton Trans. 1983, 1749–1753. [Google Scholar] [CrossRef]
- Kahn, O. Molecular Magnetism; Dover: Mineola, NY, USA, 2021. [Google Scholar]
- Julve, M.; Kahn, O. Synthesis, Magnetic Properties and EPR of µ-Oxalato-tetrakis(acetylacetonato)diiron(III). Inorg. Chim. Acta 1983, 76, L39–L41. [Google Scholar] [CrossRef]
- Julve, M.; Verdaguer, M.; Kahn, O.; Gleizes, A.; Philoche-Levisalles, M. Tunable exchange interaction in µ-oxalato copper(II) binuclear complexes. Inorg. Chem. 1983, 22, 368–370. [Google Scholar] [CrossRef]
- Verdaguer, M.; Julve, M.; Michalowicz, A.; Kahn, O. EXAFS structure and magnetic properties of a CuIINiII µ-oxalato mixed linear chain. Inorg. Chem. 1983, 19, 2624–2629. [Google Scholar] [CrossRef]
- Julve, M.; Verdaguer, M.; Charlot, M.F.; Kahn, O. Interactions in Cu(II)-Cu(II), VO(IV)VO(IV), and Cu(II)-VO(IV) pairs through oxalato ligands. Inorg. Chim. Acta 1984, 82, 5–12. [Google Scholar] [CrossRef]
- Julve, M.; Verdaguer, M.; Gleizes, A.; Philoche-Levisalles, M.; Kahn, O. Design of µ-oxalato copper(II) binuclear complexes exhibiting expected magnetic properties. Inorg. Chem. 1984, 23, 3808–3818. [Google Scholar] [CrossRef]
- Verdaguer, M.; Kahn, O.; Julve, M.; Gleizes, A. A way to increase the exchange interaction through multiatomic bridges: Magnetic properties of µ-oxalato, µ-oxamato, µ-oxamido binuclear copper (II) complexes; crystal structure of µ-oxamido (2-) (O,N:O′,N′) bis-[(N,N,N′,N′ tetramethylethanediamine N,N′) copper (II)] hexafluorophosphate. Nouv. J. Chim. 1985, 9, 325–334. [Google Scholar]
- Lloret, F.; Nakatani, K.; Journaux, Y.; Kahn, O.; Pei, Y.; Renard, J.P. A novel molecular based ferromagnet ordering at 14K. J. Chem. Soc. Chem. Commun. 1988, 10, 642–643. [Google Scholar] [CrossRef]
- Journaux, Y.; Vankoningsbruggen, P.; Lloret, F.; Nakatani, K.; Pei, Y.; Kahn, O.; Renard, J.P. Chemistry and Physics of molecular based ferromagnets. J. Physique 1988, 49, 851–852. [Google Scholar] [CrossRef]
- Lloret, F.; Julve, M.; Mollar, M.; Castro, I.; Latorre, J.; Faus, J.; Solans, X.; Morgenstern-Badarau, I. Formation in solution, synthesis, and electrochemical study of oxalato complexes of N,N′ethylenebis(salicylideneiminato)-Chromium(III) and N,N′ethylenebis(salicylidene iminato)-Iron(III)—Crystal-structures of piperidinium [N,N′-ethylenebis(salicylidene iminato).(oxalato-O1O2)Chromate(III) and Ferrate(III). J. Chem. Soc. Dalton Trans. 1989, 729–738. [Google Scholar]
- Nakatani, K.; Carriat, J.Y.; Journaux, Y.; Kahn, O.; Lloret, F.; Renard, J.P.; Pei, Y.; Sletten, J.; Verdaguer, M. Chemistry and physics of the novel molecular-based compound exhibiting a spontaneous magnetization below Tc = 14 K, MnCu(obbz)·1H2O (obbz = oxamidobis(benzoato)). Comparison with the antiferromagnet MnCu(obbz)·5H2O. Crystal structure and magnetic properties of NiCu(obbz)·6H2O. J. Am. Chem. Soc. 1989, 111, 5739–5748. [Google Scholar]
- Lloret, F.; Julve, M.; Faus, J.; Journaux, Y.; Philoche-Levisalles, M.; Jeannin, Y. Oxamidato complexes. 1. A study of the formation of complexes between copper(II) and H2Pmox (H2Pmox = N,N′-bis(2-pyridylmethyl)oxamide)—Synthesis, crystal-structure, and magnetic-properties of the alternating-chain compound [Cu2(Pmox)(H2Pmox)(H2O)2](NO3)2·8H2O. Inorg. Chem. 1989, 28, 3702–3706. [Google Scholar]
- Julve, M. Tailor-made molecules as metalloligands in designing metal assemblies with interesting spin topologies. In Proceedings of the Second World Chemistry Congress and Exhibition, Valencia, Spain, 9–11 July 2018. [Google Scholar]
- Alvarez, S.; Julve, M.; Verdaguer, M. Oxalato-bridged and related dinuclear copper(II) complexes: Theoretical analysis of their structures and magnetic coupling. Inorg. Chem. 1990, 29, 4500–4507. [Google Scholar] [CrossRef]
- Cano, J.; Ruiz, E.; Alemany, P.; Lloret, F.; Alvarez, S. Theoretical study of the exchange coupling in copper(II) binuclear compounds with oxamidate and related polyatomic bridging ligands. J. Chem. Soc. Dalton Trans. 1999, 1669–1676. [Google Scholar] [CrossRef]
- Román, P.; Guzmán-Miralles, C.; Luque, A.; Beitia, J.I.; Cano, J.; Lloret, F.; Julve, M.; Alvarez, S. Influence of the Peripheral Ligand Atoms on the Exchange Interaction in Oxalato-Bridged Nickel(II) Complexes: An Orbital Model. Crystal Structures and Magnetic Properties of (H3dien)2[Ni2(ox)5]·12H2O and [Ni2(dien)2(H2O)2(ox)]Cl2. Inorg. Chem. 1996, 35, 3741–3751. [Google Scholar] [CrossRef]
