Two New 2p–3d Metal Complexes with a Nitronyl-Nitroxide Ligand Derived from o-Vanillin: Synthesis, Crystals Structures and Magnetic Properties
Abstract
1. Introduction
2. Experimental Part
2.1. Materials and Methods
2.2. Synthesis of the Complexes
2.2.1. Synthesis of (Et3NH)[MnL(hfac)2] 1
2.2.2. Synthesis of (Et3NH)[CoL(hfac)2] 2
3. Physical Measurements
4. Crystal Structure Determination and Refinement
5. Results and Discussion
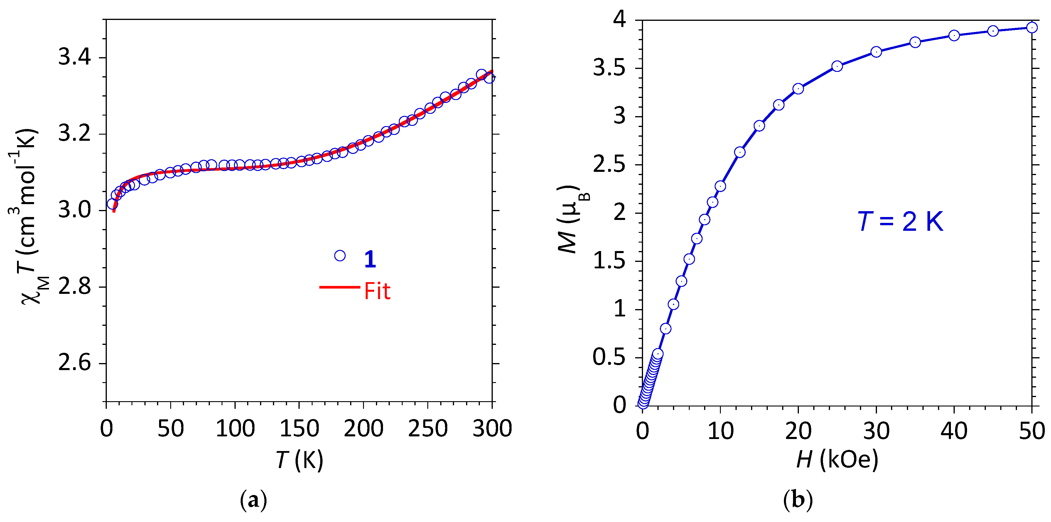
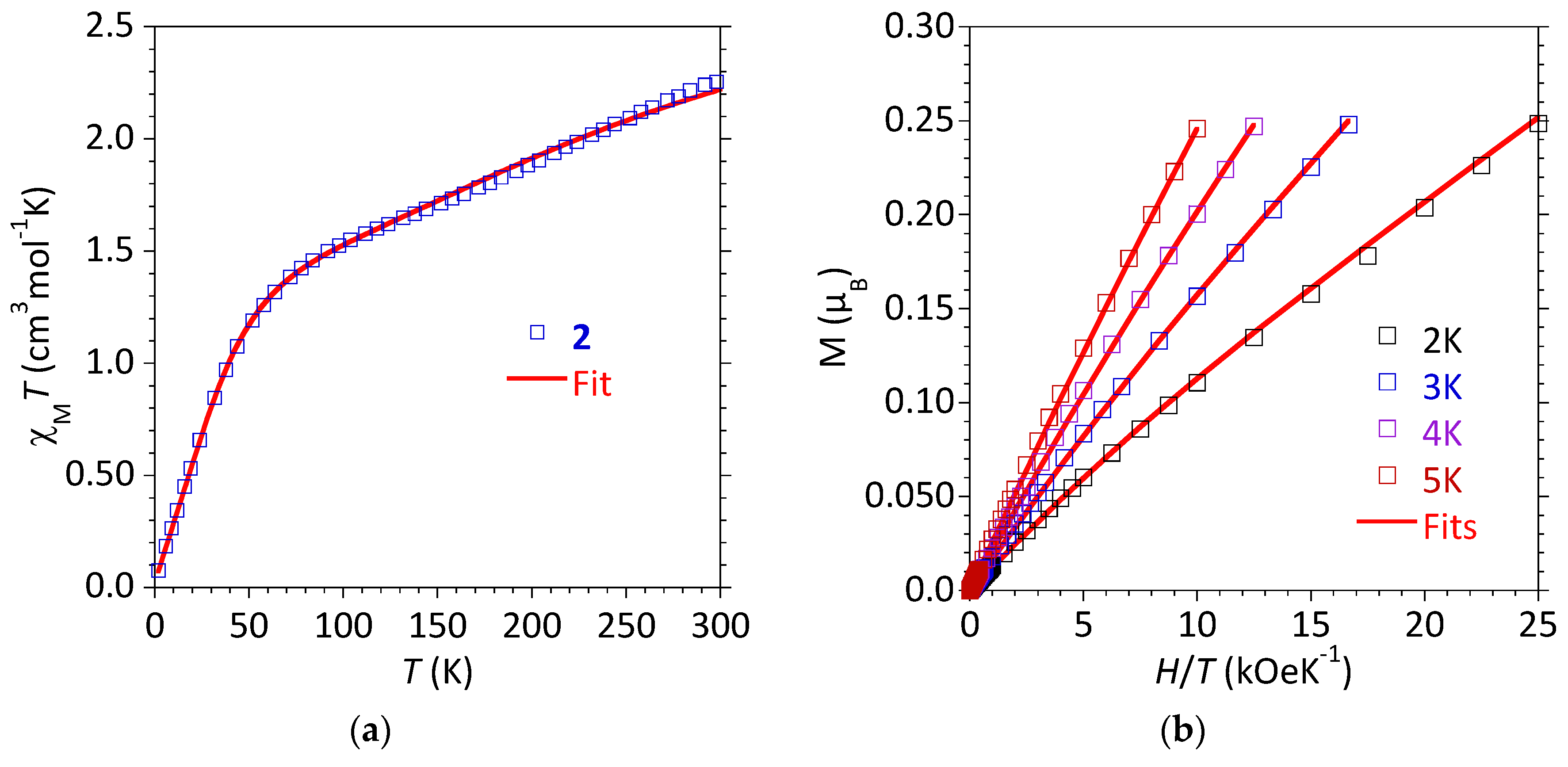
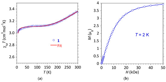
5.1. Magnetic Properties of 1 and 2
5.2. Electron Paramagnetic Resonance (EPR) Data for 1
6. Conclusions
Supplementary Materials
Author Contributions
Funding
Institutional Review Board Statement
Informed Consent Statement
Data Availability Statement
Acknowledgments
Conflicts of Interest
References
- Vaz, M.G.F.; Andruh, M. Molecule-based magnetic materials constructed from paramagnetic organic ligands and two different metal ions. Coord. Chem. Rev. 2021, 427, 213611. [Google Scholar] [CrossRef]
- Meng, X.; Shi, W.; Cheng, P. Magnetism in one-dimensional metal–nitronyl nitroxide radical system. Coord. Chem. Rev. 2019, 378, 134–150. [Google Scholar] [CrossRef]
- Demir, S.; Jeon, I.-R.; Long, J.R.; Harris, T.D. Radical ligand-containing single-molecule magnets. Coord. Chem. Rev. 2015, 289–290, 149. [Google Scholar] [CrossRef]
- Brook, D.J.R. Coordination Chemistry of Verdazyl Radicals. Comm. Inorg. Chem. 2015, 35, 1–17. [Google Scholar] [CrossRef]
- Miller, J.S. Magnetically ordered molecule-based materials. Chem. Soc. Rev. 2011, 40, 3266–3296. [Google Scholar] [CrossRef]
- Luneau, D.; Rey, P. Magnetism of metal-nitroxide compounds involving bis-chelating imidazole and benzimidazole substituted nitronyl nitroxide free radicals. Coord. Chem. Rev. 2005, 249, 2591–2611. [Google Scholar] [CrossRef]
- Caneschi, A.; Gatteschi, D.; Lalioti, N.; Sangregorio, C.; Sessoli, R.; Venturi, G.; Vindigni, A.; Rettori, A.; Pini, M.G.; Novak, M.A. Cobalt(II)-Nitronyl Nitroxide Chains as Molecular Magnetic Nanowires. Angew. Chem. Int. Ed. 2001, 40, 1760–1763. [Google Scholar] [CrossRef]
- Liu, X.; Feng, X.; Meihaus, K.R.; Meng, X.; Zhang, Y.; Li, L.; Liu, J.-L.; Pedersen, K.S.; Keller, L.; Shi, W.; et al. Coercive Fields Above 6 T in Two Cobalt(II)–Radical Chain Compounds. Angew. Chem. 2020, 132, 10697–10705. [Google Scholar] [CrossRef]
- Vaz, M.G.F.; Cassaro, R.A.A.; Akpinar, H.; Schlueter, J.A.; Lahti, P.M.; Novak, M. A Cobalt Pyrenylnitronylnitroxide Single-Chain Magnet with High Coercivity and Record Blocking Temperature. Chem.-Eur. J. 2014, 20, 5460–5467. [Google Scholar] [CrossRef]
- Rancurel, C.; Leznoff, D.B.; Sutter, J.-P.; Golhen, S.; Ouahab, L.; Kliava, J.; Kahn, O. Synthesis, structure, and magnetism of mono- and binuclear manganese(II) compounds of nitronyl nitroxide substituted phosphine oxides. Inorg. Chem. 1999, 38, 4753–4758. [Google Scholar] [CrossRef]
- Luneau, D.; Risoan, G.; Rey, P.; Grand, A.; Caneschi, A.; Gatteschi, D.; Laugier, J. Transition metal derivatives of a chelating nitronyl nitroxide ligand. Nickel(II) and manganese(II) complexes. Inorg. Chem. 1993, 32, 5616–5622. [Google Scholar] [CrossRef]
- Tretyakov, E.V.; Koreneva, O.V.; Romanenko, G.V.; Shvedenkov, Y.G.; Ovcharenko, V.I. Synthesis, structure and magnetism of M(hfac)2 complexes with spin labelled amides. Polyhedron 2004, 23, 763–772. [Google Scholar] [CrossRef]
- Yu, Y.-X.; Hu, H.-M.; Zhang, D.-Q.; Wang, Z.-Y.; Zhu, D.-B. Two New Nitronyl Nitroxide Radicals and Their Complexes with M(hfac)2 [M=Co(II), Ni(II), Mn(II)]: Syntheses, Crystal Structures, and Magnetic Characterizations. Chin. J. Chem. 2007, 25, 1259–1266. [Google Scholar] [CrossRef]
- Zhang, C.-X.; Zhang, Y.-Y.; Zhang, H.-L.; Zhao, Y.; Sun, Y.-Q. Synthesis, structures and magnetic properties of nickel(II), manganic(II) and zinc(II) complexes containing pyridyl-substituted nitronyl nitroxide and tris(2-benzimidazolymethyl)amine. Inorg. Chim. Acta 2009, 362, 5231–5236. [Google Scholar] [CrossRef]
- Zhang, Y.-J.; Wang, J.-J.; Huang, Q.; Chen, J. Crystal structures and magnetic properties of nitronyl nitroxide NIT2-phtrz and its M(II) hexafluoroacetylacetonate (M = manganese, copper) complexes [M(hfac)2(NIT2-phtrz)]. Transit. Met. Chem. 2012, 37, 743–749. [Google Scholar] [CrossRef]
- Li, T.; Shi, X.J.; Chen, P.Y.; Yu, S.J.; Tian, L. A series bi-spin transition metal(II) complexes based on triazole nitronyl nitroxide radical. Inorg. Chim. Acta 2017, 461, 206–212. [Google Scholar] [CrossRef]
- Caneschi, A.; Gatteschi, D.; Sessoli, R.; Rey, P. Structure and magnetic properties of a ring of four spins formed by manganese(II) and a pyridine substituted nitronyl nitroxide. Inorg. Chim. Acta 1991, 184, 67–71. [Google Scholar] [CrossRef]