- Hernández-Molina, M.; Lloret, F.; Ruiz-Pérez, C.; Julve, M. Weak Ferromagnetism in Chiral 3-Dimensional Oxalato-Bridged Cobalt(II) Compounds. Crystal Structure of [Co(bpy)3][Co2(ox)3]ClO4. Inorg. Chem. 1998, 37, 4131–4135. [Google Scholar] [CrossRef] [PubMed]
- Lloret, F.; Sletten, J.; Ruiz, R.; Julve, M.; Faus, J.; Verdaguer, M. Oxamidato complexes. 2. Copper(II) and Nickel(II) complexes with oxamide-N,N′-diacetic acid: Solution study, synthesis, crystal structures and magnetic properties. Inorg. Chem. 1992, 31, 778–784. [Google Scholar] [CrossRef]
- Real, J.A.; Mollar, M.; Ruiz, R.; Faus, J.; Lloret, F.; Julve, M.; Philoche-Levisalles, M. Oxamidato Complexes. Part 6. Complex Formation between Copper(II) and N,N′-Bis2-(dimethylamino)ethyl]oxamide (H2dmaeoxd). Preparation, Crystal Structure, and Magnetic Properties of [Cu2 (dmaeoxd)(NCO)2(H2O)2]. J. Chem. Soc. Dalton Trans. 1993, 1483–1488. [Google Scholar] [CrossRef]
- Lloret, F.; Julve, M.; Ruiz, R.; Journaux, Y.; Nakatani, K.; Kahn, O.; Sletten, J. Crystal Structure and Magnetic Properties of CuMn(obbz)(H2O)3·DMF (obbz = N,N’-oxamidobis(benzoato) and dmf = dimethylformamide), a Precursor of the Molecular-Based Magnet MnCu(obbz)·H2O with Tc = 14 K. Inorg. Chem. 1993, 32, 27–31. [Google Scholar] [CrossRef]
- Sanz, J.L.; Ruiz, R.; Gleizes, A.; Lloret, F.; Faus, J.; Julve, M.; Borrás-Almenar, J.J.; Journaux, Y. Crystal Structures and Magnetic Properties of Novel [LnIIICu4II] (Ln = Gd, Dy, Ho) Pentanuclear Complexes: Topology and Ferromagnetic Interaction in the LnIII–CuII Pair. Inorg. Chem. 1996, 35, 7384–7393. [Google Scholar] [CrossRef]
- Ruiz, R.; Faus, J.; Lloret, F.; Julve, M.; Journaux, Y. Coordination Chemistry of N,N′-Bis(coordinating group substituted)oxamides: A Rational Design of Nuclearity Tailored Polynuclear Complexes. Coord. Chem. Rev. 1999, 195, 1069–1117. [Google Scholar] [CrossRef]
- Julve, M.; De Munno, G.; Bruno, G.; Verdaguer, M. Synthesis, structure and magnetic properties of µ-2,2′-bipyrimidine-N, N′, N″,N‴ copper(II) complexes. Inorg. Chem. 1988, 27, 3160–3165. [Google Scholar] [CrossRef]
- De Munno, G.; Julve, M.; Lloret, F.; Faus, J.; Caneschi, A. 2,2′-Bipyrimidine (Bipym)-Bridged Dinuclear Complexes. Part 4. Synthesis, Crystal Structure and Magnetic Properties of [Co2(H2O)8(bipym)[NO3]4, [Co2(H2O)8 (bipym)][SO4]2·2H2O and [Co2(bipym)3(NCS)4]. J. Chem. Soc. Dalton Trans. 1994, 1175–1183. [Google Scholar] [CrossRef]
- Thompson, L.K.; Tandon, S.S.; Lloret, F.; Cano, J.; Julve, M. An Azide-Bridged Copper(II) Ferromagnetic Chain Compound Exhibiting Metamagnetic Behavior. Inorg. Chem. 1997, 36, 3301–3306. [Google Scholar] [CrossRef] [PubMed]
- De Munno, G.; Julve, M.; Viau, G.; Lloret, F.; Faus, J.; Viterbo, D. Azido and 2,2′-Bipyrimidine Ligands as Useful Tools in Designing Two- and Three-Dimensional Manganese(II) Networks. Angew. Chem. Int. Ed. Engl. 1996, 35, 1807–1810. [Google Scholar] [CrossRef]
- Julve, M.; Verdaguer, M.; De Munno, G.; Real, J.A.; Bruno, G. Synthesis, crystal structure and magnetic properties of µ-bipyrimidine(cyanato) copper(II) and (thiocyanato) copper(II) complexes. Inorg. Chem. 1993, 32, 795–802. [Google Scholar] [CrossRef]
- De Munno, G.; Julve, M.; Nicolò, F.; Lloret, F.; Faus, J.; Ruiz, R.; Sinn, E. 2,2′-Bipyrimidine(oxalato)copper(II) Complexes: From the Mononuclear Complex to the 2D Sheetlike Polymer. Angew. Chem. Int. Ed. 1993, 32, 613–615. [Google Scholar] [CrossRef]
- De Munno, G.; Poerio, T.; Julve, M.; Lloret, F.; Faus, J.; Caneschi, A. Syntheses, Crystal Structures and Magnetic Properties of One-, Two- and Three-Dimensional 2,2′-Bipyrimidine-Containing Copper(II) Complexes. J. Chem. Soc., Dalton Trans. 1998, 1679–1685. [Google Scholar] [CrossRef]
- De Munno, G.; Armentano, D.; Julve, M.; Lloret, F.; Lescouëzec, R.; Faus, J. Título: Two-Dimensional Assembling of (2,2′-Bipyrimidine)bis(oxalato)chromate(III) Units Through Alkaline Cations. Inorg. Chem. 1999, 38, 2234–2237. [Google Scholar] [CrossRef] [PubMed]
- Solans, X.; Aguiló, M.; Gleizes, A.; Faus, J.; Julve, M.; Verdaguer, M. Coordination modes of the squarate ligand: Synthesis and crystal structures of six copper(II) squarate complexes. Inorg. Chem. 1990, 29, 775–784. [Google Scholar] [CrossRef]
- Castro, I.; Sletten, J.; Faus, J.; Julve, M.; Journaux, Y.; Lloret, F.; Alvarez, S. Exchange Interaction through Croconato Bridge: Synthesis, Crystal Structure and Magnetic Properties of (µ-Croconato)bis{bis(2pyridylcarbonyl)amido}copper(II)]Trihydrate. Inorg. Chem. 1992, 3, 1889–1894. [Google Scholar] [CrossRef]
- Sletten, J.; Hope, H.; Julve, M.; Kahn, O.; Verdaguer, M.; Dworkin, A. Phase transition and exchange interaction in (µ-carbonato) bis-[[N,N,N′,N″,N″-pentaethyldiethylenetriamine] copper(II)] diperchlorate. Inorg. Chem. 1988, 27, 542–549. [Google Scholar] [CrossRef]
- Sertucha, J.; Luque, A.; Castillo, O.; Román, P.; Lloret, F.; Julve, M. Ferromagnetic Coupling through a Carbonate Bridge in the Copper(II) Chain [Cu(CO3)(4-apy)2·H2O (4-apy = 4-aminopyridine). Inorg. Chem. Commun. 1999, 2, 214–216. [Google Scholar] [CrossRef]
- Ruiz-Pérez, C.; Sanchiz, J.; Hernández-Molina, M.; Lloret, F.; Julve, M. Ferromagnetism in Malonato-Bridged Copper(II) Complexes. Synthesis, Crystal Structures, and Magnetic Properties of {[Cu(H2O)3][Cu(mal)2(H2O)]}n and {[Cu(H2O)4]2[Cu(mal)2(H2O)]}[Cu(mal)2(H2O)2]{[Cu(H2O)4][Cu(mal)2(H2O)2]} (H2mal = Malonic Acid). Inorg. Chem. 2000, 39, 1363–1370. [Google Scholar] [CrossRef] [PubMed]
- Julve, M.; Verdaguer, M.; Faus, J.; Tinti, F.; Moratal, J.M.; Monge, A.; Gutiérrez-Puebla, E. Exchange Interaction through Extended Molecular Bridges: Magnetic Properties of µ-4,4’-Bipyridine and µ-Pyrazine Copper(II) Binuclear Complexes and Crystal Structures of (µ-4,4′-Bipyridine)bis[(diethylenetriamine)(perchlorato)copper(II). Perchlorate and Aquo(4,4′-Bipyridine)(diethylenetriamine)copper(II) Perchlorate. Inorg. Chem. 1987, 2, 3520–3527. [Google Scholar]
- Cano, J.; De Munno, G.; Sanz, J.L.; Ruiz, R.; Faus, J.; Lloret, F.; Julve, M.; Caneschi, A. Ability of Terephthalate (ta) to Mediate Exchange Coupling in ta-Bridged Copper(II), Nickel(II), Cobalt(II) And Manganese(II) Dinuclear Complexes. J. Chem. Soc. Dalton Trans. 1997, 1915–1923. [Google Scholar] [CrossRef]
- Real, J.A.; Andrés, E.; Muñoz, M.C.; Julve, M.; Granier, T.; Bousseksou, A.; Varret, F. Spin Crossover in a Catenane Supramolecular System. Science 1995, 268, 265–267. [Google Scholar] [CrossRef]
- Colacio, E.; Dominguez-Vera, J.M.; Ghazi, M.; Kivekas, R.; Lloret, F.; Moreno, J.M.; Stoeckli-Evans, H. A novel two-dimensional honeycomb-like bimetallic iron(III)-nickel(II) cyanide-bridged magnetic material [Ni(cyclam)]3[Fe(CN)6]2·nH2O (cyclam=1,4,8,11-tetraazacyclodecane). Chem. Commun. 1999, 11, 987–988. [Google Scholar] [CrossRef]
- Chiozzone, R.; González, R.; Kremer, C.; De Munno, G.; Cano, J.; Lloret, F.; Julve, M.; Faus, J. Synthesis, Crystal Structure, and Magnetic Properties of Tetraphenylarsonium Tetrachloro(oxalato)rhenate(IV) and Bis(2,2′bipyridine)tetrachloro(µ-oxalato)copper(II)rhenium(IV). Inorg. Chem. 1999, 38, 4745–4752. [Google Scholar] [CrossRef] [PubMed]
- Julve, M. A tribute to Professor Giovanni De Munno. J. Coord. Chem. 2022, 75, 2278–2286. [Google Scholar] [CrossRef]
- Ferlay, S.; Mallah, T.; Ouahès, R.; Veillet, P.; Verdaguer, M. A Room-Temperature organometallic magnet based on Prussian Blue. Nature 1995, 378, 701–703. [Google Scholar] [CrossRef]
- ICMol Website. Available online: https://www.icmol.es/ (accessed on 10 January 2025).
- Sessoli, R.; Gatteschi, D.; Caneschi Novak, M.A. Magnetic bistability in a metal-ion cluster. Nature 1993, 365, 141–143. [Google Scholar] [CrossRef]
- Lescouëzec, R.; Toma, L.M.; Vaissermann, J.; Verdaguer, M.; Delgado, F.S.; Ruiz-Pérez, C.; Lloret, F.; Julve, M. Design of single chain magnets through cyanide-bearing six-coordinate complexes. Coord. Chem. Rev. 2005, 249, 2691–2729. [Google Scholar] [CrossRef]
- Toma, L.M.; Toma, L.D.; Delgado, F.S.; Ruiz-Pérez, C.; Sletten, J.; Cano, J.; Clemente-Juan, J.M.; Lloret, F.; Julve, M. Trans-dicyanobis(acetylacetonato)ruthenate(III) as a precursor to build novel cyanide-bridged RuIII–MII bimetallic compounds [M = Co and Ni]. Coord. Chem. Rev. 2006, 250, 2176–2193. [Google Scholar] [CrossRef]
- Pardo, E.; Ruiz-Garcıa, R.; Cano, J.; Ottenwaelder, X.; Lescouëzec, R.; Journaux, Y.; Lloret, F.; Julve, M. Ligand design for multidimensional magnetic materials: A metallosupramolecular perspective. Dalton Trans. 2008, 2780–2805. [Google Scholar] [CrossRef]
- Dul, M.C.; Pardo, E.; Lescouëzec, R.; Journaux, Y.; Ferrando-Soria, J.; Ruiz-García, R.; Cano, J.; Julve, M.; Lloret, F.; Cangussu, D.; et al. Supramolecular Coordination Chemistry of Aromatic, Polyoxalamide Ligands: A Metallosupramolecular Approach Towards Functional Magnetic Materials. Coord. Chem. Rev. 2010, 254, 2281–2296. [Google Scholar] [CrossRef]
- Marinescu, G.; Andruh, M.; Lloret, F.; Julve, M. Bis(oxalato)chromium(III) Complexes: Versatile Tectons in Designing Heterometallic Coordination Compounds. Coord. Chem. Rev. 2011, 255, 161–185. [Google Scholar] [CrossRef]