- Wang, H.; Liu, Z.; Liu, C.; Zhang, D.; Lü, Z.; Geng, H.; Shuai, Z.; Zhu, D. Coordination Complexes of 2-(4-Quinolyl)nitronyl Nitroxide with M(hfac)2 [M = Mn(II), Co(II), and Cu(II)]: Syntheses, Crystal Structures, and Magnetic Characterization. Inorg. Chem. 2004, 43, 4091–4098. [Google Scholar] [CrossRef]
- Zhang, J.-Y.; Liu, C.-M.; Zhang, D.-Q.; Gao, S.; Zhu, D.-B. Syntheses, crystal structures, and magnetic properties of two cyclic dimer M2L2 complexes constructed from a new nitronyl nitroxide ligand and M(hfac)2 (M = Cu2+, Mn2+). Inorg. Chim. Acta 2007, 360, 3553–3559. [Google Scholar] [CrossRef]
- Liu, R.-N.; Li, L.-C.; Xing, X.-Y.; Liao, D.-Z. Cyclic metal–radical complexes based on 2-[4-(1-imidazole)phenyl]-4,4,5,5-tetramethylimidazoline-1-oxyl-3-oxide: Syntheses, crystal structures and magnetic properties. Inorg. Chim. Acta 2009, 362, 2253–2258. [Google Scholar] [CrossRef]
- Wang, C.; Ma, Y.; Wang, Y.; Wang, Q.; Li, L.; Cheng, P.; Liao, D. A New Quinoxalinyl-Substituted Nitronyl Nitroxide Radical and its Five-Spin CuII and Four-Spin MnII Complexes: Syntheses, Crystal Structures, and Magnetic Properties. Aust. J. Chem. 2012, 65, 672–679. [Google Scholar] [CrossRef]
- Tian, H.; Li, Y.; Zhang, C.; Mei, X.; Hu, P.; Li, L. Two novel cyclic dimer M2L2 complexes constructed from 2-[(4-carboxyl)phenyl]-4,4,5,5-tetramethylimidazoline-1-oxyl-3 oxide: Crystal structure and magnetic properties. Polyhedron 2013, 52, 1053–1058. [Google Scholar] [CrossRef]
- Guo, J.-N.; Wang, J.-J.; Sun, G.-F.; Li, H.-D.; Li, L.-C. A novel nitronyl nitroxide radical containing thiophene and pyridine rings and its manganese(II) complex: Synthesis, structure, and magnetic properties. J. Coord. Chem. 2017, 70, 1926–1935. [Google Scholar] [CrossRef]
- Zhu, M.; Lou, D.; Deng, X.; Zhang, L.; Zhang, W.; Lü, Y. A functional nitroxide ligand builds up two 2p–3d complexes with different spin ground states and a 2p–3d–4f chain of rings. CrystEngComm 2018, 20, 2583–2592. [Google Scholar] [CrossRef]
- Yang, M.; Xie, S.; Liang, X.; Zhang, Y.; Dong, W. A novel functional nitronyl nitroxide and its manganese and cobalt complexes: Synthesis, structures and magnetic properties. Polyhedron 2019, 161, 132–136. [Google Scholar] [CrossRef]