- Grancha, T.; Ferrando-Soria, J.; Castellano, M.; Julve, M.; Pasán, J.; Armentano, D.; Pardo, E. Oxamato-based coordination polymers: Recent advances in multifunctional magnetic materials. Chem. Commun. 2014, 50, 7569–7585. [Google Scholar] [CrossRef] [PubMed]
- Castellano, M.; Ruiz-García, R.; Cano, J.; Ferrando-Soria, J.; Pardo, E.; Fortea-Pérez, F.R.; Stiriba, S.E.; Julve, M.; Lloret, F. Dicopper(II) Metallacyclophanes as Multifunctional Magnetic Devices: A Joint Experimental and Computational Study. Acc. Chem. Res. 2015, 48, 510–520. [Google Scholar] [CrossRef]
- Castellano, M.; Ruiz-García, R.; Cano, J.; Ferrando-Soria, J.; Pardo, E.; Fortea-Pérez, F.R.; Stiriba, S.E.; Barros, W.P.; Stumpf, H.O.; Cañadillas-Delgado, L.; et al. Metallosupramolecular approach toward multifunctional magnetic devices for molecular spintronics. Coord. Chem. Rev. 2015, 303, 110–138. [Google Scholar] [CrossRef]
- Faus, J.; Lloret, F.; Julve, M. Towards multifunctional magnetic systems through molecular-programmed self-assembly of Re(IV) metalloligands. Coord. Chem. Rev. 2015, 289–290, 215–237. [Google Scholar]
- Castro, I.; Barros, W.P.; Calatayud, M.L.; Lloret, F.; Marino, N.; De Munno, G.; Stumpf, H.O.; Ruiz-García, R.; Julve, M. Dicopper(II) pyrazolenophanes: Ligand effects on their structures and magnetic properties. Coord. Chem. Rev. 2016, 315, 135–152. [Google Scholar] [CrossRef]
- Ferrando-Soria, J.; Vallejo, J.; Castellano, M.; Martínez-Lillo, J.; Pardo, E.; Cano, J.; Castro, I.; Lloret, F.; Ruiz-García, R.; Julve, M. Molecular magnetism, quo vadis? A historical perspective from a coordination chemistry viewpoint. Coord. Chem. Rev. 2017, 339, 17–103. [Google Scholar] [CrossRef]
- Greenfield, T.J.; Julve, M.; Doyle, R.P. Exploring the biological, catalytic, and magnetic properties of transition metal coordination complexes incorporating pyrophosphate. Coord. Chem. Rev. 2019, 384, 37–64. [Google Scholar] [CrossRef]
- Castro, I.; Calatayud, M.L.; Orts-Arroyo, M.; Marino, N.; De Munno, G.; Lloret, F.; Ruiz-García, R.; Julve, M. Oxalato as polyatomic coordination center and magnetic coupler in copper(II)-polypyrazole inverse polynuclear complexes and coordination polymers. Coord. Chem. Rev. 2022, 471, 214730. [Google Scholar] [CrossRef]
- Yuste, C.; Castellano, M.; Ferrando-Soria, J.; Stiriba, S.-E.; Marino, N.; Julve, M.; Lloret, F.; Ruiz-García, R.; Cano, J. From computational design to the synthesis of molecular magnetic wires for single-molecule spintronics and quantum computing nanotechnologies. J. Coord. Chem. 2022, 75, 2359–2383. [Google Scholar] [CrossRef]
- Ruiz-Pérez, C.; Hernández-Molina, M.; Lorenzo-Luis, P.A.; Lloret, F.; Cano, J.; Julve, M. Magnetic Coupling Through the Carbon Skeleton of Malonate in Two Polymorphs of {[Cu(bpy)(H2O)][Cu(bpy)(mal)(H2O)]}(ClO4)2 (H2mal = Malonic Acid; bpy = 2,2′-Bipyridine). Inorg. Chem. 2000, 39, 3845–3852. [Google Scholar] [CrossRef]
- Rodríguez-Martín, Y.; Hernández-Molina, M.; Delgado, F.S.; Pasán, J.; Ruiz-Pérez, C.; Sanchiz, J.; Lloret, F.; Julve, M. Structural Versatility of the Malonate Ligand as a Tool for Crystal Engineering in the Design of Molecular Magnets. CrystEngComm 2002, 4, 522–535. [Google Scholar] [CrossRef]
- Vangdal, B.; Carranza, J.; Lloret, F.; Julve, M.; Sletten, J. Syntheses, Crystal Structures and Magnetic Properties of Copper(II) Dicyanamide Complexes; Dinuclear, Chain and Ladder Compounds. J. Chem. Soc. Dalton Trans. 2002, 4, 566–574. [Google Scholar] [CrossRef]
- Castillo, O.; Luque, A.; Román, P.; Lloret, F.; Julve, M. Syntheses, Crystal Structures, and Magnetic Properties of One-Dimensional Oxalated-Bridged Co(II), Ni(II), and Cu(II) Complexes with n-Aminopyridine (n = 2–4) as Terminal Ligand. Inorg. Chem. 2001, 40, 5526–5535. [Google Scholar] [CrossRef] [PubMed]
- Cervera, B.; Sanz, J.L.; Ibanez, M.J.; Vila, G.; Lloret, F.; Julve, M.; Ruiz, R.; Ottenwaelder, X.; Aukauloo, A.; Poussereau, S.; et al. Stabilization of copper(III) complexes by substituted oxamate ligands. J. Chem. Soc. Dalton Trans. 1998, 781–790. [Google Scholar] [CrossRef]
- Lescouëzec, R.; Vaissermann, J.; Lloret, F.; Julve, M.; Verdaguer, M. Ferromagnetic Coupling between Low- and High-Spin Iron(III) Ions in the Tetranuclear Complex fac-{[FeIII{HB(pz)3}(CN)2(µ-CN)]3 FeIII(H2O)3}.6H2O ([HB(pz)3]− = Hydrotris(1-pyrazolyl)borate). Inorg. Chem. 2002, 41, 5943–5945. [Google Scholar] [CrossRef] [PubMed]