- Lin, H.-H.; Mohanta, S.; Lee, C.-J.; Wei, H.-H. Syntheses, Crystal Engineering, and Magnetic Property of a Dicyanamide Bridged Three-Dimensional Manganese(II)−Nitronyl Nitroxide Coordination Polymer Derived from a New Radical. Inorg. Chem. 2003, 42, 1584–1589. [Google Scholar] [CrossRef] [PubMed]
- Gao, Y.-L.; Tian, C.; Gao, P.; Jiao, Y.; Gong, Y.; Ma, X. Synthesis, crystal structures, and magnetic properties of nitroxide radical-coordinated manganese(II) and cobalt(II) complexes. J. Chem. Res. 2021, 45, 788–794. [Google Scholar] [CrossRef]
- Fegy, K.; Luneau, D.; Ohm, T.; Paulsen, C.; Rey, P. Two-Dimensional Nitroxide-Based Molecular Magnetic Materials. Angew. Chem. Int. Ed. 1998, 37, 1270–1273. [Google Scholar] [CrossRef]
- Luneau, D.; Borta, A.; Chumakov, Y.; Jacquot, J.-F.; Jeanneau, E.; Lescop, C.; Rey, P. Molecular magnets based on two-dimensional Mn(II)–nitronyl nitroxide frameworks in layered structures. Inorg. Chim. Acta 2008, 361, 3669–3676. [Google Scholar] [CrossRef]
- Lecourt, C.; Izumi, Y.; Khrouz, L.; Toche, F.; Chiriac, R.; Bélanger-Desmarais, N.; Reber, C.; Fabelo, O.; Inoue, K.; Desroches, C.; et al. Thermally-induced hysteretic valence tautomeric conversions in the solid state via two-step labile electron transfers in manganese-nitronyl nitroxide 2D-frameworks. Dalton Trans. 2020, 49, 15646–15662. [Google Scholar] [CrossRef]
- Spinu, C.A.; Pichon, C.; Ionita, G.; Mocanu, T.; Calancea, S.; Raduca, M.; Sutter, J.-P.; Hillebrand, M.; Andruh, M. Synthesis, crystal structure, magnetic, spectroscopic, and theoretical investigations of two new nitronyl-nitroxide complexes. J. Coord. Chem. 2021, 74, 279–293. [Google Scholar] [CrossRef]
- Stoll, S.; Schweiger, A. EasySpin, a comprehensive software package for spectral simulation and analysis in EPR. J. Magn. Reson. 2006, 178, 42–55. [Google Scholar] [CrossRef]
- Kahn, O. Molecular Magnetism, 2nd ed.; Dover Publications: New York, NY, USA, 2021. [Google Scholar]
- Sheldrick, G.M. Crystal structure refinement with SHELXL. Acta Cryst. 2015, C71, 3–8. [Google Scholar]
- Sheldrick, G.M. SHELXT—Integrated space-group and crystal structure determination. Acta Cryst. 2015, A71, 3–8. [Google Scholar] [CrossRef]
- Lever, A.B.P. Inorganic Electronic Spectroscopy, 2nd ed.; Elsevier: Amsterdam, The Netherlands, 1984; pp. 479–489. [Google Scholar]
- Chilton, N.F.; Anderson, R.P.; Turner, L.D.; Soncini, A.; Murray, K.S. PHI: A powerful new program for the analysis of anisotropic monomeric and exchange-coupled polynuclear d- and f-block complexes. J. Comput. Chem 2013, 34, 1164–1175. [Google Scholar] [CrossRef]
- Frisch, M.J.; Trucks, G.W.; Schlegel, H.B.; Scuseria, G.E.; Robb, M.A.; Cheeseman, J.R.; Scalmani, G.; Barone, V.; Mennucci, B.; Petersson, G.A.; et al. GAUSSIAN 09; Revision, C.01; Gaussian, Inc.: Wallingford, CT, USA, 2009. [Google Scholar]
- Becke, A.D. Density-functional thermochemistry. III. The role of exact exchange. J. Chem. Phys. 1993, 98, 5648–5652. [Google Scholar] [CrossRef]
- Valero, R.; Costa, R.; Moreira, I.d.P.R.; Truhlar, D.G.; Illas, F. Performance of the M06 family of exchange-correlation functionals for predicting magnetic coupling in organic and inorganic molecules. J. Chem. Phys. 2008, 128, 114103. [Google Scholar] [CrossRef]
- Weigend, F.; Ahlrichs, R. Balanced basis sets of split valence, triple zeta valence and quadruple zeta valence quality for H to Rn: Design and assessment of accuracy. Phys. Chem. Chem. Phys. 2005, 7, 3297–3305. [Google Scholar] [CrossRef]
- Ruiz, E.; Cano, J.; Alvarez, S.; Alemany, P. Broken symmetry approach to calculation of exchange coupling constants for homobinuclear and heterobinuclear transition metal complexes. J. Comput. Chem. 1999, 20, 1391–1400. [Google Scholar] [CrossRef]
- Nishino, M.; Yamanaka, S.; Yoshioka, Y.; Yamaguchi, K. Theoretical Approaches to Direct Exchange Couplings between Divalent Chromium Ions in Naked Dimers, Tetramers, and Clusters. J. Phys. Chem. A 1997, 101, 705–712. [Google Scholar] [CrossRef]
- Palii, A.V.; Korchagin, D.V.; Yureva, E.A.; Akimov, A.V.; Misochko, E.Y.; Shilov, G.V.; Talantsev, A.D.; Morgunov, R.B.; Aldoshin, S.M.; Tsukerblat, B.S. Single-Ion Magnet Et4N[CoII(hfac)3] with Nonuniaxial Anisotropy: Synthesis, Experimental Characterization, and Theoretical Modeling. Inorg. Chem. 2016, 55, 9696–9706. [Google Scholar] [CrossRef] [PubMed]
- Lloret, F.; Julve, M.; Cano, J.; Ruiz-García, R.; Pardo, E. Magnetic properties of six-coordinated high-spin cobalt(II) complexes: Theoretical background and its application. Inorg. Chim. Acta 2008, 361, 3432–3445. [Google Scholar] [CrossRef]
- Abragam, A.; Bleaney, B. Electron Paramagnetic Resonance of Transition Metal Ions; Clarendon Press: Oxford, UK, 1970; pp. 209–211. [Google Scholar]