- Fernandez, I.; Ruiz, R.; Faus, J.; Julve, M.; Lloret, F.; Cano, J.; Ottenwaelder, X.; Journaux, Y.; Munoz, M.C. Ferromagnetic coupling through spin polarization in a dinuclear copper(II) metallacyclophane. Angew. Chem. Int. Ed. 2001, 40, 3039–3042. [Google Scholar] [CrossRef]
- Lloret, F.; De Munno, G.; Julve, M.; Cano, J.; Ruiz, R.; Caneschi, A. Spin polarization and ferromagnetism in two-dimensional Sheetlike cobalt(II) polymers: [Co(L2)(NCS)2] (L = pyrimidine or pyrazine). Angew. Chem. Int. Ed. 1998, 37, 135–138. [Google Scholar] [CrossRef]
- Herrera, J.M.; Bleuzen, A.; Dromzée, Y.; Julve, M.; Lloret, F.; Verdaguer, M. Crystal Structures and Magnetic Properties of Two Octacyanotungstate(IV) and (V)-Cobalt(II) Three-Dimensional Bimetallic Frameworks. Inorg. Chem. 2003, 42, 7052–7059. [Google Scholar] [CrossRef] [PubMed]
- Konar, S.; Mukherjee, P.S.; Zangrando, E.; Lloret, F.; Chaudhuri, N.R. A three-dimensional homometallic molecular ferrimagnet. Angew. Chem. Int. Ed. 2002, 41, 1561–1563. [Google Scholar] [CrossRef]
- Ferrer, S.; Lloret, F.; Bertomeu, I.; Alzuet, G.; Borras, J.; García-Granda, S.; Liu-Gonzalez, M.; Haasnoot, J.G. Cyclic trinuclear and chain of cyclic trinuclear copper(II) complexes containing a pyramidal Cu3O(H) core. Crystal structures and magnetic properties of [Cu3(µ3-OH)(aaat)3(H2O)3)](NO3)2)·H2O] (aaat = 3-acetylamino-5-amino-1,2,4-triazolate) and {[Cu-3(µ3-OH)(aat)3(µ3-SO4)]·6H2O}n (aat = 3-acetylamino-1,2,4-triazolate): New cases of spin-frustrated systems. Inorg. Chem. 2002, 41, 5821–5830. [Google Scholar]
- Figuerola, A.; Diaz, C.; Ribas, J.; Tangoulis, V.; Granell, J.; Lloret, F.; Mahia, J.; Maestro, M. Synthesis and characterization of heterodinuclear Ln3+–Fe3+ and Ln3+–Co3+ complexes, bridged by cyanide ligand (Ln3+ = lanthanide ions). Nature of the magnetic interaction in the Ln3+–Fe3+ complexes. Inorg. Chem. 2003, 42, 641–649. [Google Scholar] [CrossRef] [PubMed]
- Faus, J.; Julve, M.; Lloret, F.; Muñoz, M.C. Bis(dimethylviolurato)(phenanthroline)cobalt(II), a Low-Spin Octahedral Co(II) Complex. Crystal Structure of [Co(dmvi)2phen]·2CHCl3. Inorg. Chem 1993, 32, 2013–2017. [Google Scholar] [CrossRef]
- Faus, J.; Julve, M.; Lloret, F.; Real, J.A.; Sletten, J. (Dimethylviolurato)bis(phenanthroline)cobalt(II), a Novel Spin-Crossover Octahedral Co(II) Complex. Synthesis, Crystal Structure, and Magnetic Properties of [Co(dmvi)(phen)2]ClO4·3H2O. Inorg. Chem. 1994, 33, 5535–5540. [Google Scholar] [CrossRef]
- Lloret, F.; Julve, M.; Cano, J.; Ruiz-García, R.; Pardo, E. Magnetic properties of six-coordinated high-spin cobalt(II) complexes: Theoretical background and its application. Inorg. Chim. Acta 2008, 361, 3432–3445. [Google Scholar] [CrossRef]
- Rabelo, R.; Toma, L.; Julve, M.; Lloret, F.; Pasán, J.; Cangussu, D.; Ruiz-García, R.; Cano, J. Multielectron transfer and field-induced slow magnetic relaxation in opto-electroactive spin crossover cobalt(II) complexes: Structure–function correlations. Inorg. Chem. Front. 2024, 11, 6028–6043. [Google Scholar] [CrossRef]
- Kalinke, L.H.G.; Rabelo, R.; Valdo, A.K.; Martins, F.T.; Moliner, N.; Ferrando-Soria, J.; Julve, M.; Lloret, F.; Cano, J.; Cangussu, D. Trinuclear Cobalt(II) Triple Helicate with a Multidentate Bithiazole bis(oxamate) Ligand as a Supramolecular Nanomagnet. Inorg. Chem. 2022, 61, 5696–5700. [Google Scholar] [CrossRef] [PubMed]
- Haiduc, I.; Tiekink, E.R.T. Inverse Coordination, A Novel Chemical Concept; Sunway University Press: Selangor, Malaysia, 2020. [Google Scholar]
- Julve, M.; Gleizes, A.; Chamoreau, L.M.; Ruiz, E.; Verdaguer, M. Antiferromagnetic Interactions in copper(II) µ-oxalato dinuclear complexes: The role of the counterion. Eur. J. Inorg. Chem. 2018, 2018, 509–516. [Google Scholar] [CrossRef]
- Costa, A.I.; da Silva, R.M.R.; Botelho, L.D.G.; Coelho, S.F.N.; Sigoli, F.A.; Honorato, J.; Ellena, J.; de Felipe, T.; Martins, F.T.; Angelo, M.; et al. Intensity and lifetime ratiometric luminescent thermometer based on a Tb(III) coordination polymer. Dalton Trans. 2024, 53, 3994–4004. [Google Scholar] [CrossRef]
- Oliveira, W.X.C.; Pinheiro, C.B.; Journaux, Y.; Julve, M.; Pereira, C.L.M. Effects on the magnetic interaction caused by molecular recognition in complexes of 1,2-azolebased oxamate and [Cu(bpca)]+ units. CrystEngComm 2024, 26, 647–655. [Google Scholar] [CrossRef]
- Lescouëzec, R.; Vaissermann, J.; Ruiz-Pérez, C.; Lloret, F.; Carrasco, R.; Julve, M.; Verdaguer, M.; Dromzée, Y.; Gatteschi, D.; Wernsdorfer, W. Cyanide-Bridged Iron(III)–Cobalt(II) Double Zigzag Ferromagnetic Chains: Two New Molecular Magnetic Nanowires. Angew. Chem. Int. Ed. 2003, 42, 1483–1486. [Google Scholar] [CrossRef] [PubMed]
- Toma, L.M.; Lescouëzec, R.; Lloret, F.; Julve, M.; Vaissermann, J.; Verdaguer, M. Título: Cyanide-Bridged Fe(III)–Co(II) Bis Double Zigzag Chains with a Slow Relaxation of The Magnetisation. Chem. Commun. 2003, 1850–1851. [Google Scholar] [CrossRef] [PubMed]
- Toma, L.M.; Lescouëzec, R.; Pasán, J.; Ruiz-Pérez, C.; Vaissermann, J.; Cano, J.; Carrasco, R.; Wernsdorfer, W.; Lloret, F.; Julve, M. Fe(bpym)(CN)4]−: A new building block for designing single-chain magnets. J. Am. Chem. Soc. 2006, 12, 4842–4853. [Google Scholar] [CrossRef]
- Pardo, E.; Ruiz-García, R.; Lloret, F.; Faus, J.; Julve, M.; Journaux, Y.; Delgado, F.; Ruiz-Pérez, C. Cobalt(II)–Copper(II) Bimetallic Chains as a New Class of Single-Chain Magnets. Adv. Mater. 2004, 16, 1597–1600. [Google Scholar] [CrossRef]
- Miyasaka, H.; Julve, M.; Yamashita, M.; Clérac, R. Slow Dynamics of the Magnetization in One-Dimensional Coordination Polymers: Single-Chain Magnets. Inorg. Chem. 2009, 48, 3420–3437. [Google Scholar] [CrossRef] [PubMed]
- Milios, C.; Raptopoulou, C.; Terzis, A.; Lloret, F.; Vicente, R.; Perlepes, S.; Escuer, A. Hexanuclear Manganese(III) Single-Molecule Magnets. Angew. Chem. Int. Ed. 2004, 43, 210–212. [Google Scholar] [CrossRef]
- Vallejo, J.; Pascual-Alvarez, A.; Cano, J.; Castro, I.; Julve, M.; Lloret, F.; Krzystek, J.; De Munno, G.; Armentano, D.; Wernsdorfer, W.; et al. Field-Induced Hysteresis and Quantum Tunneling of the Magnetization in a Mononuclear Manganese(III) Complex. Angew. Chem. Int. Ed. 2013, 52, 14075–14079. [Google Scholar] [CrossRef] [PubMed]
- Vallejo, J.; Castro, I.; Ruiz-Pérez, R.; Cano, J.; Julve, M.; Lloret, F.; De Munno, G.; Wernsdorfer, W.; Pardo, E. Field Induced Slow Magnetic Relaxation in a Six-Coordinate Mononuclear Cobalt(II) Complex with a Positive Anisotropy. J. Am. Chem. Soc. 2012, 134, 15704–15707. [Google Scholar] [CrossRef]
- Martínez- Lillo, J.; Armentano, D.; De Munno, G.; Lloret, F.; Julve, M.; Faus, J. Synthesis, crystal structure and magnetic properties of an oxalato-bridged ReIVMoVI heterobimetallic complex. Dalton Trans. 2011, 40, 4818–4820. [Google Scholar] [CrossRef] [PubMed]
- Martínez- Lillo, J.; Delgado, F.S.; Ruiz-Pérez, C.; Lloret, F.; Julve, M.; Faus, J. Heterotrimetallic Oxalato-Bridged ReIV2MII Complexes (M = Mn, Co, Ni, Cu): Synthesis, Crystal Structure, and Magnetic Properties. Inorg. Chem. 2007, 46, 3523–3530. [Google Scholar] [CrossRef] [PubMed]
- Martínez- Lillo, J.; Armentano, D.; De Munno, G.; Wernsdorfer, W.; Julve, M.; Lloret, F.; Faus, J. A Heterotetranuclear [NiIIReIV3] Single-Molecule Magnet. J. Am. Chem. Soc. 2006, 128, 14218–14219. [Google Scholar] [CrossRef] [PubMed]
- Martínez- Lillo, J.; Armentano, D.; De Munno, G.; Lloret, F.; Julve, M.; Faus, J. X-Ray structure of [ReCl4(μ-ox)Cu(pyim)2]: A new heterobimetallic ReIVCuII ferrimagnetic chain. Dalton Trans. 2008, 40–43. [Google Scholar] [CrossRef]
- Gleizes, A.; Julve, M.; Kuzmina, N.; Alikhanyan, A.; Lloret, F.; Malkerova, I.; Sanz, J.L.; Senocq, F. Heterobimetallic d–f Metal Complexes as Potential Single-Source Precursors For MOCVD: Structure and Thermodynamic Study of the Sublimation of [Ni(salen)Ln(hfa)3], Ln = Y, Gd. Eur. J. Inorg. Chem. 1998, 1998, 1169–1174. [Google Scholar] [CrossRef]
- Hernández-Molina, M.; Lorenzo-Luis, P.A.; López, T.; Ruiz-Pérez, C.; Lloret, F.; Julve, M. Generation of lanthanide coordination polymers with dicarboxylate ligands: Synthesis, structure, thermal decomposition and magnetic properties of the two-dimensional triaquabis(malonato)dipraseodymium(III) dihydrate {[Pr2(C3H2O4)3(H2O)3]·2H2O}. CrystEngComm 2000, 31, 1–5. [Google Scholar] [CrossRef]
- Vallejo, J.; Cano, J.; Castro, I.; Julve, M.; Lloret, F.; Fabelo, O.; Cañadillas-Delgado, L.; Pardo, E. Slow magnetic relaxation in carbonato-bridged dinuclear lanthanide(III) complexes with 2,3-quinoxalinediolate ligands. Chem. Commun. 2012, 48, 7726–7728. [Google Scholar] [CrossRef]
- Alexandru, M.G.; Visinescu, D.; Cula, B.; Shova, S.; Rabelo, N.; Moliner, F.; Lloret, J.; Cano, J.; Julve, M. A rare isostructural series of 3d–4f cyanido-bridged heterometallic squares obtained by assembling [FeIII{HB(pz)3}(CN)3]− and LnIII ions: Synthesis, X-ray structure and cryomagnetic study. Dalton Trans. 2021, 50, 14640–14652. [Google Scholar] [CrossRef] [PubMed]
- Sourav, D.; Sakiat, H.; Atanu, D.; Sourav, B.; Emilio, P.; Francesc, L.; Vadapalli, C. Heterometallic Pentanuclear [Ni4Ln] (LnIII = Gd, Tb, Dy, Ho) Complexes: Accidental Orthogonality Leading to Ferromagnetic Interactions. Eur. J. Inorg. Chem. 2014, 21, 3393–3400. [Google Scholar]