- Telser, J. EPR Interactions—Zero-field Splittings. In eMagRes; John Wiley & Sons, Ltd.: Chichester, UK, 2017; Volume 6, pp. 207–234. [Google Scholar]








| Compound | 1-Mn | 2-Co |
|---|---|---|
| Formula | C30H35N4O10F12Mn | C30H35N4O10F12Co |
| Formula weight | 894.56 | 898.55 |
| Crystal system | monoclinic | monoclinic |
| Space group | P21/c | P21/c |
| a/Å | 20.4684(18) | 20.150(3) |
| b/Å | 9.5569(5) | 9.5624(8) |
| c/Å | 21.6281(17) | 21.501(3) |
| β/° | 111.421(9) | 110.433(11) |
| V/Å3 | 3928.5(6) | 3882.0(9) |
| Z | 4 | 4 |
| Dc/g cm−3 | 1.509 | 1.537 |
| T/K | 293(2) | 293(2) |
| μ/mm−1 | 0.448 | 0.556 |
| Reflections collected | 28,318 | 39,975 |
| Independent reflection | 6943 [Rint = 0.0487] | 6840 [Rint = 0.1921] |
| Final R indices [I > 2σ(I)] | 0.0478; 0.1247 | 0.0773; 0.1353 |
| R indices (all data) | 0.0772; 0.1404 | 0.1835; 0.1837 |
| Goodness-of-fit on F2 | 1.031 | 1.088 |
| Δρmin/Δρmax (e Å−3) | −0.27/0.52 | −0.32/0.37 |
| 1 | 2 |
|---|---|
| Bonds length (Å) | |
| Mn1–O1 = 2.191(2) | Co1–O1 = 2.097(4) |
| Mn1–O3 = 2.121(2) | Co1–O3 = 2.033(5) |
| Mn1–O7 = 2.172(2) | Co1–O7 = 2.080(5) |
| Mn1–O8 = 2.162(2) | Co1–O8 = 2.040(5) |
| Mn1–O9 = 2.129(2) | Co1–O9 = 2.036(5) |
| Mn1–O10 = 2.162(2) | Co1–O10 = 2.073(5) |
| Angles (°) | |
| O1 Mn1 O3 = 84.6(2) | O1 Co1 O3 = 88.8(3) |
| O1 Mn1 O7 = 90.9(2) | O1 Co1 O7 = 90.3(2) |
| O1 Mn1 O8 = 171.3(2) | O1 Co1 O8 = 172.6(2) |
| O1 Mn1 O9 = 81.1(2) | O1 Co1 O9 = 81.2(2) |
| O1 Mn1 O10 = 98.5(2) | O1 Co1 O10 = 96.4(2) |
| O3 Mn1 O7 = 94.42(1) | O3 Co1 O7 = 92.3(2) |
| O3 Mn1 O8 = 100.6(1) | O3 Co1 O8 = 98.1(2) |
| O3 Mn1 O9 = 163.2(1) | O3 Co1 O9 = 169.0(2) |
| O3 Mn1 O10 = 89.4(1) | O3 Co1 O10 = 87.5(2) |
| O7 Mn1 O8 = 81.8(2) | O7 Co1 O8 = 87.1(2) |
| O7 Mn1 O9 = 94.7(1) | O7 Co1 O9 = 92.4(2) |
| O7 Mn1 O10 = 169.9(2) | O7 Co1 O10 = 173.2(3) |
| O8 Mn1 O9 = 94.5(1) | O8 Co1 O9 = 91.9(2) |
| O8 Mn1 O10 = 88.3(1) | O8 Co1 O10 = 86.2(2) |
| O9 Mn1 O10 = 83.8(1) | O9 Co1 O10 = 88.9(2) |
| Compound | JMn-NIT (cm−1) | Mn–O (Å) | Mn–O–N (°) | Mn–O–N–C (°) | Ref. |
|---|---|---|---|---|---|
| [Mn(hfac)2(oPONit)] a | −213 | 2.150(4) | 124.7 | 83.1 | [10] |
| [Mn(hfac)2L1] b | −114.4 | 2.181(2) | 124.5 | 28.7 | [12] |
| [Mn(NIT2Py)(NTB)] (ClO4)2 c | −0.74 | 2.133(3) | 132.9 | 20.4 | [14] |
| [Mn(hfac)2L3] d | −193.4 | 2.129(3) | 123.6 | 47.8 | [15] |
| [Mn(hfac)2(4-Me-3-Nit-trz)] e | −99.2 | 2.158(2) | 117.2 | 51.9 | [16] |
| (Et3NH)[MnL(hfac)2] 1 | −191 | 2.191(2) | 128.1 | 57.9 | this work |
| Functional | EBS (Ha) | EHS (Ha) | J (cm−1) | ||
|---|---|---|---|---|---|
| (Equation (1)) | (Equation (2)) | (Equation (3)) | |||
| uB3Lyp | −4192.3621525 | −4192.3581071 | −295.95 | −197.30 | −297.90 |
| uM06 | −4190.8464697 | −4190.8426809 | −277.18 | −184.79 | −279.09 |
Disclaimer/Publisher’s Note: The statements, opinions and data contained in all publications are solely those of the individual author(s) and contributor(s) and not of MDPI and/or the editor(s). MDPI and/or the editor(s) disclaim responsibility for any injury to people or property resulting from any ideas, methods, instructions or products referred to in the content. |
© 2024 by the authors. Licensee MDPI, Basel, Switzerland. This article is an open access article distributed under the terms and conditions of the Creative Commons Attribution (CC BY) license (https://creativecommons.org/licenses/by/4.0/).
Share and Cite
Spinu, C.A.; Martins, D.O.T.A.; Mocanu, T.; Hillebrand, M.; Sutter, J.-P.; Tuna, F.; Andruh, M. Two New 2p–3d Metal Complexes with a Nitronyl-Nitroxide Ligand Derived from o-Vanillin: Synthesis, Crystals Structures and Magnetic Properties. Magnetochemistry 2024, 10, 86. https://doi.org/10.3390/magnetochemistry10110086
Spinu CA, Martins DOTA, Mocanu T, Hillebrand M, Sutter J-P, Tuna F, Andruh M. Two New 2p–3d Metal Complexes with a Nitronyl-Nitroxide Ligand Derived from o-Vanillin: Synthesis, Crystals Structures and Magnetic Properties. Magnetochemistry. 2024; 10(11):86. https://doi.org/10.3390/magnetochemistry10110086
Chicago/Turabian StyleSpinu, Cristian Andrei, Daniel O. T. A. Martins, Teodora Mocanu, Mihaela Hillebrand, Jean-Pascal Sutter, Floriana Tuna, and Marius Andruh. 2024. "Two New 2p–3d Metal Complexes with a Nitronyl-Nitroxide Ligand Derived from o-Vanillin: Synthesis, Crystals Structures and Magnetic Properties" Magnetochemistry 10, no. 11: 86. https://doi.org/10.3390/magnetochemistry10110086
APA StyleSpinu, C. A., Martins, D. O. T. A., Mocanu, T., Hillebrand, M., Sutter, J.-P., Tuna, F., & Andruh, M. (2024). Two New 2p–3d Metal Complexes with a Nitronyl-Nitroxide Ligand Derived from o-Vanillin: Synthesis, Crystals Structures and Magnetic Properties. Magnetochemistry, 10(11), 86. https://doi.org/10.3390/magnetochemistry10110086