- Díaz-Galliga, P.; Fabelo, O.; Pasán, J.; Cañadillas-Delgado, L.; Lloret, F.; Julve, M.; Ruiz-Pérez, C. Two-Dimensional 3d–4f Heterometallic Coordination Polymers: Synthesis, Crystal Structures, and Magnetic Properties of Six New Co(II)–Ln(III) Compounds. Inorg. Chem. 2014, 53, 6299–6308. [Google Scholar] [CrossRef] [PubMed]
- Vaz, R.C.A.; Esteves, I.O.; Oliveira, W.X.C.; Honorato, J.; Martins, F.T.; Marques, L.F.; Dos Santos, G.L.; Freire, R.O.; Jesús, L.T.; Pedroso, E.F.; et al. Mononuclear Lanthanide(III)-oxamate complexes as new photoluminescent field-induced single-molecule magnets: Solid-state photophysical and magnetic properties. Dalton Trans. 2020, 49, 16106–16124. [Google Scholar] [CrossRef]
- Alexandru, M.G.; Visinescu, D.; Madalan, A.M.; Lloret, F.; Julve, M.; Andruh, M. [W(bipy)(CN)6]−: A Suitable Metalloligand in the Design of Heterotrimetallic Complexes. The First CuIILnIIIWV Trinuclear Complexes. Inorg. Chem. 2012, 51, 4906–4908. [Google Scholar] [CrossRef] [PubMed]
- Díaz-Gallifa, P.; Fabelo, O.; Cañadillas-Delgado, L.; Pasán, J.; Labrador, A.; Lloret, F.; Julve, M.; Ruiz-Pérez, C. Synthesis, Crystal Structure and Magnetic Characterzation of a Series of CuII–LnIII Heterometallic (Ln = La, Ce, Pr, Nd and Sm) Metal-Organic compounds with a Unusual Single Crystal to Single Crystal Phase Transition. Cryst. Growth Des. 2013, 13, 4735–4745. [Google Scholar] [CrossRef]
- Palion-Gazda, J.; Switlicka-Olszewska, A.; Machura, B.; Grancha, T.; Pardo, E.; Lloret, F.; Julve, M. High-Temperature Spin Crossover in a Mononuclear Six-Coordinate Cobalt(II) Complex. Inorg. Chem. 2014, 53, 10009–10011. [Google Scholar] [CrossRef] [PubMed]
- Palion-Gazda, J.; Machura, B.; Kruszynski, R.; Grancha, T.; Moliner, N.; Lloret, F.; Julve, M. Spin Crossover in Double Salts Containing Six- and Four-Coordinate Cobalt(II) Ions. Inorg. Chem. 2017, 56, 6281–6296. [Google Scholar] [CrossRef]
- Rabelo, R.; Toma, L.; Moliner, N.; Julve, M.; Lloret, F.; Pasán, J.; Ruiz-Pérez, C.; Ruiz-García, R.; Cano, J. Electroswitching of the single-molecule magnet behaviour in an octahedral spin crossover cobalt(II) complex with a redox-active pyrimidine ligand. Chem. Commun. 2020, 56, 12242–12245. [Google Scholar] [CrossRef]
- Lloret Pastor, F. Diseño de Imanes Porosos Multifuncionales (Design of Multifunctional Porous Magnets). In Proceedings of the XVI National School of Molecular Materials, Santa Pola, Spain, 1–6 February 2015. [Google Scholar]
- Batten, S.R.; Champness, N.R.; Chen, X.-M.; García-Martinez, J.; Kitagawa, S.; Ohrstrom, L.; O’Keeffe, M.; Paik Suh, M.; Reedijk, J. Coordination polymers, metal–organic frameworks and the need for terminology guidelines. CrystEngComm 2012, 14, 3001–3004. [Google Scholar] [CrossRef]
- Reedijk, J. Terminology of metal–organic frameworks and coordination polymers (IUPAC Recommendations 2013). Pure Appl. Chem. 2013, 85, 1715–1724. [Google Scholar]
- Ferrando-Soria, J.; Grancha, T.; Julve, M.; Cano, J.; Lloret, F.; Journaux, Y.; Pasán, J.; Ruiz-Pérez, C.; Pardo, E. Ligand effects on the dimensionality of oxamato-bridged mixed-metal open-framework magnets. Chem. Commun. 2012, 48, 3539–3541. [Google Scholar] [CrossRef]
- Ferrando-Soria, J.; Serra-Crespo, P.; de Lange, M.; Gascón, J.; Kapteijn, F.; Julve, M.; Cano, J.; Lloret, F.; Pasán, J.; RuizPérez, C.; et al. Selective Gas and Vapor Sorption and Magnetic Sensing by an Isoreticular Mixed-Metal-Organic Framework. J. Am. Chem. Soc. 2012, 134, 15301–15304. [Google Scholar] [CrossRef]
- Cangussu, D.; Pardo, E.; Dul, M.C.; Lescouezec, R.; Herson, P.; Journaux, Y.; Pedroso, E.F.; Pereira, C.L.M.; Stumpf, H.O.; Munoz, M.C.; et al. Rational Design of a New Class of Heterobimetallic Molecule-Based Magnets: Synthesis, Crystal Structures and Magnetic Properties of Oxamato-Bridged M’3M2 (M’ = LiI and MnII; M = NiII and CoII) Open-Frameworks with a Three-Dimensional Honeycomb Architecture. Inorg. Chim. Acta 2008, 361, 3394–3402. [Google Scholar] [CrossRef]
- Pardo, E.; Cangussu, D.; Dul, M.-C.; Lescouezec, R.; Herson, P.; Journaux, Y.; Pedroso, E.F.; Pereira, C.L.M.; Munoz, M.C.; Ruiz-García, R.; et al. A Metallacryptand-Based Manganese(II)–Cobalt(II) Ferrimagnet with a Three-Dimensional Honeycomb Open-Framework. Angew. Chem. Int. Ed. 2008, 47, 4211–4216. [Google Scholar] [CrossRef]
- Ferrando-Soria, J.; Ruiz-García, R.; Cano, J.; Stiriba, S.-E.; Vallejo, J.; Castro, I.; Julve, M.; Lloret, F.; Amoros, P.; Pasán, J.; et al. Reversible Solvatomagnetic Switching in a Spongelike Manganese(II)–Copper(II) 3D Open Framework with a Pillared Square/Octogonal Layer Architecture. Chem. Eur. J. 2012, 18, 1608. [Google Scholar] [CrossRef]
- Ferrando-Soria, J.; Pasán, J.; Ruiz-Pérez, C.; Journaux, Y.; Julve, M.; Lloret, F.; Cano, J.; Pardo, E. Spin Control in Oxamato-Based Manganese(II)–Copper(II) Coordination Polymers with Brick-Wall Layer Architecture. Inorg. Chem. 2011, 50, 8694–8696. [Google Scholar] [CrossRef]
- Ferrando-Soria, J.; Khajavi, H.; Serra-Crespo, P.; Gascon, J.; Kapteijn, F.; Julve, M.; Lloret, F.; Pasán, J.; Ruiz-Pérez, C.; Journaux, Y.; et al. Highly Selective Chemical Sensing in a Luminiscent Nanoporous Magnet. Adv. Mater. 2012, 24, 5625–5629. [Google Scholar] [CrossRef]
- Titos-Padilla, S.; Ruiz, J.; Herrera, J.M.; Brechin, E.K.; Wersndorfer, W.; Lloret, F.; Colacio, E. Dilution-Triggered SMM Behavior under Zero Field in a Luminescent Zn2Dy2 Tetranuclear Complex Incorporating Carbonato-Bridging Ligands Derived from Atmospheric CO2 Fixation. Inorg. Chem. 2013, 52, 9620–9626. [Google Scholar] [CrossRef] [PubMed]
- Mon, M.; Lloret, F.; Ferrando-Soria, J.; Marti-Gastaldo, C.; Armentano, D.; Pardo, E. Selective and Efficient Removal of Mercury from Aqueous Media with the Highly Flexible Arms of a BioMOF. Angew. Chem. Int. Ed. 2016, 55, 11167–11172. [Google Scholar] [CrossRef] [PubMed]
- Hrimla, M.; Bahsis, L.; Boutouil, A.; Laamari, M.R.; Julve, M.; Stiriba, S.E. A combined computational and experimental study on the mild steel corrosion inhibition in hydrochloric acid by new multifunctional phosphonic acid containing 1,2,3-triazoles. J. Adhesion Sci. Technol. 2020, 34, 1741–1773. [Google Scholar] [CrossRef]
- Cañadillas-Delgado, L.J.; Fabelo, O.; Ruiz-Pérez, C.; Delgado, F.S.; Julve, M.; Hernández-Molina, M.; Milagros Laz, M.; Lorenzo-Luis, P. Zeolite-like Nanoporous Gadolinium Complexes Incorporating Alkaline Cations. Cryst. Growth Des. 2006, 6, 87–93. [Google Scholar] [CrossRef]
- Marinho, M.V.; Reis, D.O.; Oliveira, W.X.C.; Marques, L.F.; Stumpf, H.O.; Déniz, M.; Pasán, J.; Ruiz-Pérez, C.; Cano, J.; Lloret, F.; et al. Photoluminescent and Slow Magnetic Relaxation Studies on Lanthanide(III)-2,5-pyrazinedicarboxylate Frameworks. Inorg. Chem. 2017, 56, 2108–2123. [Google Scholar] [CrossRef]
- Pardo, E.; Train, C.; Gontard, G.; Boubekeur, K.; Fabelo, O.; Liu, H.; Dkhil, B.; Lloret, F.; Nakagawa, K.; Tokoro, H.; et al. High Proton Conduction in a Chiral Ferromagnetic Metal-Organic Quartz-like Framework. J. Am. Chem. Soc. 2011, 133, 15328–15331. [Google Scholar] [CrossRef] [PubMed]
- Canadillas-Delgado, L.; Fabelo, O.; Rodriguez-Velamazan, J.; Lemee-Cailleau, M.-H.; Mason, S.A.; Pardo, E.; Lloret, F.; Zhao, J.-P.; Bu, X.-H.; Simonet, V.; et al. The Role of Order-Disorder Transitions in the Quest for Molecular Multiferroics: Structural and Magnetic Neutron Studies of a Mixed Valence Iron(II)-Iron(III) Formate Framework. J. Am. Chem. Soc. 2012, 134, 19772–19781. [Google Scholar] [CrossRef] [PubMed]
- Rabelo, R.; Stiriba, S.-E.; Cangussu, D.; Pereira, C.L.M.; Moliner, N.; Ruiz-García, R.; Cano, J.; Faus, J.; Journaux, Y.; Julve, M. When Molecular Magnetism Meets Supramolecular Chemistry: Multifunctional and Multiresponsive Dicopper(II) Metallacyclophanes as Proof-of-Concept for Single-Molecule Spintronics and Quantum Computing Technologies. Magnetochemistry 2020, 6, 69. [Google Scholar] [CrossRef]
- Launay, J.P.; Verdaguer, M. Electrons in Molecules; Oxford University Press: Oxford, UK, 2018. [Google Scholar]
- Obituary; Department of Inorganic Chemistry, University of Valencia: Valencia, Spain, 2024; Available online: https://www.uv.es/uvweb/quimica/es/novedades-del-departamento/defuncion-del-profesor-miquel-julve-olcina-1285923388171/Novetat.html?id=1286391974582 (accessed on 10 January 2025).
Disclaimer/Publisher’s Note: The statements, opinions and data contained in all publications are solely those of the individual author(s) and contributor(s) and not of MDPI and/or the editor(s). MDPI and/or the editor(s) disclaim responsibility for any injury to people or property resulting from any ideas, methods, instructions or products referred to in the content. |
© 2025 by the author. Licensee MDPI, Basel, Switzerland. This article is an open access article distributed under the terms and conditions of the Creative Commons Attribution (CC BY) license (https://creativecommons.org/licenses/by/4.0/).







































